摘要 为解决12脉波整流器中传统EE结构移相变压器不对称会引起非特征次谐波及总谐波含量高的问题,该文设计了一种磁轭平衡且Y结构对称的移相变压器。首先,从理论上分析Y结构移相变压器的磁轭平衡特性、匝比关系及12脉波输入电流的构成机理,匝比采用最小角度差相移设计,以确保移相变压器的对称性及移相角度的准确性;然后,使用有限元仿真软件建立等比例模型验证磁轭平衡特性,与传统EE结构移相变压器相比,所设计的移相变压器的三相磁路长度、磁阻相等;最后,搭建1.5 kV·A样机进行实验验证。实验结果表明,基于Y结构移相变压器的整流器输入电流谐波总畸变率约为6.5%,且不含非特征次谐波,Y结构移相变压器的体积比传统EE移相结构变压器减少13.6%。
关键词:12脉波整流器 移相变压器 非特征谐波 磁轭平衡
多脉波整流器是一种无源整流装置[1],具有系统可靠性高、结构简单、效率高、过载能力强、体积小、质量轻等特点[2-3],广泛应用于航空航天、高压直流(High Voltage Direct Current, HVDC)输电、大功率工业整流、城轨供电、船舰供电系统等领域,以降低谐波对电网的污染[4]。12脉波自耦变压整流器(Auto Transformer Rectifier Unit, ATRU)与隔离型变压整流器(Transformer Rectifier Unit, TRU)相比,其等效容量小、漏阻抗小、损耗低、励磁电流小、体积质量占有优势,广泛应用于非隔离变换的场合[5]。12脉波整流器能抵消输入电流中的5次、7次谐波,与有源脉宽调制(Pulse Width Modulation, PWM)整流器相比,因其设备成本低、无需复杂控制开关、运行可靠性高而具有显著优势[6-7],是高性能航空电源系统重要的AC-DC电源转换设备[8-9]。
多脉波整流器因移相变压器不对称,会导致非特征次谐波及总谐波含量高的问题。近年来,国内外学者从多脉波整流技术的直流侧调压技术和移相角度在输入阶梯电流特性的影响、提高整流系统功率的密度、交直流侧谐波抑制方法等方面进行了大量研究。文献[10-11]探究了不同移相角对输入电流谐波、输出电压纹波和等效容量的影响,当移相角度及电压比确定时,为确保整流器低谐波特性应使移相角度及变压器匝比尽量准确。在谐波抑制方面,虽然增加整流桥组数、提高整流系统脉波数能够显著降低输入电流谐波总畸变率(Total Harmonics Distortion, THD)和输出电压纹波系数[12],但脉波数过多会导致整流系统的整体结构更加复杂,移相变压器的电磁设计难度增加,制造精度和对称性不易把控[13]。此外,工作于低频的移相变压器的体积较大,通常占整流器总体积的70%以上,限制了其在要求具有较高功率密度工业场合的应用[14]。
为了进一步降低移相变压器的体积和质量,提高整流器的功率密度,需要提高整流器对谐波的抑制能力。在交流、直流侧谐波抑制技术方面,文献[15]使用电力电子变压器技术与多脉波整流技术相结合的方法,在移相变压器前端引入AC-DC-AC三级变换器,通过提高移相变压器的工作频率以减小传统工频移相变压器的体积与质量;文献[16]在平衡电抗器抽头与负载间接入二极管,通过抽头二极管的交替导通在直流侧产生了特定环流,抵消了输入电流中的某些特征次谐波,增强了整流器的谐波抑制能力,但是二极管导通损耗严重;文献[17]在整流桥后级接入DC-DC变换器及升压电感代替平衡电抗器,减轻整流器的质量;文献[18]增加常规平衡电抗器抽头数,实现了输入电流的脉波倍增,降低了输入电流谐波及输出电压纹波。使用脉波倍增技术对整流桥输出电流调制,不仅可有效地降低输入电流谐波,而且辅助电路容量低于传统平衡电抗器容量[19-21]。
上述研究通过增加辅助电路,将有源谐波抑制技术应用在多脉波整流技术中,虽然实现了网侧谐波含量的降低,但是控制开关管数量较多,控制电路复杂,不能避免因EE结构的移相变压器不对称引起的非特征次谐波对整流器性能的影响。此外,还增加了整流系统结构的复杂性、失效率、成本及损耗。
Y结构航空变压器铁心的利用率高、结构紧凑、磁路对称[22]。文献[23]对高频电感进行Y型结构的磁集成,实现了谐振变换器体积的显著降低。因此,本文在不增加复杂控制电路的前提下设计磁轭平衡型的Y结构对称的移相变压器,并针对航空辅助动力装置(Auxiliary Power Unit, APU)蓄电池充电器实际工程问题,从移相变压器磁轭平衡的角度研究12脉波自耦变压整流器,在减小变压器体积的同时解决整流器因移相变压器不对称而产生的非特征次谐波及总谐波含量高的问题。相比传统结构的移相变压器,本文研究的磁轭平衡型Y结构移相变压器具有扁平化、体积小、结构对称的优势,提高了整流器的功率密度,减小了整流器谐波对飞机电网的污染,支撑多脉波整流器在航空领域的发展,为多电飞机/全电飞机整流器的研究提供了一定的技术支持。
