摘要 城市电网(UPN)作为保障大型城市正常运行的关键基础设施,其风险防控能力的提升对促进城市发展至关重要。近年来,极端灾害频发已成为大规模停电事故的重要诱因,严重影响城市经济和国家安全,建设“城市韧性电网”已成为当务之急。然而,社会域的融入为城市电网韧性的评估和提升带来了诸多新的机遇与挑战。基于此,该文首先从社会安全的角度,系统地梳理了影响UPN韧性提升的关键因素,包括人为因素(决策者、操作者和消费者等社会群体的深度参与)以及物理因素(UPN与城市生命线系统(ULS)的紧密耦合);其次,归纳了融合社会域的电网韧性评估指标体系和方法,并对决策者、操作者和消费者参与UPN韧性提升过程的研究现状进行了评述;最后,总结了当前在社会安全新标准下以及异质社会群体参与条件下,构建城市韧性电网面临的主要问题,并从评估指标体系构建、耦合网络拓扑降维、韧性提升三个方面展望了未来的研究方向。
关键词:韧性评估 韧性提升 社会安全 城市电网 城市生命线系统 极端灾害
大型城市作为国家的政治、经济和文化中心,是一个具有以居民为主体、人口数量庞大、基础设施网络高度密集等特点的空间地域复杂巨系统,其正常运转与否将直接关系国家安全[1]。电力作为维持城市正常运行功能的基础能源[2],例如水泵[3]、地铁[4]、天然气门站[5]、通信基站[6]等关键居民服务设施均依赖城市电网(Urban Power Network, UPN)的电力供应。特别是受城市化进程发展的影响,未来城市需进一步具备智能化、数字化等特点,动力能源、交通运输、通信传播、给排水和社会服务等城市生命线系统(Urban Lifeline Systems, ULS)对电力的依赖将进一步加深[7]。因此,建立安全稳定的城市电网对保障未来城市的正常运行至关重要。
然而近年来,极端灾害发生的频率和影响范围显著增加,并已逐渐成为导致中国大停电事故的主要诱因。数据显示,2020—2024年间,华中地区和东北地区因雨雪冰冻造成的电网用户停电数量, 较2014—2019年分别增长了5倍和30倍。此外,2019—2021年间,在国家电网公司运营的110 kV及以上线路中,受极端灾害影响的跳闸次数占总跳闸数的比例已超过50%[8]。可以看出,UPN在面对极端灾害冲击时暴露出应急能力不足、民生安全事故频发等问题。究其原因,除了UPN自身具有外受电比例高、多电压等级电网交杂、负荷密度高等脆弱性特征外[9],其与各ULS的密切耦合更是为故障传播开辟了新的路径,系统间的连锁故障将进一步扩大毁伤范围,严重威胁城市公共安全[7]。物理因素对城市电网韧性水平的影响如图1所示,电网元件损毁将引发故障吸收、感染、反馈等一系列发生于ULS间的连锁反应,严重影响各系统的运行功能。例如,在2023年7月29日发生于北京市房山区的特大暴雨事故中,受洪涝和泥石流等次生灾害的影响,房山电网共计2座110 kV变电站和131条配电线路故障,直接或间接导致132个村通信中断、218个村供水中断、621个基站无法正常运行,进一步延缓了应急工作的开展,近90万受灾群众处于失联状态超3天,直接经济损失达530.67亿元。
为了缓解上述极端灾害对UPN的冲击,党和国家通过《“十四五”全国城市基础设施建设规划》等一系列重要部署明确提出在国内建设“城市韧性电网”[10],以提升UPN的应灾能力和风险防控水平,并降低大停电事故对城市发展和国家能源安全的影响。当前学术界与工业界将电网韧性定义为:表征电网对于小概率、高风险扰动事件的抵抗能力和受损后的恢复能力[11],常采用负荷总削减量等指标作为系统功能函数,以描述UPN韧性水平随极端灾害影响的时变过程,如图1中右侧曲线所示。
图1 物理因素对城市电网韧性水平的影响
Fig.1 Impact of physical factors on the resilience level of urban power networks
但是,伴随着具有自主意识和个体行为的社会群体逐步参与并影响城市能源互联网中的能源产生、运输和消费等环节,我国工业发展模式正从传统的能源4.0转变为以信息-物理-社会系统(Cyber- Physical-Social System, CPSS)为核心架构的能源5.0[12],电力系统成为包含社会群体行为和复杂基础设施间互动的联合系统。在此背景下,一方面,居民作为城市的核心主体(截至2023年底,我国城市人口达到9.33亿,城镇化率达66.16%[13]),在推进新型城镇化的过程中,必须将公共安全置于核心位置[14],并将居民基本生活需求的满足程度作为评估UPN韧性水平的标准。另一方面,由图2所示人为因素对城市电网韧性水平的影响可知,由于不同类别的社会群体(包括电网决策者(Decision Makers, DM)、操作者(System Operators, SO)和消费者(Energy Consumers, EC)[15])在极端灾害影响过程中的职责和利益诉求不同,并且受各自理性程度、经验水平及经济收入等差异化属性的影响,各类群体制定和执行的计划可能是次优的,甚至会阻碍电网韧性提升。据统计,国内外电力行业每年因人为失误造成的事故率高达70%~80%[16]。因此,仅从信息-物理维度审视“城市韧性电网”研究,无法探明社会域群体的行为特征并度量消费者的生活需求下限,难以深度挖掘应急资源的调控空间及可压缩边界,不能满足未来UPN对高韧性的要求。
图2 人为因素对城市电网韧性水平的影响
Fig.2 Impact of human factors on the resilience level of urban power networks
在上述背景下,本文将保障消费者在极端灾害下的基本生活需求作为考核“城市韧性电网”的基本要求,并在传统韧性电网的定义中引入社会安全要素。具体地,城市韧性电网应能在面对低概率-高影响的极端灾害时,统筹考虑不同社会群体的行为特征以及多能源系统间的协调互补关系,在灾前预防控制以抵御灾害,灾中紧急响应以适应灾害,灾后应急恢复以化解灾害,最大程度地降低极端灾害对城市生命线系统运行功能和消费者基本生活需求保障的负面影响。
为建设满足上述要求的城市电网,本文首先梳理了社会安全视角下城市韧性电网研究的必要性和关键影响因素。其次,从社会安全视角分别对UPN韧性评估和韧性提升的研究现状进行了总结:①韧性评估,包括韧性指标体系构建、极端灾害场景生成、系统运行状态仿真;②韧性提升,包括电网决策者、操作者和消费者等各类社会群体如何参与并影响电网韧性提升工作。最后,指出了社会安全视角下当前电网韧性评估和提升工作面临的挑战,展望了基于知识-数据联合驱动等前沿技术方法的应用潜力,提出了以保障社会安全为核心要求的UPN韧性评估和提升的研究路径。
社会安全的概念最早于1983年由学者B. Buzan在“People, States and Fear”一书中提出[17],其与政治安全、军事安全、主权安全共同组成国家安全体系[18]。其中,公共安全是构成社会安全的关键要素,该要素指公众能够享有安全和谐的生活环境,并且能够最大限度地避免各种灾难的伤害,同时个人生命财产和身心健康等能得到安全保障[19]。
为此,2022年党的二十大报告提出了“推进以人为核心的新型城镇化”的战略部署[14],即在推进城市基础设施网络建设时,应当将维护公共安全作为考核“城市韧性电网”的新标准。同时,社会安全要求的加入也映射出社会群体能够参与韧性电网建设,包含与公共安全相关的用能需求可以指导电网韧性发展的方向、社会群体的自主行为可以影响电网韧性水平。
综上所述,在社会安全视角下研究城市韧性电网与国家未来发展路径高度契合,同时,社会域的融入为电网韧性的提升带来了诸多亟须关注的机遇和挑战,因此该问题具有较大的研究需求。
本节从城市电网运营商的角度出发,探讨社会安全视角下影响城市电网韧性提升的关键因素,主要包括以下两类:①人为因素,当异质性社会群体参与电网韧性提升时,该过程既可能因社会群体的不完美决策和误操作而受到阻碍,也可能因社会群体的弹性需求而得到促进,如图2所示;②物理因素,由于城市电网与各生命线系统的关键基础设施间高度耦合,其韧性水平既可能因系统间的协同支撑和能源互济而增强,也可能因级联故障传播而削弱,如图1所示。
1.2.1 影响城市电网韧性提升的人为因素
极端灾害下影响城市电网韧性的社会群体可以根据自身职责划分为三类[15]:电网决策者(DM)、操作者(SO)和消费者(EC)。各类群体的具体特征见表1,其对UPN韧性提升的影响如图3所示。电网韧性提升的优化数学模型可表示为
(1)
表1 城市电网韧性提升中三类社会群体的特征
Tab.1 Three social groups in the enhancement of urban power network resilience
群体类别实际角色功能作用扰动因素事 例 决策者电网调度人员、政策制定人员等制定电网韧性提升策略风险偏好、利益诉求不同2021年河南郑州暴雨来临前,气象部门已发布红色预警,但政府主观认为北方雨量有限,导致防汛准备关键期变为空白期,应急部署和响应严重滞后[20] 操作者系统监测、控制、抢修人员等执行电网韧性提升策略 经验水平不同、外界因素影响2003年美国东北停电事故中,操作员在纠正状态估计器后忘记重启功率监控设备,发电厂和线路故障数小时均未解决,引发级联故障,导致5 000万人停电[21] 消费者具有自发行为的个体促进电网韧性提升经济收入、理性程度不同2012—2023年,美国加州电力部门提前在山火来临前给居民发送短信预警,居民通过参与需求侧响应,降低电力供应缺口,响应共计60余次[22] 阻碍电网韧性提升受冬春季烧荒、春节庆典、清明祭祖影响,2010—2018年间1—4月中湖南电网因山火跳闸达100次,占总数的79.4%[23];停电后扰乱社会秩序[24] 需要政府保障其生活需求的居民指导电网韧性提升方向耐受程度不同2022年四川极端高温时,政府优先保障老年人等体弱人群的供冷需求[25];冬季极寒天气中居民供热负荷为《有序用电方案》中的保底优先保供对象[26]
图3 三类社会群体对城市电网韧性提升的影响
Fig.3 Impact of three social groups on enhancing urban power network resilience
式中,ADM, BDM,
, HDM为与电网决策者相关的系数向量;
为与操作者相关的决策变量,其中
和
分别为与不等式约束和等式约束相关的变量,其取值上下限分别为
和
;
为与消费者相关的决策变量,其参数定义方式与操作者类似。
1)决策者
决策者包括电网调度人员、政策制定人员等,在UPN韧性提升过程中扮演“大脑”的角色,其制定电网应急策略的准确性是提高UPN韧性水平的前提条件。然而,该过程会受到决策者个人风险偏好以及不同主体利益诉求两方面因素的影响。①个体风险偏好影响:不同电网决策者因性格和风险承受能力不同,对应急策略的经济成本和风险规避程度的偏好差异性较大。例如,风险厌恶型的决策者倾向于制定更加保守的应急策略,即宁愿增加经济成本(如目标函数中与负荷总削减量的权重系数ADM和BDM高于应急资源布置成本的权重值),以最大程度地降低灾害对系统的影响[27]。②跨系统利益权衡影响:由于不同ULS隶属于不同的主体,受信息壁垒、利益诉求差异化和管理权限限制等因素影响,各系统在灾后恢复时会优先保障自身的关键负荷。此时,电网决策者需要在这种非合作博弈的环境中制定最优应急策略(如约束条件中与各主体相关变量的系数CDM,
, HDM具有不确定性)。
2)操作者
操作者指负责系统监测、控制、维护、抢修等任务的电网工作人员,在UPN韧性提升过程中扮演“肢体”的角色,其迅速且准确地执行应急任务是保障电网韧性的必要条件。然而,该过程会受到操作者个人因素和环境因素的影响:前者指由于不同操作者的技能经验水平存在差异,完成同一任务所需的时间不同[15],例如,在抢修同一个故障元件时,入职时间较短的职员较年长的职员需耗费更多的时间(抢修最长用时
更大);后者包括工作条件和团队因素,即操作人员的任务执行质量和效率(
、
)会受外部环境和团队其他协作人员的影响[16]。
3)消费者
消费者指各类居民用户,在UPN韧性提升过程中扮演“器官”的角色,其既可以通过参与需求侧响应或自主次优行为(类似胃分泌合适或过多剂量的消化液)促进或阻碍UPN韧性提升;也可以作为系统能源保供对象(类似当胃部不适时,大脑指挥肢体就医)指导UPN韧性提升的方向。具体地,①当消费者作为具有自发行为的个体参与UPN韧性提升时,由于不同个体的经济条件和理性程度差异较大,对政府号令和节能补贴政策的响应程度不同。例如,高理性且经济条件有限的消费者更倾向于牺牲自身舒适度(即响应上限
较大),通过减少夏季制冷负荷等方式换取补贴;理性程度较低且易受舆论影响的消费者,则可能在能源供应受限时产生恐慌心理,甚至采取游行或破坏性行为,对电网恢复工作造成干扰[24]。②当消费者作为能源供应对象指导UPN韧性提升时,由于不同年龄段的居民在身体素质、基本需求的迫切程度方面存在显著差异,其对灾害的适应能力和能源短缺的耐受程度有所不同[28]。例如,老年人和残疾人由于身体素质较差,在夏冬季节对室内温度的要求较高(即极限温度阈值区间
更小),对能源缺供的耐受程度较低(即极限停电耐受时长
更小);相较而言,青少年则对灾害的适应能力更强[29]。基于如图4所示的马斯洛需求层次理论框架,居民用户的需求具体包括生理、安全、社交、尊重和自我实现需求,且在不同时期均有一类需求占主导地位[30]。消费者基本类需求与生命线系统的对应关系见表2。极端条件下应优先关注前三类保障身体和心理健康的基本类需求:生理需求指在灾后短期内,居民迫切需要基础能源供应以维持基本生活,如供电、供水和供暖;安全需求指在灾后的中短期内,灾害的影响已经蔓延,受伤人群及因舆论恐慌的居民急需医疗机构和政府机关的正常运转,以保障自身的安全需求;社交需求指在灾害发生较长时间后,由于通信系统和交通网络的瘫痪,受灾居民难以与亲属取得联系,极易引发焦虑和抑郁情绪。
图4 马斯洛需求层次理论框架
Fig.4 Framework of Maslow’s hierarchy of needs
表2 消费者基本类需求与生命线系统的对应关系
Tab.2 Correspondence between consumer needs and ULSs
需求类别主导时段对应基础功能对应生命线系统 生理需求数小时用电、用水、取暖电网、水网、热网等 安全需求数十小时医疗救助、舆论导向医疗机构、政府机关 社交需求数天通信、出行通信网、交通网等
1.2.2 影响城市电网韧性提升的物理因素
本节从物理层面分析影响构建城市韧性电网的影响因素,并在1.2.1节的基础上,重点关注影响居民基本类需求且与UPN强相关的ULS。城市电网与各生命线系统间的物理耦合关系如图5所示,UPN与各ULS间的物理耦合特征可以总结为:不对称、单/双向、结构耦合/直接功能耦合/间接功能耦合。其中,不对称指系统间耦合的层级不同;单/双向指故障在系统间可能存在的传导关系;结构耦合指UPN与各ULS间的元件布设时近距离共存,当极端灾害导致一方损坏时,另一方耦合设施也将发生故障;直接功能耦合指由于UPN与各ULS间的能源供给存在互相支撑关系,当一方故障时,耦合设备的供能缺失将引发另一方缺额运行;间接功能耦合指当某一ULS故障后,导致UPN应急恢复过程受阻或对其可替代系统的过量需求,进而影响UPN的运行功能水平。
