长短期记忆网络和生成对抗网络混合驱动的牵引供电系统关键运行数据增强方法

葛磊蛟1,2 林可愿1 任丽苗1

(1. 兰州交通大学自动化与电气工程学院 兰州 730070 2. 天津大学电气自动化与信息工程学院 天津 300072)

摘要 电压和电流等关键运行参数的高精度获取是实现牵引供电系统高效运行与精准控制的重要基础。然而,现有数据采集频率与处理算法精度仅仅达s级,难以满足牵引供电状态感知实时监测以及突发事件应急处理的需求。为此,该文提出一种基于长短期记忆网络(LSTM)和生成对抗网络(GAN)混合驱动的牵引供电系统关键运行数据增强方法。针对传统方法难以捕捉多变量复杂相关性的难题,该文结合主成分分析和灰色关联度分析,构建量测增强矩阵作为模型输入,以深入挖掘变量相关性,同时提升数据趋势变化的研判能力。进一步针对现有数据增强方法无法有效捕捉时间序列长短期依赖关系的问题,构建LSTM-GAN模型,精准捕捉量测数据的时间动态变化和深层次依赖结构,实现高精度时序数据增强。经过中国北方某高速铁路段车载监测系统的实测数据验证,该方法在提升数据精度和增强变量相关性分析方面具有显著优势,相较于其他数据增强算法,该模型的电流和电压绝对误差平均降低0.013 A和0.025 3 kV,数据生成频率提升至ms级。

关键词:牵引供电系统 数据增强 LSTM-GAN模型 主成分分析 灰色关联度分析

0 引言

在现代轨道交通领域,贯通式柔性牵引供电系统因其卓越的能量利用效率和供电可靠性而备受关注[1-2]。然而,随着新能源的广泛应用,供电系统控制需求日益复杂,现有s级采集系统,无法满足牵引供电系统对实时性和精确性的高要求[3-5]。尤其是在故障情况下,牵引供电系统电流可能在数百微秒至数毫秒内急剧上升至60 kA,并在1.8 ms内迅速回落[6],这种剧烈变化对轨道交通系统的运行构成了极大挑战,迫切需要优化超短时数据采集方法、提升数据处理频率。与此同时,当列车运行速度较大且弓网离线时间大于200 ms时,易发生弓网离线过电压现象,其产生的瞬态过电压会导致车体电位升高,进而影响车辆设备的正常运行[7-8]。因此,为满足牵引供电系统的高精度控制需求,提升供电系统的全息感知和智能运维能力,数据采集与处理频率亟待从s级跃升至ms级。

然而,现有数据采集系统存在多方面局限性[9]。在硬件成本方面,高频数据采集需要高性能传感器、高速数据采集卡及抗干扰屏蔽设备,其成本远超低频系统。10 kHz采样系统单点成本高达数万元,是1 Hz系统的几十倍,中小型铁路预算有限,难以支撑高频采样成本[10]。在数据处理效率方面,高频采样下数据量庞大,远超车载存储容量,而边缘计算则增加了功耗和设备发热风险,并且故障响应延迟和数据浪费现象严重[11]。在运维压力方面,低采样系统迫使运维高度依赖人工经验,故障诊断存在盲区,导致隐性故障累积[12]。因此,单纯依赖增设采集频次和通道以提升系统采样频率的方式,不仅成本高昂,而且在可靠性和数据完整性等方面存在诸多问题。在此背景下,数据增强技术应运而生,成为推动供电系统性能突破的关键驱动力[13]

在牵引供电系统数据增强领域,国内外学者重点聚焦于通过多源数据融合实现数据精度提升,取得了一些好的成效。具体而言,其通过整合来自不同传感器、监测设备和历史运行记录的多源数据,实现了数据增强[14]。此外,数字孪生技术被引入数据分析中,通过虚拟模型与物理系统的实时交互,实现对牵引供电系统运行状态的高精度建模和动态校正[15]。在数据处理方面,低秩矩阵补全技术被应用于处理系统中的数据缺失问题。通过利用数据的低秩特性,能够有效恢复丢失的数据,进一步提升数据的完整性和精度[16]。同时,数字滤波器,尤其是低通滤波器的设计,被用于抗镜像和抗混叠处理,以此减少数据噪声,提升信号质量[17]。然而,当前数据增强仍面临诸多问题,主要表现在:多源数据融合技术采集分散且缺乏系统间的信息共享,导致数据整合和利用效率较低。低秩矩阵补全技术在数据极度稀疏或噪声较大的情况下,补全的准确性会受到影响。数字滤波器在处理过程中存在较大的延迟,对于实时性要求极高的系统不太适用。

随着人工智能技术的持续发展,深度强化学习算法的应用为解决以上问题提供了新的途径。其中生成对抗网络(Generative Adversarial Networks, GAN)近年来在数据增强方面得到了显著应用,GAN的主要目标是通过合成新样本来扩充训练数据集,尤其在面临数据稀缺或不平衡的情况时,具有重要的实用价值[18-20]。例如,文献[21]提出了一种改进的GAN方法,用于将低频电气数据重建为高频数据,通过时序数据到电气图像的转换、深层残差网络的生成器以及改进的残差块结构,增强了特征学习能力。文献[22]则提出了一种基于无监督生成对抗网络的配电网量测缺失数据重构方法,该方法能够自主提取数据特征,并结合双重语义感知重构约束以提高重构数据的精确性。文献[23]提出了一种带梯度惩罚的Wasserstein生成对抗网络(Wasserstein Generative Adversarial Network with Gradient Penalty, WGAN-GP),该方法通过梯度惩罚而非权重裁剪来强制执行Lipschitz连续性约束,实现了稳定的训练过程和高质量的样本生成。

尽管生成对抗网络(GAN)在生成高质量样本方面展现出巨大潜力,但在处理时序数据时,由于其低质量及强噪声的特点,使得GAN中的生成器难以有效捕捉时序数据的潜在模式,导致判别器难以区分真实样本与生成样本[24]。实际上,电力系统中量测的时序特性和变量间的相关性都能作为缺失数据重建的重要依据[25]。因此,为了提高GAN在时序数据上的表现,研究者们正在探索多种方法来优化GAN的训练稳定性和生成质量,包括引入条件GAN[26-27]、多尺度训练[28]和改进网络结构[29-30]等。这些方法有助于改善生成样本的质量,减少不自然结构,提高数据一致性,并确保生成样本与标签的匹配。此外,考虑时序数据的复杂性,一些研究开始利用图神经网络来捕捉电力系统数据的空间信息和时序信息,以提高缺失数据的重建精度[31]。但是目前这些方法仅适用于静态或简单时序数据,忽略了电力系统中量测数据的动态变化和长期依赖性,对于牵引供电系统中量测数据的增强效果并不理想。