本文首先分析了12脉波自耦变压整流器的工作原理,对所提磁轭平衡且Y结构对称的移相变压器进行磁路分析、匝比分析及12脉波输入电流构成机理分析,推导输入电流函数;其次,分析了Y结构移相变压器的磁路平衡特性,并进行移相变压器的参数设计,完成铁心、绕组选型;然后,借助有限元仿真软件建立等比模型进行磁路仿真,验证了变压器的磁轭平衡特性;最后,对所述结构移相变压器进行了实验验证。
12脉波自耦变压整流器拓扑如图1所示。该整流器由移相变压器、两组整流桥、平衡电抗器构成。移相变压器设计是整流器的关键,其接法是二次侧两组线圈NS与对边一次线圈NP在同一铁心柱共同构成绕组,如图1中红色线圈在同一磁柱、蓝色线圈在同一磁柱、黑色线圈在同一磁柱。其特点是三相对称电压通过绕组移相联结产生两组幅值相等、相位差为30°的电压,电压Ua1、Ub1、Uc1和Ua2、Ub2、Uc2分别经过整流桥和平衡电抗器得到12脉波直流电压为负载供能。平衡电抗器的作用是吸收两组整流桥输出电压的瞬时差,确保两组整流桥输出功率均衡,不产生干扰,使两组整流桥并联工作。
图1 12脉波自耦变压整流器拓扑
Fig.1 12-pulse auto transformer rectifier topology
在传统EE结构的三相三铁心移相变压器中,每一相绕组的主磁通都要经另外两相绕组的铁心柱而闭合,三相绕组的磁路长度不同,磁阻不等,磁轭不平衡[24]。若不进行磁路平衡处理,则两组输出电压幅值会存在偏差,影响两组整流桥均衡工作,其中功率较大的一组整流桥及绕组温升较高,长期工作在此工况容易发生变压器匝间短路故障。结构不对称导致两组整流桥产生的谐波电流无法完全抵消,且谐波电流中含非特征次谐波,系统总谐波含量不满足要求。因此,需设计磁轭平衡型且对称的移相变压器应用于12脉波整流系统,以提高整流系统性能。
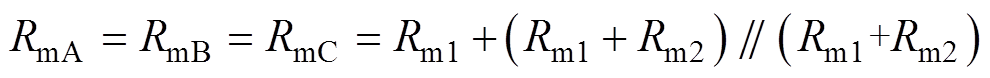
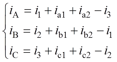
磁轭平衡型Y结构移相变压器结构如图2所示。图2中,UA、UB、UC为三相对称电压;NP、NS分别为一次绕组、二次绕组匝数。每个铁心柱有三个绕组,上铁心柱一次侧长绕组UAUB与二次侧短绕组Uc1UC、UCUc2同相绕制;左铁心柱一次侧长绕组UCUA与二次侧短绕组Ub1UB、UBUb2同相绕制;右铁心柱一次侧长绕组UBUC与二次侧短绕组Ua1UA、UAUa2同相绕制。磁轭平衡型Y结构移相变压器等效磁路如图3所示。图3中,i1、i2、i3为移相变压器一次侧三相绕组输入电流;ia1、ib1、ic1、ia2、ib2、ic2为移相变压器二次侧六相绕组输出电流,磁通路径如图3中箭头方向所示,任一磁路总磁阻均为Rm1+(Rm1+Rm2)//(Rm1+Rm2),其中,Rm1为铁心绕组磁阻,Rm2为Y结构移相变压器铁心外环磁阻。A、B、C三相磁路长度相同,磁阻相等,因此该结构能够实现移相变压器的磁轭平衡。
图2 磁轭平衡型Y结构移相变压器结构
Fig.2 Structure of balanced Y-structure phase-shifting transformer
图3 磁轭平衡型Y结构移相变压器等效磁路
Fig.3 Equivalent magnetic circuit of balanced Y-structure phase-shifting transformer
以右磁柱为例,根据右手定则,由图2中输入电流iB、iA的流向可知,右磁柱内的绕组UBUC磁场方向由一次侧指向二次侧;绕组Ua1UA磁场方向与UBUC磁场相反,UAUa2磁场方向与UBUC磁场相同。依据电磁感应原理可知二次绕组电压
与
同相位,二次绕组电压
与
反相位。因此,根据图2中变压器结构绘制如图4所示Y结构移相变压器相量图。其中,变压器一次侧三相输入电压分别为
、
、
;二次侧六相输出电压分别为
、
、
和
、
、
,两路输出电压值相等且相位相差30°。
结合图1中移相变压器接法分析可知,同名端输出相电压
、
、
滞后输入电压15°,非同名端输出相电压
、
、