图5 城市电网与各生命线系统间的物理耦合关系
Fig.5 Physical coupling relationships between urban power networks and urban lifeline systems
1)城市电网-燃气网
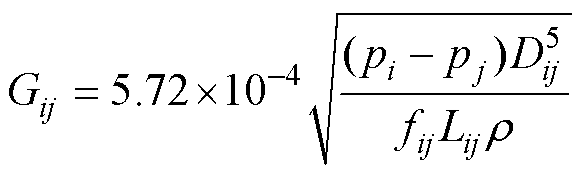
大型城市的燃气网络(Urban natural Gas Network, UGN)通常由多级、环状结构管网系统构成[5],如图1所示,其功能是接收经气源和输气网侧远距离运输的高压天然气(1.6~6.4 MPa),并通过降压装置逐级降至中压(0.2~0.4 MPa)和低压(2~7 kPa)后输送至用户侧。在常规运行条件下,该过程依赖燃气数据采集与监视控制(Supervisory Control and Data Acquisition, SCADA)系统远程调控,通过远程终端单元和智能仪表自动调节燃气网络的运行状态。而在极端条件下,调节方式可切换至自力式调压器(弹簧机械控制)或手动调压模式[31],在停电影响后的较长时间内仍能保持燃气的正常供应,即UPN短时停电对UGN的源侧进气和网侧供气影响较小。然而,由于部分城市电网中燃气机组的装机比例可达90%[32],当UGN供气不足时,燃气机组出力大幅降低将对电网源侧造成显著影响。因此,二者间耦合特征可概括为:(弱)双向、不对称、直接功能耦合。
UPN与UGN的耦合模型为
(2)
式中,
为描述UPN运行的关键方程,包括欧姆定律和基尔霍夫定律等;V和P分别为节点电压和线路功率,是UPN中的关键参量;
为UGN的运行方程,包括气压损失方程和质量守恒定律等;p和G分别为节点气压和管道流量,是UGN中的关键参量;
为描述UPN-UGN系统耦合运行的相关方程;
为UPN-UGN系统的耦合变量,包括燃气机组产电量和耗气量、调压站耗电量等。
2)城市电网-热网
大型城市的集中供热网络(Urban Heat supply Network, UHN)通常由多级、支/环状结构管网系统构成,如图1所示,其功能是输送热源产出的热媒介质(水、蒸汽),经环状主干管网(高温水≥115℃或过热蒸气压≥70 kPa)、枝状支干网(低温水<115℃或饱和蒸气压<70 kPa)后,通过换热站调节、转换并由支线网将热量分配至区域热用户[33]。在此过程中,城市电网不仅为UHN源侧的电锅炉和热泵提供电力支持(二者供热面积超北京市总面积的10%),还负责网侧换热站中的水泵、电动调节阀等设备的供电。此外,当UHN供热受阻时,大量居民将改用电采暖作为替代(甚至超过65%供热面 积[34]),导致电网负荷激增,间接加重UPN源荷缺口问题。因此,二者耦合特征呈现单向、直接和间接功能耦合。
UPN与UHN的耦合模型为
(3)
式中,
为UHN的运行方程,包括热力损失方程和热力学定律等;T和Q分别为节点温度和管道
热量,是UHN中的关键参量;
为描述UPN-UHN系统耦合运行的相关方程;
为UPN-UHN系统的耦合变量,包括电锅炉和热泵的耗电量等。
3)城市电网-水网
大型城市的供水网络(Urban Water supply Network, UWN)通常由多级、支/环状结构管网系统构成,其功能是接收经水厂、加压泵站和输水管网远距离运输的原水(1.0~1.6 MPa),并通过水量调节设施和用户侧二次加压泵站控制水量和水压(0.1~0.4 MPa)后,最终输送至用户侧[35]。在此过程中,UWN的源侧设备(如水厂、供水泵站、加压泵站)和用户侧装置(如二次加压水泵)分别依赖110 kV高压配电网和10 kV中压配电网供电。一旦供电中断,将导致UWN中管道流量和节点水头降低,高层建筑用户会出现大面积供水中断[36]。此外,由于电力生产过程需要消耗大量的水源(如美国45%的日耗水量均用于电力生产[37]),当UWN供水不足时,将使火电和燃气等电厂因冷却水短缺而降低出力[38]。因此,城市电网和供水网之间的耦合关系表现为双向、不对称、直接功能耦合的特点。
UPN与UWN的耦合模型为
(4)
式中,
为UWN的运行方程,包括水力损失方程和质量守恒定律等;h和M分别为节点水头和管道流量,是UWN中的关键参量;
为描述UPN-UWN系统耦合运行的相关方程;
为UPN-UWN系统的耦合变量,包括电厂的耗水量、水厂和水泵的耗电量等。
4)城市电网-通信网
城市通信系统(Urban Communication Network, UCN)包括电网主站、光纤线路、馈线终端单元、无线基站等,其功能包括为UPN提供态势感知和快速控制服务以及为用户提供在线通信服务[39]。UCN与UPN的耦合特征呈现双向、结构、直接和间接功能耦合特点。其中,结构耦合指电网线路与光纤复用架空地线一体化布局[40];直接功能耦合指UCN中主站设备、馈线终端单元、无线基站均需要电力供应,供电中断将导致对应电力设备不可观且不可控,如机组出力调整受限[40]、馈线终端设备无法远程调度[41]等,进而扩大电网故障影响范围;间接功能耦合则指公共通信网故障会进一步导致指挥抢修等命令的上传下达不便、无人机远程操控受阻等,间接导致UPN功能恢复过程受阻[42]。
UPN与UCN的耦合模型为
(5)
式中,
为UCN的运行方程,包括通信业务传输方程和流量控制方程等;B和R分别为通信业务传输路径和链路流量带宽,是UCN中的关键参量;
为描述UPN-UCN系统耦合运行的相关方程;
为UPN-UCN系统的耦合变量,包括主站设备和基站的耗电量、量测和控制终端的业务需求等。
5)城市电网-交通网
大型城市的城市交通网络(Urban Transporta- tion Network, UTN)包含道路交通网络和轨道交通网络,二者主要功能均为保障用户快速、安全出行。①道路交通网络的网架由主干道、快速道和隧道等具有不同交通流量承载能力和不同限定速度的道路组成,需要电力供能的元件包括信号灯、充(换)电站等,且由于UPN中地下电缆和杆塔通常沿道路铺设,布设时呈现地理紧密联系(道路坍塌导致电缆损坏,杆塔倒塌导致道路阻塞)[43];②轨道交通网络的网架由轨道交通行驶线路、车站和换乘站组成,供电系统包括10 kV牵引变电站、750 V/1 500 V直流牵引网、400 V低压配电网和应急照明系统,牵引网的供电中断将直接导致UTN瘫痪,引发客流大规模滞留[44]。此外,当道路或轨道交通网络故障时,应急物资的运输延误还会间接减缓UPN的恢复进程[45]。因此,UPN与UTN间耦合特征呈现结构耦合、单向、直接和间接功能耦合特点。
UPN与UTN的耦合模型为
(6)
式中,
为UTN的运行方程,包括用户均衡准则和动态元胞传输模型等;
和U分别为O-D对和道路交通流量,是UTN中的关键参量;
为描述UPN-UTN系统耦合运行的相关方程;
为UPN-UTN系统的耦合变量,包括轨道交通、信号灯和充(换)电站的耗电量等。
6)城市电网-服务网
城市服务网(Urban Service Network, USN)由医疗机构、政府机关、应急管理局等部门组成,其功能是维持社会基本秩序和保障居民生活需求,但如手术照明和供氧等医疗服务、饮用水和食品等应急物资调配服务的正常开展均需要电力供应[24]。此外,当居民基础生活需求未能得到保障时,受公众心理恐慌和社会舆论发酵的影响,新的公共事故可能会连锁发生,间接影响UPN恢复[46]。
城市韧性电网的相关研究内容包括韧性评估和韧性提升:①韧性评估指根据被研究系统的特点,提出系统网络结构和运行功能等方面的评估指标,以衡量系统在应对低概率-高影响的极端事件时,能够展现出的事前预备、抵御冲击、承担故障后果并快速恢复供能的能力;②韧性提升指根据被研究系统中脆弱元件和重要负荷的分布情况,在事前、事中、事后的不同时段中,分别采取规划加固、预防控制、紧急调度和负荷恢复等应急措施,保证韧性评估指标尽可能处于正常范围,以提高系统韧性。
有效的UPN韧性评估是正确指导韧性提升措施实施的前提条件。基于模拟仿真的方法作为最常见的事前韧性评估方法,包括韧性指标体系构建、极端场景生成、系统运行状态仿真三个步骤。
2.1.1 韧性指标体系构建
1)传统UPN韧性评估指标
传统UPN韧性评估指标包括基于系统网络结构的静态指标和基于系统运行功能的动态指标,两种指标体系是互补的,前者可以解释系统为什么具有韧性,而后者可以明确系统具体韧性数值[47]。
静态指标体系通常基于节点重要性和网架脆弱性构建,前者采用节点度IK、节点介数IB等指标来衡量节点重要程度[48],分别如式(7)和式(8)所示;后者通过网络连通性IC、边韧度IT等韧性指标来表征线路脆弱程度[49],分别如式(9)和(10)所示。虽然上述研究通过连锁故障理论、图论理论、复杂网络理论等方法[39],能够预估电网物理结构在扰动事件下的响应与扰动后的故障状态,辨识电网重要元件和脆弱线路(例如,若某一节点相连边越多(节点度越大)、最短路径经过数量越多(节点介数越大),则该节点为系统中较为重要的元件),但无法刻画电网在遭遇不同极端灾害时的实际动态 变化。
(7)
(8)
(9)
(10)
式中,WN为电网节点集合;
为节点j和k间路径数量;
为节点j和k间路径中经过节点i的数量;
为图G最大连通子集节点数;
为图G总节点数;
和
分别为图G移除边割集G1后的最大连通子集节点数和连通子集数。
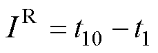
动态指标体系是根据UPN在极端灾害影响下动态时变的过程构建的[50],如图1右侧曲线所示,通常会从负荷、时间和应急资源等层面选取不同指标以建立系统运行功能函数曲线F(t),表征系统运行功能在灾害影响不同时段的变化过程。例如,负荷类指标[47]有抵御率IDE(见式(11))、适应率IAD(见式(12))、负荷恢复速率IRE(见式(13))等;时间类指标[51]有电网恢复时长IR(见式(14))等;应急资源类指标[52]有应急电源支撑力ISUS(见式(15))等。
(11)
(12)
(13)
(14)
(15)
式中,F0为系统受极端事件影响后的最低功能水平;F1为系统恢复后的功能水平;t1、t4、t6、t10为系统功能变化的不同关键时刻,分别代表极端事件发生时刻、系统功能降至最低值的时刻、应急恢复开始时刻和系统恢复正常的时刻,具体如图1所示;
和
分别为节点i由应急电源供电和重新接入电网的时长。
2)社会安全视角下的UPN韧性评估指标
传统的电网韧性评估指标量化了极端灾害对UPN物理层面的影响,但未涉及对UPN社会层面影响的量化,因此难以全面衡量UPN的整体韧性水平[53]。本节从三类社会群体的角度出发,总结社会安全视角下相关研究提出的韧性评估指标。
(1)与决策者相关的韧性评估研究多为定性分析,定量模型相对有限。例如,在文献[54]提出的技术-组织-社会-经济(TOSE)韧性评估矩阵中,组织维度可以衡量电网公司对关键设备的管理能力,以及其执行灾害决策和行动措施的能力[11],具体指标包括是否能够识别关键资产和服务、是否能够使用数据和决策辅助工具快速制定恢复方案等(详见文献[54]中表1);文献[55]中提出的管理效率指标强调了电网决策者需要有明确的治理机制,方可快速有效地指导电网修复工作。
(2)与操作者相关的韧性指标主要分为个人因素和环境因素。①与个人相关的指标重点衡量操作者在执行任务时的失误情况,例如,文献[56]基于人因可靠性分析(Human Reliability Analysis, HRA)方法提出了人为失误概率指标IHEP评估操作者的表现效果,如式(16)所示。②与环境相关的指标则是衡量操作者所处的外部环境对其执行任务的影响。例如,文献[57]基于认知可靠性和误差分析方法(Cognitive Reliability and Error Analysis Method, CREAM)提出了九类效能条件指标评估操作者执行应急方案的优劣性,包括组织完备性、工作条件等。此外,当操作者具体指电网抢修小队时,文献[58-59]分别为抢修小队制定了抢修任务胜任度指标IUF(见式(17))和资源分配适应性测度指标IRD(见式(18)),用于提高抢修小队与故障间的匹配准确性以及小队间的合作质量,从而提升故障修复的效率。
(16)
(17)
(18)
式中,nHEP为基本失误概率值;Oi为第i类操作者表现评估指标;概率IHEP由诊断失误概率pHEP_D和动作执行失误概率pHEP_A构成,并受时间充裕度、压力、经验/培训、任务复杂度、人机接口、规程、工作适合性和工作流程等指标影响;wp和fp(·)分别为抢修小队第p项能力对故障第p项需求的匹配权重和效用函数;Nm和Wm分别为抢修小队m的累积资源和负载;M为抢修小队的总数。
(3)与消费者相关的韧性指标可以分为对居民生理健康和心理健康的两方面影响[60]。
生理健康评估指标主要关注居民对电、气、水等能源短缺的耐受度。例如,文献[61]基于美国劳伦斯伯克利实验室的用户停电损失时变数据,分析得到用户对停电时间的容忍度会呈现先慢后快最后趋于饱和的变化趋势,提出了服务价值指标
以量化用户停电耐受度,如式(19)所示;文献[28]针对UPN-UHN耦合系统,考虑极端场景下室内温度过高会影响用户的正常生命安全,基于热感觉平均预测投票值量化用户热耐受度,并采用不同热耐受度对应的室内温度区间与故障持续时间的乘积作为系统韧性评估指标
,如式(20)所示;文献[62]针对UPN-UWN耦合系统,考虑供水短缺会严重威胁居民生活安全,提出了基于“社会福利”的韧性评估指标
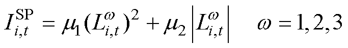
以量化对居民用电和用水的保障程度,如式(21)所示;文献[63]针对多能源微网,考虑用户参与响应的意愿取决于经济收益和舒适度偏好,为享受型、均衡型和经济型三类用户设定了用电、用热、用冷的阈值区间,定义了“社会效益函数”指标
(见式(22))以量化当不同用户偏离用能阈值区间时的不满意程度。
(19)
(20)
(21)
(22)
式中,
为用户i的停电时长;
为通过大量调查问卷得到的用户停电损失函数;
、
、
分别为用户舒适度对应的室内正常、最低、极限温度;
为t时刻的室内温度;
为停供总时长;h1、h2、 h3为惩罚成本系数;
为节点i的用能重要度;
和
分别为t时刻用户i的电负荷和水负荷;a1和a2为系数;
为t时刻用户i电负荷(w=1)、热负荷(w=2)和冷负荷(w=3)的调整量;m1和m2为负荷转移惩罚系数。
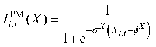
心理健康评估指标更加关注居民在能源短缺下的情绪变化。例如,文献[64]针对UPN-UWN-UGN耦合系统,采用前景理论刻画了能源短缺下消费者心理风险感知的变化,并分析了决策者在物理域和社会域间的偏好权衡,以及消费者年龄、身体素质等特征对耦合系统灾后负荷恢复的影响,如式(23)所示;文献[65]针对UPN-UCN耦合系统,提出了包含居民心理健康、风险感知、信息获取等社区韧性指标
