摘要 通过在水下磁耦合谐振式无线电能传输(UMCR-WPT)系统中引入参数辨识技术,可在无任何复杂的原副边通信的情况下,获得互感、跨接电容和负载等关键系统物理参数,从而实现系统的精确控制与状态监测。因此,该文提出一种基于UMCR-WPT系统跨接电容效应的多参数联合辨识方法,仅需单次测量UMCR-WPT系统发射端的电压和电流,即可实现系统互感、跨接电容和负载的精确辨识。该文首先依据跨接电容理论,建立精确的UMCR-WPT系统等效电路模型,利用定义推导发射端测量电压和电流与输入阻抗之间的关系,得到互感、跨接电容和负载的参数辨识表达式。然后,通过联合遗传-差分进化算法在保证精度的同时实现互感、跨接电容和负载的在线联合辨识,并阐述了具体辨识流程和步骤。最后,搭建系统实验平台,实验结果表明,在不同线圈耦合和负载工况下,互感、跨接电容、负载电阻的最大辨识误差分别为2.62%、4.10%和4.38%,同时,通过所建立的UMCR-WPT系统理论模型计算得到的输出功率和效率与实验的最大误差为4.451%和5.15%,有效地证明了所提出的UMCR-WPT系统多参数辨识方法的有效性。
关键词:水下无线电能传输 跨接电容效应 多参数辨识 遗传-差分进化算法
水下航行器(Autonomous Underwater Vehicle, AUV)等水下无人智能化设备在海洋水文探测、水下猎雷等军民用途上具有重要作用,但其续航能力有限,需要频繁回收充电,并受限于载重能力,难以实现其无人化与智能化的优势[1]。磁耦合谐振式无线电能传输(Magnetic Coupled Resonant Wire- less Power Transfer, MCR-WPT)技术克服了传统线缆连接传能的线路冗余、磨损老化[2]、范围受限等缺点,具有方便灵活、安全可靠、智能化程度高[3]、适应极端恶劣天气和环境等优点[4],为AUV的无人化灵活供电问题提供了有效的解决方案[5]。
由于空气和海水的电导率和相对介电常数有较大差异,MCR-WPT系统在海水中会产生涡流损耗,因此,常规的互感电路模型将无法准确反映水下磁耦合谐振式无线电能传输(Underwater Magnetic Coupled Resonant Wireless Power Transfer, UMCR- WPT)系统电能传输机理[6]。文献[7]的研究指出,由于海水的相对介电常数为81,远远大于空气,因此,UMCR-WPT系统线圈之间的等效电容远大于空气中的电容。基于此,文献[8]以空气中的MCR- WPT系统互感模型为基础,引入跨接电容,建立了UMCR-WPT系统改进互感模型,进而研究了线圈间跨接电容对UWPT系统功效特性及稳定性的影响。
可以发现,目前对基于跨接电容的研究仍处于起步阶段,而对比空气环境,水下环境工况更加复杂,UMCR-WPT系统面临诸多挑战:一是线圈相对位置偏移造成的互感与跨接电容发生变化;二是充电过程中电池负载的实时变化和负载扰动导致的阻值突变[9]。因此,本文亦将基于跨接电容模型,对UMCR-WPT系统进行精准的建模分析,从而为相应控制策略的顺利实施进而提升系统传输性能奠定基础[10-12]。
而在施加控制策略之前,获取系统的工况参数是必不可缺的。目前,普遍采取的做法是采用通信模块,通过MCR-WPT系统原、副边无线通信来实现参数的测定。但对于UMCR-WPT系统而言,信号在水下环境的传输条件远远恶劣于空气中,极易发生传输延时、电磁干扰、通信安全以及信号失真等问题[13]。因此,通过参数辨识技术获取系统关键参数,实现系统的实时控制与状态监测,对提升UMCR-WPT系统的能效特性以及传输稳定性具有重要意义。
目前,已有大量学者对MCR-WPT系统参数辨识技术开展相关研究并取得一定的成果[14-25]。其中,文献[14]通过测量输入阻抗的变化以识别互感,并分析了工作频率变化对互感精度、系统输出特性和整体性能的影响。文献[15]使用了T型阻抗匹配网络测量线圈间互感值,实现了系统最大效率的跟踪输出。文献[16]通过检测系统自由振荡过程中电流衰减率识别阻值固定不变的负载。文献[17]通过检测电压和电流分别识别自动导向车充电系统互感和负载。文献[18]使用LR电路来表达等效负载电阻与不控整流桥等效输入阻抗之间的关系,以此为基础求解负载。综合分析可以发现,上述研究仅针对互感或者负载等单一参数进行识别,不能满足负载和互感同时变化的实际工况,其实用性受到一定限制。
当系统存在多物理量需辨识时,文献[19]在三线圈MCR-WPT系统中,通过在中继线圈上设置可切换补偿电容以求解三个线圈的交叉耦合互感,同时采取原副边通信的手段测量得到了负载电阻。进一步地,文献[20]在三线圈系统中采用继电器开关,通过投切中继线圈的方式实现测量三个线圈、两个拓扑的互感,同样采取通信的方式测量副边的负载电阻。文献[21]通过加入辅助逆变器的方式改变系统工作状态,以此实现互感与负载参数识别。文献[22-23]通过测量逆变器输出电压、电流和相位,并根据互感和负载与逆变器输出电压、电流及相位间的数学关系方程式进行了关键参数的求解辨识。文献[24]提出一种基于发射端并联补偿电容电压信息的互感和负载在线辨识方法,将参数识别转化为WPT系统的状态监测和控制算法优化,从而提高系统性能。文献[25]提出一种接收侧多参数联合辨识的方法,仅需一个电压量即可实现电池电压、等效负载电阻、充电电流、整流桥等效输入阻抗等多个参数的联合辨识。综合分析可以发现,上述方法在识别系统参数进而提升系统传输性能方面取得了丰硕的成果,但仍存在以下问题亟须解决:①电路和控制复杂造成接收侧体积增大、成本增加、灵活性变差、可靠性低;②需要采取通信手段,不符合水下环境通信难度高的情况;③多适用于空气中无线电能传输系统,不适用水下复杂的物理环境。
鉴于此,本文提出了一种基于UMCR-WPT系统跨接电容效应的多参数联合辨识方法,该方法仅需单次测量UMCR-WPT系统发射端的电压和电流,并通过联合遗传-差分进化算法在保证精度的同时实现互感、跨接电容和负载的在线联合辨识,为推动UMCR-WPT系统中能效提升控制策略或状态监测的有效实施奠定了良好的基础。
