摘要 构成电力变压器铁心的取向硅钢片在加工叠装及运行过程中会不可避免地受到机械应力的作用,机械应力改变了取向硅钢片原有的磁畴结构,进而使其动态损耗发生变化,因此,需要对取向硅钢片机械应力下的动态损耗特性开展相关研究。针对现有模型在参数辨识中容易过拟合且对于取向硅钢适用性差的问题,该文首先测量了不同拉、压机械应力下取向硅钢片的静态磁滞与动态损耗特性。然后根据应力下静态磁场强度之间的关系,引入应力引起的附加磁场强度并结合Energetic模型,得到考虑应力的静态磁滞模型,并由静态磁滞回线的面积计算磁滞损耗。由于在一定应力范围内取向硅钢片的电导率只与材料成分有关,因此,涡流损耗不受应力影响。通过分析应力对剩余损耗的影响,提出剩余损耗参数V0受应力影响的表达式,以计算剩余损耗,最终将上述三种损耗叠加即为应力作用下的动态损耗。该文建立的动态损耗模型的计算结果与实验结果对比表明了所提方法具有较高精度。
关键词:取向硅钢 应力 动态损耗 损耗分离法
为提升能源利用效率,推动经济绿色低碳和高质量发展,高效节能变压器已经成为未来发展的方向[1]。铁心损耗是变压器总损耗的重要组成部分,变压器铁心一般由高磁感的晶粒取向硅钢制成,取向硅钢在裁切、叠压以及装配加紧过程中,不可避免地会受到应力的影响[2-3],同时搭接部分在运行过程中存在电磁力,磁致伸缩也会引起磁应力[4-5]。这些应力会引起硅钢片损耗增加[2],不仅降低了变压器的运行效率,而且会引起更高的发热,影响绝缘安全运行以及整个变压器的使用寿命。因此,亟待对取向硅钢片应力下的动态损耗特性开展相关研究。
硅钢片动态损耗的模拟方法主要分为两类:一类是首先构建动态磁滞模型,通过动态磁滞回线的面积求得[6];另一类基于损耗分离法[7-8],将总损耗表示为静态磁滞损耗、涡流损耗及剩余损耗之和。P. Rasilo等基于亥姆霍兹自由能推导得到无取向硅钢片应力下的磁滞模型[9],并得到了相应的磁滞损耗,但所提方法仅能计算静态磁滞损耗且并未验证模型对于取向硅钢的适用性。L. Daniel等基于简化的多尺度模型,提出了考虑应力的非滞回磁化曲线的解析式[10]。R. B. Sai等用该解析式替代J-A模型的朗之万函数,同时考虑钉扎系数及涡流场系数的应力依赖性,建立了相应的动态磁滞模型[11]。模型中考虑应力的非滞回磁化曲线是在材料各向同性基础上推导得到的,将R. B. Sai等所提模型与本文所提模型进行了对比后发现,该模型对于取向硅钢并不适用。贲彤等对L. Daniel等所提考虑应力的非滞回磁化曲线进行了改进[12],以实现对高、中、低磁通密度下磁滞回线的准确模拟,随后还对不同磁化方向的无取向硅钢的磁滞特性和磁致伸缩特性进行了模拟[13],但未解决其对于取向硅钢的适用性问题。张艳丽等基于磁畴能量极小值原理,提出了适用于无取向硅钢的考虑机械应力的磁滞模型[14],但所提模型为静态模型且由于模型本质仍基于简化的多尺度模型,因此,所提模型对取向硅钢并不适用。河北工业大学李永建等提出了拉应力下适用于低磁通密度以及高磁通密度的取向硅钢片静态磁滞模 型[15],但并未对模型在压应力下的有效性进行验证,且模型并未对涡流损耗及剩余损耗的应力依赖性开展研究。陈昊等将S-J-A模型表示的与应力相关磁场强度引入原始的Energetic模型中,同时考虑了参数的应力依赖性,提出了适用于取向硅钢的磁滞模型[16],但所提模型仍为静态模型,且模型中参数与应力依赖关系并不明确,参数与实验数据的过度拟合使得模型仅对某一应力下损耗计算的误差较小,但在其他应力下模型计算值与实验值相差过大,仍需要重新进行参数辨识。
基于损耗分离法,A. Ouazib等对低碳钢的动态损耗特性进行了实验测量,分析了各个损耗分量随应力的变化情况[17],但并未给出计算不同应力下磁滞损耗、涡流损耗与剩余损耗的模型且所得出结论对于取向硅钢的适用性有待讨论。D. Singh等通过大量实验,分析得出了无取向硅钢片应力下剩余损耗与磁滞损耗的关系[7],但并未给出计算各损耗的具体模型。
综上所述,当前应力下取向电工钢片动态损耗模型存在的问题可以概括为:一是当前模型对模拟无取向硅钢应力下的动态损耗具有较好的效果,但对于取向硅钢片适用性差。这是由于取向硅钢与无取向硅钢在晶体及磁畴构成上存在差异,导致应力尤其拉应力对于两者的影响存在显著差异[18-20]。拉应力会降低取向硅钢的磁性能,并降低其损耗。而较小的拉应力会提高无取向硅钢原本磁性能,使其更易于被磁化,并使得损耗降低,但较高的拉应力却降低了其磁性能,并使得损耗升高[21]。二是参数辨识依赖某一应力下所测实验值,容易导致过拟合,使得模型对某一应力下损耗计算的误差较小,但在其他应力下模型计算值与实验值相差过大。三是为建立取向硅钢应力下的动态损耗模型,还需要针对涡流损耗及剩余损耗的应力依赖性进行研究并提出适用于取向硅钢片的涡流损耗与剩余损耗计算方法。因此,当前亟待提出考虑应力影响的取向硅钢片动态损耗模型。
针对上述问题,本文首先改进了O. Perevertov所提出的取向硅钢在不同应力下静态磁场强度之间的关系,引入了应力引起的附加磁场强度,并结合Energetic模型,得到考虑应力的静态磁滞模型,克服了现有模型对取向硅钢的适用性以及容易参数过拟合的问题,由静态磁滞回线的面积可计算磁滞损耗。然后,分析涡流损耗以及剩余损耗与应力的关系:涡流损耗为宏观损耗,在趋肤效应不明显时,分析经典涡流损耗计算公式可知,由于材料电导率只与材料成分有关,因而不受应力影响;应力影响了取向硅钢磁畴结构,进而影响剩余损耗参数V0,最终引起剩余损耗变化,本文通过损耗分离法,得到了参数V0与应力的关系,提出了剩余损耗参数V0受应力影响的表达式,进而计算应力下的剩余损耗。叠加各损耗分量,最终可计算得到取向硅钢应力下的动态损耗。重点对50 Hz时取向硅钢不同磁通密度及应力下的动态损耗进行计算,模型计算结果与实验结果对比表明,所提模型具有较高精度。最后,对模型在20、100及150 Hz下的通用性及模型精度与频率的关系进行了讨论。