,并采用逻辑函数建立了用户行为特征变化的阈值模型,如式(24)所示,刻画了当停电时长超过了某一阈值时引发消费者恐慌心理的场景;文献[66]进一步考虑电力缺失对用户情绪、风险感知、协作能力和身体健康的影响,基于Barsade和Fredrickson理论建立了个体间情绪交互模型,提出了“社会福祉”指标
以量化UPN的韧性水平,如式(25)所示。
(23)
(24)
(25)
式中,
和
分别为用户在收益区间和损失区间的风险承担意愿;R0为风险感知突变值;T为居民的停电容忍时间;a和b分别为前景理论中价值函数在收益与损失区间的边际敏感系数;X为社区韧性相关特征;Xi,t为用户i在t时刻该特征的取值;s为系数;fX为引发心理恐慌的阈值;
、
、
、
和
分别为t时刻用户i的情绪、风险感知、协作、同理心和生理健康程度。
综上所述,当前与城市电网韧性评估指标相关的研究总结见表3。
表3 城市电网的韧性评估指标
Tab.3 Resilience assessment metrics for UPNs
韧性指标类别指标公式 传统评估指标静态指标体系节点重要性[48]节点度IK式(7) 节点介数IB式(8) 网架脆弱性[49]连通性IC式(9) 边韧度IT式(10) 动态指标体系负荷类[47]抵御率IDE式(11) 适应率IAD式(12) 负荷恢复速率IRE式(13) 时间类[51]电网恢复时长IR式(14) 资源类[52]应急电源支撑力ISUS式(15) 社会安全视角下的评估指标决策者组织维度是否能够识别关键资产和服务、使用数据和决策辅助工具快速制定恢复方案等[54]— 管理效率是否具备明确的治理机制[55]— 操作者个人因素人为失误概率IHEP[56]式(16) 抢修任务胜任度IUF[58]式(17) 环境因素资源分配适应性IRD[59]式(18) 消费者生理健康用户停电耐受度IOT[61]式(19) 用户热舒适度ITC[28]式(20) 用户用水安全ISR[62]式(21) 用户收益和舒适度偏好ISP[63]式(22) 心理健康用户风险感知IIP[64]式(23) 用户恐慌心理程度IPM[65]式(24) 用户社会福祉ISWB[66]式(25)
2.1.2 极端场景生成
极端场景生成的目的是:通过在灾害发生前预测待研究地区的潜在极端气象条件,并分析气象因素对UPN的影响机理,进而量化极端灾害对系统的影响,包括源侧新能源机组出力变化、网侧设备故障概率以及负荷需求波动。由于该部分研究在社会安全视角下与传统方法无显著差异,因此本节仅对近年来常见的极端灾害对电网的影响机理及相关场景生成方法进行总结[67],见表4。
表4 近年常见极端灾害对电网的影响及场景生成方法
Tab.4 Impact of recent common extreme disasters on UPNs and scenario generation methods
极端灾害气象因素影响设备影响机理场景生成方法 沙尘暴强风风机风速大于风机截止风速蒙特卡洛模拟法[68] 线路风力大于金属变形极限 风沙流光伏沙尘颗粒阻碍太阳辐射,覆盖在光伏板降低透光率
(续)
极端灾害气象因素影响设备影响机理场景生成方法 沙尘暴风沙流风机沙尘覆盖叶片降低转速,磨损轴、破坏油封密封性蒙特卡洛模拟法[68] 山火热辐射线路热辐射致线路过热故障拉丁超立方[69] 极寒[70]低温负荷电采暖负荷激增序贯蒙特卡罗模拟法[71] 风机温度低于风机保护,机械件断裂;润滑油黏度上升 暴雪风机叶片覆雪覆冰,转速降低 光伏积雪覆盖,透光率降低 线路覆冰力大于金属变形极限,线路下垂致单相接地或相间闪络 极热[72]高温负荷制冷负荷激增分布鲁棒优化(概率不确定性集)[73] 线路线路绝缘过热故障 变压器变压器油过热故障 光伏温度过高,光伏逆变器故障,发电效率降低 无风风机出力骤降 干旱水电水位大跌,水电出力降低 火电机组冷却水不足、为避免高温故障降低机组出力 暴雨内涝开关柜积水高于防水门槛,电缆接头浸没故障;部件绝缘水平降低混合蒙特卡洛抽样[74] 变压器雨水渗入,设备短路漏电 泥石流线路杆塔倒塌
2.1.3 系统运行状态仿真
为评估UPN在某极端场景下的具体韧性水平,还需要模拟电网在该场景下的稳态潮流、电压和暂态频率、相角等运行状态,相关计算可以采用Matpower工具包[75]、PSD电力系统分析软件[76]、国家电网规划仿真分析计算平台[77]等仿真方法。然而,在社会安全视角下,量化与用户基本生活需求相关的指标需要对ULS进行模拟仿真。当前,多能互联系统仿真主要面临两大问题:模型求解难度大和多主体差异化决策。
问题一的根源在于ULS的潮流计算模型中存在大量非线性方程,现有应对策略可分为基于相应系统的成熟软件和基于模型近似法两类。例如,对于UWN中描述水头差值与管道流量的非线性方程(如Darey-Weisbach方程,见式(26)),可以采用EPANET软件[62]和二阶锥等凸松弛方法[78]实现水网潮流的快速计算;而对于UGN中描述管道流量与节点压力的非线性方程(如Lacey方程,见式(27)),可用Synergi软件[79]和分段线性化[80]等方法实现对该方程的高效近似。此外,基于模型-数据混合驱动的韧性评估方法,也可以实现ULS的快速仿真和UPN韧性水平的在线评估[81]。
(26)
(27)
式中,g为重力加速度;fij、Lij和Dij分别为气/水网管道(i, j)的摩擦系数、长度和直径;Dhij和Mij分别为水网管道(i, j)首末节点的水头差及流量;Gij为气网管道(i, j)中的天然气流量;pi为气网节点i的压力大小;r为气体相对密度。
在问题二中,由于不同ULS隶属于不同公司管理,各主体之间的利益诉求和数据隐私存在显著差异,导致各系统在实际调度中应当是多主体分散决策的。为应对利益诉求问题,文献[82]提出了一种针对UPN与UGN耦合系统的子系统故障响应决策模型,能够支持分析子系统内部独立响应故障、子系统间故障演化反馈等动态变化过程;文献[83]在UPN与UCN耦合系统中,考虑了健康区域的通信设备能协助受灾区域的用户设备恢复无线通信,但由于健康区域的通信基站和用户设备隶属于不同的服务商,各主体之间存在利益冲突的问题,基于Stackelberg博弈理论,建立了能量交易和干扰定价模型,实现了各方的利益平衡和资源优化配置。为解决数据隐私问题,文献[84-85]分别提出了“UPN运行-UGN运行-N-k应急”三级分层迭代算法和基于区块链技术的数据共享与隐私保护机制,确保在多能源主体分散决策过程中数据的可信性和完整性;文献[86]针对UPN-UGN-UHN系统的灾后协同恢复过程,考虑到在极端条件下通信设施故障时,基于知识驱动的方法难以全面掌握耦合网络的系统级模型和数据信息,采用多智能体强化学习技术实现了多能微网负荷的快速分布式恢复。
现有UPN韧性提升措施可归纳为:①面向灾前减损的元件加固规划与应急资源预布局;②面向灾中应急保电的紧急响应;③面向灾后故障抢修与负荷快速恢复的应急资源协同调度。在此基础上,本节重点关注决策者、操作者和消费者参与UPN韧性提升时面临的问题,并综述各自的应对方法。
2.2.1 决策者参与韧性提升
当电网决策者参与UPN韧性提升时,其核心任务是制定电网的最优应急方案,在实现降低极端灾害对电网冲击的同时,尽可能地降低方案的经济成本。但由于该过程会受到决策者对灾害严重程度判断(包含对风险的趋避程度和灾害信息的预测偏差两类不确定性因素)的影响,现有研究为应对不确定性因素影响决策者判断的问题,研究内容可划分为:①考虑更加全面的不确定性因素并对概率模型精确建模;②提出适用于处理不同因素特征的优化方法。
1)不确定性影响因素总结
电网决策者制定应急方案时需应对的第一类不确定性因素为风险趋避程度。文献[27]在UPN灾前-灾后韧性协同提升的背景下,仿真分析了不同风险偏好程度的电网决策者在灾前制定的应急资源布局方案对灾后故障抢修和负荷恢复过程的影响,当决策者为风险厌恶时,其愿意花费经济成本更高的应急方案以尽可能地降低灾害的影响[87]。此外,不同决策者对应急过程中最为关注的恢复重点也将在很大程度上影响方案的制定,文献[88]在对2010年巴基斯坦洪灾案例进行分析时发现,灾后公众对政府的信任能够促进应急恢复工作的开展,得到了决策者应当更加关注灾后民生安全保障的结论。
第二类不确定性因素则是灾害监测信息对电网的预测影响情况,具体体现在:故障元件的位置、数量及抢修时间;电力应急物资储备的充裕性;移动应急资源行驶时间;负荷需求及新能源出力。 ①针对故障元件的位置、数量及抢修时间的不确定性,文献[74, 89]分别在暴雨和高温极端灾害下,建立了线路、开关柜等设备的故障概率模型,并采用序贯蒙特卡洛模拟等方法预测电网故障元件位置及数量。为应对灾后短时间内难以完全探明极端灾害对系统全局影响的问题,电网决策者可采用分布式优化[9]、基于模型预测控制[90]和“wait and see”的动态滚动优化[91]策略,根据实时更新的故障抢修时间等局部信息,多次更新抢修计划,保证应急策略的全局最优性和时效性。②针对电力应急物资储备的充裕性,该不确定性因素由受灾地区电力部门物资储备量和所需物资量决定。当前电力部门储备应急物资的方式包括实物储备、动态生产和协议储 备[92],前两种方式存在浪费大量维护资金或不能满足短时间快速调度条件的问题,电力部门更常采用协议储备方式(即电力部门与物资供应商提前签订协议,物资平常放置在供应商仓库中,灾前再迅速运输至受灾区域的临时仓库中)。因此,灾前应储备多少的物资[93]以及灾后如何协调有限的物资[27]成为当前研究关注的重点。文献[94]为应对极端灾害下变电站设备故障,在灾前采用协议储备,即电网决策者以合同的形式规划各个工厂中存储变压器所需替换模块的库存量,并在灾后确定可拆卸变压器模块的运输和更换的调度模型,在确保应急资源供应的同时,最大限度地降低经济成本。③针对移动式应急资源行驶时间的不确定性,现有研究试图为资源运输过程规划一条用时最短的路径。根据生成路径时间的方法,相关研究可分为两类,其一为根据地理位置生成[95]或随机生成行驶时间[96];其二为基于元胞传输模型[97]等理论建立动态道路交通网络,根据用户均衡或系统最优准则预测交通流量的分布,并采用道路阻抗函数[98]、路口延误时间[99]等评估道路通行的程度。④针对负荷需求及新能源出力的不确定性,电网决策者为降低二者预测偏差对恢复方案的影响,一类解决思路是建立描述极端气象因素与源荷功率间完备的致灾机理模型,例如采用对数正态分布[100]等较为准确的出力概率模型,其余负荷需求模型将在2.2.3节中具体介绍;另一类思路是基于实时更新后的功率数据,动态修正负荷恢复方案[101]。
2)优化方法总结
现有研究应对不确定因素的方法包括:基于知识驱动的传统优化方法、基于数据驱动的人工智能方法和基于知识-数据协同驱动的优化方法。
(1)基于知识驱动的传统优化方法的研究起源最早,相关技术也最为成熟,包含随机规划、鲁棒优化、分布鲁棒优化及其他基于凸松弛技术的求解器求解方法和智能优化算法。①随机规划是假设不确定性变量服从某一确定的概率分布,通过蒙特卡洛模拟等方法生成大量随机场景,并采用启发式算法[102]、逐步对冲法[103]等求解适用于各场景期望目标值的最优解。②鲁棒优化则不需要假设随机参数的概率分布,而是用各类不确定性集合(盒式、多面体不确定性集等)限制参量的变化范围,并采用Bender分解、列与约束生成算法等方法,在最劣负荷需求[104]、新能源出力[105]及车辆行驶时间场景[106]下寻找系统最优的状态值。③分布鲁棒优化作为一种既能保证所求策略的稳健性,又仅需获取不确定性参量部分概率信息的方法,能够通过求解系统在最劣概率分布下的最优解来规避不确定性参量引发的潜在风险[27, 107]。该方法能够很好地解决随机规划方法因需要获取参量的精确概率分布而导致适用性较差的问题,以及鲁棒优化方法因针对发生概率极低的最劣场景导致制定的方案可能过于保守且经济性较差的问题。④其他方法则是不直接对不确定性参量建模,而是将研究问题转换为确定性问题:首先根据不确定性参量的预测值,将负荷恢复方案的生成建立混合整数规划模型,并在采用二阶锥、半正定等松弛方法将模型转换为凸问题后[108],利用Gurobi、Mosek等商业求解器和遗传算法、禁忌搜索算法等智能优化算法[109]求解负荷恢复方案;其次,在执行方案的各个时刻多次更新不确定性参量的数值,并更新负荷恢复方案[90]。
(2)基于数据驱动的人工智能方法通常指通过(无/半/自)监督学习、强化学习等一系列机器学习技术,替代传统优化模型,实现无需搭建物理模型的离线训练及在线优化决策。
①监督学习指通过提取历史数据特征,拟合输入数据(特征x)和输出数据(标签y)间的映射关系。根据输入-输出映射关系构建方式的不同,可分为基于传统机器学习方法和基于神经网络的方法。
基于传统机器学习的方法包括支持向量机[110]、决策树[111]等,此类方法能够清晰地展示数据的训练过程,可解释性较强。文献[112]将切机、切负荷紧急控制决策方案用各个树节点代替,在离线训练过程中根据各方案的概率分布和信息熵,逐层递归生成信息增益最大的方案,实现了在电力系统故障后在线评估暂态稳定裕度。但上述方法在应对高维、非线性数据集时,存在泛化能力有限等问题,近年来相关研究更加关注适应性更强的神经网络方法。
神经网络是由一个个能够接收信号并产生输出的神经元组成,包括前馈[113-114]、卷积[113, 115]、循环[116]、图神经网络[115, 117-118]、生成对抗网络[119-120]和Transformer[121]等。神经网络的训练过程包括正向计算和反向传播。正向计算指通过神经元提取输入数据的特征向量(负荷预测数据[113]、断电时长[114]、故障设备[115, 121]、气象数据[116]、新能源预测数 据[119-120]等),并运用非线性激活函数对输入序列特征进行变换,进而可以预测电网应急恢复方案(负荷恢复功率[113-114]、网架重构策略[115]、停电区域[116]等);反向传播指通过链式法则和梯度下降原则迭代更新网络连接参数(权重及偏置参数),使得基于神经元产生的预测数据和真实数据间的偏差最小化,进而使神经网络具备对应急恢复方案准确决策的能力。
②无监督学习是从未标记的数据中学习数据的结构、模式或分布,进而能够从少量数据中提取有用的特征表示或者进行数据增强。由于极端事件发生频率较低,相关数据稀缺,无监督学习是电网决策者利用有限数据制定准确方案的一种有效途径。基于传统机器学习的方法在负荷和新能源预测工作前的数据聚类和降维上已得到了广泛应用[68],例如模糊C均值、主成分分析等。但与监督学习类似,该类方法适用于处理小样本数据集,而类似生成对抗网络、自编码器等基于神经网络映射的方法能够学习数据特征并生成符合样本特征的高质量数据。文献[122]考虑到调度分布式资源能够在极端事件下保障关键负荷运行,采用自编码器解决了配电网中设备通信频率低、难以获得足够数据来生成准确模型的问题。
③半监督学习是一种综合了有标签数据和无标签数据的学习方式,可以使用少量带有标签的数据和大量未含标签的数据进行模型训练。由于实际UPN中标记大规模量测数据的成本相当高昂且可能会出现标记数据丢失的问题,该方法已在UPN的扰动事件分类等方面得到了广泛应用[123]。文献[124]利用部分已标记和部分未标记的电力系统扰动事件数据训练卷积神经网络,并通过不断调整表示预测数据偏差的损失函数和经验损失函数间的权重,实现了电力系统不同等级扰动事件的有效分类。