超前输入电压15°,两路输出电压相位相差30°。二次侧输出绕组同名端/非同名端决定输出电压的移相顺序,二次绕组匝数影响移相角度,匝数减少移相角度变小,即欠移相状态,电压低于理论移相电压值;匝数增加移相角度变大,即过移相状态,移相电压高于理论移相电压值。以A相为例进行分析,根据相量三角形合成原理可得两组输出电压分别为
图4 磁轭平衡型Y结构移相变压器相量图
Fig.4 Phase diagram of a balanced Y-structure phase-shifting transformer
(1)
(2)
输出电压与输入电压关系为
(3)
根据法拉第电磁感应定律,有
(4)
式中,U为线圈感应电压;j为线圈磁通;N为线圈匝数。同一磁路上感应电压比等于匝数之比,归一化
的模长
=NP,
的模长
=NS。
则有
(5)
(6)
故匝比关系式为
(7)
移相变压器设计的主要目的是移相,关键在于两组二次电压移相角度的准确性。根据变压器匝比关系式(7)及实际工程经验,如果变压器一次、二次绕组匝数不对称,输出电压相位差不能满足相移条件,那么变压器的两组输出电压不平衡,将导致输入电流中含有非特征次谐波,降低整流系统的谐波抑制能力[25]。因此,一次、二次绕组匝数采用最小角度差相移设计,保证输出电压相位差为30°,两组输出电压均衡,即移相变压器绕组匝数取整后其匝比值应趋近匝比公式。
根据磁势平衡原理结合图3中给出的变压器等效磁路,可得三相铁心柱磁势平衡方程为
(8)
对三相输入电流节点,根据基尔霍夫电流定律分别有
(9)
联立式(8)、式(9)可得
(10)
根据式(8)、式(9)可知,变压器一次绕组电流由变压器匝比及二次绕组电流决定;系统输入电流由两个一次绕组电流及两个二次绕组电流叠加构成。进一步分析式(7)、式(10),当变压器匝比关系确定时,整流桥的六相输入电流决定系统输入电流质量。若整流器输出电流连续,则两组整流桥输入电流应是导通角为2p/3、关断角为p/3的方波,方波的相位差为p/6,幅值是负载电流Id的一半;且输入电流ia1、ib1、ic1和ia2、ib2、ic2三相分别对称,相位差为2p/3,输入电流ia1、ib1、ic1分别滞后ia2、ib2、ic2p/6相位。根据前述移相原理,以A相为例,可得12脉波整流器电流模态之间满足的相移关系如图5所示。

图5 12脉波整流器电流模态示意图
Fig.5 Current modal diagram of 12-pulse rectifier
由图5可知,两组整流桥的六相输入电流ia1、ib1、ic1、ia2、ib2、ic2叠加构成12阶梯的输入电流iA。在[0, p/2]范围内,输入电流IA表达式为
(11)
那么输入电流有效值表达式为
(12)
求解式(12)可得输入电流有效值
。
传统EE结构移相变压器磁通如图6所示,磁轭平衡型Y结构移相变压器磁通如图7所示。不考虑漏磁通时,变压器的三相磁通为jA、jB和jC,Rm3为EE结构铁心外环磁阻。EE结构变压器磁路是图6中箭头方向构成的矩形,B相磁路长度小于A、C两相磁路长度;Y结构移相变压器磁路是图7中箭头方向构成的扇形,其各相磁路长度相等。下面根据磁阻的串并联关系分析两种结构变压器的磁阻。
图6 传统EE结构移相变压器磁通
Fig.6 Magnetic flux of conventional EE-structure phase-shifting transformer
图7 磁轭平衡型Y结构移相变压器磁通
Fig.7 Magnetic flux balanced of Y-structure phase-shifting transformer
传统EE结构移相变压器A相和C相磁路磁阻为
(13)
B相磁路磁阻为
(14)
由式(13)、式(14)可知,传统EE结构三相变压器磁阻RmA=RmC
RmB,变压器磁轭不平衡,会导致工作时三相电流、功率及THD等均衡度较差,输入电流谐波含量高等问题。
Y结构移相变压器磁路磁阻为
(15)
由式(15)可知,Y结构移相变压器三相磁路磁阻相等,该结构移相变压器磁轭平衡。
根据设计的变压器参数使用有限元仿真软件搭建1
