摘要 “沙戈荒”地区风电经高压直流输电(LCC-HVDC)外送系统中,采用构网型技术可以提供频率和电压支撑,提升直流送端电网的稳定性。然而,匹配控制构网型风电场(MC-PMSG)经LCC-HVDC外送系统可能存在次同步振荡(SSO)风险,其振荡特性及抑制策略需进一步研究。该文首先建立MC-PMSG经LCC-HVDC送出系统的小信号模型,基于特征值法分析系统的SSO特性;其次,提出附加阻尼控制策略,基于阻尼路径法分离出附加阻尼控制器(SSDC)对SSO模式阻尼的影响;然后,以SSDC所提供的正阻尼最大为优化目标,通过粒子群算法对SSDC参数进行优化;最后,基于PSCAD/EMTDC电磁暂态仿真平台验证理论分析结果的可靠性。结果表明:系统存在匹配控制主导、LCC-HVDC参与的SSO模态;在MC-PMSG控制器参数、LCC-HVDC控制器参数、MC-PMSG容量及直流电容大小改变时,SSDC均能使系统总阻尼得到大幅度提升,进而实现SSO抑制。
关键词:构网型控制 匹配控制 电网换相高压直流输电 阻尼路径 振荡抑制
双碳背景下,大力建设以沙漠、戈壁、荒漠地区为重点的大型新能源基地是推动新型电力系统发展的重要举措[1]。我国风电资源主要集中在西部北部地区,而负荷中心主要集中在中东部地区,资源与负荷的逆向分布使大功率长距离传输成为必然要求,而电网换相高压直流输电(Line Commutated Converter based High Voltage Direct Current, LCC- HVDC)凭借传输容量大、成本低等优势,成为新能源远距离外送的主要形式之一[2-3]。
当前电力系统中,已投运的风力发电机组网侧变流器(Grid Side Converter, GSC)多采用跟网型控制,主动支撑能力较弱[4],难以满足LCC-HVDC运行所需的换相电压。同时,受地理环境的限制,在LCC-HVDC送端建立常规电源如火电机组的难度较大,这也违背了我国发展新能源的初衷。针对上述问题,一种较为有效的解决方案是采用构网型控制策略。
构网型常见控制策略有下垂控制、虚拟同步机控制和匹配控制[5-7]。下垂控制和虚拟同步机(Virtual Synchronous Generator, VSG)控制直接反映了同步发电机的功角运动特征,匹配控制则利用直流电压和交流电压角频率的匹配关系,依据直流侧电容的惯性实现与电网的自主同步功能[8]。三种控制方式在风电并网系统中的研究各有侧重点,针对基于VSG控制的直驱风机,次同步振荡问题研究较少,多侧重于研究低频振荡问题[9-12]。而匹配控制直驱风机(Matching Control-Permanent Magnet Synchronous Generator, MC-PMSG)侧重于探究其次同步振荡原 理[13-15],低频振荡问题往往被视为“无阻尼失稳”的衍生现象,实际应用中通过附加反馈或前馈阻尼支路等间接解决该问题,不作为研究焦点[16]。基于控制特性,构网型换流器相较跟网型换流器具备更好的电压、频率支撑能力。因此,在风电经直流送出系统中采用基于匹配控制的构网型直驱风机能够提升系统的惯量、改善系统阻尼特性[17]。
然而,由于MC-PMSG与LCC-HVDC之间的动态交互作用较为复杂,在部分工况下,MC-PMSG经LCC-HVDC送出系统可能面临次同步振荡(Subsynchronous Oscillation, SSO)风险[14]。但目前国内外对这一问题的研究尚不深入。因此,对MC-PMSG经LCC-HVDC送出系统SSO特性及抑制策略进行深入研究具有重要的实际意义。
目前针对直驱风电场经LCC-HVDC送出系统的研究侧重于跟网型直驱风机(Grid Following Permanent Magnet Synchronous Generator, GFL- PMSG),较少涉及构网型直驱风机。文献[18]基于阻尼路径与阻尼重构揭示了GFL-PMSG与LCC- HVDC两者间的扰动传递过程及子系统间的耦合关系。文献[19]建立了GFL-PMSG经LCC-HVDC送出系统阻抗模型,基于Nyquist稳定判据阐述了振荡机理。文献[20]利用特征值法分析了D-PMSG经LCC-HVDC送出系统的SSO特性。文献[21]建立了高压直流输电序阻抗模型,揭示了跟网型直驱风机等新能源基地经LCC-HVDC送出系统的振荡机理。由于跟网型控制器与构网型控制器的动态特性存在显著差异,上述文献中针对GFL-PMSG的研究结论对于MC-PMSG的参考价值有限。此外,现有文献鲜少涉及MC-PMSG经LCC-HVDC送出场景下的SSO抑制措施。因此,有必要对MC-PMSG经LCC- HVDC送出系统SSO特性及抑制策略展开研究。
针对新能源并网系统振荡抑制问题,已有诸多研究提供了解决方案。对于PMSG机组,文献[22-24]分别采用锁相环控制参数优化、基于阻抗比的控制器参数自适应调整、基于GSC电流内环滑模控制来实现系统的SSO抑制。对于新能源经LCC-HVDC送出系统,文献[21, 25]分别通过加装改进的静止无功补偿器、在LCC-HVDC侧进行阻抗重塑实现了系统振荡的有效抑制。但上述方法在实际应用中仍存在动态适应性不足、工程实现复杂等问题。鉴于现有研究的局限性,本文基于阻尼路径法与粒子群优化(Particle Swarm Optimization, PSO)算法提出附加阻尼控制策略。阻尼路径法的优势在于能够直观地展现扰动在系统中的传播路径并对通路阻尼进行量化评估[26]。PSO具有收敛速度快、参数少、算法简单易实现的优点,尤其适用于参数优化问题。
本文对MC-PMSG经LCC-HVDC送出系统SSO特性及抑制策略展开研究。首先,建立MC-PMSG经LCC-HVDC送出系统的小信号模型,通过特征值法对其SSO特性进行分析,并基于分析结果确定附加阻尼控制器(Supplementary Subsynchronous Damping Controller, SSDC)的添加位置;其次,基于阻尼路径法将系统的次同步交互作用拆解为四条独立路径,分离出SSDC对系统SSO模态的影响并进行量化,为优化目标函数的确定奠定理论基础;然后,以SSDC提供的正阻尼最大为优化目标,采用PSO对SSDC参数进行迭代寻优,使系统总阻尼得到大幅度提升,从而实现SSO抑制;最后,基于PSCAD/EMTDC电磁暂态仿真平台,通过改变MC-PMSG控制器参数、直流电容大小、MC-PMSG容量及LCC-HVDC控制器参数来验证理论分析结果的可靠性。
MC-PMSG经LCC-HVDC送出系统结构及控制策略如图1所示。该系统包含四个子系统:MC- PMSG、LCC-HVDC、送端交流系统S1和受端交流系统S2。MC-PMSG与交流系统S1一同经LCC- HVDC送出。
图1中,Pin、Pe分别为机侧换流器(Machine Side Converter, MSC)输出功率和GSC输入功率;C、UDC分别为MC-PMSG的直流电容、电压;ut、ug、up分别为GSC输出电压、风机出口电压和风电场35 kV母线电压;ig、iw分别为GSC输出电流和风机出口电流;is1、is2、us1、us2分别为交流系统S1、S2的端口电流、无穷大母线处电压;Lg、Rg、Cg分别为LC型滤波器参数,包括滤波电感、阻尼电阻、滤波电容;k1、k2分别为箱变、二级变压器电压比;R1、L1、R2、L2分别为35 kV线路、345 kV线路电阻、电感;Cp为无功补偿电容;Ld、Rd、Cd分别为直流线路电感、电阻、电容;kr、ki分别为整流侧、逆变侧变压器电压比;下标“ref”、“dq”用于表示参考值、dq坐标下的参数。由图1可知,MC-PMSG输出功率经变压器升压至35 kV后汇集,再次升压至345 kV后经输电线路接入LCC-HDVC送端交流母线。其中,MC-PMSG采用单机聚合等值的建模方式来表示[27-28],由100台额定容量为5 MW的直驱风机聚合而成,MC-PMSG与送端交流系统S1容量均为500 MW,以1