本文所分析的UMCR-WPT系统采用常规的两线圈串联-串联补偿拓扑结构,如图1所示,其中,Lp和Ls分别为发射和接收线圈的自感,Cp和Cs分别为对应线圈的串联补偿电容,Rp和Rs分别为发射线圈和接收线圈的寄生电阻,R1和R2分别为发射侧和接收侧补偿电容内阻,Ce为原、副边线圈间的跨接电容,需要说明的是,本文的建模对象跨接电容未包含线圈内部的匝间寄生电容[5, 8],但是实际上通过LCR阻抗测量仪测得线圈阻抗包含RLC结构,得到的线圈等效电感掩盖了较为微弱的线圈寄生电容效应[26-27]。同时因为本文未改变线圈频率,因此未对线圈的细化结构做分析。实验结果表明,在尚未考虑其具体微元结构的情况下,精度能够得到保证。M为发射线圈和接收线圈之间的耦合互感,Zin为发射线圈侧等效的系统输入阻抗,RL系统的实际负载。为便于理论计算和分析,UMCR-WPT系统可进一步简化,其中,U1为系统直流电压源和DC-AC变换器的等效交流电压源,RLe为AC-DC整流桥、滤波电容和实际负载电阻的等效电阻,且RLe和RL[28]满足
图1 UMCR-WPT系统结构
Fig.1 Structure of the UMCR-WPT system
(1)
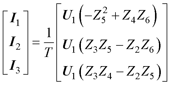
根据图1的简化模型,可获得UMCR-WPT系统的原、副边输入输出电压电流关系式为
(2)
(3)
(4)
(5)
(6)
(7)
(8)
式中,I1、I2和I3为各网孔电流;Z1、Z2、Z3、Z4、Z5和Z6为各网孔电流对应的阻抗;w为系统驱动角频率。
根据式(2),可以得到网孔电流表达式为
(9)
(10)
因此,根据式(9)和式(10)可得到系统性能关键指标输出功率、系统线圈效率、输入阻抗,分别为
(11)
(12)
(13)
对于给定的UMCR-WPT系统,其关键物理参数如LP、LS、CP、CS、RP、RS、R1和R2等均可在系统构建时通过阻抗分析仪测量得到,而当系统处于实际水下环境时,受水波扰动和负载变化的影响,线圈间耦合互感M、线圈间跨接电容Ce和副边等效电阻RLe通常无法直接测量,且其值时刻变化,因此,本文所提出的参数辨识方法将主要用于辨识UMCR-WPT系统中的M、Ce和RLe。
观察式(13)可知,UMCR-WPT系统的输入阻抗的表达式内即含有所辨识的M、Ce和RLe。因此,若三个所需辨识参量中仅一个参量未知,则通过系统输入阻抗的单次测定即可反向推导相应的未知参量,而得到输入阻抗值仅需要测出原边的DC-AC变换器输出的输出电压U1和输出电流I1。
假设Ce和RLe已知,根据式(9)和式(10)即可通过数学解析的方式得到线圈间互感M,即
(14)
(15)
进一步对式(14)和式(15)进行数学解析,可得到M的解a1和a2。同时,考虑到M的实际取值范围,取a1和a2中小于
的解,即可得到互感M的解。
相似地,假设M和RLe已知,根据式(9)和(10)可以解出Ce的表达式为
(16)
(17)
(18)
将式(16)~式(18)进行数学解析,即可得到跨接电容Ce的解。而假设M和Ce已知,根据式(9)和式(10)可以解出RLe的表达式为
(19)
(20)
(21)
将式(19)~式(21)进行数学解析,即可得到负载RLe的解。
通过上述分析可知,对于如式(13)所示的非线性方程,采用解析法,即使是单变量求解析解也十分复杂,若系统同时存在多个未知参量时,将难以通过数学解析的形式进行精确的求解。因此,可通过数值求解法将M、Ce和RLe的识别问题转化为对上述参数值优化的问题,将非线性方程求解问题转化为函数的数值最优化问题来实现M、Ce和RLe的多参数同时辨识。此时,对式(13)进行变形可得
(22)
利用式(22)构造函数为
(23)
对函数
来说,出现最优解的参数区域不一定在符合实际工程情况的数值范围内,因此需要对函数
中变量M、Ce和RLe的范围进行约束。结合系统实际工况,所需辨识的参数必然存在一定范围,因此,可将M、Ce和RLe的范围设定为
(24)
式中,各参数最大值与最小值,取决于实际工程情况中的参数波动极限值。本文取实验平台设置的d=35~65 mm时相应的变量波动范围,d=35 mm时M=38.6 mH,Ce=9.29 nF;d=65 mm时M=23.49 mH,Ce=6.67 nF。求解时取一定的裕量,因此M取10~50 mH,而Ce取4~12 nF。负载的范围取1~120 W,这能满足常见的负载范围[13, 21, 24, 29-31]。
在引入数值优化方法之前,需要对输入阻抗变化特性进行分析,将距离设置为25~55 mm,以10 mm为步长,负载从10~100 W,以1 W为步长,得到变工况输入特性曲线如图2所示。从图2中可以发现,从负载变化与距离变化的方向上看,输入阻抗趋势单调。证明在实验设置的工况范围内,根据式(13)进行的单参数辨识和多参数辨识的解是唯一的。需要指出,本文设计的发射、接收线圈是单极性线圈,因此3个参数计算出的输入阻抗呈现单调变化,对于一些特定的输入阻抗特性非凸变化系统采用这种方法会出现识别盲区。
图2 UMCR-WPT系统变工况输入特性曲线
Fig.2 Input characteristic curves of UMCR-WPT system under different working conditions
之后对目标函数进行寻优,得到方程的最小值与对应变量如式(25)所示,此时对应的M1、Ce1和RLe1即为式(13)方程对应的解。
(25)
遗传算法(Genetic Algorithm, GA)是一种模拟自然选择和遗传学理论,依据适者生存的原理而建立的一种优化高效搜索算法。由于其具有极强的鲁棒性和全局寻优能力,已广泛地应用于工程设计、自动控制、生物工程等诸多领域[32]。差分进化(Differential Evolution, DE)算法是一种基于群体智能理论的优化算法[33],是依据群体内个体间的合作与竞争而产生的一种全局搜索策略。具有良好的自适应性、并行性以及通用性[34]。
基于本文2.2节所建立的系统多参数辨识模型,所提出的基于联合遗传-差分进化算法的UMCR- WPT系统多参数辨识方法实现流程如图3所示,具体实施步骤如下。
图3 UMCR-WPT系统多参数辨识方法流程
Fig.3 Flowchart of the multiple-parameter identification method for the UMCR-WPT system
(1)确定系统固定参数(Lp, Ls, Cp, Cs, Rp, Rs)值,并对系统逆变输出电流进行检测。
(2)根据遗传算法基本原理以及一般步骤,首先生成初始种群,本文每一代初始种群设置为5 000,算法采用十进制编码。
(3)根据初始种群,计算目标函数的适应度,适应度函数定义参考式(23)。将之按照适应度从高到低的顺序进行重新排列。种群每个个体含有三个基因M、Ce和RLe,同时将每个基因分为实部和虚部两个碱基对变量。实部的范围取各变量的工况范围,见式(24)。虚部范围取值范围极为接近于0,同时远远小于对应实部数量级。
