摘要 “双碳”目标背景下,抽水蓄能电站凭借起停灵活、效率高的特点,在电网调峰调频中起到重要作用。静止变频器(SFC)作为抽水蓄能电站机组起动控制的核心设备,其运行将会产生大量非特征谐波,造成厂用电动设备出现振动、噪声和过热等不良现象,严重时甚至会导致设备故障或烧毁。为解决非特征谐波的产生机理解析难题,该文首先引入谐波转矩概念,建立电机起动过程中的谐波转矩时域模型;然后提出转速扰动影响下的触发角波动表达方法,构建计及触发角偏差量的整流器(REC)交流侧电流精确计算方法,并利用该方法解析了谐波电流的频谱分布及变化规律;最后基于福建省某抽水蓄能电站实际系统结构与参数搭建仿真分析模型,验证了非特征谐波理论模型数学推导的正确性,并采用Fluke-1760电能质量测试仪现场测试了REC交流侧谐波电流。结果表明,SFC非特征谐波的产生主要受REC触发角波动的影响,其谐波特性与触发角的波动频率及波动幅值密切相关,呈现出低频段集中且发射强度较高的特点。相关研究结果能够用于定量分析REC交流侧谐波的频率分布与发射强度,为抽水蓄能电站超短时谐波的测试、评估及治理奠定理论基础。
关键词:静止变频器 非特征谐波 谐波转矩 谐波特性 谐波测试
在“双碳”目标背景下,我国光伏、风电等新能源发电得到大规模高比例的应用,因而电网对调节电源的需求更加迫切。抽水蓄能电站具有经济性好、调节容量大、灵活性强等优势,是电力系统重要的清洁灵活调节电源,在新型电力系统构建中起到重要的作用[1-2]。国家高度重视抽水蓄能电站的建设与发展,《抽水蓄能中长期发展规划(2021—2035年)》提出,2030年我国抽水蓄能投产总规模预计达到1.2亿kW[3]。
谐波污染一直是影响抽水蓄能电站厂用电系统安全性和稳定性的关键问题。研究发现,在电站水泵水轮机组以抽水工况变频起动的过程中,大量谐波入侵到厂用电系统,引发系统局部谐振并导致设备损毁,造成大量经济损失[4-6]。静止变频器(Static Frequency Converter, SFC)是机组变频起动的核心设备,其在拖动机组加速至额定转速的运行过程中向电源侧发出大量谐波,被认为是抽水蓄能电站最主要的谐波源[7-8]。SFC发出的谐波中含有大量5、7、11、13次谐波(6k±1次特征谐波),同时还含有部分非特征谐波[9]。
为解决抽水蓄能电站谐波污染问题,近年来许多研究聚焦于SFC特征谐波的分析与治理。文献[10]将SFC电源侧系统等效为三相理想电压源,得到了机组起动过程中SFC电源侧特征谐波频谱特征。文献[11]建立了SFC网桥换相过程中电源侧电流的时域模型,分析了换相重叠角对SFC特征谐波发射强度的影响。文献[12]建立了计及换相关断时间和换相重叠角双重影响的SFC负荷侧电流精确计算模型,分析了谐波对定子基波磁动势的影响。文献[13]通过分析SFC输入变压器漏感对谐波传递的影响,提出了SFC输入变压器的优化设计方法。文献[14]提出了电站内电抗器改进接线方式,通过增大谐波源至厂用电母线的谐波阻抗,抑制谐波向站内用电系统扩散。但这种方法通常只能抑制较高次数谐波的传导,对于频率接近工频的低次非特征谐波效果不明显。
实际上,随着单调谐滤波器设计技术的进步与成熟,SFC特征谐波的含量已明显被限制,基本符合有关标准[15-16]。而SFC非特征谐波的频率具有时变特性,单调谐滤波器受限于固定的谐振范围,难以对其进行有效消除。随着越来越多的电缆馈线接入厂用电母线,非特征谐波对厂用电系统的谐波污染问题越来越突出,受线路分布电容与变压器杂散电容的影响,非特征谐波还可能产生谐波放大现象,对厂用负荷造成更加严重的影响[17-18]。针对非特征谐波问题,文献[19]分析了SFC系统运行参数对非特征谐波含量的影响规律,并推导了整流器(Rectifier, REC)交流侧非特征谐波电流频率的简化表达式。文献[20]建立了特高压直流输电(High Voltage Direct Current, HVDC)系统谐波电流模型,分析了特高压换流变压器阻抗不平衡和触发角不平衡时对非特征谐波电流产生的影响。文献[21]建立了考虑限流电抗器的SFC电源侧电流精准数学模型,并基于该模型分析了触发角扰动对非特征谐波电流产生的影响,得到了普适性影响规律。但文中仅用方波脉冲来描述扰动,并未对触发角扰动进行详细建模。综上所述,对于HVDC、SFC等交直交变流系统而言,交流侧非特征谐波与变流器触发角偏差密切相关,当触发角输入信号受到扰动或多换流单元触发角存在不平衡时,变流器的交流侧会产生非特征谐波。
由上述研究可知,当前对SFC非特征谐波的研究还不够深入,为彻底解决谐波污染问题,亟须对非特征谐波进行量化分析。工程中,考察谐波源发出的谐波水平通常是对一天或更长时段中的谐波有效值进行测量分析,对短时内的谐波变化不予考 虑[22-23]。然而,谐波本身具有时变性,谐波的幅值和相位受多种因素的影响会不断地发生改变。SFC起动一台机组的时间约为4~5 min,根据文献[24]可划分至超短时谐波,分析此类持续时间短、畸变率高的谐波时,需要对谐波频率分布与发射强度的时变特性进行分析。
基于此,本文针对抽水蓄能电站起动过程中静止变频器发出的非特征谐波开展研究。首先引入谐波转矩概念,建立了电机起动过程中的谐波转矩时域模型;然后推导了转速扰动影响下的触发角波动表达式;之后建立了REC交流侧电流精确计算模型,并分析了转速波动频率与幅值对REC非特征谐波的影响,揭示了非特征谐波频率分布与发射强度的变化规律;最后基于福建省某抽水蓄能电站实际系统结构与参数搭建仿真分析模型,并结合现场测试结果,验证了理论分析的正确性。
目前,抽水蓄能电站机组起动系统应用最广泛的是6-6脉波型SFC,拓扑结构如附图3所示,静止变频起动系统结构如图1所示。模型中,USA、USB、USC为系统三相电源电压,其他主要组成部分包括限流电抗器Lr、整流器、平波电抗器Ld、续流晶闸管VTf、逆变器(Inverter, INV)、输入变压器折算后的漏感
、输出变压器折算后的漏感
以及水泵水轮机。其工作原理如下:系统电源为SFC供电,通过输入变压器降压后,由REC将三相交流电整流为直流电。直流电流id经平波电抗器滤波之后,通过INV逆变为特定频率的三相交流电流isa、isb、isc,注入电机以实现起动调速控制。