1的比例接入LCC-HVDC中,LCC-HVDC额定容量为1 000 MW。
LCC-HVDC采用CIGRE标准模型,整流侧和逆变侧分别采用定电流控制和定直流电压控制。ur、ir与ui、ii分别为整流站与逆变站母线电压与交流侧电流;Udr、Idcr和Udi、Idci分别为整流侧与逆变侧直流电压和直流电流;qpllr、qplli分别为整流侧与逆变侧锁相环相位;jur、jui分别为ur、ui的相位。系统拓扑参数和控制参数详见附录第1节。
图1 MC-PMSG经LCC-HVDC送出系统结构
Fig.1 MC-PMSG sends the system structure through LCC-HVDC
1.2.1 系统数学模型
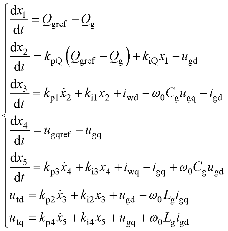
由于篇幅限制,本节仅介绍MC-PMSG中GSC的数学模型,其双环控制和匹配控制的数学模型分别如式(1)和式(2)所示。MC-PMSG的主电路与MSC的数学模型参考文献[29]。LCC-HVDC的数学模型参考文献[30]。
(1)
(2)
式中,x1~x5为GSC的中间状态变量;Qg和Qgref分别为风机出口处无功功率的实际值与基准值;w0和wBg分别为GSC的电角速度实际值和指令值;kpQ、kiQ为GSC无功控制外环的PI参数;kp1、ki1、kp3、ki3为GSC电压控制外环的PI参数;kp2、ki2、kp4、ki4为GSC电流控制内环的PI参数;UDC0为MC- PMSG直流电容电压基准值;qp为GSC调制电压 相位。
1.2.2 模块化小信号模型
本文采用模块化建模搭建MC-PMSG经LCC- HVDC送出系统的小信号模型[13]。在系统的稳态工作点附近,对系统进行线性化处理,系统各子模块的状态空间模型为
(3)
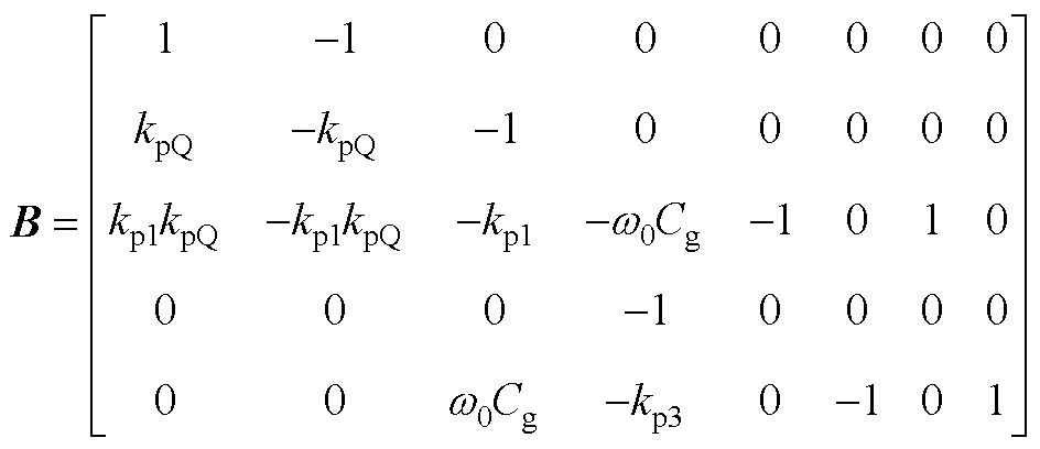
式中,Xk、Uk和Yk分别代表模块k的状态量、输入量和输出量;Ak、Bk、Ck、Dk分别代表模块k的状态矩阵、输入矩阵、输出矩阵和直联矩阵。以GSC双环控制和匹配控制为例,附录中给出了状态空间模型的具体表达式。
此外,本文MC-PMSG在dq坐标系下建立,交流系统S1、S2在xy坐标系下建立,LCC-HVDC在极坐标下建立,在将各个子系统连接形成完整的闭环系统时,需引入坐标变换,三种坐标系之间的转化关系为
(4)
(5)
式中,
代表变换的任意变量;a为xy坐标系与dq坐标系的角度差;r、j分别为
在极坐标系下的幅值与相位;下标xy表示xy坐标系下变量。
基于Matlab/Simulink仿真平台,建立各子模块的状态空间模型,并基于图2所示接口关系对各子模块端口变量进行连接,得到MC-PMSG经LCC- HVDC送出系统的闭环小信号模型,图2中物理量为各个模块的输入输出变量,其中,D代表对应变量的小扰动信号,ufxy345、i1xy345、ugxy35、ifxy35分别为风电场35 kV母线电压升压至345 kV后的电压值、345 kV线路电流、风机出口电压升压至35 kV后的电压值、35 kV线路电流。将系统中的状态变量按照所属子模块进行划分,共19组,划分结果见表1。
图2 MC-PMSG经LCC-HVDC送出系统小信号模型
Fig.2 MC-PMSG sends the system small signal model through LCC-HVDC
表1 状态变量划分结果
Tab.1 The results of state variables division
子系统组别子模块组别状态变量编号 MC-PMSG轴系Xmass1 PMSGXG2~3 MSC控制XMSC4~6 直流电容XDC7 滤波器XT8~15 GSC控制XGSC16~20 匹配控制Xp21 滤波电容XC22~23 滤波电感XL24~25 线路Xline126~31 LCC-HVDC整流侧滤波器XTR32~43 整流侧锁相环XRpll44~45 整流侧控制系统XR46~47 直流输电线路Xline248~50 逆变侧控制系统XI51~52 逆变侧锁相环XIpll53~54 逆变侧滤波器XTI55~66 交流系统交流系统1XS167~68 交流系统2XS269~72
1.2.3 小信号模型验证
在各类SSO分析方法中,时域仿真由于采用数值积分方法,精度较高。因此,通过对照相同工况下小信号模型与时域仿真模型的阶跃响应曲线,可以验证小信号模型的准确性。
按照图1所示结构在PSCAD/EMTDC中搭建时域仿真模型,仿真时间为5 s。保持其他参数不变,仿真时间2 s时,将MC-PMSG中无功外环的无功参考值Qgref由0阶跃至0.25 Mvar,分别得到两种模型的阶跃响应曲线。对其进行对比,得到结果如图3所示,图3a、图3b、图3c、图3d分别为MC-PMSG直流电容电压UDC、LCC-HVDC整流侧直流电流Idcr、风机出口处无功功率Qg和GSC输出电流igd的阶跃响应曲线。
对比图3中两种模型的阶跃响应曲线可知,小信号模型能模拟电磁暂态模型的响应特性,两者在趋势上变化基本一致,充分验证了MC-PMSG经LCC-HVDC送出系统小信号模型的准确性。
图3 阶跃响应特性曲线
Fig.3 Step response characteristic curve
基于上述小信号模型,本节利用特征值法求取系统的SSO模态,通过参与因子分析系统中状态变量对各SSO模态的参与情况,并基于PSCAD/EMTDC验证理论分析的正确性。
基于上述小信号模型求取系统特征值,根据特征值虚部计算得到对应频率,据此筛选出系统SSO模态,结果见表2。
表2 系统SSO振荡模式
Tab.2 SSO oscillation mode
振荡模态特征值振荡频率/Hz阻尼比 模态1 (l1,2)-44.1±j299.247.60.145 模态2 (l3,4)-191.0±j131.420.90.823 模态3 (l5,6)1.9±j130.420.7-0.014
如表2所示,MC-PMSG经LCC-HVDC送出系统主要存在三个SSO模态,其中模态1、模态2的特征值实部为负,为稳定振荡模态;模态3的特征值实部为正,为不稳定振荡模态,其振荡频率为20.7 Hz。
对MC-PMSG经LCC-HVDC送出系统进行时域仿真验证。在1.5~3 s内将风速v从10 m/s线性提升至10.4 m/s,此时MC-PMSG直流电容电压UDC的时域仿真波形如图4a所示,对其进行快速傅里叶变换(Fast Fourier Transform, FFT),得到结果如图4b所示。
由图4a可知,直流电容电压UDC在风速变化后发生自激振荡。由图4b FFT分析结果可知,MC- PMSG直流电容电压UDC所产生的SSO频率为21 Hz,与模态3的振荡频率基本一致。时域仿真结果验证了特征值分析的正确性。
图4 UDC振荡特性