(4)将步骤(3)得到的种群Parents进行差分进化,依照式(23)计算每个个体适应度,将得到的新种群按照边界条件如式(24)进行选择。将生成的新种群Parents1,按照适应度排序。Parents1的种群数量设置为10 000。
(5)随机选取种群Parents1的个体作为交叉的亲本,适应度越高的个体被选中作为亲本的概率越高。生成子本种群Parents2,Parents2的种群数量设置为5 000。
(6)将Parents1和Parents2合并,并且进行联合变异得到新的子种群Parents3。Parents3的种群数量设置为15 000。
(7)将Parents1/2/3合并进行适应度筛选,模仿自然选择。最终选择适应度最高的一部分个体作为新一代亲本。种群数量为5 000。
(8)得到最优解以后根据式(25)得到对应的M、Ce和RLe。
为了验证本文所提出的多参数辨识方法的有效性,本文根据图1搭建了如图4所示的系统实验验证平台,系统关键参数见表1。实验中对电压电流采样电路采集的电压电流模拟信号通过AD转换芯片(AD7656BSTZ)转换为数字信号,之后传输到DSP/FPGA芯片(TMS320F28335/AXC6SLX45 2CSG324I)中,之后通过识别算法实现参数辨识。
图4 实验装置
Fig.4 Experimental setup
表1 UMCR-WPT系统实验参数
Tab.1 Experimental parameters for the UMCR-WPT system
参 数数 值 系统运行频率f/kHz95 发射线圈自感Lp/mH86.47 发射线圈串联补偿电容Cp/nF33.85 发射线圈串联补偿电容内阻R1/W0.03 发射线圈内阻Rp/W0.50 接收线圈自感Ls/mH85.16 接收线圈串联补偿电容Cs/nF33.92 接收线圈串联补偿电容内阻R2/W0.05 接收线圈内阻Rs/W0.43
需要指出的是,为了验证本文所提出的UMCR- WPT系统多参数辨识方法的有效性和准确性,需对待辨识参数进行预先测定,作为准确性参考依据。实验中,负载通过串并联多个10 W的电阻进行调节,并可利用万用表进行测定;互感通过改变发射和接收线圈之间的间距进行调节,并可通过阻抗分析仪测量得到。而水下线圈间跨接电容效应无法直接测量得到,因此,本文将依据2.1节的理论分析,首先对各待辨识参量进行单一参量辨识的实验测定与分析。
采用2.1节中所建立的单变量辨识模型,可得不同传能距离和负载工况下的跨接电容值Ce,如图5所示。可以看出,Ce误差均在1%以内,且各点求出的电容值波动不大,因此可以使用求解出的平均值作为下文单变量求解与多变量求解的测量值。
图5 不同工况下跨接电容Ce辨识结果
Fig.5 Identification results of the cross-connection capacitance Ce under various operating conditions
此外,通过图5还可以发现,在线圈间距固定而负载电阻变化时,线圈间跨接电容值将在固定值附近小范围波动,考虑到实验的数据读取精度和实验平台本身设计参数导致的误差,可认为不同负载下辨识到的跨接电容的平均值为此时线圈间距所对应的参考电容值。同时可以看出,随着线圈间距的增加,跨接电容值呈现下降的趋势。之后,将线圈距离固定为35 mm,横向偏移X设置为15 mm与25 mm,得到的跨接电容横向偏移测量实验的结果如图6所示。从图6中可以发现,当发生横向偏移时,跨接电容同样呈现下降的趋势。
图6 横向偏移时不同工况下跨接电容辨识结果
Fig.6 Identification results of crossover capacitance under different operating conditions in lateral offset
为了进一步验证2.1节中所建立的单变量辨识模型的准确性,本文对UMCR-WPT系统的线圈间互感值M和负载等效电阻值RLe均进行了相应的单参量辨识实验,实验结果分别如图7和图8所示。
图7 不同工况下互感辨识结果
Fig.7 Identification results of the mutual inductance under various operating conditions
从图7可以看出,不同间距和负载情况下,均能对线圈间互感进行较为精确的辨识,且线圈间距和负载电阻越小,识别的精度越高。当线圈距离为25、35、45和55 mm时,所识别出的互感平均误差分别为0.59%、0.69%、0.54%和0.51%,最大误差分别为2.38%、1.25%、1.21%和1.40%,所对应的最大互感值偏差平均为0.182 5 mH,考虑到线圈间互感值为mH级别,因此,可认为所提出的单参量辨识方法在对互感进行辨识时,依然具备较高的准确度。
图8 不同工况下负载RL辨识结果
Fig.8 Identification results of the load resistance under various operating conditions
从图8可以看出,不同间距和负载情况下,均能对负载进行较为精确的辨识,且线圈间距越小,识别的精度越高。当线圈距离为25、35、45和55 mm时,所识别出的负载平均误差分别为0.36%、1.59%、1.34%和2.05%,最大误差分别为0.90%、2.22%、2.77%和3.58%,所对应的最大负载值偏差平均为1.653 4 W,因此,可认为所提出的单参量辨识方法在对负载进行辨识时,依然具备较高的准确度。
综上分析可以看出,采用本文所提出的考虑UMCR-WPT系统跨接电容效应的单参量辨识方法对跨接电容、线圈间互感和负载等效电阻值均能实现较高精度的辨识,任意参数求解值产生的最大误差仅为3.58%,这既证明了所提出的UMCR-WPT系统单参数辨识方法的有效性,也反映了所构建的考虑水下线圈间跨接电容效应的UMCR-WPT系统数学分析模型的准确性。
为了验证本文所提出的基于联合遗传-差分进化算法的UMCR-WPT系统多参数辨识方法,本文先以单独一组实验为例,具体阐述本文所提出的多参数辨识方法联合辨识过程。本组实验的参数为:负载电阻为102.70 W,整流器输入侧的等效负载为83.187 W,互感经过LCR阻抗测量仪测量取33.5 mH,跨接电容值经过实验测得为8.26 nF,逆变器输入侧接ITECHIT6006D-800-20直流电源进行能量供给,输出电压设置为50 V,实验波形由Keysight N2783B示波器测量得到,功率数据采用Yokogawa WT1800功率分析仪测量得到RL=102.7 W,M=33.5 mH以及Ce=8.26 nF时的单组多参数辨识实验波形及功率分析如图9所示。