图1 静止变频起动系统结构
Fig.1 Structure diagram of static frequency conversion starting system
INV对电机定子绕组输出三电平脉冲电流,每隔60°电角度切换一次导通状态,一个周期内定子向量空间中共产生六种磁动势矢量F12、F23、F34、F45、F56、F61,如附图4所示。依次导通相应序号晶闸管可在定子中建立旋转磁动势矢量,该磁动势矢量始终以一定角度超前于转子磁动势矢量Fr,使电机持续获得正向转矩而保持加速[25-27]。
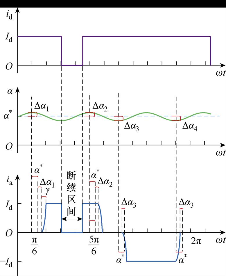
根据电机起动过程中的转子机械角频率,将起动过程分为低速阶段(0~5 Hz)与高速阶段(大于5 Hz)。低速阶段采取超前0°导通方式,此时的机端反电动势很小,不足以支持INV晶闸管可靠换相,故低速阶段INV采用断续换相方式,断续换相工作原理见附图1。断续区间内REC的触发角调整为 150°,对INV直流侧施加反向大电压并触发VTf导通,迫使INV中流经晶闸管的电流在短时间内降为零,造成电机电磁转矩骤减,如图2a所示。高速阶段采取超前60°导通方式,此时INV已经可以利用电机反电动势自然换相,其转矩如图2b所示。
图2 转矩波形
Fig.2 Torque waveforms
图2中,电磁转矩的幅值
,Fs、Fr分别为定子、转子磁动势的幅值,kt为与电机结构参数有关的电磁转矩常数,d为INV断续换相造成的断续角。
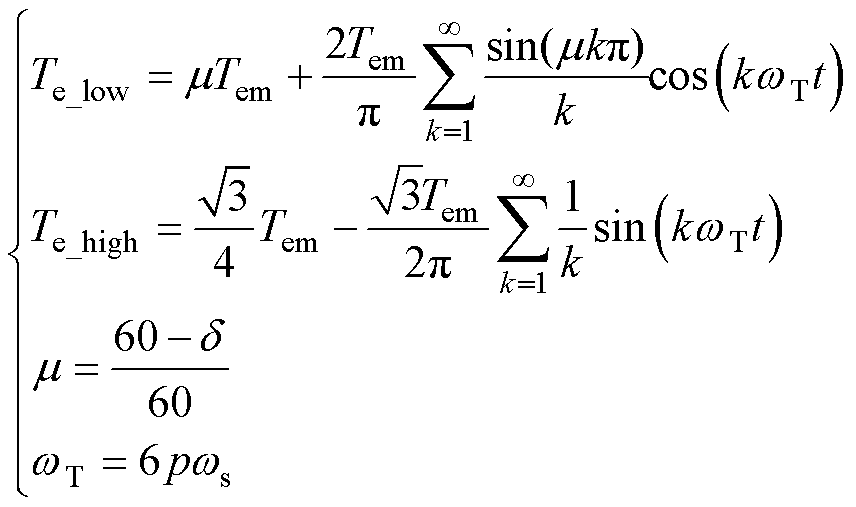
由图2转矩波形可得出,电机起动过程中的低速阶段和高速阶段均存在较为严重的转矩脉动,对两阶段的转矩波形进行傅里叶分解可得
(1)
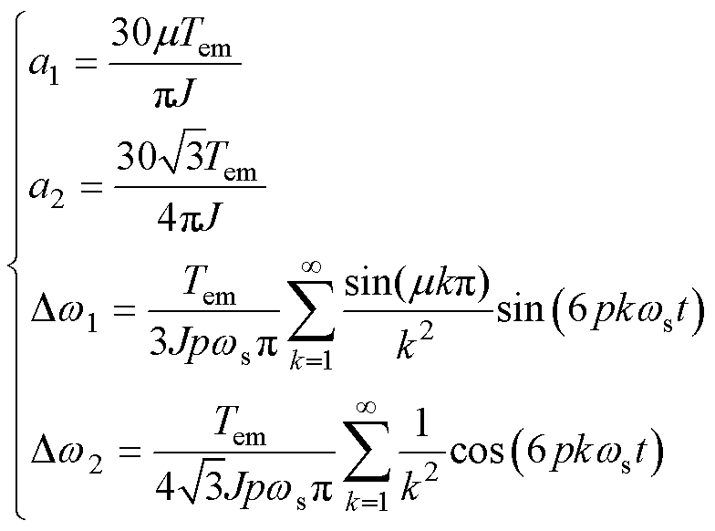
式中,Te_low为低速阶段电机电磁转矩;Te_high为高速阶段电机电磁转矩;wT为周期性电磁转矩的角频率;p为电机旋转磁场的极对数;ws为电机转子机械角速度;m为与转矩中断角相关的常数。
式(1)表明,电机起动的高、低速阶段电磁转矩可以分解为一恒定转矩与多次正弦转矩的叠加。为方便分析,本文类比电力系统谐波分析方法,引入谐波转矩、基频谐波转矩、谐波转矩含有率概念来定量分析转矩脉动程度。①谐波转矩。时域中与时间呈正弦函数关系的转矩;②基频谐波转矩。各次谐波转矩中频率最低的转矩;③谐波转矩含有率。谐波转矩中含有的第h次分量幅值占恒定转矩的百分比。
由式(1)可得,各次谐波转矩的频率与电机转速成正比;各次谐波转矩的幅值在低速阶段受转矩中断角d的影响。因此,谐波转矩的频谱在时域中是动态变化的。取d=1°,根据式(1)绘制出电机起动阶段随转速逐渐上升时的转矩谐波频谱分布如图3所示。
图3 不同转速下的谐波转矩频率与含有率
Fig.3 Harmonic torque frequency and inclusion rate at different speeds
图3a表征SFC起动低速阶段谐波转矩动态变化特性:沿频率轴纵截面观察,任意一转子角速度下的谐波转矩频率由基频谐波转矩分量及其整数倍频分量组成,谐波转矩含有率随频次增加振荡衰减;沿频率轴横截面观察,谐波转矩频率与转速成正比,随着转速升高各次谐波转矩等比增大,频谱曲线整体得到延展。
图3b所示SFC起动高速阶段的谐波转矩变化特性与低速阶段类似,差异在于谐波转矩含有率随频次增加逐次衰减。
根据文献[23]对可控硅整流装置谐波产生原理的论述,当REC给定触发角为一固定值或在一定时间区间内保持不变时,交流侧电流仅含6k±1次特征谐波;当REC触发角存在偏差时,交流侧除了含特征谐波外,还含有非特征谐波。因此,为定量分析REC交流侧产生的非特征谐波,需要推导触发角偏差的时域表达式,并建立能计及触发角偏差影响的REC交流侧电流精确计算模型。
2.1.1 转速波动模型建立
对于励磁同步机来说,转轴上发生任何转矩变化都会直接作用于被控电机,产生转速波动现象[28]。受起动转矩特性的影响,根据电机拖动基本理论,电机的转子运动方程为
(2)
式中,J为转子转动惯量;Te为电机电磁转矩;Tload为负载转矩;gT为其他来源于电机本体、硬件电路、外部环境的不确定性扰动。
由于静止变频起动通常是空载起动,可近似认为Tload=0,理论分析中认为电机只受谐波转矩扰动,故gT=0。将式(1)代入式(2)可求解出机组起动转矩特性影响下的高、低速阶段转子转速时域表达式分别为
(3)
其中
(4)
式中,ai为表征转速上升斜率的常数,i=1, 2;Dw1为低速阶段转速波动分量;Dw2为高速阶段转速波动分量;wswitch为起动低速切换至高速阶段的临界转速。
由式(3)、式(4)可得,电机转速趋于波动上升状态,波动分量Dw由一系列正弦分量叠加组成,各分量频率与谐波转矩一一对应。
2.1.2 转速扰动对触发角波动的传递函数
SFC简化控制系统如图4所示,REC涉及电机转速检测与转速电流双闭环控制;INV涉及转子角度检测与电机驱动电流输出[29-31]。其中,转速给定w*通常为固定斜率的直线或以一定速率变化上升的平滑曲线,电机实际转速跟踪w*而变化。将w*与检测转速w作差得到转速的偏差量,该偏差量输入转速环PI调节器输出得到直流电流输入参考值
,
再与实际直流电流id作差,通过电流PI调节器输出REC触发角信号。
图4 SFC简化控制系统
Fig.4 Simplified of SFC control system
根据整流桥控制原理,由电机转速偏差Dw至直流母线电流id的控制框图如图5所示。
图5 电流环控制框图
Fig.5 Current loop control block diagram
图5中,Knp、Kni、Kip、Kii分别为转速控制器与电流控制器的比例增益参数和积分增益参数;Knp+Kni/s为转速外环PI调节器的传递函数;Kip+Kii/s为电流内环PI调节器的传递函数;一阶惯性环节Ks/(Tss+1)为整流桥的等效传递函数,Ks为整流器的放大倍数,可近似认为输出电压与给定电压相等,即Ks=1,Ts为延时常数;Km/(TLs+1)为同步电机等效环节,TL=ΣL/R,ΣL为整个电流回路的电感,包括平波电抗器电感、电机定子电感等,R为主回路电阻,Km=1/R。