④强化学习是一种通过观察环境、执行动作并从奖励中学习的学习方式。与各类监督学习不同,该方法不依赖初始的训练数据,而是搭建智能体与环境间交互的仿真平台,通过智能体不断试错来获取数据。根据智能体的动作选择方式,强化学习可划分为基于价值函数和基于策略梯度的方法。
基于价值函数的强化学习方法是在通过迭代算法或训练神经网络得到最优动作价值函数后,智能体选取最大价值对应的最优动作。其典型求解算法包括状态-动作-奖励-状态-动作(State-Action- Reward-State-Action, SARSA)[125]和Q学习算法[126],由于二者均通过迭代更新Q值表以得到最优动作,动作空间会受到Q值表的限制,难以处理高维动作空间。因此,现有研究采用前馈神经网络[127-128]、深度卷积神经网络[129-130]和图神经网络[117]等逼近Q函数,分别提出了基于深度Q网络[117, 129-130]、双深度Q网络[130]和竞争架构深度Q网络[127]的配电网网架动态重构与负荷恢复的优化策略,实现了高维动作空间的探索。但该方法一般只能针对离散动作空间(线路开关的动作情况等)进行建模,而需要对负荷恢复问题中的连续动作空间(机组出力、储能容量等)进行离散化处理,这将导致一定的动作空间损失和计算量增大等问题。
基于策略梯度的强化学习方法的策略函数可以直接映射到连续动作空间,相较于基于价值函数的方法,其能够更好地处理含高维且连续动作空间的问题,典型求解算法包括基于确定性策略梯度和基于执行者-评论者的策略梯度。特别地,后者将智能体分为两类:执行者负责直接学习策略并采取行动;评论者评估行动效果并反馈基于价值函数估计的策略值,以优化智能体策略的选择。相关文献进一步基于确定性策略梯度算法,并结合执行者-评论者架构,分别提出了深度确定性策略梯度[118, 128]和近端策略优化[131]等算法,能够较好地处理控制开关动作的离散变量和电源出力的连续变量,实现了在不违反配电网运行安全约束条件下负荷恢复量的最大化。但由于该方法包含了执行者和评论者双方耦合的网络,往往面临超参数调整复杂、评估问题导致策略方向错误等问题。
(3)基于知识-数据协同驱动的优化方法能够结合机器学习“离线训练-在线优化”和传统优化模型“安全且最优”的优势,更好地辅助电网决策者制定应急恢复方案,包括机器学习与优化问题串(并)联模型、环路模型两类建模方法[132]。
①机器学习与优化问题串(并)联模型是指将优化模型和机器学习模型顺序排列,互不干涉各自模型内部的求解,仅通过输入和输出数据连接。例如,文献[113]建立了“两阶段鲁棒优化模型-深度神经网络-卷积神经网络”的串联模型,三者功能分别为:生成最劣源荷功率场景下负荷恢复的样本数据集、拟合电网负荷最优恢复方案、校验负荷恢复情况是否满足电网安全约束;文献[114]针对温控负荷数量巨大且参数差异化,知识驱动方法难以准确描述负荷运行状态的问题,建立了“多层感知器-双层优化模型”的串联模型,二者结合后实现了温控负荷特性的准确量化和负荷恢复方案的快速制定;文献[115]在高渗透率分布式电源接入的配电网负荷恢复快速决策的背景下,建立了“图卷积神经网络-安全校验模型”的串联模型,前者拟合配电网网络重构和潮流模拟计算,后者基于辐射状约束和电压安全约束校正负荷恢复策略;文献[119]在冰灾天气下,建立了“生成对抗网络-混合整数线性优化模型”的串联模型,在有效识别光照和温度等隐含天气因素对分布式光伏出力影响的同时,制定了配电网灾后负荷最优恢复策略;文献[133-134]提出了一种混合物理和数据驱动的模型,该混合模型通过利用基于随机森林的机器学习算法学习历史电线杆故障数据,并进一步校正元件脆弱性曲线的物理模型,能够更准确地预测元件在不同风速等极端条件下的故障情况,预测误差较传统模型降低了48%。
②机器学习与优化问题环路模型通过将优化模型与机器学习模型闭环融合,实现预测结果与决策结果的双向影响,从而持续优化整体模型输出[135]。文献[136]为保证基于深度学习模型的风电功率预测符合风电机组实际运行时的尾流效应,将该物理规律模型作为正则化项嵌入预测模型的损失函数中,建立了基于物理约束的深度学习一体化预测模型。文献[137]将电力系统潮流运行的物理知识加入神经网络中,对数据驱动模型进行引导和约束,使预测模型不再仅追求精度,而是同时受实际问题的物理约束限制。
综上所述,当前与决策者参与城市电网韧性提升相关的研究总结见表5。
表5 决策者参与电网韧性提升时面临的不确定性因素及常用处理方法
Tab.5 Uncertainty factors and common analytical methods for decision-makers in UPNs resilience enhancement
不确定性因素建模方法求解算法优 点缺 点 电网决策者对灾害严重程度的判断电网决策者的风险趋避程度基于知识驱动的传统优化方法随机规划模型期望值模型启发式算法[102]整体求解稳定可靠,能够满足系统的安全约束条件不确定性量精确概率分布难获取依赖完整可靠的系统物理模型,但多耦合复杂系统的物理模型难以获得 机会约束模型逐步对冲法[100, 103] 鲁棒优化模型benders分解、(嵌套)列与约束生成算法[104-106]方案针对最劣场景,过于保守 灾害信息预测偏差对电网的影响故障元件的位置、数量及抢修时间 分布鲁棒优化模型对偶理论[27, 87, 107]求解复杂 其他基于凸松弛技术的求解器及智能算法求解二阶锥规划等[108]本质为确定性问题,方案仅在当前时步内最优 Gurobi等[9, 91, 94-99] 其他优化算法等[93, 109] 基于数据驱动的人工智能方法监督学习基于传统机器学习的映射支持向量机[110]能够从历史数据中提取特征,摆脱对系统物理 模型的依赖,且能实现离线训练-在线优化决策处理非线性、大规模数据的学习和泛化能力有限决策结果存在不确定性,其安全性与最优性不如传统的优化算法,难以从理论上证明其可满足系统的安全约束条件 决策树[111-112] 模糊C均值聚类[68]等 基于神经网络的映射方式前馈神经网络[113-114]需获取大量用于训练的运行数据;计算资源需求高;可解释性较差 电力应急物资充裕度卷积神经网络[113, 115] 无监督学习图神经网络[115, 117-118] 生成对抗网络[119-120] 自编码器[122] 半监督学习循环神经网络[116] 移动式应急资源的行驶时间Transformer[121]等 强化学习基于价值驱动SARSA[125]需搭建智能体与环境交互的仿真平台,建模难度与对象维度相关 Q学习[126]、深度Q网络[117,129-130]、双深度Q网络[130]、竞争架构深度Q网络[127]等 负荷需求及新能源出力基于策略驱动确定性策略梯度、基于执行者-评论者[118, 128, 131] 基于知识-数据协同驱动方法机器学习与优化问题串联模型机器学习决策-优化模型校验[113, 115]能够结合两类模型的优势,兼顾求解效率和安全性建模难度及求解难度较大,求解存在一定的稳定性和收敛性问题 机器学习预测-优化模型决策[113-114, 119] 机器学习与优化问题环路模型机器学习模型-优化模型闭环模型[135] 机器学习模型-优化模型一体化建模[136-137]
2.2.2 操作者参与韧性提升
基于认知心理学,操作者执行应急方案的认知行为过程包括信息察觉、诊断、决策和动作执行四个阶段[138]。基于人因可靠性分析(HRA)的方法能够较好地确定UPN韧性提升中与操作者相关的个人因素,较为具有代表性的方法包括[139]:人误概率预测技术(Technique for Human Error Rate Prediction, THERP)、标准化核电厂风险分析方法(Standardized Plant Analysis Risk, SPAR-H)、CREAM、失误分析技术(A Technique for Human Event Analysis, ATHEANA)等。
一代HRA方法针对操作者诊断和动作阶段,着重考虑操作者的经验水平、警惕水平等个人因素对执行过程的影响,例如THERP[140]和SPAR-H[141]等。文献[142-143]在此基础上,完善了操作者的响应水平与表现评估指标、电网运行状态间的映射关系,具体见表6,并基于马尔科夫链,分析操作者响应水平随电网级联故障演化过程的状态条件转移概率,仿真结论表明,当考虑操作者人为误差后,电网运行安全边界的临界区域将大幅缩小;文献[144]在文献[142]基础上,进一步考虑在电力-通信耦合系统发生连锁故障时,操作者的人为失误对系统极限生存状态的影响;文献[145]将HRA与电力系统最优潮流相结合,考虑到操作者由于时间紧迫和压力大等因素,无法及时采取适当的纠正措施,通过算例分析得到了忽视操作者在纠正措施中的失误会显著低估级联故障风险的结论;此外,针对灾后故障抢修和负荷恢复阶段,文献[146]提出了一种模拟操作者在电网恢复过程中可能的任务持续时间、潜在错误及其结果、决策过程和情境评估,并采用Simulink软件对瑞士电网进行仿真,分析了操作者恢复计划的总体恢复持续时间和成功率。
表6 操作者参与电网韧性提升时常用分析方法
Tab.6 Common analytical methods for operators in UPNs resilience enhancement
分析方法概率转移模型操作者表现评估指标类别具体指标(举例)电网运行状态(故障线路数量,切负荷容量/MW)操作者响应水平 时间充裕度压力任务复杂度 THERP[140]、SPAR-H[141]事件树[140]、马尔科夫链[142-144]、贝叶斯网络[146]个人因素充足一般很容易(1, 20)1级 充足高很容易(1, 20)2级 …………… 不足极高很难(185, 800)48级 ATHEANA[147]、CREAM[57,148]贝叶斯网络[148]环境因素组织完备性、工作条件、人机界面支持、计划充分性、需同时完成的目标数、时间充裕性、操作时段、操作者经验水平、多人合作质量—
此外,考虑到操作者人员之间及环境因素的影响,文献[57]基于CREAM,进一步对一代HRA方法在信息察觉和决策阶段忽视的影响因素,提出了9类通用效能条件,见表6,并采用高斯隶属度函数建立描述因素分布的模糊集,基于贝叶斯网络分析计算了各因素间传递的概率[148]。
2.2.3 消费者参与韧性提升
用户侧居民负荷具有调节潜力大(部分地区空调负荷可占夏季高峰负荷的50%)、响应速度快等特征,能通过参与需求侧响应(Demand Response, DR)有效地提高电网韧性[114]。传统研究将消费者视作完全理性的个体,即电网能够通过价格补贴有序地引导用户的用电行为[149-151],建立的价格补贴
与响应功率
间的物理优化模型为
(28)
式中,
为t时刻用户i的最大响应功率,传统研究中将其取为该时刻负荷的实际功率
;
为电网决策者制定的与消费者响应功率
相关的价格激励机制函数
。
然而,用户的用电行为实际上会因个人心理情绪的变化而变得难以准确预测,特别是极端灾害会对消费者的心理健康产生直接或间接的影响[152],消费者会因应急条件储存或消耗更多的能源。例如,文献[153]分析了森林火灾引发雾霾灾害进而对家庭用水量和用电量的影响,得到了由于在雾霾期间居民会尽量选择待在室内并避免户外活动,家庭能源消耗会显著增长,且增长幅度与消费者对空气污染的意识水平呈正相关的结论。此时,消费者的最大响应功率
会是与个体对收益和舒适度的偏好程度
、身体素质
、心理情绪及预期
、受周围环境影响
等多方面因素相关的函数,即
。因此,近年来越来越多的学者基于行为经济学和社会行为学等交叉学科,研究极端灾害下消费者参与电网韧性提升过程的实际情况。根据对消费者个体用能特征建模方式的不同,相关研究可以划分为以下两类:
1)基于知识驱动的建模方法。此类方法是采用一系列物理模型以合理描述影响
的各类因素。针对因素
,文献[154]基于效用函数,刻画了用户在参与DR后使自身用电舒适度改变而带来的舒适度收益;文献[63]定义并设计了享受型、均衡型和经济型三类用户对用电、热、冷能源的边界值,建立了灾后用户侧的综合需求响应模型,即
。针对消费者在群体间信息交互后对个人行为的影响
,文献[155]采用观点动力学,考虑中年、青年、老年、幼年四类群体的差异化舒适度阈值
、身体素质
及观点坚持程度
,研究了电采暖用户参与DR的观点动力学模型,即
。文献[156]在将用户情绪特征(满意程度
)纳入DR的同时,基于Barsade理论建立计及亲密程度、友谊和联系频度的个体间情绪交互模型,分析了用户群体间合作水平对DR的影响,即
。
2)基于数据驱动的建模方法。此类方法针对极端条件下用户的情绪特征存在较大不确定性,以及基于知识驱动的物理模型中部分经验参数与实际参数偏差较大的问题,试图通过提取海量相关数据的特征以准确描述消费者的用电行为。文献[114]考虑到文献[63]相关建模方法难以对具有大规模、差异化运行特性的温控负荷准确建模,采用多层感知机方法以准确预测灾后温控负荷恢复量呈现的决策依赖性现象。文献[66]在文献[156]的基础上,提出了以社会福祉(包括消费者情绪、风险感知、协作能力和身体健康)最大化为目标的社区韧性优化模型,并分别基于多智能体模型和Fredrickson理论刻画了多个行为主体间积极/消极情绪的传播过程和扩大效应。文献[107]考虑消费者在眩晕、恐惧、焦虑、宁静和快乐五种情绪特征下用电行为的差异性,基于内嵌式蒙特卡洛抽样法生成了社会行为特征参数,并采用深度学习理论建立了对灾害的社会反应模型,分析了负荷用电行为与灾害情况下用户各类情绪间的关系。为解决文献[66, 107]中与居民情绪相关实际数据获取较为困难的问题,文献[65]进一步通过谷歌和推特等社交感知工具,统计与用户情绪相关的文本关键词,以评估消费者在不同心理、身体健康、风险感知、信息获取情况下的用电行为。
在UPN与各ULS耦合日益紧密、各类社会群体广泛参与的背景下,构建城市韧性电网不再仅限于UPN物理层面的独立研究,更应当在计及社会域影响的前提下,综合考虑各ULS的协同运行。基于前述调研和总结,社会安全视角下构建城市韧性电网面临的主要挑战包括:
1)韧性评估指标体系:当前的UPN韧性评估指标多聚焦电网物理层面,未能充分考虑社会公共安全因素,可能低估极端灾害的实际影响。同时,评估各类指标重要程度的方法缺失,不利于识别影响UPN韧性的关键因素。如何建立能够量化社会公共安全影响的韧性评估指标体系,将极端灾害对社会公共安全的影响融入韧性评估框架,并为各类指标设定合理的权重,进而指导UPN韧性提升中资金的有序、精准投入,是当前研究面临的首要挑战。
2)系统模拟仿真:计及多ULS耦合网络拓扑和运行约束的模拟仿真面临模型维度高、非线性化程度强、求解复杂等挑战。仿真时为每个ULS元件均建立精细化物理模型不可行,而忽视城市关键基础设施间的耦合关系又无法有效地反映极端灾害下ULS间的能源支撑互济和故障级联恶化过程。因此,如何在准确描述ULS间耦合关系的同时,实现多维复杂系统的降维处理,进而准确、高效地评估ULS对UPN韧性的影响是当前研究面临的挑战之二。