图9 RL=102.7 W,M=33.5 mH以及Ce=8.26 nF时的单组多参数辨识实验波形及功率分析
Fig.9 Waveforms and power analysis of single group multi-parameter identification experiment where RL=102.7 W, M=33.5 mH and Ce=8.26 nF
在实验中,依据式(26)可以求出逆变器输出电压电流的基波有效值U1和I1为
(26)
之后,将参考电位设置为
,那么
、
以及θ满足如图10所示相位关系。将
和
将分别表示成复数形式,得
(27)
之后应用在算法当中的目标函数可以写成
(28)
图10 输出电压电流相位关系
Fig.10 Phase of output voltage and current
本文将图9得到的输入电压以及输入电流进行基波分析法分析,可以得到相应的基波输出电压为43.668 V,将输出电压设置为参考电位,此时根据测得的逆变器输出电流的有效值6.773 A可以得到输出电流的复数表达形式为4.337-j5.202。之后根据本文所叙述的参数辨识流程,得到联合遗传-差分进化算法的目标函数为
(29)
从式(29)可以看出,遗传算法的目标函数,只采用了一组U1和I1。之后,将目标函数应用到算法中,得到了历次迭代产生的参数解以及相应的适应度。从表2中可以看出,随着迭代次数的进行,参数识别值逐渐接近测量值。同时可以看出,随着迭代次数不断增加,系统的适应度越来越小,当迭代次数到达30代时,适应度接近于0,可以认为求解出来的参数解即为所辨识量的参数解。
表2 历次迭代产生的参数解以及相应的适应度
Tab.2 Parametric solutions generated by previous iterations and corresponding fitness
代数Mos-per/mHCos-per/nFRos-per/W适应度 133.628.30102.820.012 307 473 534.018.36105.780.000 437 001 1033.238.18100.031.881 38×10-5 1233.628.26103.001.103 64×10-5 1434.028.35106.064.271 33×10-6 1633.528.24102.168.863 56×10-7 1833.528.24102.168.863 56×10-7 2033.648.27103.127.673 04×10-8 2533.648.27103.102.477 15×10-9 3033.648.27103.102.477 15×10-9
之后,本文将进行四组不同工况下的实验验证,图11为线圈间距25 mm时,线圈对齐条件变化、输入电压变化和负载变化时系统动态变化过程的波形,用以说明在参数辨识实验中不同负载情况下,输入电压和输入电流的动态响应。从图11可以看出,随着线圈对齐条件变化、输入电压变化和负载变化,系统的输入电流发生显著改变的同时,输入电压和输入电流之间的相位也会发生改变。这直接说明在水下环境下识别系统关键传输参数的重要性。四组不同工况下的实验结果如表3和图12所示。其中,在序号1~5的实验中,传输距离设置为35 mm,互感值根据阻抗分析仪测出为38.60 mH,负载使用电阻箱通过串并联进行调节,利用万用表测定的结果分别为61.70、72.00、82.30、92.40和102.70 W,后续实验所采用的负载电阻均为该五种阻值,跨接电容值为9.29 nF,为在3.1节中利用单参量辨识方法测定得到。
此时,利用图3所示的UMCR-WPT系统多参数辨识方法进行识别,互感识别最大相对误差为2.38%,跨接电容识别最大相对误差为3.88%,负载识别最大相对误差为4.38%。相似地,在6~10次实验中,传输距离设置为45 mm,对应的互感为33.50 mH。该工况下,互感识别最大相对误差为1.22%,跨接电容识别最大相对误差为3.51%,负载识别最大相对误差为0.75%。在11~15次实验中,传输距离设置为55 mm,互感为27.89 mH。此时,互感识别最大相对误差为2.62%,跨接电容识别最大相对误差为4.10%,负载识别最大相对误差为1.15%。在第16~20次实验中,传输距离设置为65 mm,互感为23.49 mH。在此条件下,互感识别最大相对误差为1.53%,跨接电容识别最大相对误差为1.95%,负载识别最大相对误差为0.63%。

图11 系统动态变化过程的波形
Fig.11 Waveforms of system dynamic change process
表3 M、Ce和RLe的识别值
Tab.3 Identified values of M, Ce and RLe
序号互感/mH跨接电容/nF负载/W 测量值识别值测量值识别值测量值识别值 138.6038.769.299.4561.7062.06 238.6038.689.299.3372.0072.41 338.6038.459.299.2082.3082.05 438.6037.709.298.9892.4088.35 538.6037.689.298.93102.7098.85 633.5033.848.268.5561.7061.24 733.5033.828.268.4772.0071.64 833.5033.918.268.4582.3082.76 933.5033.768.268.3692.4092.22 1033.5033.648.268.27102.70103.10 1127.8927.807.577.5361.7062.41 1227.8927.547.577.4272.0072.18 1327.8927.377.577.3682.3082.26 1427.8927.187.577.2892.4092.03 1527.8927.167.577.26102.70102.89 1623.4923.826.676.7861.7062.09 1723.4923.656.676.7272.0072.24 1823.4923.296.676.6382.3082.12 1923.4923.276.676.5992.4092.86 2023.4923.136.676.54102.70103.26