在推导系统传递函数时,通常将整流器等效为一阶惯性环节,认为其在一定的延时下实际输出电压可以无误差跟踪参考值,但这种等效方法无法描述调节过程中的触发角变化。考虑到REC输出电压Ud与触发角给定a*具有Ud=2.34UScosa*的确定关系,US为电源电压有效值,触发角波动Da相对于a*而言为小信号,将图5控制结构变形为转速波动输入、触发角波动输出框图,如图6所示。
图6中,C为表征Da的增益常数,C=dUd/da*。通常在转速波动发生后,SFC控制系统能通过转速、电流双闭环反馈控制恢复转速。但抽水蓄能电站所装配的水泵水轮机多为300 MW大型机组,其定子绕组与平波电抗器都是调速系统电流回路中的大电感,故TL取值较大,很大程度上限制了电流调节的响应速度。因此,SFC调速系统的动态响应速度远远不足,难以通过反馈及时消除扰动,触发角信号易受到转速扰动的持续影响。以电机转速波动Dw为输入信号,REC触发角波动Da为输出信号,其传递函数为
图6 转速波动输入、触发角波动输出框图
Fig.6 Block diagram of speed input and a output
(5)
其中
(6)
由于式(3)中Dw含不同频率的正弦波动信号,而系统对不同频率信号的传递能力有差异,故需要对控制系统的频率特性进行分析。将式(4)中Dw1与Dw2的表达式代入式(5),得出触发角波动分量的时域表达式为
(7)
其中
(8)
(9)
式中,wk为转速波动分量中第k次谐波频率;|G(jwk)|为系统幅频特性对波动信号的增益;ÐG(jwk)为系统相频特性对波动信号的相位偏转。
由式(7)可得,转速波动注入REC控制系统中会引起触发角波动,转速波动分量频率与触发角波动分量频率一致,且转速波动分量传递至触发角波动分量的增益受调节器参数影响。
REC交流侧串联限流电抗器,晶闸管导通切换存在换流时间,需要引入换相重叠角g[32-33]。在保证SFC输出功率不变的情况下,将逆变侧及交流电机等效为电阻,采用分段时域法推导一个周期内SFC交流侧电流表达式。
以图7所示换相过程中A、C换相为例,忽略晶闸管导通时的正向压降,此时VT1、VT5同时导通,可列写KVL与KCL方程为
(10)

图7 换相过程
Fig.7 Commutation process diagram
代入边界条件
可以求得换相过程中电源侧电流表达式。假定触发角a为常数,电源侧电流波形具有对称性,列写半个周期内的a相电流表达式为
(11)
其中
(12)
2.2.1 自然换相阶段的电流计算模型
在自然换相阶段中,考虑触发角波动后,REC中各个晶闸管脉冲触发时间均产生偏差,对交流侧电流造成的影响表现为换相过程半波波形的平移。自然换相阶段a相电流波形如图8所示,a相电流的正负半波在导通与关断时刻受到不同程度触发角扰动,波形分别平移Da1、Da2、Da3、Da4电角度。此时电流波形不再具有半波对称性,一个周期内的a相电流精确表达式为
(13)

图8 自然换相阶段a相电流波形
Fig.8 Waveforms of a-phase current during the natural phase change phase
Dai的取值完全取决于该时刻a相对于触发角指令a*的偏差量,在触发角波动为正弦波或含其他复杂谐波的情况下,几乎都满足Da1≠Da2、Da3≠ Da4,因此式(13)表示的REC电源侧电流为非周期函数。
2.2.2 断续换相阶段的电流计算模型
在断续换相阶段中,REC直流侧电流id在断续区间内降为零。由于id的影响,REC交流侧a相电流ia也同样会发生断续,如图9所示。根据断续换相工作原理,低速阶段的断续区间取决于INV的工作模态。此时REC交流侧a相电流的精确表达式为
(14)
式中,S(t)用以表征该时刻是否处于断续区间内,断续区间内取S(t)=0,断续区间外取S(t)=1。
图9 断续换相阶段a相电流波形
Fig.9 Waveforms of a-phase current during intermittent phase change phase
将触发角波动用正弦波信号来描述,依据式(13)可求得不同触发角波动下的a相电流表达式。进一步地,对所得电流信号进行快速傅里叶变换,分析触发角波动频率与波动幅值对谐波电流的影响。
2.3.1 触发角波动频率对谐波电流影响
假定电源侧供电电压稳定不变,分析触发角波动频率对REC电源侧谐波电流影响。给定REC输入触发角指令a*=20°,加入幅值为5°的正弦波动Da(t),以不同波动频率设置10、25、50、75、100、110 Hz以及10 Hz叠加75 Hz共七组对照波动信号。谐波电流频谱如图10所示,经分析可得:
(1)波动频率不大于50 Hz时,非特征谐波以边带谐波的形式分布在基波与6k±1次特征谐波频率点两侧,非特征谐波与特征谐波的频率差值为触发角波动频率。以对照组1为例:输入10 Hz正弦波动,基波两侧产生40 Hz与60 Hz非特征谐波、5次特征谐波两侧产生240 Hz与260 Hz非特征谐波。

图10 不同频率Da输入下的谐波电流频谱
Fig.10 Harmonic current spectrum at different frequency Da inputs
(2)波动频率大于50 Hz时,非特征谐波仍以边带谐波的形式分布在基波与6k±1次特征谐波两侧,但频率差值为触发角波动频率或波动频率除以基波频率的余数。以对照组4为例:输入75 Hz正弦波动,基波两侧分别产生25 Hz与125 Hz的非特征谐波、5次特征谐波两侧产生175 Hz与275 Hz的非特征谐波。
(3)当触发角波动为不同频率正弦波信号的叠加时,所产生非特征谐波的频率集为各频率波动信号单独作用下非特征谐波频率集的并集。以对照组7为例:输入10 Hz叠加75 Hz正弦波动,基波两侧分别产生25 Hz、40 Hz,60 Hz、125 Hz的非特征谐波,5次特征谐波两侧产生175 Hz、240 Hz、260 Hz与275 Hz的非特征谐波。