综上所述,为了实现量测数据的高精度增强,本文首次提出了一种基于长短期记忆(Long Short- Term Memory, LSTM)网络和生成对抗网络融合的混合量测数据增强方法。该方法创新性地结合了主成分分析(Principal Component Analysis, PCA)和灰色关联度分析(Grey Relational Analysis, GRA)构建量测增强矩阵作为模型输入,从而量化变量间的相关性并增强数据的趋势变化研判能力。同时,本文引入长短期记忆网络结构,利用其在处理时序数据时的长期依赖性捕捉能力,弥补了传统GAN在处理时序数据时的不足。通过LSTM模块提取时间序列的趋势信息,并将其作为条件输入GAN中,生成器结合这些趋势信息生成符合时间序列上下文的合成数据。此外,该方法完全基于数据驱动,无需依赖先验知识或复杂的数学模型,能够无监督地学习量测数据的相关性及变化规律。算例分析表明,增强数据在时序特性上与真实量测保持高度一致,能够有效提高对弓网离线过电压情况和故障电流的预测精度和响应速度。

1 构建基于PCA与GRA的量测增强矩阵

传统的量测数据增强方法常常只关注单一变量,例如仅聚焦于电流或电压的独立数据,依赖基础的统计模型来生成趋势变化规律数据。然而,此类方法的局限性在于其无法充分捕捉多变量之间复杂的相互作用以及动态变化过程,从而导致生成数据在真实性和多样性方面存在显著不足。在实际应用中,牵引供电系统的电压电流波动受到牵引负荷、新能源出力以及极端天气等多种因素的综合影响,而这些因素相互交织,使得系统数据量庞大且内部影响机理极为复杂。因此,亟需一种既简单又高效的方法来实现对这些复杂关系的精准分析。

1.1 改进的灰色关联度分析法

传统灰色关联度方法在分析影响因素时,通常忽略了变量之间的相对重要性,往往会将所有因素视为同等重要[32]。例如,当考虑列车速度和室外温度与电流波动的关系时,列车速度明显更为重要。因此单纯依赖该方法可能无法捕捉到这种关系,从而导致错误的结论。针对这一缺陷,本文提出一种结合主成分分析和灰色关联度的改进方法。主成分分析用来提取特征向量,同时去除冗余信息,构建客观权重体系;灰色关联度则量化主成分与目标变量之间的关联性。两者的结合充分发挥了PCA的降维优势和GRA的关联性分析能力,既克服了传统GRA的主观等权缺陷,又规避了单一PCA方法对“变量-目标”响应关系解释不足的问题,为复杂系统多因素关联分析提供了新思路。

改进的灰色关联度分析法包括以下步骤:首先利用主成分分析进行降维和数据压缩,通过正交变换将原始数据转换为线性不相关的变量,进而提取数据中的主要影响因素。其次将主成分分析得到的载荷作为权重加入灰色关联度分析中,即在计算关联度时,考虑每个主成分的贡献权重。该方法适用于样本量较大、因素众多且数据量丰富的复杂系统分析。其能更准确地反映各因素的影响,从而提供精确的分析结果。

1.2 选取牵引供电系统量测指标

牵引供电系统作为一个复杂的多节点网络,包含变电所、接触网、回流系统及车载设备等多个环节,其运行状态的全面感知需多源数据协同支持。然而,当前变电所数据采集与监控系统(Supervisory Control and Data Acquisition, SCADA)采样率不足,难以捕捉动态交互过程的暂态特征[33];接触网监测装置受空间分布限制,存在数据同步误差[34];而车载监测系统作为列车与牵引网能量交互的直接载体,能够直接反映牵引网侧电流电压的动态特性变化,也是诊断故障与弓网离线的核心依据,并且具备一定的工程实际意义。

因此,本文聚焦于牵引网与列车动态交互过程的关键运行参数的增强,通过对高速铁路车载监测装置的32个检测量进行深入分析,筛选出8个关键指标。这些指标从最能表征影响电流电压的角度出发,共同构建了一个全面的牵引供电系统混合量测指标体系。以下是确立的8个指标:列车能耗参数、运行环境参数、有功功率、无功功率、分合闸角度、总谐波畸变率、高次谐波含有率及次数、最高谐波含有率及次数。

width=215.05,height=140.8

图1 牵引供电系统量测指标

Fig.1 Measurement index of traction power supply system

1.3 构建牵引供电系统量测增强矩阵

(1)标准化量测矩阵

选取对增强指标产生影响的多个关键因素,构造混合量测矩阵为

width=103.95,height=21 (1)

width=188,height=99 (2)

式中,width=11,height=11为包含n个数据m个影响因素的量测矩阵;width=11,height=11为参考序列,width=13,height=17为第j个增强指标的第i个量测值;width=13,height=11为比较序列,width=13,height=17为第j个影响因素的第i个量测值。

利用式(3)和式(4)对参考序列width=11,height=11和比较序列width=13,height=11进行无量纲化处理。

width=66,height=37 (3)

width=65,height=37 (4)

式中,width=12,height=17width=13,height=17为第j列量测值的均值;width=42.95,height=23width=44,height=23为第j列量测值的标准差。

通过对width=13,height=17进行无量纲化处理,得到如式(5)的标准化量测矩阵。

width=58,height=21 (5)

(2)选取主成分

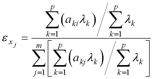
考虑到各变量之间的相对重要性,通过式(7)计算累积贡献率来选取主成分,并利用式(8)计算出相应的权重。

求相关系数矩阵的特征值,特征值越大表明对应的主成分能够解释更多的数据方差,因此它在数据集中的重要性越高,包含的信息也越丰富。构成的一个从大到小排序的特征值集合为

width=78.95,height=20 (6)

由式(7)计算累积贡献率。

width=59,height=51 (7)

式中,width=10,height=12为前p个成分的方差占总成分方差的比例。通常规定计算出的累计贡献率width=10,height=12≥80%,这样对于多量测指标,就可以选取出ppmwidth=6.95,height=12个主要影响因素。

(3)加入权重系数

由式(8)计算第j个影响因素的权重[35]

width=130,height=67 (8)

式中,width=16,height=18为量测矩阵中第j个主要影响因素的权重;width=13.95,height=17为特征向量矩阵中的元素。

width=125,height=24.95 (9)

式中,width=11,height=13.95为混合量测矩阵中各主要影响因素权重构成的行向量。

(4)计算灰色关联度

由式(10)计算第i个参考指标与第j列的第i个主要影响因素的差值,得到式(11)的差值 矩阵。

width=128,height=21 (10)

width=220,height=99(11)

参考序列与比较序列的灰色关联系数为

width=173,height=53 (12)

式中,width=24,height=17为参考序列与第j个影响因素的第i个量测值的关联系数;width=38,height=17width=40,height=17分别为计算差值时的最大值与最小值;width=11,height=12为分辨系数,可通过动态改变分辨系数来增强灰色关联度分析的灵敏度和适应性,通常取width=33,height=13.95