图12 多参数辨识实验
Fig.12 Multi-parameter identification experiments
综合分析可以看出,本文所提出的基于联合遗传-差分进化算法的UMCR-WPT系统多参数辨识方法在不同工况下均能实现对水下线圈间互感、线圈间跨接电容和等效负载的准确识别。任意工况下,互感识别平均精度达到了98.80%,跨接电容识别平均精度为98.03%,等效负载电阻识别平均精度达到了99.19%,有效证明了本文所提出UMCR-WPT系统多参数辨识方法的准确性和有效性。
为了进一步验证本文所建立的考虑水下线圈间跨接电容效应的UMCR-WPT系统数学模型的准确性以及所提出的UMCR-WPT系统多参数辨识方法的有效性。本节拟将参数辨识结果代入式(11)和式(12)得到基于参数辨识结果的系统输出功率和效率的计算值,从而通过与实验测量系统实际的输出功率和效率进行对比,以证明本文理论分析的正确性,实验结果如图13和图14所示。从图13可以看出,线圈间距为25 mm时,系统输出功率计算值相较于实测值误差最大为3.396%,系统效率计算值最大误差为4.21%;线圈间距为35 mm时,系统输出功率计算值最大误差为4.253%,系统效率计算值最大误差为4.56%;线圈间距为45 mm时,系统输出功率计算值最大误差为3.083%,系统效率计算值最大误差为3.50%;线圈间距为55 mm时,系统输出功率计算值最大误差为4.451%,系统效率计算值最大误差为5.15%。
图13 能效特性对比实验
Fig.13 Comparison of the energy efficiency characteristic
图14 d=35 mm时多参数辨识实验功率分析
Fig.14 Power analysis of multi-parameter identification experiment when d=35 mm
图14为系统在35 mm间距下的功率分析仪,从图14可以看出,系统的输出功率与效率在95 kHz时随负载变化情况与图13显示一致,从侧面证明了实验数据采集的可靠性。需要指出的是,系统输出功率同时受互感和负载电阻大小的影响,当互感变化时,输出功率的极值点所对应的负载电阻也将不同。因此,由图13可见,在不同互感下,系统输出功率随负载电阻增大的变化趋势不同[7]。
综上所述,任意工况下,系统输出功率计算值的平均误差为2.30%,系统效率计算值的平均误差为2.73%,有效地证明了本文所建立的考虑水下线圈间跨接电容效应的UMCR-WPT系统数学模型以及所提出的UMCR-WPT系统多参数辨识方法的准确性和有效性。
同时,为了分析本文所提出的考虑水下跨接电容效应的UMCR-WPT系统多参数辨识方法的精确性和优势,本文将现有相关研究与本文的实验结果进行了对比分析,拟从五个方面来分析表中各研究内容,分别为:是否采用算法、是否改变系统的驱动频率、是否采用原副边通信、实现识别参数所需要的采集信息量以及各研究内容中实验部分所有识别点的平均精度,具体分析见表4。
表4 不同互感识别方法的比较
Tab.4 Comparison of different mutual inductance identification methods
文献是否采用算法是否改变驱动频率是否原副边通信采集信息量平均精度 (%) [13]否是否电压、电流97.45 [19]否否是电压、电流96 [21]否否否电流96.66 [35]是否是电压、电流96.86 [36]是否否电压、电流98.3825 本文是否否电压、电流98.67
从表4可以看出,对比现有参数辨识方法,本文所提UMCR-WPT系统多参数辨识方法优势主要在于:①对比不采用算法的解析式求解法,本文提出的参数辨识法能更好地适应系统输入阻抗表达式复杂,存在高阶变量的非线性方程的工况及系统。同时,解析式求解方法随着待辨识量的增加,因需要求解方程矩阵满秩,相应的采集信息量也会大量增加。而本文将参数辨识问题转化为数值寻优问题,能大大减少多变量参数辨识问题的采集信息量。 ②本文进行参数识别时无需改变系统的驱动频率并且无需进行原副边通信来获取副边数据。能减小改变频率带来的系统传输性能的波动,并且更适应水下传输信息信号衰减大的环境。③本文在辨识参数量为3个时,仍然能保持较高的识别精度以及较大的参数识别范围,有更广泛的工程应用背景当中。
但本文存在一定的劣势:①与文献[24]相比较,本文所采用的算法计算量较大,计算时间在3~25 s,因此更适合用于负载变化不快的固态充电场景。②本文参数识别采用的跨接电容模型仅适用于传输环境中存在高介电常数的介质(如海水、淡水以及混凝土等),无法直接在空气中使用,同时如发生线圈老化或者环境参数变化会降低参数识别精度。存在一定的局限性。
之后,以一组实验为例分析系统的损耗分布。图15所示为系统在RL=41.2 W、M=33.5 mH以及Ce=8.26 nF时的系统热成像图,图16为相同条件下的损耗分析。从图15可以发现,在系统所有部分中,逆变器发热最为明显,最高温度达到52.2℃,发热其次明显的是整流器,对应的最高温度为34℃,而线圈发热与补偿电容发热较为接近,分别为27.7℃与27.9℃,发热最低的是滤波电容,仅为26.5℃,考虑到线圈处在水中热量被水导走,而其余器件在空气中工作。从图15中只能得到系统工作时,逆变器热损耗较大,其次是整流器,再次是补偿电容,滤波电容热损耗最小。线圈损耗还需另行分析。
图15 系统各部分工作时热成像图
Fig.15 Thermal imaging of each part of the system when it is working and cooling
图16 系统各部分损耗分析
Fig.16 Losses analysis of each part of the system
为了探究线圈实际的热损耗,通过图16得到了各部分损耗的功率占比,可以发现,系统的损耗主要是逆变器损耗以及线圈传输损耗。其中逆变器损耗占所有损耗的52.93%,其次是线圈占比为34.68%,之后为整流器,占比为9.92%。通过图15和图16可以看出,在整个系统当中损耗主要集中在逆变器和线圈上。因此,若要提升系统的效率,应该从减小逆变器和线圈损耗上入手。