2.3.2 触发角波动幅值对谐波电流影响
给定REC输入触发角指令a*=20°,加入频率为110 Hz的正弦波动Da(t),设置波动幅值为3°、7°、10°的3个对照组。谐波电流频谱结果如图11所示,经分析可得:
(1)各对照组的特征谐波含有率近乎一致,触发角波动幅值不影响特征谐波含有率。
(2)各对照组的非特征谐波频率完全一致,触发角波动幅值不影响非特征谐波的频率分布。
(3)随着波动幅值增加,各次非特征谐波含有率均增大,触发角波动幅值影响非特征谐波含有率和谐波电流总谐波畸变率(Total Harmonic Dis- tortion, THD)。
2.3.3 SFC运行触发角波动对谐波电流的影响
给定REC输入触发角指令a*=20°,将式(7)所示SFC起动电机低速与高速阶段下的触发角波动Dai(t)代入式(13)、式(14)中,经过傅里叶变换的谐波电流频谱如图12所示。
图11 不同Da幅值输入下的谐波电流频谱
Fig.11 Harmonic current spectrum at different amplitude Da inputs
图12 SFC运行触发角波动下的谐波电流频谱
Fig.12 Harmonic current spectrum under fluctuating trigger angle of SFC operation
根据2.1.2节理论推导,SFC运行过程中的触发角波动Da(t)可被视作一系列正弦波信号的复合叠加。在多个触发角波动的共同作用下,非特征谐波会出现叠加现象,使得非特征谐波的频率分布呈现出复杂性。从图12a中可以看出,尽管低速阶段非特征谐波在频谱的各个频率点上均有分布,但发射强度较高的非特征谐波主要集中于基波及其5次谐波附近,具有明显的分布特征。根据图12b所示,在电机高速阶段,非特征谐波在各频率点上的发射强度均维持在较低水平,对谐波整体未产生显著影响。
为验证上述SFC起动电机过程非特征谐波产生机理分析的正确性,基于Matlab/Simulink平台搭建了SFC拖动电机从静止加速至额定转速的仿真模型。仿真参考福建省某抽水蓄能电站实际系统结构与参数,为了更好地观察到REC触发角波动变化,仿真中适当增加了转速环PI调节器参数KP、KI,主要设备参数见表1。
表1 抽水蓄能电站主要设备参数
Tab.1 Parameters of pumped storage power station
参 数数 值 水泵水轮机额定功率/MW300 额定频率/Hz50 极对数7 额定电压/kV15.75 额定电流/A12 219 直轴同步电抗(pu)0.94 交轴同步电抗(pu)0.66 转动惯量/(kg·m2)1 512 919 额定转速/(r/min)428.6 静止变频器平波电抗器电感/mH5.7 电抗器电感/mH1 降压变电压比及联结组别15.75 kV/7.1 kV Dy5 升压变电压比及联结组别7.1 kV/15.75 kV Dy5 降压变漏感/mH0.8 升压变漏感/mH0.8 额定直流电流/A2 605 转速环比例参数Knp1 000 转速环积分参数Kni500 电流环比例参数Kip0.2 电流环积分参数Kii1 主变压器二次侧额定电压/kV15.75
对SFC拖动电机从静止加速至额定转速的起动过程进行仿真分析,电机转速波动上升波形如图13所示。0~10 s时电机完成励磁投入与初始定位,10~34 s时电机处于断续换相的低速起动阶段,36~251 s时电机处于自然换相的高速起动运行阶段。其中,低速阶段下的转速波动呈折线状,高速阶段下的转速波动呈平滑状,说明低速阶段转速波动对控制系统产生的扰动影响更为严重。
图13 电机转速上升波形
Fig.13 Motor speed rise waveforms
低速、高速阶段下的电磁转矩与REC触发角波形如图14所示。低速阶段中,电磁转矩因INV注入电机的供电电流断续而出现瞬时转矩急剧下降,波形接近方波脉冲。断续发生时,REC触发角由稳定状态时的83°跳变至150°;断续结束后,REC触发角从150°跳变至21°,产生严重超调现象。高速阶段中,电磁转矩波形接近三角波,REC触发角在68°~72°范围内波动,波动幅值不超过3°。相较高速阶段而言,低速阶段触发角的波动现象显著,波动幅度更大。
图14 电机转矩与REC触发角波形
Fig.14 Motor torque and REC trigger angle waveforms
图15为低速、高速阶段下的REC电源侧降压变压器高压侧单相电流波形。低速阶段中,电源侧电流受大幅触发角波动的影响,在断续区间内强迫降为零,发生较为严重的谐波畸变;高速阶段中,触发角波动幅度小,电源侧电流波形在小范围内平移,谐波畸变程度较低。提取两阶段下的电流波形的THD和各次谐波含量得到谐波电流频谱如图16所示,经分析可得:
图15 REC电源侧电流波形
Fig.15 REC power side current waveforms
图16 起动过程谐波电流频谱
Fig.16 Harmonic current spectrum during start-up
(1)高、低速阶段谐波电流THD分别为31.57%和43.70%,均远超文献[22]规定的电网谐波限值,其中低速阶段谐波畸变更加严重。
(2)低速阶段谐波电流中含大量非特征谐波,其中低频谐波的含量较高,主要分布在基波与5次谐波频率点两侧。
(3)低速阶段5、7、11、13次谐波电流含有率为18.1%、8.9%、7.5%、5.0%,高速阶段同次谐波含有率为20.7%、10.8%、6.9%、4.3%,故低速阶段特征谐波含量略小于高速阶段。
基于第2节机理分析和3.1节的仿真验证,对某抽水蓄能电站机组起动抽水工况下的SFC电源侧三相电流进行实际测量,实际测试如图17所示。测试仪器采用Fluke-1760电能质量测试仪与Fluke TPS CLAMP 200 A/20 A夹式电流互感器。电能质量测试仪通过电流夹连接在SFC输入变保护柜YCHE30 GH001交流进线处,设定采样频率为10.24 kHz。