Fig.4 The oscillation characteristics of UDC
本小节对系统振荡模态进行参与因子分析。其中,基于特征值法,参与矩阵P中的元素Pki即为参与因子,参与因子能够表示各状态变量与各模态量(特征值)之间的关联程度,参与因子越大,状态变量对该振荡模态的贡献越显著。
基于MC-PMSG经LCC-HVDC送出系统小信号模型,对三种振荡模态进行参与因子分析,得到参与因子结果如图5所示,图5a、图5b、图5c中横坐标为系统的72个状态变量,纵坐标分别为各个状态变量对所筛选的三种SSO模态的参与度。
图5 主导SSO模态参与因子
Fig.5 Participation factors of the main SSO mode
由图5可知,三种模态均由MC-PMSG、LCC- HVDC与交流系统共同参与。其中,不稳定振荡模态3由直流电容与匹配控制模块主导,对系统小干扰稳定性影响较大。
综上所述,MC-PMSG经LCC-HVDC送出系统在一些工况下存在SSO风险,且为MC-PMSG直流电容主导、LCC-HVDC高度参与的低阻尼SSO模态,振荡频率在21 Hz左右。
由第2节MC-PMSG经LCC-HVDC外送系统SSO特性分析结果可知,系统不稳定振荡模态由直流电容电压与GSC调制相位qp主导,因此从MC- PMSG直流电容出发,在GSC控制环节中加入SSDC,选择SSDC的输入信号为直流电容电压UDC,将输出信号附加到GSC电压环参考值上。
同时由于阻尼路径具有明确的物理意义,路径的传递函数表征了该阻尼路径的阻尼[31],因此从路径阻尼补偿的角度进行SSDC的设计,从而实现SSO抑制。
已知模态3由直流电容电压与GSC调制相位qp主导,因此将MC-PMSG直流电容的动态过程变换为二阶运动方程的形式,为利用阻尼路径法推导次同步分量通路提供前提条件。
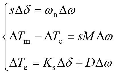
阻尼转矩法中同步机转子的线性化动态方程为
(6)
式中,
、
、
、
分别为功角、角速度、机械转矩、电磁转矩的增量;M为发电机转子的惯性时间常数;Ks和D分别为考虑励磁控制与外部系统等因素时,发电机的同步系数和阻尼系数,其中,Ks反映系统振荡频率,D反映系统振荡模态阻尼大小[32]。
直流电容的动态方程展现出与同步机转子运动方程相似的动态特性,即
(7)
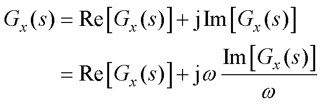
式中,DPin、DPe分别为MSC输出功率增量和GSC输入功率增量;DqDC为输出相位增量;DUDC为直流电容电压增量;UDC0为稳定工作点处直流电容电压;Gx(s)为DqDC到DPe的开环传递函数。
将式(7)中的Gx(s)展开为实部与虚部相加的形式,并从复频域转换到频域,得到
(8)
当DPin=0时,将式(8)代入式(7)得到式(9),直流电容的动态过程改写为二阶运动方程形式。此时,直流电容动态方程框图如图6所示。
(9)
式中,Re[Gx(s)]对应同步系数Ks;Im[Gx(s)]/w对应阻尼转矩法中的阻尼系数D,可以用来评估SSO模态阻尼大小。通过将Gx(s)表示为具体的传递函数路径,即可分析SSO扰动传递路径及子系统间的耦合关系。
图6 直流电容动态方程框图
Fig.6 Block diagram of the dynamic equation for DC capacitance
本小节在文献[14]的基础上,基于系统闭环互联传递函数框图进行阻尼重构。对系统闭环传递函数框图进行推导,分离出加入SSDC后MC-PMSG与LCC-HVDC间的扰动传递路径,从而利用阻尼转矩法的结果对SSDC引入的次同步通路阻尼进行评估,为下文采用粒子群算法进行参数优化提供基础,具体过程如下。
加入SSDC后,GSC无功外环的动态过程如式(10)所示。
(10)
式中,Dugdref、Dugqref分别为风机出口电压ug的d轴、q轴分量参考值;PIQ(s)代表原控制系统中DQg到Dugdref的传递函数;PIQ(s)DQg为未加入SSDC的GSC无功外环的动态过程;Gs(s)为SSDC传递函数。
因此,MC-PMSG的电磁功率DPe和MC-PMSG的并网电流Di1分别为
(11)
(12)
式中,Dur为整流站母线电压增量;Di1为MC-PMSG并网电流增量;Pe1(s)为未加入SSDC时DUDC到DPe的开环传递函数;Pes(s)为SSDC所产生的DUDC到DPe的开环传递函数;Pe2(s)为Dur到DPe的开环传递函数;YP1(s)为未加入SSDC时DUDC到Di1的开环传递函数;YPs(s)为SSDC所产生的DUDC到Di1的开环传递函数;YP2(s)为Dur到Di1的开环传递函数。
同时,LCC-HVDC输出量Dir和交流系统输出量Dur分别为
(13)
(14)
式中,YP(s)为LCC-HVDC系统导纳矩阵;ZP1(s)、ZP2(s)分别为Di1、Dir到Dur的开环传递函数矩阵。
根据式(11)~式(14),依据系统接口输入输出关系,推导得到加入SSDC后的系统闭环传递函数框图,如图7a所示。
图7 加入SSDC后的系统闭环互联传递函数框图
Fig.7 Block diagram of closed-loop interconnection transfer function after SSDC is added
将式(11)~式(14)进行变换,可将Dir用DUDC与Dur表示,如式(15)所示,将式(15)中第一项系数记为G1(s),第二项系数记为G2(s),此时,系统闭环互联传递函数框图如图7b所示。
(15)
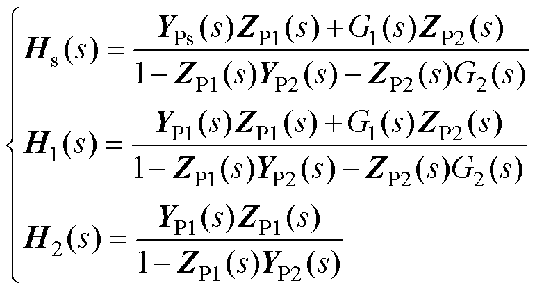
通过梅逊公式进行传递函数化简,可求出DUDC到Dur的传递函数H(s),即
(16)
将式(16)中YP1(s)+YPs(s)拆开,即可得到由SSDC所导致的DUDC到Dur的传递函数,记为Hs(s),未加SSDC时DUDC到Dur的传递函数记为H1(s)。对于H1(s),忽略LCC-HVDC的动态作用,即将G1(s)与G2(s)置零,得到未加入SSDC时MC-PMSG与交流系统间的动态作用,记为H2(s),则MC-PMSG与LCC-HVDC间的动态作用为H1(s)-H2(s)。Hs(s)、H1(s)与H2(s)具体表达式为
(17)
此时加入SSDC后系统传递函数框图如图8a所示。
图8 SSDC引入阻尼路径示意图
Fig.8 SSDC introduction damping path diagram
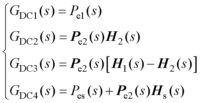
图8a可进一步变换为图8b所示结构,将Pe1(s)对应的路径记为回路1,传递函数定义为GDC1(s),代表MC-PMSG内部动态作用;将H2(s)对应的路径记为回路2,传递函数定义为GDC2(s),代表MC- PMSG与交流系统间的动态作用;将H1(s)-H2(s)对应的路径记为回路3,传递函数定义为GDC3(s),代表MC-PMSG与LCC-HVDC间的动态作用;将Hs(s)与Pes(s)合并,对应的路径记为回路4,传递函数定义为GDC4(s),代表SSDC引入的动态作用。各回路传递函数表达式为
(18)