本文提出并研究了一种考虑水下线圈间跨接电容效应UMCR-WPT系统多参数联合辨识方法。首先,建立了考虑跨接电容效应的UMCR-WPT系统的数学分析模型,得到了系统互感、跨接电容和负载的单变量识别方法。其次,通过联合遗传-差分进化算法,实现了对系统互感、跨接电容和负载的联合辨识。最后,通过所搭建的UMCR-WPT系统实验平台,对所构建的系统数学模型和多参数辨识方法进行了验证。实验结果表明,系统多个参数的最大辨识误差小于5%,并且依据本文所构建的系统数学模型对系统的输出功率和效率进行预测计算时,输出功率的最大误差在5%以内,效率最大误差为5.15%,有效地证明了本文所建立的考虑水下线圈间跨接电容效应的UMCR-WPT系统数学模型以及所提出的UMCR-WPT系统多参数辨识方法的准确性和有效性。
参考文献
[1] Zhou Jing, Yao Pengzhi, Chen Yanqing, et al. Design considerations for a self-latching coupling structure of inductive power transfer for autonomous under- water vehicle[J]. IEEE Transactions on Industry Applications, 2021, 57(1): 580-587.
[2] Xu Han, Zheng Rong, Yang Bo, et al. Inductive wireless power transfer for autonomous underwater vehicles: a comprehensive review of technological advances and challenges[J]. Journal of Marine Science& Engineering, 2025, 13(10): 1855. DOI: 10.3390/jmse 13101855.
[3] 张波, 疏许健, 吴理豪, 等. 无线电能传输技术亟待解决的问题及对策[J]. 电力系统自动化, 2019, 43(18): 1-12.
Zhang Bo, Shu Xujian, Wu Lihao, et al. Problems of wireless power transmission technology urgent to be solved and corresponding countermeasures[J]. Auto- mation of Electric Power Systems, 2019, 43(18): 1-12.
[4] Zhang Zhen, Pang Hongliang, Georgiadis A, et al. Wireless power transfer: an overview[J]. IEEE Transactions on Industrial Electronics, 2019, 66(2): 1044-1058.
[5] 闫争超, 胡谦宇, 赵晨旭, 等. 水下航行器感应式无线电能传输技术研究综述[J]. 中国电机工程学报, 2023, 43(24): 9668-9682.
Yan Zhengchao, Hu Qianyu, Zhao Chenxu, et al. Review on inductive wireless power transfer tech- nology for underwater vehicles[J]. Proceedings of the CSEE, 2023, 43(24): 9668-9682.
[6] Zeng Yingqin, Rong Cancan, Lu Conghui, et al. Misalignment insensitive wireless power transfer system using a hybrid transmitter for autonomous underwater vehicles[J]. IEEE Transactions on Indu- stry Applications, 2021, 58(1): 1298-1306.
[7] 李泽松. 基于电磁感应原理的水下非接触式电能传输技术研究[D]. 杭州: 浙江大学, 2010.
Li Zesong. Underwater contactless power transmission based on electromagnetic induction[D]. Hangzhou: Zhejiang University, 2010.
[8] 王得安, 张剑韬, 朱春波. 海洋环境对水下无线电能传输系统的影响机理研究进展[J]. 电工技术学报, 2025, 40(3): 653-675.
Wang De’an, Zhang Jiantao, Zhu Chunbo, et al. Review of progress in the study of marine environ- ment effects on underwater wireless power transfer systems[J]. Transactions of China Electrotechnical Society, 2025, 40(3): 653-675.
[9] 吉莉, 张家琦, 张江洪. 一种恒流/恒压输出自切换的电场耦合式无线电能传输系统[J]. 电工技术学报, 2025, 40(24): 7879-7890.
Ji Li, Zhang Jiaqi, Zhang Jianghong. A capacitive wireless power transfer system with self-adaptive output switching between constant current and constant voltage[J]. Transactions of China Electro- technical Society, 2025, 40(24): 7879-7890.
[10] 戴欣, 夏梓壹, 犹安红. 多激励端WPT系统基于模型逆的输出控制[J]. 中国电机工程学报, 2022, 42(20): 7319-7331.
Dai Xin, Xia Ziyi, You Anhong. Model-inverse-based output control of the multi-excitation-unit WPT system[J]. Proceedings of the CSEE, 2022, 42(20): 7319-7331.