图17 实际测试
Fig.17 Actual test chart
测试以3 s为记录间隔,采用连续15个10周波谐波的平均有效值,记录了SFC拖动电机从静止加速至额定转速过程中约5 min的电流实时波形。图18为起动全过程中的基波电流有效值,易于观察到起动过程各阶段的过渡。图19分别记录了低速、高速阶段SFC电源侧a相电流实时波形。如图19a所示,在进入断续区间后,电流被强迫降为零,造成严重的波形畸变;如图19b所示,换相点发生了较小范围的平移,波形的畸变程度相对较低。两种阶段的电流波形特征与理论推导及仿真分析结果基本一致。
图18 电机起动过程SFC电源侧电流有效值
Fig.18 RMS value of SFC power supply side current during motor startup

图19 电机起动过程SFC电源侧电流波形
Fig.19 Current waveforms of SFC power supply side during motor starting process
利用Fluke-1760电能质量测试仪报表软件内置的谐波分析工具,对测试录波数据的谐波有效值与谐波频谱进行分析。图20a表示电机起动过程中的转速波形,转子由静止加速至额定转速428.57 r/min。起动过程中各次特征谐波有效值如图20b所示,其中低速阶段5次谐波电流约为80 A,远大于其他特征谐波。由于谐波电流有效值与基波电流有效值具有正相关性,高速阶段的谐波电流总体水平远高于低速阶段,各次谐波有效值约为5次谐波189 A、7次谐波91 A、11次谐波63 A、13次谐波43 A。图20c表示非特征谐波电流有效值,其中低速阶段的非特征谐波有效值明显大于高速阶段,这与特征谐波恰好相反。同时,低速阶段非特征谐波有效值明显具有随转速上升而增加的趋势,而高速阶段非特征谐波有效值随着转速增加逐渐降低。
通过谐波频谱对起动过程低速阶段与高速阶段的各次谐波电流含量进行分析。电机起动过程测点谐波波谱如图21所示。由图21可得,高、低速阶段谐波电流THD分别为29.53%和40.30%,低速阶段谐波电流包含大量250 Hz以下的低频非特征谐波,而高速阶段非特征谐波含量低,仅在特征谐波附近有少量分布。
图20 转速及各次特征谐波、非特征谐波有效值
Fig.20 Speed and RMS value of each characteristic harmonic and non-characteristic harmonic
图21 电机起动过程测点谐波波谱
Fig.21 Harmonic spectra of motor starting process measurement points
综上所述,实测实验结果与仿真分析结果一致,验证了本文非特征谐波产生机理推导的正确性。值得注意的是,虽然低速阶段谐波电流总体水平低于高速阶段,但其中低频非特征谐波的含量较高,对于电站中接有大量敏感设备的公共连接点需要重点防范低速阶段的非特征谐波扩散。
针对抽水蓄能电站厂用电系统谐波污染问题,本文考虑机组起动转矩特性,详细推导了SFC起动机组过程中非特征谐波产生机理,主要结论如下:
1)SFC起动下的水泵水轮机电磁转矩可表示为恒定转矩及一系列谐波转矩,谐波转矩作用于SFC调速控制系统,在REC给定触发角信号中产生与谐波转矩同频的波动分量。
2)推导了计及触发角波动的REC交流侧电流精确表达式,分析发现非特征谐波以边带谐波的形式分布在基波与特征谐波频率点两侧,非特征谐波的频率分布和发射强度与触发角的波动频率和波动幅值有关。
3)在水泵水轮机变频起动的0~5 Hz低速阶段,SFC向电源侧注入的非特征谐波具有低频段集中且发射强度较高的特点,有效值峰值接近100 A,频谱集中分布在0~250 Hz范围内。
值得说明的是,本文所建模型可用于定量分析REC电源侧谐波的频率分布与发射强度,为抽水蓄能电站超短时谐波的测试、评估及治理奠定基础。而且,所建REC电流精确计算模型具有普适性,能够为各类存在触发角扰动的交直交系统提供有效的谐波分析工具。
附 录
当电机转速较低(如低于5 Hz)时,电机的反电动势较小,无法有效地使晶闸管关断。在这种情况下,可采用断续换相的方法,通过一定措施使流过晶闸管的电流降为零,从而实现关断。断续换相基本原理如附图1所示,断续期间将REC的触发角a设置为150°,使REC工作在有源逆变模式输出负电压,再触发与平波电抗器反并联的续流晶闸管导通,使得流过平波电抗器上的电流转移到续流回路中。此时,SFC回路中的电流在反电压的作用下逐渐减小至零,使得INV导通状态下的晶闸管关断。在电流断续一段时间后,REC恢复正常的整流工作,并触发下一相晶闸管,实现换相过程。断续持续时间的选取对电机起动影响不大,通常只需确保此时INV的晶闸管已全部关断。INV每隔电机定子电压相位增加60°切换一次导通模态,本文近似取INV一次导通模态持续时间的1/10。
附图1 断续换相原理
App.Fig.1 Intermittent phase change schematic
断续换相期间INV工作状态如附图2所示,在一次电流断续发生时,REC触发角先从83°跳变至150°,再从150°跳变至21°。当INV从一个导通状态切换至另一个导通状态时,电流断续过程开始,此时INV所有晶闸管均未接收到触发信号。在电流断续过程中,INV的输出电流在负电压的作用下逐渐衰减至零。待电流降至零后,保持短暂的间隔时间,然后触发下一组晶闸管导通,完成换相过程。抽水蓄能电站起动系统拓扑结构如附图3所示,旋转磁动势矢量如附图4所示。
附图2 断续换相期间INV工作状态
App.Fig.2 INV operating status during intermittent phase change
附图3 抽水蓄能电站起动系统拓扑结构
App.Fig.3 Pumped storage power plant starting system topology
附图4 旋转磁动势矢量
App.Fig.4 Vector of rotating magnetic motive force