参考序列与第j个比较序列之间的灰色关联度为

width=78.95,height=33.05 (13)

由式(12)可看出,灰色关联度受采样数据之差的最大值及最小值的影响较大,一旦某采样时刻出现异常极值,灰色关联度分析准确性就会受到影响。同时,分辨系数的合理取值也是灰色关联度分析的重要影响因素之一。

(5)构建量测增强矩阵

通过选取的p个主要影响因素,以及比较其计算得到的灰色关联度,依次由大到小排列,构建量测增强矩阵Bs

width=111.1,height=67.15 (14)

2 基于LSTM-GAN的量测数据增强方法

传统GAN在数据增强领域表现出色,但面对具有时序性的量测数据时,其学习效率和效果往往不尽如人意。这是因为GAN在处理这类数据时,难以捕捉和模拟时间序列中的长期依赖关系和复杂模式。因此,为了更准确地生成高维度的多变量量测数据,需要一种更为复杂和灵活的生成模型。针对这一需求,本文引入了循环神经网络中的长短期记忆网络,以充分利用量测数据之间的潜在关系和时序性,从而提升生成数据的精度和可靠性。

2.1 典型生成对抗网络的量测数据增强方法

用于量测数据增强的生成对抗网络,其核心理念是通过对抗性训练生成新的数据样本。这一机制依托于两个主要组件:生成器G和判别器D。算法中G的目标在于生成尽可能逼真的数据,以欺骗D;与此同时,D则不断提升其辨别真实样本与生成样本的能力。这种对抗关系形成了一种动态博弈,推动网络的持续优化,最终实现高质量数据的生成。G通常包括输入层接收高维噪声向量、多个全连接层(Dense)或卷积层(Conv)以增强非线性表达能力,以及输出层生成与目标数据相同维度的样本,常用双曲正切激活函数(tanh)。而DG类似,其结构包括输入层接收样本数据、多个Dense或Conv提取特征,以及输出层使用逻辑斯谛激活函数(Sigmoid)生成一个介于0和1之间的概率值,表示样本的真实性。GAN网络具体参数如图2所示。

width=207.6,height=178.2

图2 GAN网络参数

Fig.2 GAN network parameters

训练过程中,以高速铁路车载监测系统的量测值为基础构造量测增强向量width=13,height=15.15,作为生成器的输入。生成器接收这些向量作为输入,并通过其网络结构转换成看似真实的量测数据width=41,height=17。与此同时,判别器的任务是区分真实量测数据和生成器产生的数据。判别器接收来自生成器的输出以及真实数据作为输入,并输出一个概率值,表示输入数据为真实数据的可能性width=41,height=17。其中width=13.95,height=15width=13.95,height=15分别表示生成器和判别器的权重,通过梯度下降方法交替更新。

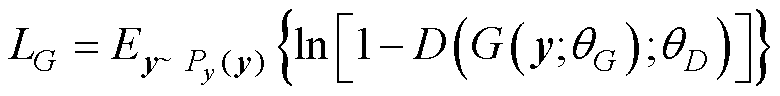
生成器的参数更新旨在增加其损失函数width=15,height=15,该函数衡量了生成器生成的样本被判别器判定为真实的概率的负对数,可以表示为

width=170.15,height=21.05 (15)

而判别器的参数更新则旨在减少其损失函数width=15,height=15,该函数结合了对真实样本的判别损失和对生成样本的判别损失,旨在提高判别器区分真假样本的能力,可以表示为

width=150,height=41.05 (16)

GAN的优化目标可以表示为一个“最小-最大”博弈问题,即

width=227,height=42.95(17)

式中,width=36,height=15为判别器和生成器之间的博弈目标函数;E( · )表示期望;width=34,height=15为真实数据的分布;width=27,height=17为向量y的先验分布。这种交替优化策略持续进行,直至达到纳什均衡,即在给定判别器的情况下,生成器无法进一步改进,反之亦然。此时,生成器生成的数据在统计上与真实数据不可区分,实现了量测数据的有效增强。

2.2 LSTM-GAN网络结构

LSTM是一种改进的循环神经网络(Recurrent Neural Network, RNN),专门设计来解决传统RNN在处理长序列数据时遇到的梯度消失或爆炸问题。LSTM通过独特的单元结构,包括输入门、遗忘门和输出门,实现对信息的动态更新和长期依赖关系的捕捉。遗忘门负责决定哪些信息应该被遗忘,输入门控制新信息的加入,而输出门则生成当前时间步的输出,它们共同作用使得LSTM能够有效地维持和更新网络记忆,其传统网络结构如图3所示。

width=218.9,height=129.95

图3 LSTM网络结构

Fig.3 LSTM network structure

在LSTM-GAN模型结构中,本文整合了LSTM结构来学习量测数据随时间变化的模式,并在数据生成过程中融入这些时序特征。首先,通过LSTM模块内部的循环结构和记忆单元,捕捉增强矩阵时间序列中的长期依赖关系和趋势模式,输出趋势信息作为条件输入GAN中。GAN的生成器结合LSTM提供的趋势信息和原有的条件信息,生成符合时间序列上下文和条件约束的数据。为了进一步确保生成数据的合理性,GAN中通过损失函数的方式加入上下限约束,引导生成器生成严格符合上下限要求的数据。在生成阶段,对于每一秒的时间序列数据,LSTM都会进行一次趋势预测,为GAN提供该秒的时间序列上下文信息,指导生成器生成符合该秒趋势的ms级细分数据,最终形成完整的生成序列,为后续的数据分析和应用提供高质量的数据,其模型结构如图4所示。

width=468.35,height=177.7

图4 LSTM-GAN模型架构

Fig.4 LSTM-GAN model architecture

2.3 模型参数配置

模型由一个生成器和一个判别器组成,其中生成器和判别器均集成了单层LSTM模块。生成器首先通过LSTM模块提取时间序列趋势,然后将提取的趋势信息与输入噪声向量进行拼接,接着通过三个全连接层逐步扩展特征维度,最终通过一个带有tanh激活函数的全连接层生成数据,以确保输出在[-1, 1]的范围内。判别器同样先利用LSTM模块处理时间序列,然后将LSTM输出与输入特征拼接,之后通过三个全连接层逐步压缩特征维度,最终输出一个概率值用于判断输入数据的真实性,判别器中使用了ReLU激活函数,具体结构参数见表1。整个模型通过对抗训练的方式优化生成器与判别器的性能,同时借助LSTM模块的趋势预测能力,以提高生成数据的质量和多样性,从而有效增强时序数据集。为了优化模型参数,选择了Adam优化器,它能自适应调整学习率,从而为训练过程提供稳定性能。

表1 LSTM-GAN结构参数

Tab.1 Structural parameters of LSTM-GAN

网络名称层数名称参数参数值 生成器1输入层输入维度15 2LSTM层神经元数量64 激活函数tanh— 3~5全连接层神经元数量128 激活函数ReLU—

(续)