3)系统韧性提升:UPN韧性水平的提升效果受电网决策者制定恢复方案、操作者实施抢修方案、消费者生活需求阈值等多方面因素的影响,而上述因素与各类社会群体的理性程度、经验水平及身体素质密切相关。如何量化极端灾害下异质社会群体的行为特征,挖掘应急资源调控可行域的可压缩边界,进而探明UPN的韧性提升的潜在空间是当前研究面临的挑战之三。
1)计及社会公共安全的城市电网韧性评估指标体系研究
首先,为构建满足社会公共安全要求的UPN韧性评估指标体系,需基于马斯洛需求层次理论和社会心理学等理论,分析极端灾害下以电力为基础的各类生活需求(如用水、降温、食物储存等)对保障消费者正常生活的重要性,构建能够综合考虑消费者健康福祉(包括生理和心理健康)的韧性评估指标体系,例如图2中设定的基于居民需求满足程度的指标IBLD。其次,为确定各类评估指标的相对重要程度,需基于国际标准化组织(International Organization for Standardization, ISO)、SPHERE标准手册及人道主义响应最低标准,统计极端条件下不同消费者群体的能源短缺耐受度和生存最低标准,设计刻画消费者需求未满足情况的风险区间。进一步地,考虑终端用户的差异化生理条件(身体素质、年龄、理性程度、抗压能力)、心理素质和行为特征,模拟符合终端用户实际决策行为且具有差异化脆弱系数的典型智能体,分析灾后各阶段用户主导需求的时变特性,研究多时间尺度下用户需求优先级的可解释、动态更新方法,为量化UPN综合韧性水平提供理论依据和模型参考。
2)城市电网与生命线系统的耦合拓扑降维建模与运行仿真方法
首先,为建立反映UPN与ULS耦合特性的简化拓扑及物理模型,应分别从系统级、网络级和社区级三个层面研究复杂网络拓扑的降维等效方法。在系统级,识别UPN与ULS间的关键耦合元件,研究元件在极端事件下的运行规律及失效模式;在网络级,分别考虑UPN与ULS的网架结构特点(如多环、辐射状)及其物理运行特性(如水力流、热力流、交通流等),研究适合复杂网络的支管等效方法;在社区级,考虑ULS与高层建筑的供能方式,研究负荷区块化建模和聚合方法。其次,为描述故障和风险在ULS间的连锁、反复、动态传播过程,需考虑能流传输速度差异的影响,采用系统动力学等理论,建立故障在耦合系统中的多阶段传播链条模型,包括:故障吸收阶段(UPN在极端灾害影响后的短时间内采取应急策略以降低故障对电网的影响)、故障感染阶段(ULS中关键基础设施因电力供应不足而停机,导致级联故障和ULS功能缺失,进一步加剧电力供应短缺)和故障演化阶段(故障对物理系统的影响逐步演化为影响消费者的基本生活需求,并可能引发大规模社会动荡,反馈并恶化物理系统的运行功能),进而拟合基于消费者需求变化的UPN功能曲线,更加准确、快速地计算UPN的韧性水平,为制定切实可行的韧性提升策略提供依据。
3)计及异质社会群体行为特征的灾后城市电网韧性提升可行域研究
首先,为预测极端灾害下消费者的社会行为和用能特征,需采用深度强化学习等知识-数据联合驱动方法,将极端条件下消费者的实时决策建立为一个马尔科夫问题,具体包括:设计异质消费者主体的响应行为和决策规则,结合状态转移及概率模型,动态模拟各类消费者(智能体)在能源短缺的极端条件(环境)下,通过与亲友交互观点并调整个体用能需求(动作),最大化自身生理和心理健康满意度(奖励函数)的过程,进而可以构建考虑灵活用能需求的消费者最优用能决策模型,评估电力负荷可削减区间。其次,为刻画决策者和操作者对UPN韧性提升过程的影响,采用模糊不确定性集合等方法,分析二者影响韧性提升各环节的关键因素并量化偏差幅度,以最大化UPN综合韧性水平为目标函数、满足消费者的生活需求下限为边界条件,研究计及异质社会群体深度参与下的灾后负荷恢复和故障抢修的最优决策模型,进而保障社会公共安全。
在建设“城市韧性电网”的政策背景下,如何在极端灾害中保障社会公共安全已成为当前UPN亟待解决的关键问题。本文基于文献调研,首先论述了社会安全视角下研究城市韧性电网的必要性,从物理层面和人为层面识别了影响UPN韧性提升的关键因素,分别涉及UPN与ULS的复杂耦合关系以及决策者、操作者和消费者的深度参与;其次,系统地总结了韧性评估的三个核心步骤:韧性指标体系构建、极端灾害场景生成、系统运行状态仿真,并重点对比分析了上述步骤在社会安全视角下与传统研究的差异;此外,对决策者、操作者和消费者三类社会群体参与并影响UPN韧性的提升工作进行了详细的评述;最后,归纳了社会安全视角下当前UPN韧性评估和提升工作面临的主要挑战,展望了基于知识-数据联合驱动等前沿技术方法的应用潜力,提出了基于消费者健康福祉的UPN韧性评估指标体系构建框架、基于消费者生活需求的UPN韧性水平计算方法、社会群体深度参与下的UPN负荷恢复和故障抢修的最优决策模型等。
参考文献
[1] 孙建平. 上海城市运行安全发展报告(2019—2020)[M]. 上海: 同济大学出版社, 2021.
[2] 何正友, 李波, 廖凯, 等. 新形态城市电网保护与控制关键技术[J]. 中国电机工程学报, 2020, 40(19): 6193-6207.
He Zhengyou, Li Bo, Liao Kai, et al. Key technologies for protection and control of novel urban power grids[J]. Proceedings of the CSEE, 2020, 40(19): 6193-6207.
[3] 严奕陆, 刘文霞, 石庆鑫, 等. 基于电-水跨层耦合模型的城市电网脆弱性评估[J]. 电工技术学报, 2024, 39(16): 5075-5090.
Yan Yilu, Liu Wenxia, Shi Qingxin, et al. Vulnerability assessment of urban power grid based on electricity-water cross-layer coupling model[J]. Transactions of China Electrotechnical Society, 2024, 39(16): 5075-5090.
[4] Liu Gengming, Liu Wenxia, Shi Qingxin. Modeling and vulnerability analysis of multi-layer urban electric-transportation interdependent networks under extreme events[J/OL]. CSEE Journal of Power and Energy Systems, 2023: 1-12[2024-11-26]. doi:10. 17775/CSEEJPES.2022.07440.
[5] 段常贵. 燃气输配[M]. 5版. 北京: 中国建筑工业出版社, 2015.
[6] 张宁, 杨经纬, 王毅, 等. 面向泛在电力物联网的5G通信: 技术原理与典型应用[J]. 中国电机工程学报, 2019, 39(14): 4015-4025.
Zhang Ning, Yang Jingwei, Wang Yi, et al. 5G communication for the ubiquitous Internet of Things in electricity: technical principles and typical applications[J]. Proceedings of the CSEE, 2019, 39(14): 4015-4025.
[7] Yang Yongsheng, Liu Huan, Mostafavi A, et al. Review on modeling the societal impact of infrastruc- ture disruptions due to disasters[J]. Reliability Engineering & System Safety, 2025, 257: 110879.
[8] 曹辰, 王增平. 极端天气对新型电力系统的影响及应对措施思考[J]. 南方能源建设, 2025, 12(1): 43-57.
Cao Chen, Wang Zengping. Reflections on the impact of extreme weather on new power systems and countermeasures[J]. Southern Energy Construction, 2025, 12(1): 43-57.
[9] 万海洋, 刘文霞, 石庆鑫, 等. 城市电网灾后应急资源的集中匹配-分布调度策略[J]. 电工技术学报, 2024, 39(23): 7463-7480.
Wan Haiyang, Liu Wenxia, Shi Qingxin, et al. A post-disaster centralized matching and decentralized dispatch strategy for emergency resources in urban power network[J]. Transactions of China Electro- technical Society, 2024, 39(23): 7463-7480.
[10] 住房和城乡建设部和国家发展改革委. “十四五” 全国城市基础设施建设规划[EB/OL]. (2022-07-07) [2024-09-30]. https://www.gov.cn/zhengce/zhengceku/ 2022-07/31/5703690/files/d4ebd608827e41138701d06 fe6133cdb.pdf.
[11] 高海翔, 陈颖, 黄少伟, 等. 配电网韧性及其相关研究进展[J]. 电力系统自动化, 2015, 39(23): 1-8.
Gao Haixiang, Chen Ying, Huang Shaowei, et al. Distribution systems resilience: an overview of research progress[J]. Automation of Electric Power Systems, 2015, 39(23): 1-8.
[12] 刘念, 余星火, 王剑辉, 等. 泛在物联的配用电优化运行: 信息物理社会系统的视角[J]. 电力系统自动化, 2020, 44(1): 1-12.
Liu Nian, Yu Xinghuo, Wang Jianhui, et al. Optimal operation of power distribution and consumption system based on ubiquitous Internet of Things: a cyber-physical-social system perspective[J]. Automation of Electric Power Systems, 2020, 44(1): 1-12.
[13] 陈维江, 靳晓凌, 吴鸣, 等. 双碳目标下我国配电网形态快速演进的思考[J]. 中国电机工程学报, 2024, 44(17): 6811-6818.
Chen Weijiang, Jin Xiaoling, Wu Ming, et al. Thinking on the rapid evolution of distribution network form under the carbon peaking and carbon neutrality goals[J]. Proceedings of the CSEE, 2024, 44(17): 6811-6818.
[14] 杨荫凯. 推进以人为核心的新型城镇化[EB/OL]. (2023-06-07)[2024-09-30]. https://www.ndrc.gov.cn/x wdt/ztzl/NEW_srxxgcjjpjjsx/jjsxyjqk/tszl/xxgcesdjs/dt/202306/t20230607_1363498.html.
[15] Magoua J J, Li Nan. The human factor in the disaster resilience modeling of critical infrastructure systems [J]. Reliability Engineering & System Safety, 2023, 232: 109073.
[16] 阳富强, 吴超, 汪发松, 等. 1998—2008年人因可靠性研究进展[J]. 科技导报, 2009, 27(8): 87-94.
Yang Fuqiang, Wu Chao, Wang Fasong, et al. Review of studies on human reliability researches during 1998 to 2008[J]. Science & Technology Review, 2009, 27(8): 87-94.
[17] Buzan B. People, States and Fear: The National Security Problem in International Relations[M]. Chapel Hill, NC: University of North Carolina Press, 1983.
[18] 刘跃进. 国家安全体系中的社会安全问题[J]. 中央社会主义学院学报, 2012(2): 95-99.
Liu Yuejin. Social security issue in the national security system[J]. Journal of the Central Institute of Socialism, 2012(2): 95-99.
[19] 张维平. 社会学视野中的公共安全与应急机制[J]. 中国公共安全(学术版), 2007(2): 5-12.
[20] 国务院灾害调查组. 河南郑州“7
20”特大暴雨灾害调查报告[R/OL]. 北京: 中国人民共和国应急管理部, 2022. (2022-01-21)[2024-09-30]. https://www. mem.gov.cn/gk/sgcc/tbzdsgdcbg/202201/P020220121639049697767.pdf.
[21] Andersson G, Donalek P, Farmer R, et al. Causes of the 2003 major grid blackouts in North America and Europe, and recommended means to improve system dynamic performance[J]. IEEE Transactions on Power Systems, 2005, 20(4): 1922-1928.