参考文献
[1] 张洪基, 丁涛, 黄雨涵, 等. 电力市场环境下抽水蓄能电站容量电费定价与成本分摊方法[J]. 电力系统自动化, 2024, 48(11): 88-99.
Zhang Hongji, Ding Tao, Huang Yuhan, et al. Pricing and cost allocation methods for capacity charges of pumped storage power stations in electricity market environment[J]. Automation of Electric Power Systems, 2024, 48(11): 88-99.
[2] 王海伦, 丁一凡, 李杨, 等. 计及混合式抽水蓄能改造的清洁微网分布鲁棒容量优化配置[J]. 电工技术学报, 2025, 40(7): 2112-2126.
Wang Hailun, Ding Yifan, Li Yang, et al. Dis- tributionally robust capacity optimization for clean energy microgrid considering pumped-storage retro- fitting[J]. Transactions of China Electrotechnical Society, 2025, 40(7): 2112-2126.
[3] 肖广磊, 王振明, 李晓雯, 等. “双碳”目标下抽水蓄能电站建设分析[J]. 水科学与工程技术, 2023(2): 93-96.
Xiao Guanglei, Wang Zhenming, Li Xiaowen, et al. Analysis of pumped storage power station con- struction under the goal of double carbon[J]. Water Sciences and Engineering Technology, 2023(2): 93-96.
[4] 高本锋, 崔浩江, 杨鹏, 等. 抑制直流连续换相失败的可变速抽水蓄能机组协调控制策略[J]. 电工技术学报, 2025, 40(5): 1368-1381, 1454.
Gao Benfeng, Cui Haojiang, Yang Peng, et al. Coordinated control strategy of variable speed pumped storage unit for suppressing continuous commutation failure of HVDC[J]. Transactions of China Electrotechnical Society, 2025, 40(5): 1368- 1381, 1454.
[5] 袁波, 张健, 张顺仁, 等. 抽水蓄能SFC拖动过程电能质量测试方案设计及应用[J]. 水电能源科学, 2021, 39(2): 183-185, 199.
Yuan Bo, Zhang Jian, Zhang Shunren, et al. Power quality test scheme design of pumped-storage SFC startup process and its application[J]. Water Resources and Power, 2021, 39(2): 183-185, 199.
[6] Boby M, Arun Rahul S, Gopakumar K, et al. A low-order harmonic elimination scheme for induction motor drives using a multilevel octadecagonal space vector structure with a single DC source[J]. IEEE Transactions on Power Electronics, 2018, 33(3): 2430-2437.
[7] 袁雷, 程剑波, 徐岸非, 等. 双三相永磁同步电机两相开路谐波抑制矢量容错控制[J]. 电工技术学报, 2025, 40(18): 5945-5958.
Yuan Lei, Cheng Jianbo, Xu Anfei, et al. Vector fault- olerant control with harmonic suppression for a dual three-phase permanent magnet synchronous motor under two-phase open-circuit conditions[J]. Transa- ions of China Electrotechnical Society, 2025, 40(18): 5945-5958.
[8] 李天楚, 容斌, 伍智鹏, 等. 两级式单相变频器超高次谐波发射机理研究[J/OL]. 电源学报, 1-16 [2024-08-04]. http://kns.cnki.net/kcms/detail/12.1420. TM.20230414.1925.006.html.
Li Tianchu, Rong Bin, Wu Zhipeng, et al. Study on supraharmonic emission mechanism for two- stagesingle-phase frequency converter[J/OL]. Journal of Power Supply, 1-16 [2024-08-04]. http://kns. cnki.net/kcms/detail/12.1420.TM.20230414.1925.006.html.
[9] 杨帆, 李晓明, 郑秀玉, 等. 电力系统分数次谐波的产生机理、危害与特征[J]. 高电压技术, 2007, 33(12): 153-156.