1等比例模型,得到Y结构移相变压器模型如图8所示。铁心的磁通密度-磁场强度(B-H)曲线设置为趋近1k107材料特性,考虑线圈的涡流效应,变压器绕组用铜环等效。铜环的励磁设置为多匝绞线型线圈,即绕组由多匝线圈组成,将变压器各相绕组等效为9个铜环。对铜环绕组施加频率为400 Hz、二次绕组电流IS=2.2 A、一次绕组电流IP=0.3 A的电流进行仿真验证,变压器欧姆损耗云图如图9所示。图9中,红色区域为气隙及拐角处损耗;三相铁心欧姆损耗为蓝色区域,铁心欧姆损耗均衡。磁通及磁通密度分布如图10所示。在一个周期内三相磁通变化如图10a、图10c、图10e所示,可知磁通方向及路径与理论分析一致,变压器的磁路长度相同。A相磁阻是磁路1、磁路2磁阻的并联;B相磁阻是磁路2、磁路3磁阻的并联;C相磁阻是磁路3、磁路1磁阻的并联。变压器三相磁阻相等。磁通密度分布如图10b、图10d、图10f所示,可见变压器A、B、C三相磁通密度分布均匀且对称,三相磁柱上的磁通密度相等,气隙处的磁通密度最大。变压器磁通密度呈现周期性变化且各相间相位差为120°。因此,设计的Y结构移相变压器磁通分布均衡,磁轭平衡。变压器绕组电感仿真值见表1,三相一次绕组电感值相等,二次侧六相绕组电感值相等,即变压器各绕组分别对称。
图8 Y结构移相变压器模型
Fig.8 Model of Y-structure phase-shifting transformer
图9 变压器欧姆损耗云图
Fig.9 Ohm loss cloud diagram of transformer
图10 磁通及磁通密度分布
Fig.10 Magnetic flux and flux density distribution
表1 变压器绕组电感仿真值
Tab.1 Experimental prototype winding parameter
绕组A相/mHB相/mHC相/mH 一次绕组347.76347.80347.55 二次侧1号绕组8.308.308.30 二次侧2号绕组8.318.318.31
对于要求变压器体积小且不需要电气隔离的场合,设计移相变压器为自耦型,一次、二次绕组不仅有磁路上的耦合,还有电路上的连接,能够减小其体积和质量。变压器线圈匝数决定绕组层数、质量;绕组布局决定变压器散热、漏感、寄生电容;层数、窗口高度决定铁心尺寸、体积、质量。根据功率、匝数、绕组质量、铁心体积和质量等因素寻求最佳解。变压器参数设计如下:
二次侧输出电压为
(16)
二次电流为
(17)
一次电流为
(18)
变压器绕组的绕线电流密度计算式为
(19)
(20)
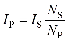
式中,U1为输入电压,U1=115 V;U2为输出电压;P为输出功率;I为变压器绕组的绕线电流;S为绕线截面面积;d为绕线直径;J为电流密度,本文取J=7 A/mm2。设计额定容量为1.5 kV·A的移相变压器,根据式(16)~式(18)可得绕组电流IS=2.2 A,IP=0.3 A。铁心尺寸设计如下:
设正弦输入电压为
(21)
设磁心中产生的磁通为F=Fmcos(wt),则感应电动势为
(22)
式中,Bm为最大磁通密度;Ae为磁心截面积,mm2;f为工作频率。
感应电动势与外加电压平衡,故有e=uin,即
(23)
当正弦输入电压达到峰值时,磁心达到最大磁通密度Bm,此时由式(23)得
(24)
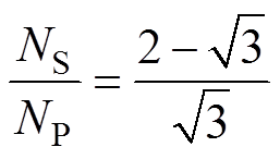
根据式(24)可知,其匝数与磁心截面积成反比关系。设计移相变压器匝数和磁心截面积时需要考虑磁心的磁饱和,当工作频率取最大值和最小值时均不饱和。此外,为实现理论移相角度,变压器一次、二次绕组匝数采用最小角度差相移设计,根据式(7)匝数取整列举的部分结果见表2,优选出最小偏差值的一组匝比为543
84,以保证对电压相位影响最小,均衡输入阻抗,实现输入电流的低 谐波。
表2 符合移相变压器匝比部分结果
Tab.2 Satisfy the turns ratio result of the phase-shifting transformer
一次侧匝数二次侧计算匝数二次侧实际匝数偏差值(%) 53783.074 19830.089 54384.002 39840.003 55085.085 29850.010
在航空360~800 Hz频率场合,从纳米晶及硅钢中选取磁心材料,根据表2优选出的最小偏差匝比值并结合式(24)可得出磁心截面积Ae=240 mm2。那么Y结构移相变压器磁心质量m为
(25)
式中,l为Y结构移相变压器磁心磁路总长度;r为磁心材料密度。
Y结构移相变压器磁路总长度为
(26)
式中,r为磁环半径。根据式(25)、式(26),在截面积240 mm2下求取两种材料参数见表3。由于纳米晶磁心质量更轻,且初始磁导率高,铁心损耗小,故选用纳米晶作为Y结构移相变压器磁心材料。其内部Y形铁心磁柱长度为60 mm,叠片厚度为240 mm,绕制层数为800层;外部磁环绕制厚度为120 mm,绕制层数为400层。内部Y形磁柱与外部磁环为间隙配合。