[11] Hu Jianghao, Zhao Jiankang, Cui Chao. A wide charging range wireless power transfer control system with harmonic current to estimate the coupling coefficient[J]. IEEE Transactions on Power Elec- tronics, 2020, 36(5): 5082-5094.
[12] Zheng Peikun, Lei Wanjun, Liu Fenghua, et al. Primary control strategy of magnetic resonant wireless power transfer based on steady-state load identification method[C]//2018 IEEE International Power Electronics and Application Conference and Exposition (PEAC), Shenzhen, China, 2018: 1-5.
[13] 白龙雷, 孙良顺, 马智勇, 等. 基于原边监测的水下WPT系统参数识别技术研究[J]. 中国电机工程学报, 2025, 45(6): 2358-2367.
Bai Longlei, Sun Liangshun, Ma Zhiyong, et al. Research on parameter identification technology of underwater WPT system based on transmission side monitoring[J]. Proceedings of the CSEE, 2025, 45(6): 2358-2367.
[14] Yin Jian, Lin Deyan, Parisini T, et al. Front-end monitoring of the mutual inductance and load resistance in a series-series compensated wireless power transfer system[J]. IEEE Transactions on Power Electronics, 2016, 31(10): 7339-7352.
[15] Liu Yuanyuan, Feng Hongwei. Maximum efficiency tracking control method for WPT system based on dynamic coupling coefficient identification and impedance matching network[J]. IEEE Journal of Emerging and Selected Topics in Power Electronics, 2020, 8(4): 3633-3643.
[16] Wang Zhihui, Li Yupeng, Sun Yue, et al. Load detection model of voltage-fed inductive power transfer system[J]. IEEE Transactions on Power Electronics, 2013, 28(11): 5233-5243.
[17] 李小飞, 蒋光利, 李志恒, 等. 基于互感与负载识别的AGV无线电能传输系统闭环恒流与效率优化控制方法[J]. 电工技术学报, 2025, 40(14): 4418- 4430.
Li Xiaofei, Jiang Guangli, Li Zhiheng, et al. A closed- loop constant current and efficiency optimization control method for AGV wireless power transfer system based on mutual inductance and load identi- fication[J]. Transactions of China Electrotechnical Society, 2025, 40(14): 4418-4430.
[18] Guo Yanjie, Zhang Yuwang, Li Shufan, et al. Load parameter joint identification of wireless power transfer system based on the DC input current and phase-shift angle[J]. IEEE Transactions on Power Electronics, 2020, 35(10): 10542-10553.
[19] 刘旭, 宋翔昱, 原熙博, 等. 一种利用可切换补偿电容的三线圈无线电能传输系统互感识别及效率优化方法[J]. 中国电机工程学报, 2022, 42(22): 8309-8320.
Liu Xu, Song Xiangyu, Yuan Xibo, et al. A mutual inductance identification and efficiency optimization method for the three-coil wireless power transfer system by utilizing switchable compensation capa- citor[J]. Proceedings of the CSEE, 2022, 42(22): 8309-8320.
[20] Liu Xu, Jin Daliang, Ji Hongxin, et al. Research on mutual inductance identification and efficiency optimization of the three-coil wireless power transfer systems with switchable relay coil[J]. IEEE Transa- ctions on Power Electronics, 2024, 39(5): 6492- 6503.
[21] Sheng Xuerui, Shi Liming. Mutual inductance and load identification method for inductively coupled power transfer system based on auxiliary inverter[J]. IEEE Transactions on Vehicular Technology, 2020, 69(2): 1533-1541.
[22] Su Yugang, Chen Long, Wu Xueying, et al. Load and mutual inductance identification from the primary side of inductive power transfer system with parallel- tuned secondary power pickup[J]. IEEE Transactions on Power Electronics, 2018, 33(11): 9952-9962.
[23] Dai Ruimin, Zhou Wei, Chen Yonghong, et al. Pulse density modulation based mutual inductance and load resistance identification method for wireless power transfer system[J]. IEEE Transactions on Power Electronics, 2022, 37(8): 9933-9943.
[24] Bai Longlei, Ye Ju, Ma Zhiyong, et al. Parameter identification method for underwater vehicle WPT system based on primary-side detection[J]. IEEE Transactions on Transportation Electrification, 2025, 11(4): 8689-8701.
[25] 郭彦杰, 张玉旺, 王丽芳, 等. 无线电能传输系统接收端多参数联合辨识[J]. 中国电机工程学报, 2022, 42(20): 7403-7415.
Guo Yanjie, Zhang Yuwang, Wang Lifang, et al. Joint identification of multiple parameters in the secondary side of wireless power transfer systems[J]. Pro- ceedings of the CSEE. 2022, 42(20): 7403-7415.
[26] 孔德乐, 赵晋斌, 毛玲, 等. 无线电能传输系统中利用匝间电容分段补偿线圈的设计与分析[J]. 电工技术学报, 2025, 40(12): 3803-3814.
Kong Dele, Zhao Jinbin, Mao Ling, et al. design and analysis of segmental compensation coils utilizing inter-turn capacitance in wireless power transfer systems[J]. Transactions of China Electrotechnical Society, 2025, 40(12): 3803-3814.
[27] 渠慧玲. 电感线圈分布电容建模及其对电感性能影响研究[D]. 北京: 中国石油大学(北京), 2021.
Qu Huiling. Research on inductor coil distributed capacitance modeling and its influence on inductance performance[D]. Beijing: China University of Petroleum (Beijing), 2021.
[28] Huang Mo, Lu Yan, Martins R P. A reconfigurable bidirectional wireless power transceiver for battery- to-battery wireless charging[J]. IEEE Transactions on Power Electronics, 2019, 34(8): 7745-7753.
[29] 程豪, 周玮, 张泽恒, 等. 一种基于平面-曲面解耦线圈的旋转机构无线电能与信号并行传输技术[J]. 电工技术学报, 2025, 40(14): 4395-4405.