为测量取向硅钢片在应力下的动态损耗特性,搭建了软磁材料应力下磁特性及动态损耗特性测量平台,如图1所示。主机PC首先通过数据采集卡及电机驱动对被测单片施加应力,测力传感器信号将当前被测单片承受的应力实时发送给主机PC,以实现对被测单片施加指定大小的应力。在完成对被测单片的应力施加后,主机PC通过布鲁克豪斯系统,测量被测单片的动态损耗特性。实验中选用取向硅钢牌号分别为30QG105及18SQG085,尺寸均为350 mm×50 mm。需要说明的是,过大的应力引起塑性形变对取向硅钢造成的影响不在本文讨论范围内。由于硅钢片厚度很小,在较大压应力下很容易弯曲,导致测量区域受力不均匀,因此,考虑到实验的严谨性及设备的安全承载,最终选择施加压应力范围从-6~0 MPa,间隔为-2 MPa。取向硅钢30QG105被施加的拉应力范围从0~20 MPa,间隔为5 MPa,取向硅钢18SQG085被施加的拉应力范围从0~30 MPa,间隔为5 MPa。规定负数表示压应力,正数表示拉应力。
图1 软磁材料应力下磁特性及动态损耗特性测量平台
Fig.1 Measurement platform for magnetic and dynamic loss characteristics of soft magnetic materials under stress
硅钢片动态损耗一般可以表示为静态磁滞损耗、涡流损耗及剩余损耗之和[22]。为了准确模拟取向硅钢受应力时的动态损耗,需要进行损耗分离,分别对各损耗分量受应力影响的情况开展研究。因此,除50 Hz外,本文还测量了20、100、150 Hz下取向硅钢受应力时的动态损耗。由于静态磁滞损耗与磁滞回线的面积有关,因此,还需要实验测量取向硅钢在应力下的静态磁滞回线。从变压器实际工作磁通密度角度出发,设定实验测量磁通密度范围从1.0~1.8 T,间隔为0.1 T。
取向硅钢动态损耗为磁通密度及应力的函数,实验所测的磁通密度及应力均为离散值,通过差值的方式可得到50 Hz下两种牌号取向硅钢动态损耗关于应力及磁通密度的云图如图2所示。图中,Ws为总损耗。其他频率下的测量结果主要用来进行后续损耗分离,此处不再详尽展示。从图2中可以看出,最高损耗出现于云图右下角,即所测最高磁通密度且受到压应力时;最低损耗出现于云图左上角,即所测最低磁通密度且受到拉应力时。为了更加清晰地观察受应力时动态损耗的变化,绘制取向硅钢受应力相较于不受应力时动态损耗值变化,如图3所示。从图3中可以看出,相较于不受应力,随着拉应力的增大,动态损耗逐渐降低,随着压应力s的增大,动态损耗逐渐升高。从图3中还可以看出,应力对于不同磁通密度下的动态损耗影响不同,两种牌号取向硅钢,均表现为随磁通密度增加,应力的影响逐渐增强。例如对于牌号为30QG105的取向硅钢,1.2 T时,相较于不受应力,受到20 MPa拉应力时取向硅钢动态损耗降低了11.13 J/m3,而1.7 T时降低了20.90 J/m3;1.2 T时,受到6 MPa压应力时取向硅钢的动态损耗增加了48.51 J/m3,而1.7 T时增加了79.25 J/m3。由此可见,应力对动态损耗有着较为复杂的影响。
图2 动态损耗云图(50 Hz)
Fig.2 Dynamic loss contour (50 Hz)
图3 取向硅钢受应力相较于不受应力时动态损耗值变化(50 Hz)
Fig.3 Change of dynamic loss value of grain-oriented silicon steel under stress compared to zero stress (50 Hz)
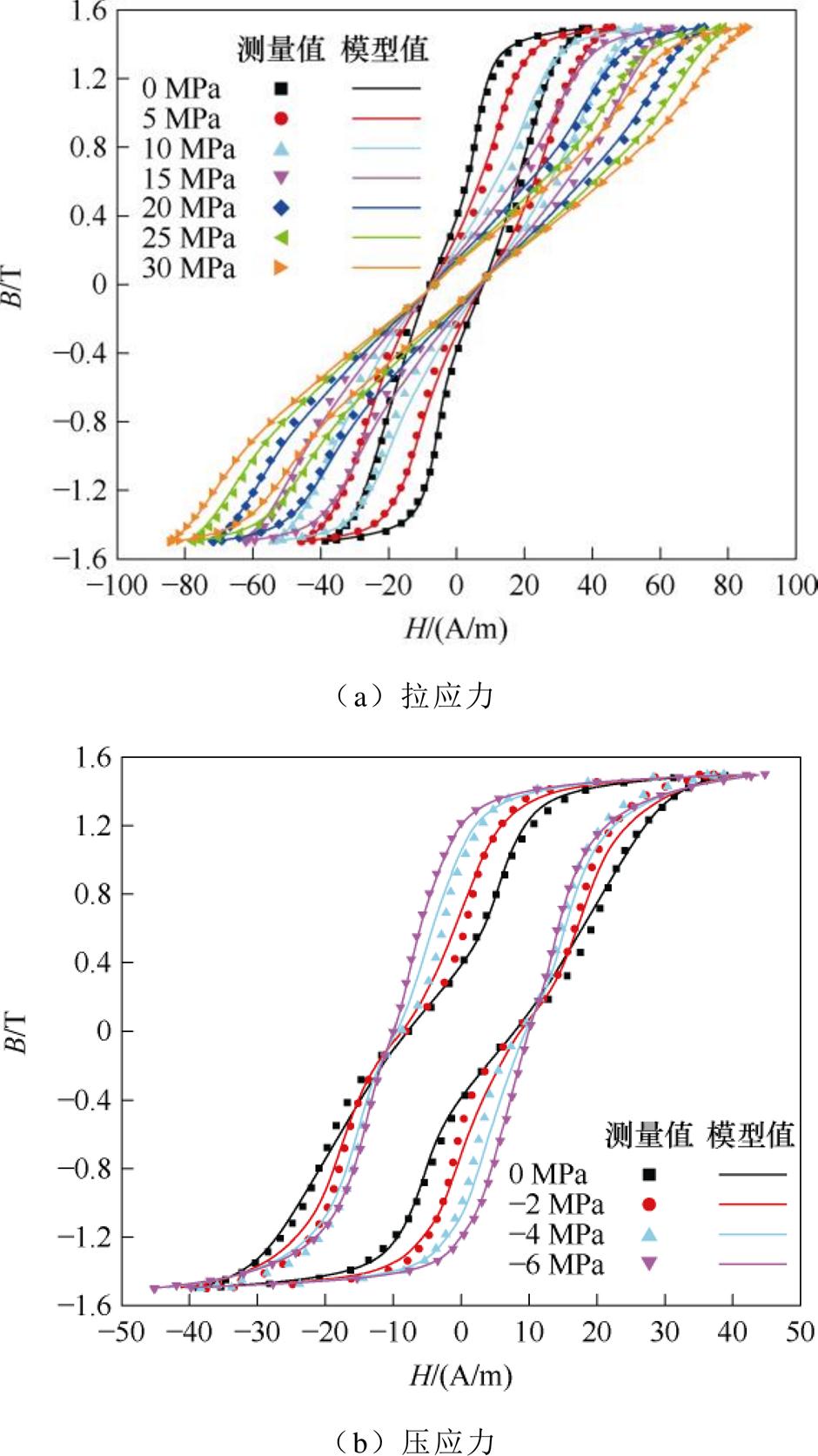
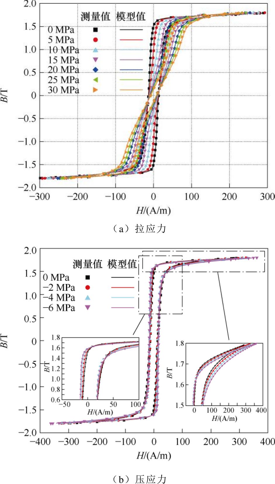
由于静态磁滞回线难以测量,一般用低频即5 Hz准静态下的磁滞回线代替静态磁滞回线[23]。两种牌号取向硅钢受拉应力与压应力的静态磁滞回线分别如图4和图5所示,图4a、图5a与图4b、图5b分别为牌号30QG105与18SQG085的取向硅钢。图5c为图5b的局部放大图。图中,B为磁通密度,H为磁场强度。从实验测量结果中可以发现,对于牌号30QG105的取向硅钢,拉应力与压应力均使取向硅钢原本的磁性能恶化,即达到相同的磁通密度,需要更强的磁场强度,表现为磁滞回线逐渐由陡峭变平缓。对于牌号18SQG085的取向硅钢,拉应力使取向硅钢原本的磁性能恶化,表现为磁滞回线逐渐由陡峭边平缓。但在压应力下,如图5c所示,当磁通密度小于反转磁通密度点时,压应力改善了取向硅钢原本磁性能,磁滞回线逐渐变陡峭,当磁通密度大于反转磁通密度点时,压应力恶化了取向硅钢原本磁性能,材料需要更大磁场强度才能达到饱和。对于牌号30QG105的取向硅钢,相较于拉应力,压应力对于取向硅钢片磁性能的恶化程度更加显著。这是由于压应力不利于沿磁场方向磁畴排列[19, 24],因此,想要达到相同磁通密度,就需要更强的磁场强度来克服压应力带来的影响。图4、图5展示的是磁通密度为1.8 T时的准静态磁滞回线,其他磁通密度时的磁滞回线与1.8 T时磁滞回线受应力影响的变化趋势相同,限于篇幅,此处不再详尽展示。
图4 取向硅钢受拉应力时的静态磁滞回线