表3 纳米晶与硅钢片磁心参数对比
Tab.3 Comparison of parameters between nanocrystals and silicon steel cores
材料初始磁导率m/(H/m)最大磁通密度/T密度r/(g/cm3)质量m/g 纳米晶1.5×1031.257.2908.7 硅钢80×1031.87.65965.9
最终确定Y结构移相变压器参数见表4;对比样机EE结构移相变压器参数见表5。由表4和表5可知,设计的Y结构移相变压器体积比EE结构减小了13.6%。
表4 Y结构移相变压器设计参数
Tab.4 Design parameters of Y-structure phase-shifting transformer
参 数数值(型号) 二次绕组漆包线直径/mm0.813(AWG20) 一次绕组漆包线直径/mm0.254(AWG30) 匝比NSNP84543 铁心材料纳米晶1k107 铁心截面积/mm2240 体积/cm3423.2
表5 EE结构移相变压器参数
Tab.5 Design parameters of EE-structure phase-shifting transformer
参 数数值(型号) 二次绕组漆包线直径/mm0.813(AWG20) 一次绕组漆包线直径/mm0.254(AWG30) 匝比NSNP84543 铁心材料硅钢 体积/cm3489.8
为验证所提磁轭平衡型Y结构移相变压器的有效性,搭建如图11所示的整流系统实验平台。手工绕制1.5 kV·A的变压器样机如图12所示。实验样机参数见表6。EE结构移相变压器如图13所示。为确保对比实验公平,在相同条件下对两种结构变压器进行测试。其中,整流器由输入滤波电感、移相变压器、整流桥、平衡电抗器及输出电容组成。主要实验仪器包括控制台、Tektronix-PA3000功率分析仪、DC305V负载箱及TektronixMDO3034示波器。考虑浪涌电压及裕度,本文选择VUO36-12NO8,规格为35 A、1 200 V的整流桥。
图11 整流系统实验平台
Fig.11 Rectifier system experiment platform
图12 Y结构移相变压器
Fig.12 Y-structure phase-shifting transformer prototype
表6 实验样机参数
Tab.6 Experimental prototype parameters
参 数数 值 输入相电压有效值Uin/V115 频率/Hz400 输入滤波电感LS/mH2 自耦变压器匝比NSNP84543 平衡电抗器L1、L2、L3、L4/mH40 输出滤波电容Cd/mF13.2 负载R/W50.8
图13 EE结构移相变压器
Fig.13 EE-structure phase-shifting transformer prototype
由图12可知,Y结构变压器由铁心、骨架及绕组构成。内铁心截面宽度为24 mm;外环铁心外径为144 mm,截面宽度为12 mm,高度为10 mm;骨架尺寸为44 mm×44 mm×26 mm,壁厚为1 mm;绕线槽深为5.6 mm。为减小漏感对变压器的影响,两组二次绕组采用双线并绕的方式,一次、二次绕组绕向相同。移相变压器绕线绕制中还需考虑绕组形变应力的影响,由于一次绕组匝数较多、直径较小、电流较小;二次绕组匝数较少、直径较大、电流较大,所以在相同弯折角度下,直径大的绕线弯折弧度大,弯折处的形变应力大。采用形变应力较大的绕组在内层绕制、形变应力较小的绕组在外层的绕制方法,避免因外层绕线形变应力过大勒伤内层绕线导致的绝缘风险。另外,因一次绕组电流密度高,其为主要发热源,将其放置在外侧有利于变压器散热。因此,二次绕组在内侧绕制,共绕制2.5层;一次绕组平铺于二次绕组上方绕制,共绕制6层。
整流器的12脉波输入电流波形如图14a所示,可知三相输入电流对称,相位差为120°,12阶梯波形与图5理论波形基本一致。
移相变压器一次绕组电流i1、i2、i3如图14b所示,可见三相绕组电流对称。二次侧六相绕组电流即整流器输入电流ia1、ib1、ic1和ia2、ib2、ic2如图14c~图14e所示,电流ia1、ib1、ic1和ia2、ib2、ic2分别呈三相对称,相位相差120°,且对比可知两组整流器输入电流,即ia1和ia2、ib1和ib2、ic1和ic2相位差均为30°。ia1、ia2、i1、i3叠加构成图14a中的12脉波输入电流波形,与理论分析相符。