网络名称层数名称参数参数值 生成器3~5全连接层神经元数量256 激活函数ReLU— 全连接层神经元数量512 激活函数tanh— 6输出层输出维度15 激活函数tanh— 判别器1输入层输入维度15 2LSTM层神经元数量64 激活函数tanh— 3~5全连接层神经元数量256 激活函数ReLU— 全连接层神经元数量128 激活函数ReLU— 全连接层神经元数量64 激活函数ReLU— 6输出层输出维度1 激活函数Sigmoid—

LSTM模型的层数与隐藏单元数直接影响其对时序特征的建模能力。理论研究表明[36-37],在短序列或混合时序模式的任务中,单层LSTM结构可通过非线性门控机制有效捕捉局部依赖性与全局趋势,而深层LSTM可能因参数冗余导致过拟合风险上升,同时显著增加计算复杂度。针对牵引供电系统量测数据的特性分析表明,其时序依赖性呈现短期随机波动与中长期周期性趋势的混合特征。因此,本文采用单层LSTM架构,隐藏单元数为64,其输入维度由主成分数与时序窗口长度共同确定。而生成器与判别器的全连接层和激活函数设计参考了文献[38]的稳定性要求,通过选取ReLU激活函数保持梯度的稳定流动。

3 算法流程

本文所提出的基于LSTM-GAN的牵引供电系统量测数据增强方法具体流程如图5所示。该算法的主要步骤为:

(1)使用主成分分析对原始量测数据进行降维处理,去除冗余信息。进一步将PCA计算的特征值作为权重,加入到灰色关联度分析中。通过提取出数据中的主要影响因素,构建量测增强矩阵。

width=234.5,height=284.9

图5 基于LSTM-GAN的量测数据增强流程

Fig.5 Flow chart of measurement data enhancement based on LSTM-GAN

(2)将原始的量测数据集以一种适合网络处理的形式进行预处理,将数据转换为张量格式,并按照网络输入要求进行标准化或归一化处理,以确保数据能够被网络高效地识别和处理。

(3)固定生成器参数,使用真实序列数据和生成器生成的假序列作为输入。判别器通过LSTM处理这些序列,计算损失函数,目标是最大化判别器对真实序列的判别能力。

(4)固定判别器参数,生成器通过LSTM生成假序列。生成的序列随后被输入判别器中,生成器的目标是最小化判别器对其生成数据的判别能力。

(5)在模型训练过程中,评估生成数据的准确性对模型进行动态调整,优化超参数提升模型性能。训练过程持续进行,直到生成器产生的数据足够逼真,此时模型达到纳什均衡,训练停止。最后,将原始量测数据输入训练好的LSTM-GAN网络中进行数据增强。

4 算例分析

在本文的算例分析部分,所采用的实验样本数据来源于中国北方某高速铁路段的车载监测系统,具体采集时间为2024年9月24日的18width=6,height=1130—21width=6,height=1130。它涵盖了列车的一个完整运行周期,从而能够实现从牵引变电所A—B的全程监测,便于对牵引供电系统中牵引网侧的电流电压进行详细分析。数据采集频率为1 Hz,即每1 s记录一次,在所选的3 h内,共采集了10 818组时间断面数据,部分数据如图6所示。

width=233.4,height=125.6

图6 车载监测系统数据

Fig.6 Vehicle monitoring system data

车载监测系统能够提供关键的电气参数数据,包括牵引能耗、再生能耗、列车能耗,以及列车总牵引能耗、总再生能耗和总能耗等。同时,系统还记录了电压有效值、电流有效值、有功功率、无功功率、功率因数等电能质量参数。为进一步识别主要谐波成分,系统记录了按含量排序的关键谐波特征:最高谐波为含量最多的谐波,高次谐波为含量次之的谐波,次高谐波则为含量最少的谐波。其中谐波含有率反映了指定次谐波分量与基波分量的幅值比率,谐波含有率次数用以标识该谐波的频率阶次。此外,系统还采集了列车运行环境参数,如列车速度、车外温度、分合闸角度等,这些环境因素对于牵引供电系统的性能同样有着直接的影响。

4.1 选取评价指标

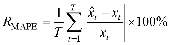
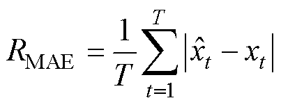
在众多模型性能评估指标中,平均绝对误差(Mean Absolute Error, MAE)和平均绝对误差百分数(Mean Absolute Percentage Error, MAPE)是两种极具参考价值的量化指标,依据式(18)与式(19)所给出的计算公式,可以求取各模型生成数据的MAE和MAPE值。

width=88,height=33 (18)

width=124,height=33 (19)

式中,width=11,height=15t时刻模型生成的量测数据;width=11,height=15t时刻量测数据的真实值。

4.2 构建量测增强矩阵

为了提高牵引供电系统对急剧电流变化的捕捉能力,并深入分析弓网离线过电压情况,对1.2节中构建的量测指标进行了细致的筛选。通过这一过程,选取10个对电流变化具有显著影响的关键因素,以及10个对电压变化具有显著影响的关键因素。为了准确识别出其中的主要影响因素,对相关因素进行特征值、贡献率和累积贡献率的计算,具体结果见表2。

从表2中可以看出,对于电流变化,一共提取出4个主成分width=11,height=15width=13,height=15width=12,height=15width=13,height=15,其特征根值(l1l4)均大于1,且累积贡献率达到了81.989%。这表明这些因素在电流变化中起到了重要作用。对于电压变化,同样可以从中筛选出4个主成分。这些筛选出的主成分能够较好地代表原始特征序列,并且与增强的数据类型之间的相关性更强。

由上述可知,前4个主成分可基本反映10个指标包含的信息,利用式(8)和式(13)求得各主成分的权重值和灰色关联度。

表2 主成分特征值与累积贡献率

Tab.2 Principal component eigenvalues and cumulative contribution rate

影响因素特征值贡献率(%)累积贡献率(%) 电流1l1=3.83138.30638.306 2l2=1.63816.38454.690 3l3=1.58515.84770.537 4l4=1.14511.45281.989 5l5=0.8048.03890.027 6l6=0.5605.60295.629 7l7=0.2822.82198.450 8l8=0.1351.34799.797 9l9=0.0200.19899.995 10l10=0.0000.005100.000 电压1l1=6.73067.29767.297 2l2=1.31813.17680.473 3l3=0.8558.55089.024 4l4=0.5835.83594.858 5l5=0.2352.35097.208 6l6=0.1791.79199.000 7l7=0.0740.74099.739 8l8=0.0120.11899.857 9l9=0.0090.09599.952 10l10=0.0050.048100.00