Fig.4 Static hysteresis loop of oriented silicon steel under tensile stress
图5 取向硅钢受压应力时的静态磁滞回线
Fig.5 Static hysteresis loop of oriented silicon steel under compressive stress
静态磁滞损耗Why与磁滞回线面积有关,可以表示为
(1)
式中,c表示磁滞回线,该积分指的是沿着完整的磁滞回线进行的环路积分。
由此可得到不同磁通密度下静态磁滞损耗与应力的关系,如图6所示。从图中可以看出,应力对静态磁滞损耗的影响与应力对动态损耗的影响类似,即拉应力略微降低了取向硅钢的动态损耗,但压应力使得取向硅钢损耗明显增加,且均表现为随磁通密度增加,应力的影响逐渐增强。从图4、图5中可以看出,这是由于拉应力的增大使得磁滞回线逐渐变“细”,而压应力的增大使得磁滞回线逐渐变“宽”,由于静态磁滞损耗与磁滞回线面积有关,因而造成了磁滞损耗受应力时存在上述变化。
图6 取向硅钢应力下的静态磁滞损耗
Fig.6 Static hysteresis losses of grain-oriented silicon steel under stress
拉应力与压应力对取向硅钢磁性能影响机制不同,可以从应力对取向硅钢磁畴影响的角度分析上述实验结果。一方面,拉应力对两种牌号取向硅钢磁性能影响趋势相同,拉应力使取向硅钢基本磁畴细化[19],晶界数量显著增加,导致磁畴壁移阻碍增加,材料更难被磁化,表现为磁滞回线斜率降低;另一方面,拉应力使得取向硅钢表面“匕首”磁畴密度减小[19],钉扎点密度降低,使得磁畴壁移过程中能量损失减小。两种因素共同作用,表现为取向硅钢磁滞损耗随拉应力略微降低。
压应力对两种牌号取向硅钢磁性能影响趋势不同。牌号为30QG105的取向硅钢标称厚度为0.3 mm,牌号为18SQG095的取向硅钢标称厚度为0.18 mm。压应力使取向硅钢逐渐出现横向磁畴[24],不利于磁化,因此使得牌号为30QG105的取向硅钢磁滞回线斜率降低,磁滞回线面积增大,磁滞损耗增加。对于牌号为18SQG095的取向硅钢来说,由于厚度较薄,其单位体积的表面积更大,表面钉扎点带来的影响更加明显。然而压应力使其出现横向磁畴,横向磁畴壁周边钉扎点对磁畴壁移并没有影响,降低了磁畴壁移阶段阻碍畴壁运动的钉扎点密度,有利于平行于磁场方向的磁畴磁化,正如图5c所示,反转点之前,磁滞回线斜率随压应力增大逐渐升高。但反转点后,由于磁畴旋转成为磁化的主要机制,横向磁畴旋转阻碍的增加,不利于磁化,达到相同磁通密度需要更强的磁场强度。
G. Bertotti从损耗产生的机理出发,基于损耗的统计理论提出了硅钢片动态损耗可表示为静态磁滞损耗Why、涡流损耗Wec及剩余损耗Wex之和[22],有
(2)
损耗分离法被广泛应用在铁磁材料损耗的评估,应力影响了取向硅钢原本的磁畴结构[19, 24],可能会引起三种损耗数值的变化,但并未导致损耗机理的变化,因此仍然可对取向硅钢在应力下的动态损耗进行分离。
H. Hauser从能量平衡的角度,将材料磁化过程中的总能量表示为外加磁场能量密度WH、退磁场能量密度Wd、可逆磁场能量密度Wr及不可逆磁场能量密度Wi之和[25],有
(3)
考虑能量密度最小化原理,H. Hauser提出的Energetic模型可以表示为
(4)
其中
(5)
(6)
式中,Hhy为静态磁场强度;Hd为退磁场强度;sgn( · )为符号函数;Hr为可逆磁场强度;Hi为不可逆磁场强度;m为归一化磁化强度;m0为上一反转点对应的m值;Ne为退磁因子;Ms为饱和磁化强度;k为与磁滞损耗有关的参数;m0为真空磁导率;cr为与磁畴大小有关的参数;k为反转函数;q为与钉扎点密度有关的参数;h为与饱和磁场相关的比例常数;g为与材料各向异性相关的自适应常数;k0为上一磁反转点对应的k值。
较低磁通密度时,对于牌号为18SQG085的取向硅钢,磁滞回线剩磁点处会出现明显的“变窄”现象,如图7所示。为考虑磁滞回线剩磁点处“变窄”现象,需要对参数k进行修正,有
(7)
式中,k0、k1、md及mk为待提取参数。需要说明的是,是否引入式(7)对原参数k进行修正需要根据实验测量的磁滞回线情况来确定,磁滞回线剩磁点处不存在“变窄”现象或该现象不明显时,不需要采用式(7)。
上述模型并没有考虑应力的影响,因此,考虑引入应力引起的能量Ws,则磁化过程中的能量平衡可以重新表示为
图7 磁滞回线剩磁点处“变窄”现象示意图
Fig.7 Schematic diagram of the phenomenon of “narrowing” at the remanence point of the hysteresis loop
(8)
相应地,应力下的磁场强度Hhy(s)可以表示为
(9)
式中,Hhy为式(4)中对应的原始Energetic模型表示的磁场强度;Hs为应力引起的附加磁场强度。文献[23]根据O. Perevertov所提出的不同应力下静态磁场强度之间的关系,提出将Hs表示为
(10)
式中,H(ss)为应力ss下的磁场强度;H(0)为无应力下的磁场强度;k(s)为与应力有关的影响系数,一般直接将其表示为应力值s,但经过验证其对于取向硅钢的适用性较差。为了充分考虑应力的非线性影响,本文在此基础上,将k(s)进一步发展为
(11)
式中,a、b、g、n为待提取的参数,其辨识及确定方法将在3.1节中详细阐述。
得到考虑应力的静态磁滞模型后,磁滞损耗通过磁滞回线的面积可以求得,有
(12)
由于在50 Hz时取向硅钢片趋肤深度远大于其厚度,因此一般不考虑趋肤效应,因此,经典涡流损耗可以表示为