图14 实验波形
Fig.14 Experimental waveforms
移相变压器二次侧六相输出线电压Ua1b1、Ub1c1、Uc1a1和移相波形如图14f~图14h所示,Ua1b1、Ub1c1、Uc1a1为滞后波形,Ua2b2、Ub2c2、Uc2a2为超前波形,与图4中相量图分析一致。两组线电压之间的相位差为30.14°,峰值电压为292 V,与理论相位差30°、峰值电压290 V相比,满足设计误差。
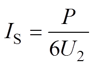
采用Tektronix-PA3000功率分析仪对输入电流、输入电压、输出电流、输出电压、谐波、效率等参数进行测量验证,同等功率下两种结构对比测试结果如图15所示,三相输入电流及频谱测试结果如图16所示。不同负载条件下,Y结构变压器输入电流THD及系统效率随输出功率变化曲线如图17所示。图15中,GROUP A组为电源侧A、B、C相电气参数,GROUP B组为负载侧电气参数;Vrms为输入电压有效值,Arms为输入电流有效值,Watt为有功功率,VA为视在功率,Var为无功功率,Freq为频率,PF为功率因数,Vpk+为电压峰值,Apk+为电流峰值,Vthd为输入电压THD,Athd为输入电流THD。
图15 EE结构与Y结构变压器测试结果
Fig.15 Test results of EE structure and Y structure transformer
图16 输入电流及频谱测试结果
Fig.16 Input current and spectrum test results
图17 输入电流THD与效率曲线
Fig.17 Input current THD and efficiency curves
由图15可知,同等实验条件下基于两种结构变压器的整流器输出电压值满足(270±5) V,输入电流THD电流谐波满足标准GJB 181B—2012第5.4.8条[26]中不大于10%的要求。基于EE结构移相变压器的整流器A相、B相、C相三相输入电流THD分别为7.688 9%、8.027 4%、7.879 4%,相间THD最大偏差0.338 5个百分点。基于Y结构移相变压器的整流器A相、B相、C相三相输入电流THD分别为6.553 8%、6.799 9%、6.594 0%,相间THD最大偏差0.246 1个百分点。对比两种结构,基于Y结构移相变压器的整流器三相输入电流THD更低且较均衡。整流系统容量为1.5 kV·A,输出功率为1.415 1 kW,效率为94.34%,C相功率高出A、B两相功率约4 W,分析是因手工制作绕组缠绕层数不均或变压器铁心装配时气隙不均导致,工程制造中该问题不会存在。结合表4、表5中变压器体积可知,Y结构移相变压器功率密度为3.3 W/cm3,EE结构移相变压器功率密度为2.9 W/cm3,采用Y结构设计的移相变压器功率密度提高了13.8%。电源侧功率因数及负载侧功率因数均在99%以上。由图16可知,Y结构变压器对7次谐波的消除优于EE结构,三相输入电流谐波阶数含量为3、5、11、13次特征谐波,不含非特征次谐波。由图17可知,整流系统输入电流THD随功率的增加而降低,整机效率逐渐升高。处于轻载时输入电流THD不满足谐波要求,800 W以上均可保证系统输入电流THD不大于10%的要求,能够更好地抑制输入电流谐波。
本文面向航空用12脉波整流器设计了一种磁轭平衡型Y结构移相变压器,在保障整流器低失效率、高效条件下有效地降低系统的非特征次谐波及总谐波含量。本文得出以下结论:
所提Y结构移相变压器三相磁路长度相同、磁阻相等,三相磁轭对称,能够有效地抵消各相的高次谐波。该结构移相变压器具有欧姆损耗的均衡性及三相磁轭的平衡性。移相变压器匝比采用最小角度差相移设计,确保了变压器绕组的对称性及移相角度的准确性。根据匝比关系考虑层匝、铁心体积等因素寻求体积最佳设计,设计的Y结构移相变压器扁平化且体积比EE结构减小了13.6%,功率密度提高了13.8%。制作的基于Y结构移相变压器的整流器相输入电流、输入电流THD、输出功率更加均衡,整流器传输效率可达94.34%,各相功率因数均在99%以上,整流器的稳定性和系统性能方面优于不对称EE结构自耦变压整流器设计方案。
参考文献
[1] 史艳博, 葛红娟, 胡寅逍, 等. 基于无源半桥辅助电路的24脉航空变压整流器[J]. 电工技术学报, 2022, 37(增刊1): 257-266.