[22] Huang Can, Hu Qinran, Sang Linwei, et al. A review of public safety power shutoffs (PSPS) for wildfire mitigation: policies, practices, models and data sources[J]. IEEE Transactions on Energy Markets, Policy and Regulation, 2023, 1(3): 187-197.
[23] 张可颖, 吴新桥, 赵继光, 等. 基于特征工程和集成学习与模型融合的输电走廊实时山火风险评估模型[J]. 电网技术, 2023, 47(11): 4727-4738.
Zhang Keying, Wu Xinqiao, Zhao Jiguang, et al. Real-time wildfire risk assessment model for transmission corridors based on feature engineering and boosting integrated learning model[J]. Power System Technology, 2023, 47(11): 4727-4738.
[24] 程鹏, 盖源源. 买不起燃料, 全国每天停电13小时,公共交通陷入瘫痪、股市停牌
这个国家爆发抗议[EB/OL]. (2022-04-01)[2024-09-30]. https://finance. ifeng.com/c/8ErWfeGuVeB.
[25] 四川省人民政府办公厅. 关于加强高温天气防范应对工作的紧急通知[EB/OL]. (2022-07-08)[2024-09-30]. https://www.sc.gov.cn/10462/zfwjts/2022/7/8/44c7d 16365f44ba787dc38e847a44108.shtml.
[26] 国家发展和改革委员会. 关于印发《有序用电管理办法》的通知[EB/OL]. (2011-04-28)[2024-09-30]. https://www.ndrc.gov.cn/xxgk/zcfb/tz/201104/t20110428_964761.html.
[27] 郄聃, 万海洋, 张桐菲, 等. 计及故障信息和需求不确定的应急物资灾前预布局与灾后调度[J]. 电力系统自动化, 2024, 48(13): 120-129.
Qie Dan, Wan Haiyang, Zhang Tongfei, et al. Pre-disaster pre-layout and post-disaster scheduling of emergency materials considering uncertainties of fault information and demand[J]. Automation of Electric Power Systems, 2024, 48(13): 120-129.
[28] 杜洁, 张海锋, 王佳蕊, 等. 计及用户热耐受度的区域综合能源系统韧性评估及提升研究[J]. 全球能源互联网, 2024, 7(1): 3-13.
Du Jie, Zhang Haifeng, Wang Jiarui, et al. Resilience assessment and enhancement oriented human heat tolerance of regional integrated energy systems[J]. Journal of Global Energy Interconnection, 2024, 7(1): 3-13.
[29] Dong Shangjia, Esmalian A, Farahmand H, et al. An integrated physical-social analysis of disrupted access to critical facilities and community service-loss tolerance in urban flooding[J]. Computers, Environ- ment and Urban Systems, 2020, 80: 101443.
[30] Yawson D O, Adu M O, Armah, F A, et al. A needs- based approach for exploring vulnerability and response to disaster risk in rural communities in low income countries[J]. Australasian Journal of Disaster and Trauma Studies, 2015, 19: 27-36.
[31] 杜保健, 冯健, 关鸿鹏, 等. 城市燃气远程调控系统及安全调控策略[J]. 煤气与热力, 2017, 37(5): 22-26.
Du Baojian, Feng Jian, Guan Hongpeng, et al. City gas remote control system and safe control strategy[J]. Gas & Heat, 2017, 37(5): 22-26.
[32] 北京市城市管理委员会. 国网北京市电力公司简介[EB/OL]. (2023-10-26)[2024-09-30]. https://csglw.beijing.gov.cn/sy/syztzl/ggqygk/lbxx/202310/t20231026_ 3287536.html.
[33] 刘学来, 赵淑敏, 张金和. 城市供热工程[M]. 北京: 中国电力出版社, 2009.
[34] 张楠. 3610座居民供热锅炉房开始供热家中不能低于18℃今日零时全市达标供暖[N]. 北京日报, 2023-11-07(5).
[35] 刘遂庆. 给水排水管网系统[M]. 4版. 北京: 中国建筑工业出版社, 2021.
[36] Shi Qingxin, Yan Yilu, Liu Wenxia, et al. Resilience assessment of urban power network considering multi-stage electrical-water fault propagation[J]. IEEE Transactions on Power Systems, 2025, 40(4): 2819-2831.
[37] Maupin M A, Kenny J F, Hutson S S, et al. Estimated use of water in the United States in 2010[R]. Reston, VA: U. S. Geological Survey, 2014.
[38] Wan Haiyang, Liu Wenxia, Shi Qingxin, et al. Real- time service restoration of coupled power-water systems considering the spatio-temporal cascading failure[J]. IEEE Transactions on Smart Grid, 2026, 17(1): 178-192.
[39] 刘达夫, 钟剑, 杨祺铭, 等. 基于V2G与应急通信的配电网信息物理协同快速恢复方法[J]. 电力系统自动化, 2024, 48(7): 147-158.
Liu Dafu, Zhong Jian, Yang Qiming, et al. Fast recovery method for distribution network through cyber-physical collaboration based on vehicle to grid and emergency communication[J]. Automation of Electric Power Systems, 2024, 48(7): 147-158.
[40] 张艺伟, 刘文霞, 刘耕铭, 等. 考虑拓扑相关和双重耦合的电力信息物理系统建模与脆弱性分析[J]. 中国电机工程学报, 2021, 41(16): 5486-5500.
Zhang Yiwei, Liu Wenxia, Liu Gengming, et al. Modeling and vulnerability analysis of electric cyber physical system considering topological correlation and double coupling[J]. Proceedings of the CSEE, 2021, 41(16): 5486-5500.
[41] 张昊辰, 陈晨, 钟剑, 等. 计及抢修人员调度的配电网信息-物理协同恢复策略[J]. 电力系统自动化, 2025, 49(8): 159-168.
Zhang Haochen, Chen Chen, Zhong Jian, et al. Cyber- physical collaborative restoration strategy for distribu- tion networks considering repair crew dispatching[J]. Automation of Electric Power Systems, 2025, 49(8): 159-168.
[42] 刘瑞环, 陈晨, 叶志刚, 等. 基于无人机应急通信的配电网灾后信息物理协同恢复策略[J]. 电网技术, 2023, 47(3): 1218-1230.
Liu Ruihuan, Chen Chen, Ye Zhigang, et al. Coopera- tive cyber-physical distribution system restoration with UAV-based emergency communication UAV after disasters[J]. Power System Technology, 2023, 47(3): 1218-1230.
[43] 徐潇源, 李佳琪, 王晗, 等. 城市电力-交通系统韧性研究综述及展望[J]. 电力系统自动化, 2024, 48(23): 1-15.
Xu Xiaoyuan, Li Jiaqi, Wang Han, et al. Review and prospect of research on urban power-transportation system resilience[J]. Automation of Electric Power Systems, 2024, 48(23): 1-15.
[44] Liu Gengming, Cheng Rui, Liu Wenxia, et al. Enhancing resilience of urban electric-road-metro interdependent network considering electric bus scheduling[J]. IEEE Transactions on Sustainable Energy, 2025, 16(1): 654-672.
[45] 杨天宇, 郭庆来, 盛裕杰, 等. 系统互联视角下的城域电力-交通融合网络协同[J]. 电力系统自动化, 2020, 44(11): 1-9.
Yang Tianyu, Guo Qinglai, Sheng Yujie, et al. Coordination of urban integrated electric power and traffic network from perspective of system inter- connection[J]. Automation of Electric Power Systems, 2020, 44(11): 1-9.
[46] 于群, 英启昊, 曹娜, 等. 基于属性数学理论的电网停电事故网络舆情风险评估[J]. 电网技术, 2025, 49(2): 719-726.
Yu Qun, Ying Qihao, Cao Na, et al. Risk assessment of online public opinion on power grid outage incidents based on attribute mathematical theory[J]. Power System Technology, 2025, 49(2): 719-726.
[47] Panteli M, Mancarella P, Trakas D N, et al. Metrics and quantification of operational and infrastructure resilience in power systems[J]. IEEE Transactions on Power Systems, 2017, 32(6): 4732-4742.
[48] 彭寒梅, 王小豪, 魏宁, 等. 提升配电网弹性的微网差异化恢复运行方法[J]. 电网技术, 2019, 43(7): 2328-2335.
Peng Hanmei, Wang Xiaohao, Wei Ning, et al. Microgrid differentiated recovery operation for enhancing distribution system resilience[J]. Power System Technology, 2019, 43(7): 2328-2335.
[49] 刘影, 王涛, 顾雪平. 基于边韧性度的电力系统关键线路筛选[J]. 电力系统保护与控制, 2012, 40(6): 92-96, 103.
Liu Ying, Wang Tao, Gu Xueping. Screening of critical lines in power systems based on the edge tenacity index[J]. Power System Protection and Control, 2012, 40(6): 92-96, 103.
[50] 陶然, 赵冬梅, 徐辰宇, 等. 考虑电-气-热-交通相互依存的城市能源系统韧性评估与提升方法[J]. 电工技术学报, 2023, 38(22): 6133-6149.
Tao Ran, Zhao Dongmei, Xu Chenyu, et al. Resilience assessment and enhancement methods for urban energy system considering electricity-gas-heat- transport inter-dependency[J]. Transactions of China Electrotechnical Society, 2023, 38(22): 6133-6149.
[51] 李雪, 孙霆锴, 侯恺, 等. 地震灾害下海岛综合能源系统韧性评估方法研究[J]. 中国电机工程学报, 2020, 40(17): 5476-5493.
Li Xue, Sun Tingkai, Hou Kai, et al. Evaluating resilience of island integrated energy systems with earthquake[J]. Proceedings of the CSEE, 2020, 40(17): 5476-5493.
[52] 王守相, 王林, 王洪坤, 等. 地震灾害下提升恢复力的配电网优化恢复策略[J]. 电力系统及其自动化学报, 2020, 32(6): 28-35.
Wang Shouxiang, Wang Lin, Wang Hongkun, et al. Optimal recovery strategy for distribution network to improve its resilience under earthquake disasters[J]. Proceedings of the CSU-EPSA, 2020, 32(6): 28-35.
[53] 孙为民, 孙华东, 何剑, 等. 面向严重自然灾害的电力系统韧性评估技术综述[J]. 电网技术, 2024, 48(1): 129-139.
Sun Weimin, Sun Huadong, He Jian, et al. Review of power system resilience assessment techniques for severe natural disasters[J]. Power System Technology, 2024, 48(1): 129-139.
[54] Roege P E, Collier Z A, Mancillas J, et al. Metrics for energy resilience[J]. Energy Policy, 2014, 72: 249- 256.
[55] Siskos E, Burgherr P. Multicriteria decision support for the evaluation of electricity supply resilience: exploration of interacting criteria[J]. European Journal of Operational Research, 2022, 298(2): 611-626.
[56] 青涛, 刘朝鹏, 张力, 等. SPAR-H方法在数字化核电厂人因可靠性分析中的应用研究[J]. 核动力工程, 2021, 42(3): 126-131.
Qing Tao, Liu Zhaopeng, Zhang Li, et al. Application of SPAR-H method in human reliability analysis of digital nuclear power plants[J]. Nuclear Power Engi- neering, 2021, 42(3): 126-131.
[57] 陆海波, 王媚, 郭创新, 等. 基于CREAM的电网人为可靠性定量分析方法[J]. 电力系统保护与控制, 2013, 41(5): 37-42.
Lu Haibo, Wang Mei, Guo Chuangxin, et al. A quantitative method for human reliability in power system based on CREAM[J]. Power System Protec- tion and Control, 2013, 41(5): 37-42.
[58] 杨丽君, 张晶, 程慧琳, 等. 基于最优效用的配电网多故障抢修任务分配策略[J]. 电工技术学报, 2014, 29(6): 263-270, 289.
Yang Lijun, Zhang Jing, Cheng Huilin, et al. A task allocation strategy of multi-fault rush repair for distribution network based on optimum utility[J]. Transactions of China Electrotechnical Society, 2014, 29(6): 263-270, 289.
[59] 卢志刚, 王克胜. 基于多代理方法的配电网故障应急抢修调度[J]. 电网技术, 2013, 37(1): 137-143.
Lu Zhigang, Wang Kesheng. Multi-agent based rush repair scheduling for distribution networks[J]. Power System Technology, 2013, 37(1): 137-143.
[60] Stankovic A M, Tomsovic K L, De Caro F, et al. Methods for analysis and quantification of power system resilience[J]. IEEE Transactions on Power Systems, 2023, 38(5): 4774-4787.
[61] Ye Zhigang, Wu Kai, Zhang Zihang, et al. A value-of-service based model for resilient distribution system restoration with microgrids[C]//2019 IEEE Innovative Smart Grid Technologies-Asia (ISGT Asia), Chengdu, China, 2019: 1979-1983.
[62] Najafi J, Peiravi A, Guerrero J M. Power distribution system improvement planning under hurricanes based on a new resilience index[J]. Sustainable Cities and Society, 2018, 39: 592-604.
[63] Li Zhenlong, Li Peng, Xia Jing, et al. Cyber-physical- social system scheduling for multi-energy microgrids with distribution network coordination[J]. International Journal of Electrical Power & Energy Systems, 2023, 149: 109054.
[64] Wan Haiyang, Liu Wenxia, Zhang Shuai, et al. Resilience-oriented load restoration method for power-gas-water systems considering public safety impact[J]. IET Generation, Transmission & Distribu- tion, 2024, 18(21): 3350-3364.
[65] Valinejad J, Mili L. Cyber-physical-social model of community resilience by considering critical infras- tructure interdependencies[J]. IEEE Internet of Things Journal, 2023, 10(19): 17530-17543.
[66] Valinejad J, Mili L. Community resilience optimiza- tion subject to power flow constraints in cyber- physical-social systems[J]. IEEE Systems Journal, 2023, 17(2): 2904-2915.
[67] 郭红霞, 陈凌轩, 张启, 等. 电力电量平衡视角下新型电力系统极端场景研究及应对综述[J]. 电网技术, 2024, 48(10): 3975-3994.
Guo Hongxia, Chen Lingxuan, Zhang Qi, et al. Research and response to extreme scenarios in new power system: a review from perspective of electricity and power balance[J]. Power System Technology, 2024, 48(10): 3975-3994.
[68] 王金岩, 丁坤, 孙亚璐, 等. 强沙尘暴下新能源基地的韧性评估及其提升方法[J]. 电网技术, 2025, 49(1): 124-135.
Wang Jinyan, Ding Kun, Sun Yalu, et al. Research on resilience assessment and improvement methods of new energy bases under strong sandstorm[J]. Power System Technology, 2025, 49(1): 124-135.
[69] 殷浩洋, 刘东. 山火灾害下电网安全形态的事件驱动模型与动态推演方法[J]. 中国电机工程学报, 2024, 44(20): 7911-7925.
Yin Haoyang, Liu Dong. Event-driven model and dynamic deduction method of security morphological of power system under wildfires[J]. Proceedings of the CSEE, 2024, 44(20): 7911-7925.