(13)
式中,l为电导率;d为样品厚度。
经典涡流损耗为一种宏观损耗,所施加弹性应力范围内,样品厚度几乎不发生改变,电导率也仅仅取决于材料本身的成分而与应力无关[26-27],因此剩余损耗受应力影响可以忽略。
剩余损耗是一种微观涡流损耗,基于损耗的统计理论,Berttoti推导得到剩余损耗[22]表达式为
(14)
式中,G为无量纲系数;S为材料横截面积;V0为控制活跃磁体增长的特征场,与磁畴的结构有关[7, 22],应力会改变材料原本磁畴结构[19, 24],因此,参数V0应表示为应力的函数,则剩余损耗可以表示为
(15)
由于剩余损耗参数V0并没有明确的求解式,一般情况下需要根据实验结果拟合得到[28]。因此,需要对测量得到的动态损耗进行损耗分离,得到剩余损耗,并提取参数V0,以最终确定参数V0与应力的关系。
由于涡流损耗不受应力影响,可根据式(13)求得,总损耗减去涡流损耗后,得到的磁滞损耗与剩余损耗之和满足
=
(16)
考虑到磁通密度为正弦,式(16)可以进一步整理为
=
(17)
式中,f为频率;Bp为磁通密度峰值。磁滞损耗Why(s)为静态磁滞回线的面积,虽然静态磁滞损耗受应力影响,但与频率无关。因此,磁滞损耗与剩余损耗之和与频率的1/2次幂成正比的关系在相同应力下依然成立[23],可据此对动态损耗进行损耗分离,动态频率点的选择为20、50、100、150 Hz。
以磁通密度为1.8 T时的损耗分离为例,不同应力下磁滞损耗与剩余损耗之和与频率1/2次幂的关系如图8所示,利用最小二乘法可以得到相应的拟合直线,从图中可以明显看到,拉应力下拟合直线具有近似相同的斜率,但具有不同截距,随着压应力的增大,拟合直线斜率与截距均增大。显然,由于拟合直线的截距为磁滞损耗,斜率与剩余损耗成正比,因此可以得到结论:拉应力与压应力对磁滞损耗均有显著影响,但拉应力对剩余损耗的影响较小。其他磁通密度下的拟合直线与磁通密度为1.8 T时的情况相同,此处不再赘述。
图8 磁滞损耗与剩余损耗之和与频率1/2次幂的关系
Fig.8 The relationship between the sum of hysteresis loss and residual loss and the 1/2 power of frequency
进一步地,由拟合直线斜率得到不同磁通密度时剩余损耗参数V0与应力s的关系如图9所示。由于拉应力对剩余损耗参数V0影响很小,结合图3、图6及图9可以知道,造成拉应力下动态损耗降低的主要原因是静态磁滞损耗随拉应力的降低而降低。从图9中可以看到,压应力对参数V0影响明显,与压应力呈现类指数级关系,但在拉应力下,参数V0变化值很小,与拉应力的关系近似线性。基于此,本文提出参数V0与应力拟合关系式为
图9 剩余损耗参数V0与应力的关系
Fig.9 Relation between residual loss parameter V0 and stress
(18)
式中,K1、K2、a、b为待拟合参数。
综上所述,本文得到的取向硅钢应力下损耗计算模型为
=

(19)
本文所提损耗模型参数分别是式(4)中原始Energetic模型参数对应的7个参数,式(11)中表示应力影响的4个参数及式(18)剩余损耗参数V0中的4个参数。
原始Energetic模型对应的参数可以通过拟合无应力时的磁滞回线数据得到,以1.8 T时模型参数确定为例,本文采用差分进化算法进行该部分的参数辨识。由于1.8 T时,两种牌号磁滞回线在剩磁点处没有明显的“变窄”现象,因此不需要引入式(7)对模型进行进一步修正。1.8 T时两种牌号取向硅钢原始Energetic参数辨识结果见表1和表2。
表1 30QG105静态磁滞模型参数(1.8 T)
Tab.1 Static hysteresis model parameters of 30QG105 (1.8 T)
参 数数 值 Ms/(A/m)1.56×106 Ne2.16×10-5 h/(A/m)0.17 g12.89 k/(J/m3)28.15 q59.08 cr0.50
为确定应力引起的附加磁场强度Hs中k(s)的4个参数,首先定义相同磁通密度时磁场强度与应力关系曲线。应力分别为sk、sm、sn(sk<sm<sn
时磁滞回线的上半支示意图如图10a所示,取磁通密度为0.8 T时不同应力下磁滞回线上半支对应的磁场强度Hk、Hm、Hn,可得到磁通密度为0.8 T时磁场强度与应力的关系曲线,如图10b所示。
表2 18SQG085静态磁滞模型参数(1.8 T)
Tab.2 Static hysteresis model parameters of 18SQG085 (1.8 T)
参 数数 值 Ms/(A/m)1.50×106 Ne8.96×10-6 h/(A/m)0.10 g12.22 k/(J/m3)26.27 q28.28 cr1.51
图10 0.8 T下磁场强度与应力的关系曲线
Fig.10 Schematic diagram of the relationship curve between magnetic field strength and stress at 0.8 T
利用上述定义,取磁通密度为0、±0.4、±0.8、±1.2、±1.5、1.7 T时不同应力下磁滞回线上半支对应的磁场强度,可得到类似图10b所示的11条曲线。对于牌号30QG105的取向硅钢,拉应力时令式(10)中ss=20 MPa,压应力时令式(10)中ss=-6 MPa。对于牌号18SQG085的取向硅钢,拉应力时令式(10)中ss=30 MPa,压应力时令式(10)中ss= -6 MPa。通过与上述11条曲线进行拟合,可得到k(s)中的参数,见表3和表4。所提方法可以避免参数辨识过度拟合的问题,使得模型针对不同应力均具有较高精度。图11为不同磁通密度下磁场强度与应力的关系拟合曲线,可以看到,模型对不同应力均具有较高精度。