由图8b可知,扰动量在各子系统间的传递过程可以拆解为四条独立回路,相较于文献[14],SSDC使得MC-PMSG直流电容的HeffronPhilips模型引入了一条新的阻尼路径,即SSDC为次同步频率扰动提供了一条新的传播路径,该附加阻尼路径对SSO模式提供一定量的正阻尼,从而补偿了一部分其他阻尼路径提供的负阻尼,削弱了系统的SSO。该路径输出功率扰动设为DPes,其不影响系统开环极点分布。可得附加阻尼路径的阻尼系数表达式如式(19)所示,基于式(19),可以对SSDC所提供通路阻尼进行量化评估。
(19)
SSDC由滤波器、补偿器和限幅环节三部分组成。滤波器的传递函数如式(20)所示,其主要作用为滤除直流电容电压信号UDC中的高频分量,同时避免次同步频段进入阻带。
(20)
式中,TD为滤波器时间常数,TD=0.001 s。
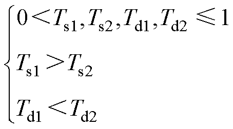
补偿器由增益环节、相位超前环节和相位滞后环节三部分组成,主要用于相位校正,使其输出信号抵消被附加信号的次同步频率分量,实现对SSO的抑制。本文选用1个超前环节(Ts1>Ts2)和2个滞后环节(Td1<Td2),选择补偿器增益系数为1.5,得到补偿器传递函数如式(21)所示,SSDC结构如图9所示。
(21)
式中,Ts1和Ts2为超前环节时间常数;Td1和Td2为滞后环节时间常数。

图9 MC-PMSG加入SSDC后的GSC控制器
Fig.9 GSC controller after MC-PMSG is added to SSDC
同时加入SSDC的前提为不影响系统本身的稳定性,本文对加入SSDC前后系统的稳定性进行仿真验证。分别对比启动时刻无功功率Qg的时域仿真波形及受到小扰动后系统GSC的d轴输出电流igd的响应曲线,得到结果如附录第3节所示。由附图1、附图2可知,加入SSDC前后系统稳定性基本未受到影响,在系统的启动阶段与受到小扰动时,加入SSDC会使系统的某些指标得到改善。
PSO模拟鸟群觅食行为进行优化,具有收敛速度快、计算复杂度低、鲁棒性强、易于实现且参数调整简单等优点[33-34]。因此,本文采用PSO优化SSDC参数,PSO优化流程如图10所示。
图10 粒子群算法优化流程
Fig.10 Particle swarm optimization process
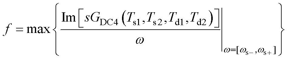
想要使SSO抑制效果达到最优,则希望SSDC所提供的正阻尼最大。因此,优化的目标函数为附加阻尼路径在次同步频率范围内提供的正阻尼最大,即
(22)
式中,[ws-, ws+]为次同步频段范围。
时间常数一般需要保证在(0, 1
范围内,且Ts1>Ts2,Td1<Td2,由此可得优化的约束条件为
(23)
以式(22)、式(23)为整体约束条件,采用PSO进行SSDC参数优化。参数迭代过程如图11所示。
图11 参数迭代曲线
Fig.11 Parameter iteration curves
由图11可知,在迭代到第14次以后,Ts1、Ts2和Td1、Td2数值均达到稳定,且分别稳定在0.874 2 s、0.045 5 s、0.762 3 s和0.792 3 s。因此,参数最终优化结果见表3。
表3 参数优化结果
Tab.3 Parameter optimization results(单位: s)
优化参数优化结果 Ts1/s0.874 2 Ts2/s0.045 5 Td1/s0.762 3 Td2/s0.792 3
本节通过在不同工况下进行阻尼分析及时域仿真来验证SSDC的振荡抑制效果。待研究的影响因素主要包括LCC-HVDC定电流控制器参数、GSC控制器参数、MC-PMSG容量及MC-PMSG直流电容大小。
在小信号模型中加入SSDC环节。分别设定LCC-HVDC整流侧定电流控制器比例系数Kpr=1.0, 1.5, 2.0,计算加入SSDC前后系统总阻尼系数D的频率特性曲线,结果如图12所示。
由图12可知,在Kpr改变时,系统总阻尼系数D相较无SSDC时均有所提升,表明SSDC引入的阻尼路径可以在模态3振荡频率下为系统提供正阻尼。
基于PSCAD/EMTDC电磁暂态仿真平台,选取较为恶劣的工况即在Kpr=1时分别针对有、无SSDC两种工况进行时域仿真。设定仿真总时长为5.0 s。在1.5~3.0 s内将风速由10 m/s线性提升至10.4 m/s,其他系统参数保持不变,此时两工况下UDC仿真结果如图13所示。取3.0~4.0 s振荡激发后的时域仿真结果进行FFT分析,结果如图14所示。
图12 Kpr变化时有无SSDC的阻尼系数频率特性曲线
Fig.12 Damping coefficient frequency characteristic curves with and without SSDC when Kpr changes
图13 Kpr=1时有无SSDC时域仿真结果对比
Fig.13 Comparison of time domain simulation results with and without SSDC when Kpr=1
图14 Kpr=1时有无SSDC的FFT分析结果
Fig.14 FFT analysis results with and without SSDC when Kpr=1
由图13可知,当Kpr=1时,在MC-PMSG控制环节中加入SSDC后,风电场直流电容电压UDC振荡减弱。从图14中可以得知,在无SSDC时,风电场直流电容电压UDC中有明显的次同步分量,加入SSDC后,风电场直流电容电压UDC中的次同步分量减小,SSO得到抑制。图13和图14表明,SSDC为振荡模态提供了正阻尼,验证了经参数优化后的SSDC的有效性。
在小信号模型中加入SSDC环节。分别设定MC- PMSG的GSC无功外环积分系数kiQ为40、70及100,计算加入SSDC前后系统总阻尼系数D的频率特性曲线,结果如图15所示。
图15 kiQ变化时有无SSDC的阻尼系数频率特性曲线
Fig.15 Damping coefficient frequency characteristic curves with and without SSDC when kiQ changes
由图15可知,在kiQ改变时,系统总阻尼系数D相较无SSDC时均有所提升,表明SSDC引入的阻尼路径可以在模态3振荡频率下为系统提供正阻尼。
基于PSCAD/EMTDC电磁暂态仿真平台,选取较为恶劣的工况即在kiQ=100时分别针对有、无SSDC两种工况进行时域仿真。设定仿真总时长为5.0 s。在1.5~3.0 s内将风速由10 m/s线性提升至10.4 m/s,其他系统参数保持不变,此时两工况下MC-PMSG直流电容电压UDC仿真结果如图16所示。取3.0~4.0 s振荡激发后的时域仿真结果进行FFT分析,结果如图17所示。
图16 kiQ=100时有无SSDC时域仿真结果对比
Fig.16 Comparison of time domain simulation results with and without SSDC when kiQ=100
由图16可知,当kiQ=100时,在MC-PMSG控制环节中加入SSDC后,风电场直流电容电压UDC振荡减弱。从图17中可以得知,在无SSDC时,风电场直流电容电压UDC中有明显的次同步分量,加入SSDC后,风电场直流电容电压UDC中的次同步分量减小,SSO得到抑制。图16、图17表明,SSDC为振荡模态提供了正阻尼,验证了经参数优化后的SSDC的有效性。