Cheng Hao, Zhou Wei, Zhang Zeheng, et al. A parallel transmission technology for wireless power and signal in a rotating mechanism based on plane- curved decoupling coil[J]. Transactions of China Electrotechnical Society, 2025, 40(14): 4395-4405.
[30] Luo Bo, Wu Huan, Wang Mengyao, et al. Front-end parameter identification method based on Adam-W optimization algorithm for underwater wireless power transfer system[J]. IEEE Transactions on Power Electronics, 2025, 40(4): 6307-6318.
[31] 贾亚辉, 王智慧, 肖静, 等. 磁耦合无线电能传输系统宽范围零电压开关实现方法[J]. 电工技术学报, 2024, 39(22): 6952-6964.
Jia Yahui, Wang Zhihui, Xiao Jing, et al. imple- mentation method of wide range zero voltage switching in magnetic coupling wireless power transfer system[J]. Transactions of China Electro- technical Society, 2024, 39(22): 6952-6964.
[32] Cai J, Wu X, Sun P, et al. Design of constant-voltage and constant-current output modes of double-sided LCC inductive power transfer system for variable coupling conditions[J]. IEEE Transactions on Power Electronics, 2024, 39(1): 1676-1689.
[33] 李振杰, 白玉鸿, 刘一琦, 等. 基于IPSO-BP算法的WPT系统结构参数优化方法[J/OL]. 电源学报, 1-12[2025-05-09]. http://kns.cnki.net/kcms/detail/12. 1420.TM.20240426.0903.004.html.
Li Zhenjie, Bai Yuhong, Liu Yiqi, et al. et al. Optimization method of WPT system structural parameters based on the IPSO-BP algorithm[J]. Journal of Power Sources, 1-12[2025-05-09]. http:// kns.cnki.net/kcms/detail/12.1420.TM.20240426.0903.004.html.
[34] 闫荣格, 马文喆, 杨庆新, 等. 磁耦合谐振式无线电能传输系统功效失步优化[J]. 中国电机工程学报, 2023, 43(4): 1517-1525.
Yan Rongge, Wenzhe Ma, Qingxin Yang, et al. Optimize on power-efficiency unsynchronization of wireless power transfer via magnetic resonance coupling[J]. Proceedings of the CSEE, 2023, 43(4): 1517-1525.
[35] 夏涛, 吴翟铮, 张小亮, 等. 基于互感动态识别的波光互补装置水下无线电能传输控制策略研究[J]. 太阳能学报, 2024, 45(12): 667-674.
Xia Tao, Wu Zhaizheng, Zhang Xiaoliang, et al. Research on the control strategy of underwater wireless energy transmission of wave-optical com- plementary device based on mutual sensing dynamic identification[J]. Acta Energiae Solaris Sinica, 2024, 45(12): 667-674.
[36] 常雨芳, 马超, 张晓柯, 等. 改进麻雀搜索算法的WPT系统参数识别方法[J]. 电机与控制学报, 2024, 28(12): 148-160.
Chang Yufang, Ma Chao Zhang Xiaoke, et al. Parameter identification of WPT system based on improved sparrow search algorithm[J]. Electric Machines and Control, 2024, 28(12): 148-160.
Abstract Due to significant differences in physical parameters between marine and aerial environments, including electrical conductivity and relative permittivity, the underwater magnetic coupled resonant wireless power transfer (UMCR-WPT) systems require precise modeling and parameter identification to address dynamic operational challenges. According to the impact of the cross-connected capacitance between the two coils, this paper develops an improved mutual inductance model for UMCR-WPT systems to address variations in mutual inductance and cross-connected capacitance caused by relative coil displacement, as well asreal-time load fluctuations and abrupt resistance changes due to load disturbances during charging.
It is essential to acquire the system's operational parameters. The common practice utilizes communication modules to measure parameters through wireless communication between the primary and secondary sides of systems. However, for UMCR-WPT systems, signal transmission conditions in underwater environments are significantly harsher than in air, making them prone to transmission delays, electromagnetic interference, communication security risks, and signal distortion. Current parameter identification methods have the following limitations. (1) Complex circuitry and control mechanisms increase receiver-side volume, raise costs, reduce flexibility, and lower reliability. (2) Relianceon communication methods contradicts the high difficulty of underwater communication. (3) Predominant applicability to aerial wireless power transfer systems, rendering them unsuitable for complex underwater physical environments.
Therefore, this study proposes a multi-parameter joint identification method based on the cross-connected capacitance effect in the UMCR-WPT systems. The presented method only requires a single measurement of the transmitter-side voltage and current. It can achieve online joint identification of mutual inductance, cross-connected capacitance, and load resistance through a hybrid genetic algorithm-differential evolution (GA-DE) algorithm. Experimental results show that the maximum identification errors are 2.62%, 4.10%, and 4.38% for mutual inductance, cross-connected capacitance, and load resistance under varying coil coupling and load conditions. The maximum deviations in output power and efficiency are approximately 4.451% and 5.15%, respectively, demonstrating the effectiveness of the proposed multi-parameter identification method.
The following conclusions can be drawn. (1) The proposed parameter identification strategy can be effectively implemented on the established experimental platform. (2) The mathematical model of the UMCR-WPT system based on the cross-connected capacitance effect exhibits goodagreement with the efficiency characteristics of the experimental platform. (3) The efficiency improvement of UMCR-WPT systems should focus on reducing inverter and coil losses.
Keywords:Underwater wireless power transfer, cross-coupling capacitance effect, multiple-parameter identification, genetic-differential evolution
中图分类号:TM46
DOI: 10.19595/j.cnki.1000-6753.tces.242393
国家自然科学基金资助项目(52477019)。
收稿日期 2024-12-31
改稿日期 2025-05-09
刘 旭 男,1990年生,副教授,博士生导师,研究方向为无线电能传输技术。
E-mail: xu.liu@cumt.edu.cn(通信作者)
钟 敬 男,1999年生,硕士研究生,研究方向为无线电能传输技术。
E-mail: TS22230001A31@cumt.edu.cn
(编辑 郭丽军)