表3 30QG105静态应力参数
Tab.3 Static stress parameters of 30QG105
abgn 拉应力-12.24-1.21-8.80-0.85 压应力-3.592.60-1.740.98
表4 18SQG085静态应力参数
Tab.4 Static stress parameters of 18SQG085
abgn 拉应力-22.58-0.65-18.46-0.57 压应力-4.930.37-3.830.36
图11 不同磁通密度下磁场强度与应力的关系拟合曲线
Fig.11 Fitting curves of the relationship between magnetic field strength and stress under different magnetic densities
确定原始Energetic模型参数及应力引起的附加磁场强度Hs中k(s)的参数后,应力下的静态磁场强度可以求得。
(20)
两种牌号取向硅钢在拉应力及压应力下磁滞回线模型计算与实验测量结果对比分别如图12和图13所示。从图中可以看到,静态磁滞模型计算结果与实验测量结果拟合程度较好。
两种牌号取向硅钢在1.2 T、1.5 T时模型参数见表5~表8。需要特别说明的是,对于牌号为18SQG085的取向硅钢,随着所测磁通密度的降低,所测磁滞回线在剩磁点处会出现明显的“变窄”现象,需要引入式(7)对模型进行进一步修正。1.2 T、1.5 T时模型结果与实验结果对比分别如图14~图17所示。通过不同应力下磁滞回线面积可计算磁滞损耗,最终得到不同应力下静态磁滞损耗模型与实验结果对比如图18所示。
图12 30QG105应力下静态磁滞回线对比(1.8 T)
Fig.12 Comparison of static hysteresis loops under tensile stress of 30QG105 (1.8 T)
对于参数V0计算式(18)中的参数K1、K2、a、b,根据不同应力下损耗分离得到的参数V0结果,采用差分进化算法进行参数辨识,最终得到1.2、1.5与1.8 T时剩余损耗V0参数辨识结果见表9和表10,拟合曲线如图19所示。
图13 18SQG085应力下静态磁滞回线对比(1.8 T)
Fig.13 Comparison of static hysteresis loops under compressive stress(1.8 T)
表5 30QG105静态磁滞模型参数(1.2 T)
Tab.5 Static hysteresis model parameters of 30QG105 (1.2 T)
参 数数 值 Ms/(A/m)1.56×106 Ne2.06×10-5 h/(A/m)10.30 g1.99 k/(J/m3)14.12 q33.72 cr0.11
表6 30QG105静态磁滞模型参数(1.5 T)
Tab.6 Static hysteresis model parameters of 30QG105 (1.5 T)
参 数数 值 Ms/(A/m)1.56×106 Ne1.87×10-5 h/(A/m)4.02 g4.92 k/(J/m3)16.25 q41.15 cr0.32
3.1节和3.2节展示了1.2、1.5及1.8 T时不同应力下模型参数辨识过程及结果,其他磁通密度等级时参数辨识过程同3.1节和3.2节。
表7 18SQG085静态磁滞模型参数(1.2 T)
Tab.7 Static hysteresis model parameters of 18SQG085 (1.2 T)
参 数数 值 Ms/(A/m)1.46×106 Ne1.53×10-5 h/(A/m)4.88 g1.81×10-4 q12.73 cr44.44 k0/(J/m3)20.29 k1/(J/m3)16.15 md0.27 mk0.10
表8 18SQG085静态磁滞模型参数(1.5 T)
Tab.8 Static hysteresis model parameters of 18SQG085 (1.5 T)
参 数数 值 Ms/(A/m)1.48×106 Ne1.83×10-5 h/(A/m)0.008 2 g18.11 q66.55 cr0.13 k0/(J/m3)16.88 k1/(J/m3)6.86 md0.27 mk0.065
图14 30QG105应力下静态磁滞回线对比(1.2 T)
Fig.14 Comparison of static hysteresis loops under compressive stress of 30QG105 (1.2 T)
图15 30QG105应力下静态磁滞回线对比(1.5 T)
Fig.15 Comparison of static hysteresis loops under compressive stress of 30QG105 (1.5 T)
在确定所提模型中的参数后,根据式(19),将静态磁滞损耗、涡流损耗及剩余损耗叠加,即可得到不同应力下的动态损耗。最终可以计算得到磁通密度1.0~1.8 T(间隔0.1 T)不同应力下的动态损耗。根据模型计算结果,通过差值的方式,得到50 Hz时模型损耗计算值关于磁通密度及应力的云图如图20所示。