由表3可得,对电流波动的影响因素按关联度大小排列为:列车速度>电流高次谐波含有率>电流最高谐波含有率>电流最高谐波含有率次数。对电压波动的影响因素按关联度大小排列为:电压最高谐波含有率>电压高次谐波含有率>电压高次谐波含有率次数>列车速度。在对电流波动影响因素的分析中,可以观察到列车运行速度对电流波动的影响最为显著,这表明列车速度是导致电流波动加剧的主要因素。此外,电流的最高谐波含有率和高次谐波含有率也对电流波动产生了显著的影响,这说明谐波的最高含有率和高次含有率在电流波动中起到了关键作用。以此构建电流量测增强矩阵width=15.05,height=15.15和电压量测增强矩阵width=17,height=15.15分别为

表3 改进灰色关联度与权重值

Tab.3 Improved grey correlation degree and weight value

主成分权重关联度 电流f10.1390.111 f20.200.155 f30.1930.139 f40.4670.320 电压y10.060.032 y20.130.127 y30.7090.685 y40.090.067

width=150,height=77 (20)

width=168.95,height=77 (21)

比较本文改进的灰色关联度算法与不考虑权重的传统灰色关联分析法的差别。利用传统算法计算关联度见表4,分析电流影响因素得出的结论是:电流最高谐波含有率次数对电流的影响最大,而列车速度仅排在第四位。然而,实际情况表明,列车速度对电流的影响最为显著。改进后的灰色关联度算法通过引入权重来解决这一问题,从而能更准确地反映各因素之间的关联程度。

表4 传统灰色关联度

Tab.4 Traditional grey correlation degree

影响因素关联度 f10.799 2 f20.775 4 f30.732 9 f40.685 1 y10.535 9 y20.979 6 y30.967 3 y40.748 6

4.3 数据增强效果

将数据集中包含的10 818个时间序列样本转换为适合LSTM网络训练的格式,并按照8width=6,height=112的比例进行训练集和测试集的划分。进一步地,为了实现ms级的数据增强并构建更密集的时间序列,在相邻时间点之间生成额外的样本。具体而言,以1 s为基本时间单位,在每对相邻时间点之间精确地生成两个新的数据点,使得输出数据的时间间隔精确到333 ms。在模型训练过程中,共进行了800轮的迭代,每个轮次中,判别器和生成器交替更新。每训练5个轮次,模型的权重会被保存,以确保训练过程中取得的最佳模型状态。

LSTM-GAN对数据的增强效果如图7~图9所示,由图7可见,在特定时间断内(18width=6,height=1132width=6,height=1130—18width=6,height=1133width=6,height=1140),原始数据由72个增加到了216个数据点,实现了s级数据的增强。图8和图9则分别展示了不同时间断面中电流和电压的详细增强结果。通过对图8增强结果的深入分析,可以发现随着列车速度的逐渐提升,电流呈现出与之相伴随的波动性上升趋势。进一步观察图9中的数据变化规律,可以发现电压与其最高谐波含有率之间存在一定关联。其与表3的实验结果相一致,从而在另一层面上也验证了实验结果的准确性和可靠性。

width=233.35,height=129.7

图7 9种数据的增强结果

Fig.7 Enhancement results for 9 data sets

width=233.45,height=138.35

图8 电流及其影响因素增强结果

Fig.8 Current and its influencing factors enhanced results

width=233.35,height=130.4

图9 电压及其影响因素增强结果

Fig.9 Voltage and its influencing factors enhanced results

4.4 非平稳场景验证

在牵引供电系统实际运行中,弓网离线放电及短路故障等非平稳工况会引发电气参量的ms级瞬态突变。受限于现有监测装置的硬件成本与通信带宽资源限制,系统的低频采样机制会导致暂态特征在采集过程中产生混叠效应,严重影响系统暂态过程的可观测性与故障辨识精度。为了验证所提出的基于GAN-LSTM数据增强模型在非平稳场景下的有效性,本文通过仿真构建了弓网离线过电压情况下的交流量瞬时变化数据,以实现量测数据的增强。具体而言,仿真时长设定为2 s,故障发生在0.8 s处,仿真条件下弓网离线过电压有效值如图10所示。为了验证模型在故障条件下的增强能力,本文将GAN-LSTM模型的输出频率调整为120 Hz,即每0.083 s输出一次数据,从而更精确地捕捉电气参量的瞬态变化特征。

width=228.7,height=164.05

图10 仿真条件下弓网离线过电压有效值

Fig.10 Pantograph-catenary off-line overvoltage effective value under simulation conditions

LSTM-GAN模型增强数据的误差如图11所示,生成的增强数据与原始数据在整体趋势上保持一致,能够有效重构暂态过程的突变特征。局部最大误差保持在3%以下,表明模型未发生系统性偏差,验证了其在非平稳场景下对瞬态特征的有效捕捉能力。从时空分布来看,误差主要集中在ms级的瞬态变化区域,尤其是在电压波动较大的范围内,但误差始终维持在较低水平,且未出现异常离群点,进一步表明模型对瞬态特征的捕捉具有良好的稳定性和鲁棒性。在动态响应能力方面,模型在故障区域的误差峰值较其他区域减少约40%,这得益于LSTM的时序记忆特性与GAN的对抗训练机制,使其能快速地响应电压突变,精准地还原故障阶段的动态特性。实验结果表明,LSTM-GAN模型在非平稳场景下不仅能够有效提升采样频率,还能在ms级时间尺度上保持数据增强的高精度。然而,在实际车载监测系统中,均匀采样机制可能无法完整捕获瞬态特征,导致原始数据中瞬态信息丢失。若仅依赖均匀采样,模型将难以从低分辨率数据中提取此类瞬态事件的因果关系。为此,未来研究可结合非均匀采样技术,设计基于信号导数的自适应采样策略,通过动态调整采样间隔或引入压缩感知理论,以更少采样点重构完整信号特征。此类方法既能优化数据采集效率,又能为LSTM-GAN模型提供包含瞬态细节的训练数据,从而进一步提升模型对极端工况的泛化能力。

width=227.05,height=190.1

图11 增强数据与原始有效值的相对误差

Fig.11 The relative error between the enhanced data and the original effective value