Shi Yanbo, Ge Hongjuan, Hu Yinxiao, et al. 24-pulse aviation transformer rectifier based on passive half- bridge auxiliary circuit[J]. Transactions of China Electrotechnical Society, 2022, 37(S1): 257-266.
[2] Meng Fangang, Xu Xiaona, Gao Lei, et al. Active harmonic reduction using DC-side current injection applied in a novel large current rectifier based on fork-connected autotransformer[J]. IEEE Transactions on Industrial Electronics, 2017, 64(7): 5250-5264.
[3] 梁国壮, 于昕冉, 魏雨璇, 等. 制氢电源多脉波整流技术与谐波抑制优化[J/OL]. 电源学报, 1-10 [2025-05-14]. https://link.cnki.net/urlid/12.1420.TM. 20250514.1012.003.
Liang Guozhuang, Yu Xinran, Wei Yuxuan, et al. Multi-Pulse Rectification Technology and Harmonic Suppression Optimization of Hydrogen Production Power Supply[J/OL]. Journal of Power Supply, 1-10 [2025-05-14]. https://link.cnki.net/urlid/12.1420.TM. 20250514.1012.003.
[4] 姚绪梁, 李磊, 王景芳, 等. 一种直流侧带双辅助二极管的24脉波整流器[J]. 中国电机工程学报, 2022, 42(22): 8276-8288.
Yao Xuliang, Li Lei, Wang Jingfang, et al. A 24-pulse rectifier with two auxiliary diodes at DC side[J]. Proceedings of the CSEE, 2022, 42(22): 8276-8288.
[5] Meng Fangang, Xu Xiaona, Gao Lei, et al. Dual passive harmonic reduction at DC link of the double- star uncontrolled rectifier[J]. IEEE Transactions on Industrial Electronics, 2019, 66(4): 3303-3309.
[6] 孟凡刚, 徐晓娜, 高蕾, 等. 双反星形不控整流器的直流侧双无源谐波抑制方法[J]. 电工技术学报, 2019, 34(8): 1689-1697.
Meng Fangang, Xu Xiaona, Gao Lei, et al. Dual passive harmonic reduction at DC link of the double- star uncontrolled rectifier[J]. Transactions of China Electrotechnical Society, 2019, 34(8): 1689-1697.
[7] 何黎鹏, 郭强, 肖蕙蕙, 等. 含负载前馈补偿的电流型PWM整流器改进无差拍控制[J]. 电工技术学报, 2024, 39(2): 501-513.
He Lipeng, Guo Qiang, Xiao Huihui, et al. Improved deadbeat control of current-source PWM rectifiers with load feed-forward compensation[J]. Transactions of China Electrotechnical Society, 2024, 39(2): 501-513.
[8] Meng Fangang, Gao Lei, Yang Shiyan, et al. Effect of phase-shift angle on a delta-connected auto-transformer applied to a 12-pulse rectifier[J]. IEEE Transactions on Industrial Electronics, 2015, 62(8): 4678-4690.
[9] 谢飞, 许建平, 郭夏, 等. 基于虚拟阻抗的三相Buck整流器输入不平衡控制策略[J]. 电工技术学报, 2024, 39(14): 4456-4466.
Xie Fei, Xu Jianping, Guo Xia, et al. A control strategy based on virtual impedance for three-phase buck rectifier under unbalanced phase-voltages[J]. Transactions of China Electrotechnical Society, 2024, 39(14): 4456-4466.
[10] Meng Fangang, Yang Wei, Yang Shiyan. Effect of voltage transformation ratio on the kilovoltampere rating of delta-connected autotransformer for 12-pulse rectifier system[J]. IEEE Transactions on Industrial Electronics, 2013, 60(9): 3579-3588.
[11] 孟凡刚, 姜彤, 郭依宁. 基于电力电子变压器的串联型12脉波整流器[J]. 电机与控制学报, 2021, 25(5): 52-59.
Meng Fangang, Jiang Tong, Guo Yining. Series- connected 12-pulse rectifier based on power electronic transformer[J]. Electric Machines and Control, 2021, 25(5): 52-59.
[12] 史晓阳. 航空用高功率因数可控升压整流器仿真研究[J]. 电气技术, 2019, 20(4): 12-15, 20.
Shi Xiaoyang. High power factor controlled step-up rectifer for aviation[J]. Electrical Engineering, 2019, 20(4): 12-15, 20.
[13] 赵镜红, 周长朵, 王涵铭, 等. 计及边端效应的直线式移相变压器等效电路分析[J]. 电工技术学报, 2024, 39(6): 1792-1805.
Zhao Jinghong, Zhou Changduo, Wang Hanming, et al. Equivalent circuit analysis of linear phase-shifting transformer considering end effect[J]. Transactions of China Electrotechnical Society, 2024, 39(6): 1792-1805.