图16 18SQG085应力下静态磁滞回线对比(1.2 T)
Fig.16 Comparison of static hysteresis loops under compressive stress at of 18SQG085 (1.2 T)
图17 18SQG085应力下静态磁滞回线对比(1.5 T)
Fig.17 Comparison of static hysteresis loops under compressive stress of 18SQG085 (1.5 T)
图18 不同应力下磁滞损耗模型与实验结果对比
Fig.18 Comparison of hysteresis loss model and experimental results under different stresses
表9 30QG105剩余损耗参数
Tab.9 30QG105Residual loss parameters
K1K2ab 1.2 T-0.31-0.000 36-4.420.038 1.5 T-0.42-0.000 13-4.670.043 1.8 T-0.470.000 36-4.450.042
表10 18SQG085剩余损耗参数
Tab.10 18SQG085 Residual loss parameters
K1K2ab 1.2 T-0.30-0.000 28-5.860.025 1.5 T-0.28-0.000 29-6.420.037 1.8 T-0.210.000 35-4.220.039
为了评估模型计算精度,绘制50 Hz时模型计算与实验测量相对误差关于磁通密度及应力的云图,如图21所示。从图中可以看到,对于牌号为30QG105的取向硅钢,最大误差不超过10%,对于牌号为18SQG085的取向硅钢,最大误差不超过7.1%。
图19 参数V0拟合图
Fig.19 Fitting curves of parameter V0
图20 不同磁通密度不同应力下云图(50 Hz)
Fig.20 Contour diagram under different magnetic densities and different stresses (50 Hz)
图21 损耗误差云图(50 Hz)
Fig.21 Loss error contour (50 Hz)
变压器工作频率为50 Hz,但为了充分说明本文所提动态模型在不同励磁频率下的通用性,绘制了20、100、150 Hz下模型计算结果与实验测量结果相对误差云图,分别如图22~图24所示。从图22~图24中看到,本文所提模型动态损耗的计算误差均在10%以内。剩余损耗参数V0计算误差恒定,由于剩余损耗与频率的1/2次幂成正比,因此模型计算的剩余损耗误差的数值大小也会随着频率的升高而变大,但相对误差并没有因此而增大。因此本文所提模型精度并没有随着频率的升高而明显增大。对于更高频率,趋肤效应将变得显著,经典涡流损耗不再适用,需要将材料磁导率随应力变化考虑在涡流损耗计算中[17],应力下的动态损耗计算将更加复杂,相关工作有待后续开展。
图22 损耗误差云图(20 Hz)
Fig.22 Loss error contour (20 Hz)
图23 损耗误差云图(100 Hz)
Fig.23 Loss error contour (100 Hz)
图24 损耗误差云图(150 Hz)
Fig.24 Loss error contour (150 Hz)
为了进一步说明本文所提模型的有效性,对R. B. Sai等所提模型[11](下文简称对比模型)对取向硅钢的适用性开展了验证工作。图25为对比模型动态损耗计算误差云图。可以看到,对比模型对于两种牌号取向硅钢应力下的损耗计算误差极大。正如引言中所述,对比模型存在两个问题,一方面,参数辨识依赖某一应力下所测实验值,容易导致过拟合,使得模型对某一应力下损耗计算的误差较小,但会导致在其他应力下模型计算值与实验值相差过大,从图25中可以看出,不同应力下对比模型误差变化很大。另一方面,由于拉/压应力对于无取向硅钢与取向硅钢的影响并不相同,对比模型所提考虑应力的非滞回磁化值计算公式基于材料各向同性或弱各向异性的假设,经过验证,发现其对于取向硅钢动态损耗计算并不适用。
图25 对比模型动态损耗计算误差云图(50 Hz)
Fig.25 Dynamic total loss calculation error contour (50 Hz)
1)拉应力使得取向硅钢静态磁滞损耗降低,压应力使得静态磁滞损耗升高。本文根据取向硅钢应力下静态磁场强度之间的关系,引入应力引起的附加磁场强度,结合静态Energetic磁滞模型,提出了考虑应力的静态磁滞模型,能够模拟取向硅钢在不同应力下的静态磁滞损耗。
2)电导率只与样品成分有关,且弹性应力对样品尺寸影响有限,且电导率也仅仅取决于材料本身的成分而与应力无关。因此,可忽略应力对于取向硅钢涡流损耗的影响。由于应力使得取向硅钢原本的磁畴结构发生变化,因此,本文通过损耗分离法,提取剩余损耗参数V0,并提出其受应力影响的表达式,来计算应力下的剩余损耗。
3)由损耗分离思想,叠加上述各损耗分量,可以得到动态损耗结果。实验表明,两种不同牌号取向硅钢动态损耗误差均在10%以内,验证了本文所提模型的有效性和适用性。本文所提模型适用于取向硅钢且不存在传统模型参数辨识容易过拟合的问题,可用于计算取向硅钢在不同磁通密度及应力下的动态损耗。
参考文献
[1] 工业和信息化部, 市场监管总局, 国家能源局. 变压器能效提升计划(2021—2023年)[B]. 2020.