4.5 对比实验

为了验证本文提出的基于GAN-LSTM数据增强模型的性能,使用不同算法对牵引供电系统测量数据集进行训练,实现量测数据增强。

从图12可以观察到不同模型在数据序列预测方面的表现差异。真实值(紫色)作为基准线,清晰地展示了数据的自然波动特征。GAN模型(绿色)在捕捉整体趋势上表现出色,然而在某些细节的还原上仍存在一定偏差,未能完全符合真实数据的特性。KNN算法(蓝色)在特定区间内能够较好地追踪真实值的变化,但在其他区域则显现出较大的波动性,反映出其在处理时间序列数据时的局限性和不稳定性。ROS模型(红色)在模拟真实数据时展现了一定程度的波动性,然而其整体趋势与真实值相比仍有显著偏差,尤其是在数据波动剧烈的区域。相较之下,LSTM-GAN模型(黑色)的预测结果在绝大多数区域能够更准确地跟随真实值的变化。

width=230.3,height=163.55

图12 不同方法数据增强比较

Fig.12 Data enhancement comparison of different methods

表5详细展示了LSTM-GAN、GAN、ROS和KNN四种数据增强方法在牵引供电系统量测数据增强任务中的性能对比。通过MAE和MAPE两个关键指标来衡量各方法的准确性。在电流增强任务中,LSTM-GAN的MAE为0.041 A,MAPE为0.28%,显著低于其他方法。与GAN相比,LSTM-GAN的MAE降低了0.007 A,MAPE降低了0.06个百分点;与ROS相比,MAE降低了0.02 A,MAPE降低了0.13个百分点;与KNN相比,MAE降低了0.012 A,MAPE降低了0.08个百分点。

表5 各方法误差指标

Tab.5 Traditional grey correlation degree

方法电流增强电压增强 RMAE/ARMAPE(%)RMAE/kVRMAPE(%) LSTM-GAN0.0410.280.0240.09 GAN0.0480.340.0350.13 ROS0.0610.410.0520.19 KNN0.0530.360.0610.22

在电压增强任务中,LSTM-GAN的MAE为0.024 kV,MAPE为0.09%,与GAN相比,LSTM- GAN的MAE降低了0.011 kV,MAPE降低了0.04个百分点;与ROS相比,MAE降低了0.028 kV,MAPE降低了0.1个百分点;与KNN相比,MAE降低了0.037 kV,MAPE降低了0.13个百分点。上述结果表明本文所提方法相比于其他算法能够更精准地捕捉原始数据的特征和趋势,生成的数据与真实数据的差异最小。

5 结论

针对牵引供电系统中现有数据采集频率低以及数据处理能力不足的问题,本文提出了一种基于长短期记忆网络和生成对抗网络混合驱动的量测数据增强方法。该方法可以提高系统的故障预警效率,减少对复杂硬件的依赖,降低运行成本。以下是得出的主要结论:

1)通过PCA和GRA相结合的方法,有效构建了一个量测增强矩阵,表征出了这些因素与电压电流波动的相关性。通过该方法,可以有效提取关键特征变量,同时降低数据维度,减少模型所需的历史数据量,从而显著提升数据增强模型的准确性和效率。

2)通过将LSTM网络引入传统的GAN中,不仅继承了GAN在数据生成方面的优势,还借助LSTM的时序分析能力,有效捕捉了时间序列中的长期依赖性,同时利用GAN生成高质量的合成数据,解决了现有系统在数据稀缺和实时性不足的 问题。

3)通过北方某高速铁路段车载监测系统的实测数据分析,LSTM-GAN模型在提升数据精度和增强变量相关性分析方面表现优异。在非平稳场景验证中,模型的峰值误差保持在3%以内,表明其在复杂工况下具有较高的稳定性和可靠性,能够为故障预警提供高分辨率输入。此外,与其他数据增强算法相比,该模型的电流和电压的绝对误差平均降低0.013 A和0.025 3 kV。

本文仅考虑了车载监测数据,未来的研究工作将进一步拓展数据来源,将模型应用于多源数据场景,融合变电所、接触网等环节数据实现系统全局状态监测。通过整合不同数据源信息,弥补单一车载数据的局限性,进一步优化系统级状态感知能力。

参考文献

[1] He Xiaoqiong, Peng Jun, Han Pengcheng, et al. A novel advanced traction power supply system based on modular multilevel converter[J]. IEEE Access, 2019, 7: 165018-165028.

[2] 何晓琼, 韩鹏程, 王怡, 等. 基于级联-并联变换器的贯通式牵引变电所系统研究[J]. 铁道学报, 2017, 39(8): 52-61.

He Xiaoqiong, Han Pengcheng, Wang Yi, et al. Study on advanced cophase traction power substation system based on cascade-parallel converter[J]. Journal of the China Railway Society, 2017, 39(8): 52-61.

[3] 陈冲, 贾利民, 赵天宇, 等. 光伏和储能植入铁路牵引供电系统的拓扑架构与控制策略研究综述[J]. 电工技术学报, 2024, 39(24): 7874-7901.

Chen Chong, Jia Limin, Zhao Tianyu, et al. Research review on topology and control strategy of PV and energy storage connected to railway traction power supply systems[J]. Transactions of China Electro- technical Society, 2024, 39(24): 7874-7901.

[4] 陈艳波, 刘宇翔, 田昊欣, 等. 基于广义目标级联法的多牵引变电站光伏-储能协同规划配置[J]. 电工技术学报, 2024, 39(15): 4599-4612.

Chen Yanbo, Liu Yuxiang, Tian Haoxin, et al. Colla- borative planning and configuration of photovoltaic- energy storage in multi-traction substations based on generalized target cascading method[J]. Journal of Electrical Technology, 2024, 39(15): 4599-4612.

[5] 陈冲, 贾利民, 赵天宇, 等. 去碳化导向的轨道交通与新能源融合发展——形态模式、解决方案和使/赋能技术[J]. 电工技术学报, 2023, 38(12): 3321- 3337.

Chen Chong, Jia Limin, Zhao Tianyu, et al. Decarburization-oriented rail transit and new energy integration development-morphological model, solution and enabling/enabling technology[J]. Journal of Elec- trical Technology, 2023, 38(12): 3321-3337.

[6] Li Bin, Chen Dongyang, He Jiawei, et al. Fault analysis and protection in flexible DC traction power supply system[J]. IEEE Transactions on Trans- portation Electrification, 2024, 10(3): 5599-5613.

[7] 肖嵩, 段君璋, 朱涛, 等. 高速铁路弓网离线过电压对车体电位的影响[J]. 中国铁道科学, 2023, 44(5): 180-190.

Xiao Song, Duan Junzhang, Zhu Tao, et al. Impact of pantograph-catenary off-line overvoltage on car body potential in high-speed railway[J]. China Railway Science, 2023, 44(5): 180-190.

[8] 肖嵩, 曹野, 吴广宁, 等. 高铁过电压对车载牵引供电系统的影响机理及抑制方法: 系统性综述[J]. 中国电机工程学报, 2024, 44(12): 4682-4702.

Xiao Song, Cao Ye, Wu Guangning, et al. Influence mechanism and suppression methodologies of the overvoltage of high-speed railway on the vehicle- mounted traction power supply system: systematic review[J]. Proceedings of the CSEE, 2024, 44(12): 4682-4702.

[9] 刘林青, 葛云龙, 李梦宇, 等. 基于量测数据和数据驱动技术的配电变压器状态监测与故障诊断[J]. 高压电器, 2020, 56(9): 11-19.