图17 kiQ=100时有无SSDC的FFT分析结果
Fig.17 FFT analysis results with and without SSDC when kiQ=100
在小信号模型中加入SSDC环节。分别设定MC- PMSG台数n为50、70、90以及110,计算加入SSDC前后系统总阻尼系数D的频率特性曲线,结果如图18所示。
图18 n变化时有无SSDC的阻尼系数频率特性曲线
Fig.18 Damping coefficient frequency characteristic curves with and without SSDC when n changes
由图18可知,在n改变时,系统总阻尼系数D相较无SSDC时均有所提升,表明SSDC引入的阻尼路径可以在模态3振荡频率下为系统提供正阻尼。
基于PSCAD/EMTDC电磁暂态仿真平台,选取较为恶劣的工况即在n=50时分别针对有、无SSDC两种工况进行时域仿真。设定仿真总时长为5.0 s。在1.5~3.0 s内将风速由10 m/s线性提升至10.4 m/s,其他系统参数保持不变,此时两工况下UDC仿真结果如图19所示。取3.0~4.0 s振荡激发后的时域仿真结果进行FFT分析,结果如图20所示。
由图19可知,当n=50时,在MC-PMSG控制环节中加入SSDC后,风电场直流电容电压UDC振荡减弱。从图20中可以得知,在无SSDC时,风电场直流电容电压UDC中有明显的次同步分量,加入SSDC后,风电场直流电容电压UDC中的次同步分量减小,SSO得到抑制。图19、图20表明,SSDC为振荡模态提供了正阻尼,验证了经参数优化后的SSDC的有效性。
图19 n=50时有无SSDC时域仿真结果对比
Fig.19 Comparison of time domain simulation results with and without SSDC when n=50
图20 n=50时有无SSDC的FFT分析结果
Fig.20 FFT analysis results with and without SSDC when n=50
在小信号模型中加入SSDC环节。分别设定MC- PMSG直流电容C为12 000、15 000及18 000 mF,计算加入SSDC前后系统总阻尼系数D的频率特性曲线,结果如图21所示。
图21 C变化时有无SSDC的阻尼系数频率特性曲线
Fig.21 Damping coefficient frequency characteristic curves with and without SSDC when C changes
由图21可知,在C改变时,系统总阻尼系数D相较无SSDC时均有所提升,表明SSDC引入的阻尼路径可以在模态3振荡频率下为系统提供正阻尼。
基于PSCAD/EMTDC电磁暂态仿真平台,选取较为恶劣的工况即在C=12 000 mF时分别针对有、无SSDC两种工况进行时域仿真。设定仿真总时长为5.0 s。在1.5~3.0 s内将风速由10 m/s线性提升至10.4 m/s,其他系统参数保持不变,此时两工况下UDC仿真结果如图22所示。取3.0~4.0 s振荡激发后的时域仿真结果进行FFT分析,结果如图23所示。
图22 C=12 mF时有无SSDC时域仿真结果对比
Fig.22 Comparison of time domain simulation results with and without SSDC when C=12 mF
图23 有无SSDC的FFT分析结果
Fig.23 FFT analysis results with and without SSDC
由图22可知,当C=12 000 mF时,在MC-PMSG控制环节中加入SSDC后,风电场直流电容电压UDC振荡减弱。从图23中可以得知,在无SSDC时,风电场直流电容电压UDC中有明显的次同步分量,加入SSDC后,风电场直流电容电压UDC中的次同步分量减小,SSO得到抑制。图22、图23表明,SSDC为振荡模态提供了正阻尼,验证了经参数优化后的SSDC的有效性。
本文采用模块化建模法建立了MC-PMSG经LCC-HVDC送出系统的小信号模型,通过特征值法研究了系统的SSO特性,基于SSO特性分析结果并结合阻尼路径法和PSO对SSDC进行设计优化,进而实现SSO抑制。主要结论如下:
1)MC-PMSG经LCC-HVDC送出系统在一些工况下存在SSO风险,且为MC-PMSG直流电容主导、LCC-HVDC高度参与的低阻尼SSO模态。
2)SSDC使得MC-PMSG直流电容的Heffron- Philips模型引入了一条新的次同步分量通路,基于阻尼路径法将其分离并量化,以SSDC所提供的正阻尼最大为优化目标,通过PSO进行迭代寻优,使系统总阻尼得到大幅度提升,进而实现SSO抑制。
3)通过改变LCC-HVDC整流侧定电流控制器比例系数、GSC无功外环积分系数、MC-PMSG容量及MC-PMSG直流电容大小,验证了SSDC抑制策略的有效性。
本文针对MC-PMSG经LCC-HVDC送出系统SSO特性的研究结论,有助于为“沙戈荒”经直流外送系统的稳定性问题提供理论支撑。本文所提振荡抑制策略将为解决未来大规模新能源经LCC- HVDC送出系统振荡问题提供新思路,对实际工程有一定理论意义。
附 录
1. 系统参数说明
附表1 主拓扑参数
App.Tab.1 Main topology parameters
系统参数数值 MC-PMSG额定容量PPMSG/MW500 额定风速v/(m/s)10 直流电容C/mF15 000 滤波电感Lg/mH0.043 滤波电容Cg/mF1671 变压器电压比k1/(kV/kV)38.5/0.69 变压器电压比k2/(kV/kV)345/35 LCC-HVDC额定输送功率PHVDC/MW1 000 额定直流电压Ud/kV500 整流侧换相电抗XCR(pu)0.18 直流线路电感Ld/H0.596 8 逆变侧换相电抗XCI(pu)0.0567 直流线路电容Cd/mF26 整流侧变压器电压比kr/(kV/kV)345/213.456 逆变侧变压器电压比ki/(kV/kV)230/209.23 直流线路电阻Rd/W2.5 交流系统交流系统S1短路比2.5 交流系统S2短路比2.5
附表2 控制器参数
App.Tab.2 Controller parameters
系统参数数值 MSC转速外环比例系数kp310 转速外环积分系数ki3100 电流内环比例系数kp40.2 电流内环积分系数ki42 GSC无功外环比例系数kpQ4 无功外环积分系数kiQ40 电压外环比例系数kp10.314 电压外环积分系数ki13.125 电流内环比例系数kp20.080 6 电流内环积分系数ki20.806 4 LCC-HVDC定电流控制比例系数Kpr1.098 9 定电流控制积分系数Kir91.575 定电压控制比例系数Kpi0.750 6 定电压控制积分系数Kii18.382
2. 模块化建模
由式(3)推导得到构网型直驱风电机组GSC双环控制状态空间模型,其系数矩阵A、B、C、D分别表示为


并且,GSC双环控制的状态变量矩阵为
X=[Δx1 Dx2 Dx3 Dx4 Dx5]T
输入变量矩阵为
U=[DQgrefDQgDugdDugqDigdDigqDiwdDiwq]T