Yang Fan, Li Xiaoming, Zheng Xiuyu, et al. Representative characteristics, emergence mechanism and their harms for fraction-harmonics[J]. High Voltage Engineering, 2007, 33(12): 153-156.
[10] 泰荣, 李子龙, 王熙. 抽水蓄能电站网侧谐波分析与消除[J]. 水电与抽水蓄能, 2019, 5(5): 78-82.
Tai Rong, Li Zilong, Wang Xi. Analysis and elimination of harmonics in power grid of pumped storage power station[J]. Hydropower and Pumped Storage, 2019, 5(5): 78-82.
[11] 何峰宇. 抽水蓄能电站谐波分析及其谐波抑制装置的损耗分析[D]. 杭州: 浙江大学, 2008.
He Fengyu. Analysis on harmonic of pumped storage power station and loss breakdown of active power filter for harmonic suppression[D]. Hangzhou: Zhejiang University, 2008.
[12] 陶大军, 戈宝军, 林鹏, 等. 发电电动机静止变频器起动低频运行阶段的谐波特性[J]. 中国电机工程学报, 2014, 34(36): 6450-6457.
Tao Dajun, Ge Baojun, Lin Peng, et al. Harmonics characteristics of generator/motor starting with static frequency converter during low frequency[J]. Pro- ceedings of the CSEE, 2014, 34(36): 6450-6457.
[13] 何峰宇, 杨建军, 陈敏, 等. 抽水蓄能电站SFC输入变压器漏抗对谐波影响分析[J]. 机电工程, 2008, 25(8): 47-49.
He Fengyu, Yang Jianjun, Chen Min, et al. Analysis on harmonic with leakage inductance of SFC input transformer for pumped storage power station[J]. Mechanical & Electrical Engineering Magazine, 2008, 25(8): 47-49.
[14] 郝国文. 抽水蓄能电站厂用电谐波的抑制[J]. 水电与抽水蓄能, 2015, 1(4): 99-102, 106.
Hao Guowen. Restrain harmonic of station service in the pumped storage power station[J]. Hydropower and Pumped Storage, 2015, 1(4): 99-102, 106.
[15] 吴俊, 黄弘扬, 徐群伟, 等. LCC-HVDC换流站交流侧非特征次谐波产生机理与抑制方法研究[J]. 电力电容器与无功补偿, 2022, 43(4): 93-100.
Wu Jun, Huang Hongyang, Xu Qunwei, et al. Research on generation mechanism and suppression methods of non-characteristic sub-harmonics on AC side of LCC-HVDC converter station[J]. Power Capacitor & Reactive Power Compensation, 2022, 43(4): 93-100.
[16] Zhou Xuesong, Cui Yangyang, Ma Youjie. Fuzzy linear active disturbance rejection control of injection hybrid active power filter for medium and high voltage distribution network[J]. IEEE Access, 2021, 9: 8421-8432.
[17] Micallef A, Apap M, Spiteri-Staines C, et al. Mitigation of harmonics in grid-connected and islanded microgrids via virtual admittances and impedances[J]. IEEE Transactions on Smart Grid, 2017, 8(2): 651-661.
[18] 赵伟, 姜飞, 涂春鸣, 等. 电动汽车充电站入网谐波分析[J]. 电力自动化设备, 2014, 34(11): 61-66.
Zhao Wei, Jiang Fei, Tu Chunming, et al. Harmonic currents of grid-connected EV charging station[J]. Electric Power Automation Equipment, 2014, 34(11): 61-66.
[19] 石祥建, 司红建, 吴小放, 等. 静止变频器系统分数次谐波分析[J]. 江苏电机工程, 2012, 31(5): 36-39.
Shi Xiangjian, Si Hongjian, Wu Xiaofang, et al. The analysis on system fractional harmonie of static frequency converter[J]. Jiangsu Electrical Engin- eering, 2012, 31(5): 36-39.
[20] 周国伟, 顾用地, 周建平, 等. 特高压直流输电系统非特征谐波分析[J]. 电力系统保护与控制, 2016, 44(3): 122-128.
Zhou Guowei, Gu Yongdi, Zhou Jianping, et al. Analysis of non-characteristic harmonic in UHVDC system[J]. Power System Protection and Control, 2016, 44(3): 122-128.
[21] 兰征, 彭曦, 姜飞, 等. 静止变频器起动过程非特征谐波特性分析[J/OL]. 电网技术, 1-12 [2024- 08-04]. https://doi.org/10.13335/j.1000-3673.pst.2024. 0405.
Lan Zheng, Peng Xi, Jang Fei, et al. Analysis of non-characteristic harmonic characteristics during the starting process of static frequency converter[J/OL]. Power System Technology, 1-12 [2024-08-04]. https://doi.org/10.13335/j.1000-3673.pst.2024.0405.
[22] 国家技术监督局. 电能质量 公用电网谐波: GB/T 14549—1993[S]. 北京: 中国标准出版社, 1994.
[23] 国家质量监督检验检疫总局, 中国国家标准化管理委员会. 电能质量 公用电网间谐波: GB/T 24337—2009[S]. 北京: 中国标准出版社, 2010.
[24] Recommended Practice and Requirements for Harmonic Control in Electric Power Systems: IEEE 519[S]. IEEE, 2014.
[25] 郭国伟. 抽水蓄能机组静止变频起动控制技术研究[D]. 哈尔滨: 哈尔滨工业大学, 2014.
Guo Guowei. Research on static frequency start-up control strategies for a pumped storage unit[D]. Harbin: Harbin Institute of Technology, 2014.
[26] 齐鹏, 李永刚, 马明晗. 抽水蓄能电机转子匝间短路无传感器检测方法[J]. 电工技术学报, 2024, 39(20): 6431-6443.
Qi Peng, Li Yonggang, Ma Minghan. Sensorless detection method of rotor inter-turn short circuit in pumped storage motors[J]. Transactions of China Electrotechnical Society, 2024, 39(20): 6431-6443.
[27] 庄凯勋, 孙建军, 丁理杰, 等. 提升双馈变速抽水蓄能机组频率响应特性的控制策略[J]. 电工技术学报, 2023, 38(23): 6292-6304.
Zhuang Kaixun, Sun Jianjun, Ding Lijie, et al. A control strategy with improved frequency response characteristics of variable speed DFIM pumped storage[J]. Transactions of China Electrotechnical Society, 2023, 38(23): 6292-6304.