Liu Linqing, Ge Yunlong, Li Mengyu, et al. Condition monitoring and fault diagnosis of dis- tribution transformer based on measurement data and data-driven technology[J]. High Voltage Apparatus, 2020, 56(9): 11-19.

[10] 崔昊杨, 蔡杰, 陈磊, 等. 基于颜色编码的非侵入式负荷细粒度识别方法[J]. 电网技术, 2022, 46(4): 1557-1567.

Cui Haoyang, Cai Jie, Chen Lei, et al. Non-intrusive load fine-grained identification based on color encoding[J]. Power grid technology, 2022, 46(4): 1557-1567.

[11] 杨挺, 李大帅, 蔡绍堂, 等. 面向用户隐私保护的用电数据压缩加密方法[J]. 中国电机工程学报, 2022, 42(增刊1): 58-69.

Yang Ting, Li Dashuai, Cai Shaotang, et al. Non- intrusive load fine-grained identification based on color encoding[J]. Proceedings of the CSEE, 2022, 42(S1): 58-69.

[12] 马广富, 高升, 郭延宁. 一类伴有部分解耦干扰的非线性系统故障诊断[J]. 控制理论与应用, 2024, 41(2): 240-248.

Ma Guangfu, Gao Sheng, Guo Yanning. Fault diagnosis design for nonlinear systems corrupted by partially decoupled disturbances[J]. Control Theory & Applications, 2024, 41(2): 240-248.

[13] 谢庆, 张煊宇, 王春鑫, 等. 新一代人工智能技术在输变电设备状态评估中的应用现状及展望[J]. 高压电器, 2022, 58(11): 1-16.

Xie Qing, Zhang Xuanyu, Wang Chunxin, et al. Application status and prospect of the new generation artificial intelligence technology in the state evaluationof power transmission and transformation equipment[J]. High Voltage Apparatus, 2022, 58(11): 1-16.

[14] Gong Peng, Cao Yuan, Cai Baigen, et al. Multi- information location data fusion system of railway signal based on cloud computing[J]. Future Gen- eration Computer Systems, 2018, 88: 594-598.

[15] 刘洋, 尹彦宏, 杨斯泐, 等. 重载铁路牵引变电所数字孪生技术研究与应用[J]. 铁道运输与经济, 2023, 45(11): 106-114.

Liu Yang, Yin Yanhong, Yang Sile, et al. Research and application of digital twin technology in heavy-haul railwaytraction substations[J]. Railway Transportation and Economy, 2023, 45(11): 106-114.

[16] 王续卓, 李正烁, 邢家维, 等. 面向低感知度三相配电网的数据增强状态估计[J]. 中国电机工程学报, 2025, 45(15): 5942-5952.

Wang Xuzhuo, Li Zhengshuo, Xing Jiawei, et al. Data-augmented state estimation for partially visible three-phase distribution networks[J]. Proceedings of the CSEE, 2025, 45(15): 5942-5952.

[17] 朱超. 智能变电站网络采样中关键技术的研究[D]. 南京: 东南大学, 2014.

Zhu Chao. Research on key technologies in network sampling of intelligent substation[D]. Nanjing: Southeast University, 2014.

[18] Li Chen, Wang Kechong, Piao Yinchuan, et al. Surface micro-morphology model involved in grinding of GaN crystals driven by strain-rate and abrasive coupling effects[J]. International Journal of Machine Tools and Manufacture, 2024, 201: 104197.

[19] 李弈, 张金龙, 漆汉宏, 等. 基于变分深度嵌入-带有梯度惩罚的生成对抗网络的锂离子电池老化特性建模[J]. 电工技术学报, 2024, 39(13): 4226-4239.

Li Yi, Zhang Jinlong, Qi Hanhong, et al. Ageing performance modeling of Li-ion batteries based on variational deep embedding-Wasserstein GAN with gradient penalty[J]. Transactions of China Electro- technical Society, 2024, 39(13): 4226-4239.

[20] 朱玲, 李威, 王骞, 等. 基于校正条件生成对抗网络的风电场群绿氢储能系统容量配置[J]. 电工技术学报, 2024, 39(3): 714-730.

Zhu Ling, Li Wei, Wang Qian, et al. Wind farms- green hydrogen energy storage system capacity sizing method based on corrected-conditional generative adversarial network[J]. Transactions of China Elec- trotechnical Society, 2024, 39(3): 714-730.

[21] 李富盛, 林丹, 余涛, 等. 基于改进生成式对抗网络的电气数据升频重建方法[J]. 电力系统自动化, 2022, 46(3): 105-112.

Li Fusheng, Lin Dan, Yu Tao, et al. Frequency- increased reconstruction method for electrical data based on improved generative adversarial network[J]. Automation of Electric Power Systems, 2022, 46(3): 105-112.

[22] 杨玉莲, 齐林海, 王红, 等. 基于生成对抗和双重语义感知的配电网量测数据缺失重构[J]. 电力系统自动化, 2020, 44(18): 46-54.

Yang Yulian, Qi Linhai, Wang Hong, et al. Reconstruction of missing measurement data in distribution network based on generative adversarial network and double semantic perception[J]. Auto- mation of Electric Power Systems, 2020, 44(18): 46-54.

[23] Mi Jiaqi, Ma Congcong, Zheng Lihua, et al. WGAN- CL: a Wasserstein GAN with confidence loss for small-sample augmentation[J]. Expert Systems with Applications, 2023, 233: 120943.

[24] Ren Lei, Wang Haiteng, Laili Yuanjun. Diff-MTS: temporal-augmented conditional diffusion-based AIGC for industrial time series toward the large model era[J]. IEEE Transactions on Cybernetics, 2024, 54(12): 7187-7197.

[25] 王守相, 陈海文, 潘志新, 等. 采用改进生成式对抗网络的电力系统量测缺失数据重建方法[J]. 中国电机工程学报, 2019, 39(1): 56-64, 320.

Wang Shouxiang, Chen Haiwen, Pan Zhixin, et al. A reconstruction method for missing data in power system measurement using an improved generative adversarial network[J]. Proceedings of the CSEE, 2019, 39(1): 56-64, 320.

[26] Loey M, Manogaran G, Khalifa N E M. A deep transfer learning model with classical data augmentation and CGAN to detect COVID-19 from chest CT radiography digital images[J]. Neural Computing & Applications, 2020: 1-13.

[27] Ding Xin, Wang Yongwei, Xu Zuheng, et al. Distilling and transferring knowledge via cGAN- generated samples for image classification and regression[J]. Expert Systems with Applications, 2023, 213: 119060.

[28] Wang Pengyu, Zhu Hongqing, Huang Hui, et al. TMS- GAN: a twofold multi-scale generative adversarial network for single image dehazing[J]. IEEE Transa- ctions on Circuits and Systems for Video Technology, 2022, 32(5): 2760-2772.