输出变量矩阵为
Y=[DutdDutq]T
由式(3)推导得到匹配控制模块的状态空间模型,其系数矩阵A、B、C、D分别表示为App=[0],Bpp= [wBg/UDC0],Cpp=[1],Dpp=[0]。并且,匹配控制模块的状态变量为Xpp=[DqP];输入变量为Upp=[DUDC];输出变量为Ypp=[DqP]。
3. 加入SSDC前后系统稳定性验证
附图1 加入SSDC前后Qg曲线
App.Fig.1 Qg curves before and after SSDC is added
附图2 加入SSDC前后小信号模型igd响应曲线
App.Fig.2 igd response curves of small signal model before and after adding SSDC
参考文献
[1] 张加卿, 郭春义. 跟网-构网光伏与火电打捆经传统直流外送系统次同步扭振机理研究[J/OL]. 中国电机工程学报, 1-15[2025-07-25]. http://kns.cnki.net/ kcms/detail/11.2107.TM.20240801.1521.007.html.
Zhang Jiaqing, Guo Chunyi. Research on sub- synchronous torsional vibration mechanism for grid- following and grid-forming photovoltaic and thermal power bundling system via LCC-HVDC trans- mission[J/OL]. Proceedings of the CSEE, 1-15[2025- 07-25]. http://kns.cnki.net/kcms/detail/11.2107.TM. 20240801.1521.007.html.
[2] 卓振宇, 张宁, 谢小荣, 等. 高比例可再生能源电力系统关键技术及发展挑战[J]. 电力系统自动化, 2021, 45(9): 171-191.
Zhuo Zhenyu, Zhang Ning, Xie Xiaorong, et al. Key technologies and developing challenges of power system with high proportion of renewable energy[J]. Automation of Electric Power Systems, 2019, 45(9): 171-191.
[3] 刘洪波, 阎禹同, 王曦, 等. 多馈入交直流混联系统小干扰稳定研究综述[J]. 发电技术, 2023, 44(04): 565-575.
Liu Hongbo, Yan Yutong, Wang Xi, et al. A review of small signal stability studies of multi-infeed AC-DC hybrid system[J]. Power Generation Technology, 2023, 44(04): 565-575.
[4] 于琳琳, 丁咚, 贾鹏, 等. 兼容跟网型-构网型系统的多域映射阻抗分析方法[J/OL]. 电源学报, 1-12[2025-03-13]. https://link.cnki.net/urlid/12.1420.TM. 20250918.0938.004.
Yu Linlin, Ding Dong, Jia Peng, et al. Multi-domain mapping impedance analysis Method compatible with grid-following and grid-forming systems[J/OL]. Journal of Power Supply, 1-12[2025-03-13]. https://link.cnki. net/urlid/12.1420.TM.20250918.0938.004.
[5] 黄萌, 舒思睿, 李锡林, 等. 面向同步稳定性的电力电子并网变流器分析与控制研究综述[J]. 电工技术学报, 2024, 39(19): 5978-5994.
Huang Meng, Shu Sirui, Li Xilin, et al. A review of synchronization-stability-oriented analysis and control of power electronic grid-connected converters[J]. Transactions of China Electrotechnical Society, 2024, 39(19): 5978-5994.
[6] 薛翼程, 张哲任, 徐政, 等. 构网型变流器对交流系统低频振荡的影响分析与阻尼控制[J]. 电力系统自动化, 2023, 47(16): 103-113.
Xue Yicheng, Zhang Zheren, Xu Zheng, et al. Impact analysis and damping control of grid-forming con- verter for low-frequency oscillation of AC system[J]. Automation of Electric Power Systems, 2023, 47(16): 103-113.
[7] 孙正龙, 郝舒宇, 李明达, 等. 含构网型双馈风电的电力系统低频振荡能量结构分析方法[J]. 电工技术学报, 2025, 40(5): 1411-1426.
Sun Zhenglong, Hao Shuyu, Li Mingda, et al. Low frequency oscillation analysis method for grid- forming doubly-fed wind power systems based on energy structures[J]. Transactions of China Electro- technical Society, 2025, 40(5): 1411-1426.
[8] 许诘翊, 刘威, 刘树, 等. 电力系统变流器构网控制技术的现状与发展趋势[J]. 电网技术, 2022, 46(9): 3586-3595.
Xu Jieyi, Liu Wei, Liu Shu, et al. Current state and development trends of power system converter grid- forming control technology[J]. Power System Tech- nology, 2022, 46(9): 3586-3595.
[9] Huang Linbin, Xin Huanhai, Wang Zhen. Damping low-frequency oscillations through VSC-HVDC stations operated as virtual synchronous machines[J]. IEEE Transactions on Power Electronics, 2019, 34(6): 5803-5818.