[2] Gürbüz I T, Martin F, Aydin U, et al. Experimental characterization of the effect of uniaxial stress on magnetization and iron losses of electrical steel sheets cut by punching process[J]. Journal of Magnetism and Magnetic Materials, 2022, 549: 168983.
[3] 朱育莹, 李琳. 考虑各向异性和模型参数应力依赖关系的改进Sablik-Jiles-Atherton磁滞模型[J]. 电工技术学报, 2023, 38(17): 4586-4596.
Zhu Yuying, Li Lin. An improved Sablik-Jiles- Atherton hysteresis model considering anisotropy and stress dependence of model parameters[J]. Transactions of China Electrotechnical Society, 2023, 38(17): 4586- 4596.
[4] Liu Mingyong, Hubert O, Mininger X, et al. Redu- ction of power transformer core noise generation due to magnetostriction-induced deformations using fully coupled finite-element modeling optimization pro- cedures[J]. IEEE Transactions on Magnetics, 2017, 53(8): 8400511.
[5] 陈昊, 李琳. 非晶合金-取向硅钢组合铁心结构设计及其磁-振动特性分析[J]. 电工技术学报, 2024, 39(10): 2925-2936.
Chen Hao, Li Lin. Structure design and magnetic- vibration characteristics analysis of amorphous alloy and oriented silicon steel composite iron core[J]. Transactions of China Electrotechnical Society, 2024, 39(10): 2925-2936.
[6] Ben Tong, An Ni, Chen Long, et al. An improved stress-dependent magnetostriction model of silicon steel based on simplified multi-scale and Jiles-Atherton theory[J]. AIP Advances, 2024, 14(1): 015232.
[7] Singh D, Rasilo P, Martin F, et al. Effect of mechanical stress on excess loss of electrical steel sheets[J]. IEEE Transactions on Magnetics, 2015, 51(11): 1001204.
[8] Permiakov V, Dupré L, Pulnikov A, et al. Loss separation and parameters for hysteresis modelling under compressive and tensile stresses[J]. Journal of Magnetism and Magnetic Materials, 2004, 272: 553- 554.
[9] Rasilo P, Singh D, Aydin U, et al. Modeling of hysteresis losses in ferromagnetic laminations under mechanical stress[J]. IEEE Transactions on Magnetics, 2015, 52(3): 7300204.
[10] Daniel L. An analytical model for the effect of multiaxial stress on the magnetic susceptibility of ferromagnetic materials[J]. IEEE Transactions on Magnetics, 2013, 49(5): 2037-2040.
[11] Sai R B, Baghel A P S, Kulkarni S V, et al. A frequency-dependent scalar magneto-elastic hysteresis model derived using multi-scale and Jiles-Atherton approaches[J]. IEEE Transactions on Magnetics, 2020, 56(3): 7510105.
[12] 贲彤, 安妮, 陈龙, 等. 基于改进多尺度动态J-A模型的无取向硅钢磁致伸缩特性模拟[J]. 中国电机工程学报, 2025, 45(11): 4514-4526.
Ben Tong, An Ni, Chen Long, et al. Simulation of magnetostrictive properties of non-oriented silicon steel based on improved multiscale dynamic J-A model[J]. Proceedings of the CSEE, 2025, 45(11): 4514-4526.
[13] 贲彤, 孔玉琪, 陈龙, 等. 考虑磁畴偏转的无取向硅钢应力各向异性磁致伸缩特性模拟[J]. 电工技术学报, 2024, 39(4): 935-946.
Ben Tong, Kong Yuqi, Chen Long, et al. Simulation of stress-induced anisotropic magnetostrictive pro- perties of non-oriented silicon steel considering magnetic domain deflection[J]. Transactions of China Electrotechnical Society, 2024, 39(4): 935-946.
[14] 李梦星, 张艳丽, 姜伟, 等. 机械应力下电工钢片磁滞与磁致伸缩回环滞后特性模拟[J]. 电工技术学报, 2022, 37(11): 2698-2706.
Li Mengxing, Zhang Yanli, Jiang Wei, et al. Simulation of hysteresis and magnetostrictive loop hysteretic characteristics of electrical steel sheets under mechanical stress[J]. Transactions of China Electrotechnical Society, 2022, 37(11): 2698-2706.
[15] 李永建, 李宗明, 利雅婷, 等. 考虑磁-力耦合效应的混合磁滞模型研究[J]. 电工技术学报, 2024, 39(22): 6941-6951.
Li Yongjian, Li Zongming, Li Yating, et al. Study of hybrid hysteresis model considering magnetic-force coupling effect[J]. Transactions of China Electro- technical Society, 2024, 39(22): 6941-6951.
[16] 陈昊, 李琳, 刘洋. 基于Energetic模型的机械应力作用下电工钢片磁滞特性模拟[J]. 电工技术学报, 2023, 38(12): 3101-3111.