[29] Liu Jie, Deng Wenfeng, Yang Chunhua, et al. SI- LSGAN: Complex network structure inference based on least square generative adversarial network[J]. Chaos, Solitons & Fractals, 2023, 173: 113739.

[30] Tov O, Alaluf Y, Nitzan Y, et al. Designing an encoder for StyleGAN image manipulation[J]. ACM Transactions on Graphics, 2021, 40(4): 1-14.

[31] Yang Ping, Li Shichao, Qin Shanyong, et al. Smart grid enterprise decision-making and economic benefit analysis based on LSTM-GAN and edge computing algorithm[J]. Alexandria Engineering Journal, 2024, 104: 314-327.

[32] 刘鑫蕊, 常鹏, 孙秋野. 基于XGBoost和无迹卡尔曼滤波自适应混合预测的电网虚假数据注入攻击检测[J]. 中国电机工程学报, 2021, 41(16): 5462- 5476.

Liu Xinrui, Chang Peng, Sun Qiuye. Grid false data injection attacks detection based on XGBoost and unscented Kalman filter adaptive hybrid prediction[J]. Proceedings of the CSEE, 2021, 41(16): 5462- 5476.

[33] 李大虎, 曹一家. 基于SCADA/PMU混合量测的广域动态实时状态估计方法[J]. 电网技术, 2007, 27(6): 72-78.

Li Dahu, Cao Jia. Wide-area real-time dynamic state estimation method based on hybrid SCADA/PMU measurements[J]. Power System Technology, 2007, 27(6): 72-78.

[34] 张润宝, 杨志鹏. 接触网运行状态检测监测系统研究与实践[J]. 中国铁路, 2019(9): 64-70.

Zhang Runbao, Yang Zhipeng. Research and practice of operation state inspection and monitoring system of overhead contact line system[J]. China Railway, 2019(9): 64-70.

[35] 王雁凌, 吴梦凯, 周子青, 等. 基于改进灰色关联度的电力负荷影响因素量化分析模型[J]. 电网技术, 2017, 41(6): 1772-1778.

Wang Yanling, Wu Mengkai, Zhou Ziqing, et al. Quantitative analysis model of power load influencing factors based on improved grey relational degree[J]. Power System Technology, 2017, 41(6): 1772-1778.

[36] Greff K, Srivastava R K, Koutník J, et al. LSTM: a search space odyssey[J]. IEEE Transactions on Neural Networks and Learning Systems, 2017, 28(10): 2222- 2232.

[37] 刘伟, 王洪志. 基于改进注意力机制的时间卷积网络-长短期记忆网络短期电力负荷预测[J]. 电气技术, 2024, 25(10): 8-14.

Liu Wei, Wang Hongzhi. Short term power load forecasting based on temporal convolutional network- long short term memory and improved attention mechanism[J]. Electrical Engineering, 2024, 25(10): 8-14.

[38] Creswell A, White T, Dumoulin V, et al. Generative adversarial networks: an overview[J]. IEEE Signal Processing Magazine, 2018, 35(1): 53-65.

Key Operation Data Enhancement Method of Traction Power Supply System Driven by Hybrid Long Short-Term Memory Network and Generative Adversarial Network

Ge Leijiao1,2 Lin Keyuan1 Ren Limiao1

(1. School of Automation and Electrical Engineering Lanzhou Jiaotong University Lanzhou 730070 China 2. School of Electrical and Information Engineering Tianjin University Tianjin 300072 China)

Abstract In modern railway transportation systems, the efficient operation and precise control of traction power supply systems are critical for ensuring safety, reliability, and performance. However, existing data acquisition systems, which operate at second-level frequencies, are insufficient to meet the demands of modern traction power supply systems, particularly in scenarios involving high-speed trains, renewable energy integration, and complex fault conditions. This paper proposes an innovative data enhancement method based on a hybrid model that combines long short-term memory (LSTM) networks and generative adversarial networks (GANs).

The proposed method targets two critical issues: (1) the difficulty in capturing complex multivariate correlations among key operational parameters, (2) the inability of existing data enhancement methods to handle the long-term and short-term dependencies in time-series data effectively. Regarding the first challenge, the paper integrates principal component analysis (PCA) and grey relational analysis (GRA) to construct a measurement enhancement matrix. This matrix not only reduces data dimensionality but also thoroughly explores the correlations among variables, thereby enhancing the ability to analyze trends and dynamic changes in the data. For the second challenge, the paper introduces an LSTM-GAN model that leverages the temporal dependency- capturing capabilities of LSTM networks and the high-quality data generation capabilities of GANs. This hybrid model accurately captures the dynamic changes and deep dependency structures in measurement data, achieving high-precision time-series data enhancement. The LSTM-GAN model is designed to overcome the limitations of traditional GANs in handling time-series data. By integrating LSTM networks, the model effectively captures long-term dependencies to analyze transient phenomena such as overvoltage and short-circuit faults during bow-net disconnection. The model’s architecture includes an LSTM module that extracts temporal trends from the input data, which are then used as conditional inputs to the GAN. It allows the generator to produce synthetic data that aligns with the time-series context, ensuring high fidelity to the original data. Additionally, the model incorporates upper and lower bound constraints in the loss function to ensure generated data remains within realistic ranges, further enhancing its applicability to real-world scenarios.

The proposed method was validated using real-time data collected from the onboard monitoring system of a high-speed railway section in Northern China. The results demonstrate significant improvements in data accuracy and variable correlation analysis compared to other data enhancement algorithms. Specifically, the absolute error is reduced by an average of 0.019, and the data generation frequency is enhanced from seconds to milliseconds. The mean absolute error (MAE) and mean absolute percentage error (MAPE) for both current and voltage enhancement using the LSTM-GAN model were significantly lower than those of the other methods.

Keywords:Traction power supply system, data enhancement, long short term memory-generative adversarial network (LSTM-GAN) model, principal component analysis, grey correlation analysis

中图分类号:TM922

DOI: 10.19595/j.cnki.1000-6753.tces.250186

新型电力系统运行与控制全国重点实验室开放基金课题多能互补接入下贯通式柔性牵引供电系统能量优化管理技术(SKLD24KM23)、国家自然科学基金项目(52277118)、兰州交通大学-西南交通大学联合创新基金(LH2024027)、甘肃省重点研发计划-工业类项目(24YFGA039)和天津市自然科学基金多元投入重点项目(No.22JCZDJC00660)资助。

收稿日期 2025-01-27

改稿日期 2025-03-25

作者简介

葛磊蛟 男,1984年生,副教授,博士生导师,研究方向为智能配电网态势感知、轨道交通供电系统状态感知、新能源并网优化控制和人工智能赋能微电网/配电网等。

E-mail: legendglj99@tju.edu.cn

任丽苗 女,1982年生,硕士,讲师,研究方向为轨道交通供电系统状态感知。

E-mail: renlimiao@mail.lzjtu.cn(通信作者)

(编辑 郭丽军)