[10] 王东泽, 孙海顺, 黄碧月, 等. 基于虚拟同步控制的电压源型直驱风电机组并网稳定性分析[J]. 高电压技术, 2022, 48(8): 3282-3294.
Wang Dongze, Sun Haishun, Huang Biyue, et al. Analysis of grid-connected stability of voltage-source- type PMSG-based wind turbine based on virtual synchronous control[J]. High Voltage Engineering, 2022, 48(8): 3282-3294.
[11] 陆秋瑜, 赵仕兴, 杨银国, 等. 考虑风轮机动态特性的虚拟同步永磁直驱风机阻尼转矩系数分析[J]. 高电压技术, 2022, 48(10): 3838-3847.
Lu Qiuyu, Zhao Shixing, Yang Yinguo, et al. Damping torque coefficient analysis of virtual synchronous direct-driven permanent magnetic synchronous gen- erator considering wind turbine dynamics[J]. High Voltage Technology, 2022, 48(10): 3838-3847.
[12] 王子骏, 庄可好, 辛焕海, 等. 虚拟同步直驱风机低频振荡机理分析及阻尼补偿控制[J]. 电力系统自动化, 2024, 48(2): 95-104.
Wang Zijun, Zhuang Kehao, Xin Huanhai, et al. Low-frequency oscillation mechanism analysis and damping compensation control of virtual synchronous direct-driven wind turbine generators[J]. Automation of Electric Power Systems, 2024, 48(2): 95-104.
[13] 高本锋, 邓鹏程, 孙大卫, 等. 基于匹配控制的构网型直驱风电场次同步振荡机理与特性研究[J]. 电工技术学报, 2024, 39(9): 2755-2770.
Gao Benfeng, Deng Pengcheng, Sun Dawei, et al. Mechanism and characteristics of subsynchronous oscillation of grid-forming direct-drive wind farm based on matching control[J]. Transactions of China Electrotechnical Society, 2019, 39(9): 2755-2770.
[14] 高本锋, 董涵枭, 孙大卫, 等. 匹配控制构网型直驱风电场经LCC-HVDC送出系统的次同步振荡特性及机理分析[J]. 中国电机工程学报, 2024, 44(23): 9296-9310.
Gao Benfeng, Dong Hanxiao, Sun David, et al. Sub-synchronous oscillation characteristics and mechanism analysis of matching-control-based grid- forming direct drive wind farm transmitted through LCC-HVDC system[J]. Proceedings of the CSEE, 2024, 44(23): 9296-9310.
[15] 郝锦文, 马永光, 孙大卫. 构网型风电-串补输电系统的次同步振荡特性分析[J]. 电力科学与工程, 2023, 39(9): 55-62.
Hao Jinwen, Ma Yongguang, Sun Dawei. Analysis of sub-synchronous oscillation characteristics of grid- type wind power-series supply transmission system[J]. Electric Power Science and Engineering, 2023, 39(9): 55-62.
[16] 李奕曈, 艾诚, 覃瑶, 等. 基于匹配控制的构网型变换器小扰动稳定性综述[J]. 高电压技术, 2025, 51(2): 774-792.
Li Yitong, Ai Cheng, Qin Yao, et al. An overview of small-disturbance stability of grid-forming converters based on matching control[J]. High Voltage Tech- nology, 2025, 51(2): 774-792.
[17] Rosso R, Wang Xiongfei, Liserre M, et al. Grid- forming converters: control approaches, grid- synchronization, and future trends: a review[J]. IEEE Open Journal of Industry Applications, 2021, 2: 93- 109.
[18] 高本锋, 刘毅, 李蕴红, 等. 直驱风电场与LCC- HVDC次同步交互作用的扰动传递路径及阻尼特性分析[J]. 中国电机工程学报, 2021, 41(5): 1713- 1729.
Gao Benfeng, Liu Yi, Li Yunhong, et al. Analysis on disturbance transfer path and damping characteristics of sub-synchronous interaction between D-PMSG- based wind farm and LCC-HVDC[J]. Proceedings of the CSEE, 201, 41(5): 1713-1729.
[19] 刘斌, 呼斯乐, 王甲军, 等. 直驱风电场经LCC- HVDC外送系统阻抗建模及振荡机理分析[J]. 中国电机工程学报, 2021, 41(10): 3492-3504, 3674.
Liu Bin, Hu Sile, Wang Jiajun, et al. Impedance modeling and oscillation mechanism analysis of D- PMSG-based wind farms integration through LCC- HVDC system[J]. Proceedings of the CSEE, 2021, 41(10): 3492-3504, 3674.
[20] 高本锋, 崔意婵, 李蕴红, 等. D-PMSG经LCC- HVDC送出系统的次同步振荡特性分析[J]. 中国电机工程学报, 2022, 42(6): 2084-2096.
Gao Benfeng, Cui Yichan, Li Yunhong, et al. Analysis of subsynchronous oscillation characteristics of D-PMSG integrated with LCC-HVDC system[J]. Proceedings of the CSEE, 2022, 42(6): 2084-2096.
[21] 肖云涛, 李光辉, 王伟胜, 等. 新能源基地经LCC- HVDC送出系统振荡机理分析与抑制策略(三): 振荡抑制策略[J]. 中国电机工程学报, 2024, 44(12): 4748-4759.
Xiao Yuntao, Li Guanghui, Wang Weisheng, et al. Oscillation mechanism analysis and suppression strategy of renewable energy base connected into LCC-HVDC (Part Ⅲ): oscillation suppression strategy[J]. Proceedings of the CSEE, 2024, 44(12): 4748-4759.
[22] 张冲, 王伟胜, 何国庆, 等. 基于序阻抗的直驱风电场次同步振荡分析与锁相环参数优化设计[J]. 中国电机工程学报, 2017, 37(23): 6757-6767, 7067.
Zhang Chong, Wang Weisheng, He Guoqing, et al. Analysis of sub-synchronous oscillation of full- converter wind farm based on sequence impedance and an optimized design method for PLL para- meters[J]. Proceedings of the CSEE, 2017, 37(23): 6757-6767, 7067.
[23] 徐万万, 彭志鹏, 刘江, 等. 基于阻抗比参数自适应的直驱风机次同步振荡抑制策略[J]. 控制工程, 2023, 30(7): 1163-1170.
Xu Wanwan, Peng Zhipeng, Liu Jiang, et al. Sub- synchronous oscillation mitigation strategy based on adaptive adjustment of parameters with impedance ratio for direct-drive wind turbines[J].Control Engin- eering, 2023, 30(7): 1163-1170.
[24] 王刚, 高本锋, 王晓, 等. 基于滑模控制的直驱风电场次同步振荡抑制策略[J]. 太阳能学报, 2023, 44(4): 163-172.
Wang Gang, Gao Benfeng, Wang Xiao, et al. Sub- synchronous oscillation suppression strategy for direct-drive wind farm based on sliding mode control[J]. Acta Solar Energy Sinica, 2023, 44(4): 163-172.
[25] 陈淑平. 光伏经LCC-HVDC送出的次同步振荡特性研究[D]. 保定: 华北电力大学, 2022.
Chen Shuping. Study on sub-synchronous oscillation characteristics of photovoltaic power station inte- grated with LCC-HVDC system[D]. Baoding: North China Electric Power University, 2022.