Chen Hao, Li Lin, Liu Yang. Simulation of magnetic hysteresis characteristics of electrical steel sheet under mechanical stress based on energetic model[J]. Transactions of China Electrotechnical Society, 2023, 38(12): 3101-3111.
[17] Ouazib A, Domenjoud M, Fagan P, et al. Effect of tension and compression stress on the magnetic losses in a low-carbon steel[J]. IEEE Transactions on Mag- netics, 2024, 60(9): 2001105.
[18] Perevertov O. Influence of the applied elastic tensile and compressive stress on the hysteresis curves of Fe-3%Si non-oriented steel[J]. Journal of Magnetism and Magnetic Materials, 2017, 428: 223-228.
[19] Perevertov O, Schäfer R. Influence of applied tensile stress on the hysteresis curve and magnetic domain structure of grain-oriented Fe-3%Si steel[J]. Journal of Physics D: Applied Physics, 2014, 47(18): 185001.
[20] Fu Yuheng, Li Lin. Modeling and analysis of stress sensitivity and changing trend of magnetization characteristics of GO silicon steel cut along different angles to the rolling direction[J]. IEEE Transactions on Magnetics, 2024, 60(3): 2000405.
[21] Baghel A P S, Blumenfeld J B, Santandrea L, et al. Effect of mechanical stress on different core loss components along orthogonal directions in electrical steels[J]. Electrical Engineering, 2019, 101(3): 845- 853.
[22] Bertotti G. Physical interpretation of eddy current losses in ferromagnetic materials. I. theoretical considerations[J]. Journal of Applied Physics, 1985, 57(6): 2110-2117.
[23] 付裕恒, 李琳. 计及压应力对磁场强度各分量影响的无取向硅钢磁弹性耦合动态磁滞模型[J]. 中国电机工程学报, 2025, 45(7): 2832-2845.
Fu Yuheng, Li Lin. Magnetoelastic coupled dynamic hysteresis model of non-oriented silicon steel sheet considering the influence of compressive stress on components of magnetic field strength[J]. Pro- ceedings of the CSEE, 2025, 45(7): 2832-2845.
[24] Perevertov O, Schäfer R. Magnetic properties and magnetic domain structure of grain-oriented Fe-3%Si steel under compression[J]. Materials Research Express, 2016, 3(9): 096103.
[25] Hauser H. Energetic model of ferromagnetic hysteresis[J]. Journal of Applied Physics, 1994, 75(5): 2584-2597.
[26] Ali K, Atallah K, Howe D. Prediction of mechanical stress effects on the iron loss in electrical machines[J]. Journal of Applied Physics, 1997, 81(8): 4119- 4121.
[27] Karthaus J, Elfgen S, Leuning N, et al. Iron loss components dependent on mechanical compressive and tensile stress in non-oriented electrical steel[J]. International Journal of Applied Electromagnetics and Mechanics, 2019, 59(1): 255-261.
[28] Liu Ren, Li Lin. Calculation method of magnetic material losses under DC bias using statistical loss theory and energetic hysteresis model[J]. IEEE Transa- ctions on Magnetics, 2019, 55(10): 7501404.
Abstract The grain-oriented (GO) silicon steel sheets, which constitute the core of a power transformer, are inevitably subjected to stress during processing, stacking, and operation. The mechanical stress affects the dynamic loss characteristics of the GO silicon steel sheets. Therefore, it is necessary to conduct relevant research on the dynamic loss characteristics of GO silicon steel sheets under mechanical stress.
The existing problems of the dynamic loss model of GO silicon steel sheets under stress can be summarized as follows. Firstly, the current models have a good applicability in simulating the dynamic loss of non-oriented silicon steel sheets under stress. Still, they have poor applicability to GO electrical steel sheets. Secondly, the parameter identification depends on the experimental values measured under a particular stress, which is likely to lead to overfitting. As a result, the errors of the calculated loss under a specific stress are minor, but the errors are substantial under other stresses. Thirdly, it is also necessary to study the stress dependence of eddy current loss and residual loss.
Therefore, this paper proposes a dynamic loss model considering the stress effect for GO silicon steel sheets. A measurement platform is set up. The magnetic properties and dynamic loss characteristics of soft magnetic materials under mechanical stress are measured, as well as the static hysteresis and dynamic loss characteristics of GO silicon steel sheets. Based on the energetic model, taking into account the stress-induced additional energy, the magnetic field strength under stress can be expressed as the superposition of the magnetic field strength without stress and the stress-induced additional magnetic field strength. The stress-induced additional magnetic field strength accounts for the effects of the same stress on different magnetic densities and the nonlinear effects of stress. Therefore, the static hysteresis model, which considers stress, can simulate the static hysteresis loss of GO silicon steel sheets under various stresses. The electrical conductivity only depends on the composition of the material itself. Thus, the influence of stress on the eddy current loss of GO silicon steel sheets can be ignored. Subsequently, considering that stress changes the structure of magnetic domains within GO silicon steel sheets, the relationship between the residual loss parameter V0 and the stress is analyzed. Accordingly, the residual loss under different stresses can be calculated, and the dynamic loss of GO silicon steel sheets under different stresses can be obtained.
Experimental verification indicates that the dynamic loss errors of the GO silicon steel sheets with two different grades are both within 10%, which verifies the effectiveness and applicability of the proposed model. The proposed model does not exhibit easy overfitting problems in parameter identification and can accurately calculate the dynamic losses of GO silicon steel sheets under various stresses.
Keywords:Grain-oriented silicon steel sheets, stress, dynamic loss, loss separation method
中图分类号:TM271
DOI: 10.19595/j.cnki.1000-6753.tces.250143
收稿日期 2025-01-21
改稿日期 2025-03-14
付裕恒 男,1998生,博士研究生,研究方向为软磁材料磁弹性耦合特性测量及模拟与变压器铁心磁力耦合计算方法。
E-mail: yh.fu@ncepu.edu.cn(通信作者)
李 琳 男,1962生,教授,博士生导师,研究方向为电磁场理论及应用与先进输变电技术。
E-mail: lilin@ncepu.edu.cn
(编辑 崔文静)