[28] Verma P, Seethalekshmi K, Dwivedi B. A cooperative approach of frequency regulation through virtual inertia control and enhancement of low voltage ride-through in DFIG-based wind farm[J]. Journal of Modern Power Systems and Clean Energy, 2022, 10(6): 1519-1530.
[29] Papaefthymiou S V, Karamanou E G, Papathanassiou S A, et al. A wind-hydro-pumped storage station leading to high RES penetration in the autonomous island system of Ikaria[J]. IEEE Transactions on Sustainable Energy, 2010, 1(3): 163-172.
[30] 郑涛, 黄予园, 宗伟, 等. 光伏并网系统故障二次谐波产生机理及其对变压器保护的影响[J]. 电力系统保护与控制, 2020, 48(12): 13-22.
Zheng Tao, Huang Yuyuan, Zong Wei, et al. Second harmonic generation mechanism of a photovoltaic grid-connected system fault and its influence on transformer protection[J]. Power System Protection and Control, 2020, 48(12): 13-22.
[31] 阳辉, 伊禹名, 付方圆, 等. 零序电流励磁型电机驱动拓扑及控制技术研究现状与展望[J]. 电工技术学报, 2025, 40(2): 398-414.
Yang Hui, Yi Yuming, Fu Fangyuan, et al. State- of-the-art and future trends of zero-sequence current excited machines: drive topology and control tech- nologies[J]. Transactions of China Electrotechnical Society, 2025, 40(2): 398-414.
[32] 李琼林, 刘会金, 张振环, 等. 基于互调原理的交直交变流系统中的间谐波分析[J]. 中国电机工程学报, 2007, 27(34): 107-114.
Li Qionglin, Liu Huijin, Zhang Zhenhuan, et al. Interharmonic analysis in the AC/DC/AC system based on intermodulation theory[J]. Proceedings of the CSEE, 2007, 27(34): 107-114.
[33] 黄天超, 王泽忠. 地磁暴对直流输电逆变侧换相角及谐波的影响机理分析[J]. 电工技术学报, 2020, 35(16): 3377-3384.
Huang Tianchao, Wang Zezhong. Mechanism analysis of geomagnetic storm on commutation angle and harmonic of invert side of HVDC transmission[J]. Transactions of China Electrotechnical Society, 2020, 35(16): 3377-3384.
Abstract The SFC, as the core equipment for the startup control of pumped storage power plant units, emits many harmonics to the power supply side during the acceleration of the units to their rated speeds. As more cable feeders are linked to the plant bus, the issue of harmonic pollution from non-characteristic harmonics on the plant power system becomes increasingly visible. This paper examines the impact of REC trigger angle fluctuations and intermittent phase changes in the inverter (INV). An accurate calculation model of the AC side current of REC is developed to quantitatively analyze the spectral distribution of harmonic currents on the power side of the SFC.
Firstly, the concept of harmonic torque is introduced to decompose the electromagnetic torque at the high and low speed stages of the motor startup into the superposition of a constant torque and a harmonic torque. Secondly, the motor speed fluctuation component generated by the harmonic torque is obtained through the motor rotor equation of motion. Then, the transfer function in the control system with the rotational speed fluctuation component as the input and the trigger angle fluctuation component as the output is derived. The time-domain expression for the trigger angle fluctuation of the REC can be obtained. Finally, the trigger angle fluctuation is brought into the expression of the REC AC side current to establish an accurate calculation model of the REC AC side current in one cycle, and the frequency and amplitude of the trigger angle fluctuation are analyzed to determine the influence of the trigger angle fluctuation on the REC non-characteristic harmonics through the FFT.
Under varying trigger angle fluctuation signals, non-characteristic harmonics manifest as sideband harmonics adjacent to the fundamental frequency and the characteristic harmonic frequencies at 6k±1. The frequency offsets of these non-characteristic harmonics correspond to the frequency of the trigger angle perturbation or the remainder obtained after division by the fundamental frequency. When the trigger angle perturbation comprises a superposition of multiple sinusoidal signals with distinct frequencies, the resultant set of non-characteristic harmonic frequencies is a composite of the individual sets produced by each single-frequency perturbation. Simulation results indicate that during the low-speed phase, an intermittent phase change causes the REC trigger angle to shift abruptly from a steady state of 83° to 150°. The trigger angle experiences a sudden transition from 150° to 21°, resulting in significant fluctuations. Conversely, during the high-speed phase, the REC trigger angle exhibits stable fluctuations between 68° and 72°, with an amplitude of no more than 3°, indicating a relatively minor fluctuation. Correspondingly, the THD of the harmonic current on the AC side of the REC is recorded at 43.70% during the low-speed phase and 31.57% during the high-speed phase. Specifically, the contributions of the 5th, 7th, 11th, and 13th harmonic currents are 18.1%, 8.9%, 7.5%, and 5.0% in the low-speed phase, and 20.7%, 10.8%, 6.9%, and 4.3% in the high-speed phase.
The following conclusions can be drawn. (1) The harmonic torque influences the SFC speed control system, producing a fluctuation component that matches the frequency of the harmonic torque in the trigger angle signal provided to the REC. (2) The non-characteristic harmonics of the REC are distributed as sideband harmonics surrounding the fundamental and characteristic harmonic frequency points, with their frequency distribution and emission intensity being contingent upon the fluctuation frequency and amplitude of the trigger angle. (3) During the low-speed phase of the pump turbine's frequency conversion startup, the non-characteristic harmonics introduced by the SFC to the power supply side are characterized by a concentration in the low-frequency band and a high emission intensity, with peak RMS values approaching 100 A, and the spectral content predominantly concentrated within the 0~250 Hz range.
Keywords:Stationary frequency converters, non-characteristic harmonic, harmonic torque, harmonic characteristics, harmonic testing
中图分类号:TM921
DOI: 10.19595/j.cnki.1000-6753.tces.250087
国家自然科学基金项目(52377166)和珠海市产学研合作项目(2320004002712)资助。
收稿日期 2025-01-15
改稿日期 2025-04-13
李仲龙 男,2000年生,硕士研究生,研究方向为电力电子在电力系统中的应用。
E-mail: 931279769@qq.com
姜 飞 男,1985年生,教授,博士生导师,研究方向为电力系统电力电子装备、电能质量与高效利用、新型电力系统防灾减灾等。
E-mail: jiamg85521@126.com(通信作者)
(编辑 陈 诚)