[26] 高本锋, 王义, 范辉, 等. 基于阻尼路径的新能源经LCC-HVDC送出系统次同步交互作用分析方法[J]. 电工技术学报, 2023, 38(20): 5572-5589.
Gao Benfeng, Wang Yi, Fan Hui, et al. A sub- synchronous interaction analysis method of renewable energy generations integrated with LCC-HVDC system based on damping path[J]. Transactions of China Electrotechnical Society, 2019, 38(20): 5572- 5589.
[27] 高本锋, 董涵枭, 卢亚军, 等. 直驱风电场并网对直流输电引起的火电机组轴系扭振影响机理分析[J]. 电工技术学报, 2024, 39(7): 1971-1984.
Gao Benfeng, Dong Hanxiao, Lu Yajun, et al. Mechanism analysis of the influence of direct drive wind farm integration on SSTI of thermal generator caused by LCC-HVDC[J]. Transactions of China Electrotechnical Society, 2024, 39(7): 1971-1984.
[28] 董文凯, 任必兴, 王海风, 等. 适用于系统次同步振荡分析的风电场等值建模方法综述[J]. 电力工程技术, 2022, 41(4): 33-43.
Dong Wenkai, Ren Bixing, Wang Haifeng, et al. Small-signal equivalent modeling methods of the wind farm and its application in sub-synchronous oscillations analysis of gird-connected wind power systems[J]. Electric Power Engineering Technology, 2022, 41(4): 33-43.
[29] 邵冰冰, 赵书强, 裴继坤, 等. 直驱风电场经VSC- HVDC并网的次同步振荡特性分析[J]. 电网技术, 2019, 43(9): 3344-3352.
Shao Bingbing, Zhao Shuqiang, Pei Jikun, et al. Subsynchronous oscillation characteristic analysis of grid-connected DDWFS via VSC-HVDC system[J]. Power System Technology, 2019, 43(9): 3344-3352.
[30] 郭春义, 宁琳如, 王虹富, 等. 基于开关函数的LCC-HVDC换流站动态模型及小干扰稳定性[J].电网技术, 2017, 41(12): 3862-3868.
Guo Chunyi, Ning Linru, Wang Hongfu, et al. Switching-function based dynamic model of LCC- HVDC station and small signal stability analysis[J]. Power System Technology, 2017, 41(12): 3862-3868.
[31] 李红, 梁军杨, 王振民, 等. 跟网型变换器的小扰动同步稳定机理分析与致稳控制[J]. 电工技术学报, 2024, 39(12): 3802-3815.
Li Hong, Liang Junyang, Wang Zhenmin, et al. Small signal synchronization stability analysis and improved control strategy for grid following converter[J]. Transactions of China Electrotechnical Society, 2024, 39(12): 3802-3815.
[32] Yuan Hao, Yuan Xiaoming, Hu Jiabing. Modeling of grid-connected VSCs for power system small-signal stability analysis in DC-link voltage control times- cale[J]. IEEE Transactions on Power Systems, 2017, 32(5): 3981-3991.
[33] Kennedy J, Eberhart R. Particle swarm optimi- zation[C]//Proceedings of ICNN'95- International Con- ference on Neural Networks, Perth, WA, Australia, 2002: 1942-1948.
[34] Eberhart R, Kennedy J. A new optimizer using particle swarm theory[C]//MHS'95. Proceedings of the Sixth International Symposium on Micro Machine and Human Science, Nagoya, Japan, 1995: 39-43.
Analysis of Sub-Synchronous Oscillation Characteristics and Suppression Strategies of MC-PMSG Transmitted Through LCC-HVDC Systems
Abstract Due to the reverse distribution of wind energy resources and load in China, the long-distance transmission of high power has become an inevitable requirement. The line-commutated converter-based high-voltage direct current (LCC-HVDC) has become one of the primary forms of long-distance transmission for new energy due to its large transmission capacity and low cost. The matching-control-based grid-forming permanent magnet synchronous generator (MC-PMSG) can enhance the voltage stability of the sending-end power grid in LCC-HVDC transmission systems for wind power in the desert and Gobiregions. However, MC-PMSG through LCC-HVDC transmission systems have the risk of sub-synchronous oscillation (SSO), and its oscillation characteristics and suppression strategies require further study.
This paper investigates the SSO characteristics and suppression strategies in MC-PMSG using LCC-HVDC transmission systems. First, a small-signal model of the MC-PMSG through an LCC-HVDC transmission system is established using the modularization modeling technique, and the eigenvalues are utilized to investigate the participation of the MC-PMSG and LCC-HVDC in each SSO mode of the system. Then, the position of the supplementary subsynchronous damping controller (SSDC) is determined. According to the damping path method, the sub-synchronous interaction of the system is broken down into four independent paths, and the influence of SSDC on the SSO mode of the system is separated and quantified. Taking the maximum positive damping provided by SSDC as the optimization objective, particle swarm optimization (PSO) is employed to iteratively optimize SSDC parameters, which significantly enhances the total damping of the system and thereby realizes SSO suppression. Based on the PSCAD/EMTDC electromagnetic transient simulation platform, the theoretical analysis results are verified by changing the parameters of the MC-PMSG controller, DC capacitance, MC-PMSG capacity, and LCC-HVDC controller.
According to the analysis results of SSO characteristics, the unstable oscillation mode of the system is dominated by DC capacitance voltage and GSC modulation phase qp. Therefore, SSDC is added to the GSC control link from the MC-PMSG DC capacitance to reduce the SSO risk of the system. The input signal of the SSDC is selected as the DC capacitance voltage, UDC, and the output signal is attached to the GSC modulation phase qp. According to the analysis results of the damping path method, the transmission process of disturbance between subsystems can be broken down into four independent loops. SSDC provides a new propagation path for sub-synchronous frequency disturbance, offering a certain amount of positive damping to the SSO mode. Negative damping from other damping paths can be compensated, thereby weakening the system's SSO.
The main conclusions of this paper are as follows. (1) The system sent by MC-PMSG through LCC-HVDC has an SSO risk in some working conditions, and it is a low-damping SSO mode dominated by the DC capacitance of MC-PMSG. (2) SSDC introduces a new subsynchronous component path into the Heffron-Philips model of MC-PMSG DC capacitance, which is separated and quantified based on the damping path method. Taking the maximum positive damping provided by SSDC as the optimization target, iterative optimization is carried out through PSO, and the total damping of the system is greatly improved. (3) When the parameters of the MC-PMSG controller, LCC-HVDC controller, MC-PMSG capacity, and DC capacitance change, SSDC can significantlyimprove the total damping of the system. Thus, SSO can be suppressed.
Keywords:Grid-forming control, matching control, LCC-HVDC, damping path, oscillation suppression
中图分类号:TM712
DOI: 10.19595/j.cnki.1000-6753.tces.250003
国网冀北电力有限公司科技项目(52018K240006)。
收稿日期 2025-01-01
改稿日期 2025-03-10
甄永赞 男,1985年生,副教授,研究方向为新能源发电与电力系统控制。
E-mail: zhenyongzan_001@126.com
高本锋 男,1981年生,副教授,研究方向为高压直流输电和电力系统次同步振荡。
E-mail: gaobenfeng@126.com(通信作者)
(编辑 郭丽军)