[70] Wu Yingjun, Chen Xuejie, Chen Runrun, et al. Resilience-enhancing model considering weather- sensitive constraints[J]. IEEE Transactions on Power Delivery, 2024, 39(2): 1209-1221.
[71] 王玮, 赵家悦, 郭创新, 等. 考虑故障连锁的多灾害输电网弹性评估及关键弹性提升元件辨识[J]. 中国电机工程学报, 2022, 42(1): 127-140.
Wang Wei, Zhao Jiayue, Guo Chuangxin, et al. Assessing resilience of transmission network and identifying key elements to enhance resilience considering failure chain under multiple disasters[J]. Proceedings of the CSEE, 2022, 42(1): 127-140.
[72] 高红均, 郭明浩, 刘俊勇, 等. 从四川高温干旱限电事件看新型电力系统保供挑战与应对展望[J]. 中国电机工程学报, 2023, 43(12): 4517-4538.
Gao Hongjun, Guo Minghao, Liu Junyong, et al. Power supply challenges and prospects in new power system from Sichuan electricity curtailment events caused by high-temperature drought weather[J]. Proceedings of the CSEE, 2023, 43(12): 4517-4538.
[73] 高红均, 尚梦琪, 贺帅佳, 等. 保障极端高温事件下负荷可靠供应的楼宇综合能源规划[J]. 中国电机工程学报, 2024, 44(19): 7636-7648.
Gao Hongjun, Shang Mengqi, He Shuaijia, et al. Integrated energy planning for buildings to ensure reliable load supply during extreme heat events[J]. Proceedings of the CSEE, 2024, 44(19): 7636-7648.
[74] 梁振锋, 闫俊杰, 李江锋, 等. 极端暴雨灾害下城市配电网风险评估方法[J]. 电网技术, 2023, 47(10): 4180-4190.
Liang Zhenfeng, Yan Junjie, Li Jiangfeng, et al. Risk assessment of urban distribution network under extreme rainstorm disasters[J]. Power System Techno- logy, 2023, 47(10): 4180-4190.
[75] 荣俊杰, 周明, 元博, 等. 台风天气考虑故障演化的电力系统韧性评估方法[J]. 电网技术, 2024, 48(3): 1114-1131.
Rong Junjie, Zhou Ming, Yuan Bo, et al. Resilience assessment method on power systems under typhoon disaster considering failure evolution process[J]. Power System Technology, 2024, 48(3): 1114-1131.
[76] 沈政委, 孙华东, 仲悟之, 等. 基于关键事件的高比例新能源电力系统故障连锁演化规律分析[J]. 电力系统自动化, 2022, 46(24): 57-65.
Shen Zhengwei, Sun Huadong, Zhong Wuzhi, et al. Key event based analysis of evolution law of cascading failures in power system with high proportion of renewable energy[J]. Automation of Electric Power Systems, 2022, 46(24): 57-65.
[77] 刘文霞, 刘佳怡, 万海洋, 等. 面向多类型极端天气的新型电力系统规划方案全场景风险评估[J]. 电力系统自动化, 2025, 49(4): 65-78.
Liu Wenxia, Liu Jiayi, Wan Haiyang, et al. Full- scenario risk assessment of new power system planning scheme for multiple types of extreme weather[J]. Automation of Electric Power Systems, 2025, 49(4): 65-78.
[78] 雍维桢, 王建学, 薛霖, 等. 面向区域能源互联网的水-能协同优化: 综述与展望[J]. 电力系统自动化, 2023, 47(11): 185-199.
Yong Weizhen, Wang Jianxue, Xue Lin, et al. Water-energy collaborative optimization for regional energy Internet: review and prospect[J]. Automation of Electric Power Systems, 2023, 47(11): 185-199.
[79] Jiang Qiangqiang, Cai Baoping, Zhang Yanping, et al. Resilience assessment methodology of natural gas network system under random leakage[J]. Reliability Engineering & System Safety, 2023, 234: 109134.
[80] Qiu Jing, Yang Hongming, Dong Zhaoyang, et al. A linear programming approach to expansion co- planning in gas and electricity markets[J]. IEEE Transactions on Power Systems, 2016, 31(5): 3594- 3606.
[81] 李振坤, 张天翼, 邓莉荣, 等. 基于模型-数据混合驱动的区域能源互联网韧性在线评估[J]. 电网技术, 2024, 48(10): 4060-4076.
Li Zhenkun, Zhang Tianyi, Deng Lirong, et al. A hybrid model-data-driven online resilience assessment method for the energy Internet[J]. Power System Technology, 2024, 48(10): 4060-4076.
[82] 刘文霞, 黄钰辰, 张艺伟. 多主体分散决策能源互联系统韧性分析[J]. 华北电力大学学报(自然科学版), 2021, 48(3): 1-13.
Liu Wenxia, Huang Yuchen, Zhang Yiwei. Resilience assessment of multi-agent and decentralized decision- making energy interconnection systems[J]. Journal of North China Electric Power University (Natural Science Edition), 2021, 48(3): 1-13.
[83] Chu Zheng, Le T A, Nguyen H X, et al. A Stackelberg-game approach for disaster-recovery communications utilizing cooperative D2D[J]. IEEE Access, 2018, 6: 10733-10742.
[84] Nikoobakht A, Mokarram M J, Moghaddam E M. Enhancing integrated energy systems’ resilience against windstorms through a decentralized coopera- tion model[J]. Electric Power Systems Research, 2023, 225: 109801.
[85] Mishra D K, Wang Jiatong, Li Li, et al. Resilience- driven scheme in multiple microgrids with secure transactive energy system framework[J]. IEEE Trans- actions on Industry Applications, 2024, 60(2): 2277- 2289.
[86] Wang Yi, Qiu Dawei, Sun Xiaotian, et al. Coordina- ting multi-energy microgrids for integrated energy system resilience: a multi-task learning approach[J]. IEEE Transactions on Sustainable Energy, 2024, 15(2): 920-937.
[87] Wang Weiqiao, Yang Kai, Yang Lixing, et al. Two-stage distributionally robust programming based on worst-case mean-CVaR criterion and application to disaster relief management[J]. Transportation Research Part E: Logistics and Transportation Review, 2021, 149: 102332.
[88] Akbar M S, Aldrich D P. Social capital’s role in recovery: evidence from communities affected by the 2010 Pakistan floods[J]. Disasters, 2018, 42(3): 475- 497.
[89] 罗佳怡, 邢海军, 全文斌, 等. 极端高温下新型电力系统韧性评估及差异化规划[J]. 电力系统自动化, 2025, 49(3): 135-144.
Luo Jiayi, Xing Haijun, Quan Wenbin, et al. Resilience assessment and differentiated planning of new power systems under extreme high tempera- tures[J]. Automation of Electric Power Systems, 2025, 49(3): 135-144.
[90] Wan Haiyang, Liu Wenxia, Shi Qingxin, et al. Multi-time-step rolling optimization strategy for post-disaster emergency recovery in distribution system based on model predictive control[J]. CSEE Journal of Power and Energy Systems, 2025: 243-254.
[91] Sun Xiaotian, Xie Haipeng, Bie Zhaohong, et al. Restoration of high-renewable-penetrated distribution systems considering uncertain repair workloads[J]. CSEE Journal of Power and Energy Systems, 2025, 11(1): 150-162.
[92] 李娜. 基于鲁棒规划模型的电力应急物资库网络设计研究[D]. 北京: 华北电力大学, 2019.
Li Na. Research on network design of electric power emergency material warehouse based on robust programming model[D]. Beijing: North China Electric Power University, 2019.
[93] 韩建沛, 席嫣娜, 刘念, 等. 面向重大社会事件的电力应急资源两阶段规划方法[J]. 电力自动化设备, 2023, 43(3): 188-195, 224.
Han Jianpei, Xi Yanna, Liu Nian, et al. Two-stage planning method of power emergency resources for major social events[J]. Electric Power Automation Equipment, 2023, 43(3): 188-195, 224.
[94] Wang Shunqi, Ding Tao, Shahidehpour M, et al. Optimal capacity planning for manufacturing, transportation, and replacement of quickly-detachable transformer modules in substations of resilient distribution networks[J]. IEEE Transactions on Industry Applications, 2024, 60(2): 2012-2024.
[95] Arif A, Wang Zhaoyu, Wang Jianhui, et al. Power distribution system outage management with co- optimization of repairs, reconfiguration, and DG dispatch[J]. IEEE Transactions on Smart Grid, 2018, 9(5): 4109-4118.
[96] Chen Bo, Ye Zhigang, Chen Chen, et al. Toward a synthetic model for distribution system restoration and crew dispatch[J]. IEEE Transactions on Power Systems, 2019, 34(3): 2228-2239.
[97] Xu Yin, Wang Ying, He Jinghan, et al. Resilience- oriented distribution system restoration considering mobile emergency resource dispatch in transportation system[J]. IEEE Access, 2019, 7: 73899-73912.
[98] 万海洋, 刘文霞, 石庆鑫, 等. 计及交通流量动态变化的配电网灾后修复多时间断面优化策略[J]. 电力系统自动化, 2022, 46(12): 119-129.
Wan Haiyang, Liu Wenxia, Shi Qingxin, et al. Multiple-time-section optimization strategy for post- disaster recovery of distribution network considering dynamic changes of traffic flow[J]. Automation of Electric Power Systems, 2022, 46(12): 119-129.
[99] 郁琛, 李尚轩, 谢云云, 等. 考虑交通网与配电网信息融合的台风后配电网抢修策略优化[J]. 电力系统自动化, 2022, 46(4): 15-24.
Yu Chen, Li Shangxuan, Xie Yunyun, et al. Optimization of post-typhoon rush repair strategy for distribution network considering information integra- tion of traffic network and distribution network[J]. Automation of Electric Power Systems, 2022, 46(4): 15-24.
[100] Arif A, Ma Shanshan, Wang Zhaoyu, et al. Optimi- zing service restoration in distribution systems with uncertain repair time and demand[J]. IEEE Trans- actions on Power Systems, 2018, 33(6): 6828-6838.
[101] Shi Qingxin, Li Fangxing, Dong Jin, et al. Co- optimization of repairs and dynamic network reconfiguration for improved distribution system resilience[J]. Applied Energy, 2022, 318: 119245.
[102] Gao Haixiang, Chen Ying, Mei Shengwei, et al. Resilience-oriented pre-hurricane resource allocation in distribution systems considering electric buses[J]. Proceedings of the IEEE, 2017, 105(7): 1214-1233.
[103] Shi Qingxin, Wan Haiyang, Liu Wenxia, et al. Preventive allocation and post-disaster cooperative dispatch of emergency mobile resources for improved distribution system resilience[J]. International Journal of Electrical Power & Energy Systems, 2023, 152: 109238.
[104] Wang Y, Rousis A O, Strbac G. Resilience-driven optimal sizing and pre-positioning of mobile energy storage systems in decentralized networked micro- grids[J]. Applied Energy, 2022, 305: 117921.
[105] 王月汉, 刘文霞, 姚齐, 等. 面向配电网韧性提升的移动储能预布局与动态调度策略[J]. 电力系统自动化, 2022, 46(15): 37-45.
Wang Yuehan, Liu Wenxia, Yao Qi, et al. Pre-layout and dynamic scheduling strategy of mobile energy storage for resilience enhancement of distribution network[J]. Automation of Electric Power Systems, 2022, 46(15): 37-45.
[106] 张亚超, 谢仕炜. 面向配电网弹性提升的多时间尺度恢复策略协调优化框架[J]. 电力系统自动化, 2021, 45(18): 28-34.
Zhang Yachao, Xie Shiwei. Coordinated optimization framework of multi-timescale restoration strategies for resilience enhancement of distribution networks[J]. Automation of Electric Power Systems, 2021, 45(18): 28-34.
[107] Ebadat Parast M, Mousavian M, Nazari M H, et al. Microgrids and distribution system resilience assess- ment: a multi-objective robust-stochastic optimization approach considering social behavior using a deep learning modeling[J]. Sustainable Cities and Society, 2023, 97: 104686.
[108] 朱晓荣, 司羽. 考虑物理-信息-交通网耦合的配电网多时段动态供电恢复策略[J]. 电工技术学报, 2023, 38(12): 3306-3320.
Zhu Xiaorong, Si Yu. Multi-period dynamic power supply restoration strategy considering physical- cyber-traffic network coupling[J]. Transactions of China Electrotechnical Society, 2023, 38(12): 3306- 3320.
[109] 杨珺, 孔文康, 孙秋野. 智能算法在含分布式电源配电网故障恢复的应用综述[J]. 控制与决策, 2019, 34(9): 1809-1818.
Yang Jun, Kong Wenkang, Sun Qiuye. Application of intelligent algorithms to service restoration of distribution network with distributed generations[J]. Control and Decision, 2019, 34(9): 1809-1818.
[110] 韩佳英. 含直流微网的配电网负荷恢复策略研究[D]. 北京: 北京交通大学, 2020.
Han Jiaying. Research on load recovery strategy of distribution network with DC microgrid[D]. Beijing: Beijing Jiaotong University, 2020.
[111] 黄武靖, 司方远, 张宁, 等. 面向韧性的城市能源系统安全规则提取及优化运行[J]. 电力系统自动化, 2023, 47(12): 1-8.
Huang Wujing, Si Fangyuan, Zhang Ning, et al. Resilience-oriented security rule extraction and optimal operation for urban energy system[J]. Auto- mation of Electric Power Systems, 2023, 47(12): 1-8.
[112] 徐文文. 基于蒙特卡洛树搜索算法的大停电后机组恢复次序决策研究[D]. 南宁: 广西大学, 2021.
Xu Wenwen. Research on the decision making of the startup sequece of generators after blackout based on Monte Carlo tree search algorithm[D]. Nanning: Guangxi University, 2021.
[113] Zhao Jin, Li Fangxing, Chen Xi, et al. Deep learning based model-free robust load restoration to enhance bulk system resilience with wind power penetration[J]. IEEE Transactions on Power Systems, 2022, 37(3): 1969-1978.
[114] 邓荣楠, 宋梦, 高赐威, 等. 考虑用户负荷决策依赖特性的配电网灾后恢复方法对比分析[J]. 电工技术学报, 2024, 39(23): 7447-7462.
Deng Rongnan, Song Meng, Gao Ciwei, et al. Comparative analysis of distribution system load restoration considering decision-dependent behaviors of customers[J]. Transactions of China Electro- technical Society, 2024, 39(23): 7447-7462.
[115] 蔡田田, 姚浩, 杨英杰, 等. 基于云-边协同的配电网快速供电恢复智能决策方法[J]. 电力系统保护与控制, 2023, 51(19): 94-103.
Cai Tiantian, Yao Hao, Yang Yingjie, et al. Cloud- edge collaboration-based supply restoration intelligent decision-making method[J]. Power System Protection and Control, 2023, 51(19): 94-103.
[116] Huang Weixiang, Zhang Wei, Chen Qianyi, et al. Prediction algorithm for power outage areas of affected customers based on CNN-LSTM[J]. IEEE Access, 2024, 12: 15007-15015.
[117] 张沛, 陈玉鑫, 王光华, 等. 基于图强化学习的配电网故障恢复决策[J]. 电力系统自动化, 2024, 48(2): 151-158.
Zhang Pei, Chen Yuxin, Wang Guanghua, et al. Fault recovery decision of distribution network based on graph reinforcement learning[J]. Automation of Electric Power Systems, 2024, 48(2): 151-158.
[118] 范邦稷, 刘兴华, 丁涛, 等. 基于图注意网络与深度确定性策略梯度的三相主动配电网供电恢复方法[J]. 中国电机工程学报, 2023, 43(21): 8193-8206.
Fan Bangji, Liu Xinghua, Ding Tao, et al. A GAT-DDPG based approach for three-phase active distribution system restoration[J]. Proceedings of the CSEE, 2023, 43(21): 8193-8206.
[119] Liu Wenxia, Wang Yuehan, Shi Qingxin, et al. A multi-stage restoration strategy to enhance distribution system resilience with improved conditional genera- tive adversarial nets[J]. CSEE Journal of Power and Energy Systems, 2025, 11(4): 1657-1669.
[120] Zhao Jin, Li Fangxing, Sun Haoyuan, et al. Self- attention generative adversarial network enhanced learning method for resilient defense of networked microgrids against sequential events[J]. IEEE Trans- actions on Power Systems, 2023, 38(5): 4369-4380.
[121] 纪鹏志, 李光肖, 王琳, 等. 基于Transformer深度学习网络的主动配电网多元源荷灾损辨识方法[J]. 电力建设, 2023, 44(3): 56-65.
Ji Pengzhi, Li Guangxiao, Wang Lin, et al. Transformer-based evaluation method of power outage in active distribution networks with multiple sources and loads[J]. Electric Power Construction, 2023, 44(3): 56-65.
[122] Sarker P S, Sadanandan S K, Srivastava A K. Resiliency metrics for monitoring and analysis of cyber-power distribution system with IoTs[J]. IEEE Internet of Things Journal, 2023, 10(9): 7469-7479.
[123] Yang Fan, Ling Zenan, Zhang Yuhang, et al. Event detection, localization, and classification based on semi-supervised learning in power grids[J]. IEEE Transactions on Power Systems, 2023, 38(5): 4080- 4094.
[124] Yuan Yuxuan, Wang Yanchao, Wang Zhaoyu. A data-driven framework for power system event type identification via safe semi-supervised techniques[J]. IEEE Transactions on Power Systems, 2024, 39(1): 1460-1471.
[125] Rummery G A, Niranjan M. On-line Q-learning using connectionist systems[R]. Cambridge, England: Camb- ridge University, 1994.
[126] Ye Dayong, Zhang Minjie, Sutanto D. A hybrid multiagent framework with Q-learning for power grid systems restoration[J]. IEEE Transactions on Power Systems, 2011, 26(4): 2434-2441.
[127] 王光华, 李晓影, 宋秉睿, 等. 基于深度强化学习的配电网负荷转供控制方法[J]. 电力自动化设备, 2022, 42(7): 253-260.
Wang Guanghua, Li Xiaoying, Song Bingrui, et al. Load transfer control method of distribution network based on deep reinforcement learning[J]. Electric Power Automation Equipment, 2022, 42(7): 253-260.
[128] 徐岩, 陈嘉岳, 马天祥. 基于混合强化学习的主动配电网故障恢复方法[J]. 电力系统及其自动化学报, 2024, 36(4): 50-58.
Xu Yan, Chen Jiayue, Ma Tianxiang. Fault recovery method for active distribution network based on hybrid reinforcement learning[J]. Proceedings of the CSU-EPSA, 2024, 36(4): 50-58.
[129] Zhao Jin, Li Fangxing, Mukherjee S, et al. Deep reinforcement learning-based model-free on-line dynamic multi-microgrid formation to enhance resilience[J]. IEEE Transactions on Smart Grid, 2022, 13(4): 2557-2567.
[130] 黄玉雄, 李更丰, 张理寅, 等. 弹性配电系统动态负荷恢复的深度强化学习方法[J]. 电力系统自动化, 2022, 46(8): 68-78.
Huang Yuxiong, Li Gengfeng, Zhang Liyin, et al. Deep reinforcement learning method for dynamic load restoration of resilient distribution systems[J]. Automation of Electric Power Systems, 2022, 46(8): 68-78.
[131] 王子昊, 王旭, 蒋传文, 等. 基于近端策略优化算法的灾后配电网韧性提升方法[J]. 电力系统自动化, 2022, 46(21): 62-70.
Wang Zihao, Wang Xu, Jiang Chuanwen, et al. Resilience improvement method for post-disaster distribution network based on proximal policy optimization algorithm[J]. Automation of Electric Power Systems, 2022, 46(21): 62-70.
[132] 李鹏, 黄文琦, 王鑫, 等. 数据与知识联合驱动的人工智能方法在电力调度中的应用综述[J]. 电力系统自动化, 2024, 48(1): 160-175.
Li Peng, Huang Wenqi, Wang Xin, et al. Review on application of combined data-knowledge-driven artificial intelligence methods in power dispatching[J]. Automation of Electric Power Systems, 2024, 48(1): 160-175.
[133] Hughes W, Zhang Wei, Cerrai D, et al. A hybrid physics-based and data-driven model for power distribution system infrastructure hardening and outage simulation[J]. Reliability Engineering & System Safety, 2022, 225: 108628.
[134] Hughes W, Watson P L, Cerrai D, et al. Assessing grid hardening strategies to improve power system performance during storms using a hybrid mechanistic- machine learning outage prediction model[J]. Reliabi- lity Engineering & System Safety, 2024, 248: 110169.
[135] Huang Bin, Wang Jianhui. Applications of physics- informed neural networks in power systems-a review[J]. IEEE Transactions on Power Systems, 2023, 38(1): 572-588.
[136] 邬永, 王冰, 陈玉全, 等. 融合精细化气象因素与物理约束的深度学习模型在短期风电功率预测中的应用[J]. 电网技术, 2024, 48(4): 1455-1468.
Wu Yong, Wang Bing, Chen Yuquan, et al. Applica- tion of deep learning model integrating refined meteorological factors and physical constraints in short-term wind power prediction[J]. Power System Technology, 2024, 48(4): 1455-1468.
[137] Hu Xinyue, Hu Haoji, Verma S, et al. Physics-guided deep neural networks for power flow analysis[J]. IEEE Transactions on Power Systems, 2021, 36(3): 2082-2092.
[138] Whaley A M, Xing Jing, Boring R L, et al. Cognitive basis for human reliability analysis[R]. Washingtong DC: US Nuclear Regulatory Commission, 2016.
[139] 文东山, 暴英凯, 章禹, 等. 电力系统操作人因可靠性分析及其数据库系统研究[J]. 电力系统保护与控制, 2017, 45(11): 35-42.
Wen Dongshan, Bao Yingkai, Zhang Yu, et al. Analysis of human reliability in power system operation and research on its database system[J]. Power System Protection and Control, 2017, 45(11): 35-42.
[140] 童节娟, 余少杰, 赵军. 核电站人员可靠性分析方法THERP中的班组因素[J]. 清华大学学报(自然科学版), 2010, 50(9): 1425-1428.
Tong Jiejuan, Yu Shaojie, Zhao Jun. Team factors in THERP of human reliability analyses for nuclear power plants[J]. Journal of Tsinghua University (Science and Technology), 2010, 50(9): 1425-1428.
[141] Gertman D, Blackman H S, Marble J L, et al. The SPAR-H human reliability analysis method[R]. Washingtong DC: US Nuclear Regulatory Commission,2005.
[142] Wang Zhuoyao, Rahnamay-Naeini M, Abreu J M, et al. Impacts of operators’ behavior on reliability of power grids during cascading failures[J]. IEEE Trans- actions on Power Systems, 2018, 33(6): 6013-6024.
[143] Shuvro R A, Das P, Abreu J M, et al. Correlating grid-operators’ performance with cascading failures in smart-grids[C]//2019 IEEE PES Innovative Smart Grid Technologies Europe (ISGT-Europe), Bucharest, Romania, 2019: 1-5.
[144] Shuvro R A, Das P, Jyoti J S, et al. Data-integrity aware stochastic model for cascading failures in power grids[J]. IEEE Transactions on Power Systems, 2023, 38(1): 142-154.
[145] Kamyab S, Labeau P E, Henneaux P. Modeling manual corrective actions in probabilistic risk assess- ment of cascading outages[J]. Electric Power Systems Research, 2024, 234: 110831.
[146] Kottmann F, Kyriakidis M, Sansavini G, et al. A human operator model for simulation-based resilience assessment of power grid restoration operations[J]. Reliability Engineering & System Safety, 2023, 238: 109450.
[147] Forester J, Bley D, Cooper S, et al. Expert elicitation approach for performing ATHEANA quantification[J]. Reliability Engineering & System Safety, 2004, 83(2): 207-220.
[148] Bao Yingkai, Tang Junxi, Lu Haibo, et al. Analysis of human reliability in power system switching operation considering dependency of operators[C]// 2013 IEEE PES Asia-Pacific Power and Energy Engineering Conference (APPEEC), Kowloon, Hong Kong, China, 2013: 1-6.
[149] Ren Hongbo, Jiang Zipei, Wu Qiong, et al. Optimal planning of an economic and resilient district integrated energy system considering renewable energy uncertainty and demand response under natural disasters[J]. Energy, 2023, 277: 127644.
[150] 陆秋瑜, 江里舟, 别朝红, 等. 考虑用户能量优化调度的配电网灾后故障恢复策略[J]. 电力系统自动化, 2023, 47(1): 44-54.
Lu Qiuyu, Jiang Lizhou, Bie Zhaohong, et al. Post-disaster fault restoration strategy for distribution network considering optimal scheduling of user-side energy[J]. Automation of Electric Power Systems, 2023, 47(1): 44-54.
[151] 李春燕, 唐瞻文, 汤佶元, 等. 极端灾害下基于综合需求响应的电-水-气综合能源系统负荷恢复策略[J]. 高电压技术, 2024, 50(4): 1403-1415.
Li Chunyan, Tang Zhanwen, Tang Jiyuan, et al. Load recovery strategy for integrated electricity-water-gas energy system based on integrated demand response under extreme disasters[J]. High Voltage Engineering, 2024, 50(4): 1403-1415.
[152] Chen Shuquan, Bagrodia R, Pfeffer C C, et al. Anxiety and resilience in the face of natural disasters associated with climate change: a review and methodo- logical critique[J]. Journal of Anxiety Disorders, 2020, 76: 102297.
[153] Agarwal S, Foo Sing T, Yang Yang. The impact of transboundary haze pollution on household utilities consumption[J]. Energy Economics, 2020, 85: 104591.
[154] 程乐峰, 杨汝, 刘贵云, 等. 多群体非对称演化博弈动力学及其在智能电网电力需求侧响应中的应用[J]. 中国电机工程学报, 2020, 40(增刊1): 20-36.
Cheng Lefeng, Yang Ru, Liu Guiyun, et al. Multi- population asymmetric evolutionary game dynamics and its applications in power demand-side response in smart grid[J]. Proceedings of the CSEE, 2020, 40(S1): 20-36.
[155] 黄易君成. 基于个体行为驱动的电采暖负荷及需求响应特性研究[D]. 北京: 华北电力大学, 2023.
Huang Yijuncheng. Research on electric heating load and demand response characteristics based on individual behavior[D]. Beijing: North China Electric Power University, 2023.
[156] Valinejad J, Mili L, van der Wal C N, et al. Environomic-based social demand response in cyber- physical-social power systems[J]. IEEE Transactions on Circuits and Systems II: Express Briefs, 2022, 69(3): 1302-1306.
Abstract The urban power network (UPN) is a vital infrastructure for the stable operation of large cities. Enhancing its risk prevention and control capabilities is vital for urban development. In recent years, frequent extreme disasters have increasingly triggered large-scale power outages, severely impacting urban economic activities and social security. As a result, the construction of a resilient UPN has become an urgent priority. However, incorporating social domains into resilience research introduces new challenges and opportunities. On the one hand, different social groups (including decision-makers, operators and consumers) have varying duties and interests. Their decisions and actions, shaped by differences in training, experience or resources, may be suboptimal or even slow down system recovery. On the other hand, consumers are the core stakeholders in any city. Public safety must guide resilient-UPN design, and the extent to which basic life needs are met should serve as a key resilience metric. As a result, a purely cyber-physical perspective of resilience cannot reveal how people behave in emergencies, nor can it quantify the minimum support that consumers need. It also fails to reveal the full range of emergency-resource flexibility needed for a truly resilient UPN. In this background, this paper reviews resilient-UPN research from a social-security perspective by addressing the following three main areas.
First, the paper systematically summarizes the human and physical factors that affect UPN resilience. Human factors cover how decision-makers, operators and consumers take part in resilience measures. Their imperfect choices and misoperations can hinder recovery, while their flexible demand responses may accelerate it. Physical factors arise from the UPN’s close coupling with urban lifeline systems (ULS)—including gas, heat, water, communications, transportation and public services—where mutual energy support can enhance resilience, whereas cascading failures may compromise it.
Next, the paper surveys state-of-the-art research on resilience assessment frameworks and enhancement methods that integrate social dimensions. For resilience assessment, existing studies focus on developing social-domain metrics (such as water-use security, thermal comfort, psychological panic level, and individual well-being), and on simulating system operational states. For resilience enhancement, the paper provides a comprehensive review of the challenges each social group faces when participating in resilience efforts, particularly under uncertainties. In addition, it compares and analyzes the specific approaches employed by different groups, including model-based and data-driven methods.
Finally, the paper identifies key challenges in constructing a resilient UPN under social-security standards. These include defining resilience metrics that capture impacts on public safety and basic needs; rapidly evaluating ULS operational states amid complex interdependencies; and determining the true extent of emergency-resource flexibility by involving the behavioral characteristics of heterogeneous social groups. Meanwhile, this paper outlines future research directions from three perspectives: the development of resilience accessment metrics, dimensionality reduction of coupled networks, and resilience enhancement strategies.
keywords:Resilience assessment, resilience enhancement, social security, urban power networks, urban lifeline systems, extreme disasters
DOI: 10.19595/j.cnki.1000-6753.tces.242195
中图分类号:TM614
国家自然科学基金项目(52307094)和国家建设高水平大学公派研究生项目(202406730047)资助。
收稿日期 2024-12-05
改稿日期 2025-02-12
万海洋 男,2000年生,博士研究生,研究方向为城市电力系统的韧性分析等。E-mail: haiyangwan@ncepu.edu.cn
石庆鑫 男,1988年生,博士,副教授,硕士生导师,研究方向为韧性城市电网运行与规划、需求侧响应。E-mail: qshi@ncepu.edu.cn(通信作者)
(编辑 李 冰)