[14] 王景芳, 赵晨, 姚绪梁, 等. 一种基于改进双二极管脉波倍增电路的串联型24脉波整流器[J]. 中国电机工程学报, 2024, 44(12): 4878-4891.
Wang Jingfang, Zhao Chen, Yao Xuliang, et al. A series-connected 24-pulse rectifier based on improved dual-diode pulse-doubling circuit[J]. Proceedings of the CSEE, 2024, 44(12): 4878-4891.
[15] de Oliveira Costa Neto A, Soares A L, de Lima G B, et al. Optimized 12-pulse rectifier with generalized delta connection autotransformer and isolated SEPIC converters for sinusoidal input line current imposi- tion[J]. IEEE Transactions on Power Electronics, 2019, 34(4): 3204-3213.
[16] 王景芳, 陈安臣, 姚绪梁, 等. 一种直流侧串联辅助单相整流器的24脉波整流器[J]. 中国电机工程学报, 2021, 41(23): 8120-8129.
Wang Jingfang, Chen Anchen, Yao Xuliang, et al. A 24-pulse rectifier with an auxiliary single-phase rectifier in series at DC side[J]. Proceedings of the CSEE, 2021, 41(23): 8120-8129.
[17] Choi S, Lee B S, Enjeti P N. New 24-pulse diode rectifier systems for utility interface of high-power AC motor drives[J]. IEEE Transactions on Industry Applications, 1997, 33(2): 531-541.
[18] 廉玉欣, 杨世彦, 杨威. 基于非常规平衡电抗器的直流侧谐波抑制方法[J]. 电工技术学报, 2021, 36(18): 3957-3968.
Lian Yuxin, Yang Shiyan, Yang Wei. The harmonic reduction method at DC link based on unconventional interphase reactor[J]. Transactions of China Electro- technical Society, 2021, 36(18): 3957-3968.
[19] 杨用春, 杜翔宇, 唐健雄, 等. 基于改进移相变压器的综合调压合环装置及调控策略[J]. 电工技术学报, 2025, 40(8): 2532-2546.
Yang Yongchun, Du Xiangyu, Tang Jianxiong, et al. Integrated voltage loop device and control strategy based on improved phase-shifting transformers[J]. Transactions of China Electrotechnical Society, 2025, 40(8): 2532-2546.
[20] 史艳博, 葛红娟, 王永帅, 等. 基于无源电压纹波注入的24 脉航空交直流变换器[J]. 哈尔滨工程大学学报, 2024, 45(3): 590-598.
Shi Yanbo, Ge Hongjuan, Wang Yongshuai, et al. 24-pulse aviation AC-DC converter based on passive voltage ripple injection[J]. Journal of Harbin Enginee- ring University, 2024, 45(3): 590-598.
[21] 杨继鑫, 史黎明, 殷正刚, 等. 基于辅助拾取模块的感应耦合能量传输系统电流谐波抑制方法[J]. 电工技术学报, 2024, 39(24): 7663-7673.
Yang Jixin, Shi Liming, Yin Zhenggang, et al. A current harmonic suppression method for inductively coupled power transfer system based on auxiliary pickup module[J]. Transactions of China Electro- technical Society, 2024, 39(24): 7663-7673.
[22] 刘建英, 任仁良. 飞机电源系统[M]. 北京: 中国民航出版社, 2013.
[23] 付兴武, 郭晋龙, 杨玉岗. LLC谐振变换器中“Y”型磁集成变压器设计[J]. 辽宁工程技术大学学报(自然科学版), 2022, 41(3): 277-282.
Fu Xingwu, Guo Jinlong, Yang Yugang. Design of “Y” type magnetic integrated transformer in LLC resonant converter[J]. Journal of Liaoning Technical University (Natural Science), 2022, 41(3): 277-282.
[24] 刘勇智, 吕永健, 范冰洁, 等. 航空电机学[M]. 2版. 北京: 国防工业出版社, 2020.
[25] 高蕾, 孟凡刚, 杨世彦, 等. 过移相和欠移相对12脉波整流系统的影响及抑制措施[J]. 电力自动化设备, 2015, 35(1): 85-93.
Gao Lei, Meng Fangang, Yang Shiyan, et al. Influence of over/under phase-shift on 12-pulse rectifier system and its countermeasures[J]. Electric Power Automation Equipment, 2015, 35(1): 85-93.
[26] 中国人民解放军总装备部. 飞机供电特性: GJB 181B—2012[S]. 北京: 总装备部军标出版发行部, 2013.
Abstract The traditional EE-structure phase-shifting transformer, due to its asymmetric design, leads to high levels of non-characteristic harmonics and total harmonic distortion in rectifiers. It is difficult to meet the requirements of more-electric aircraft/all-electric aircraft for aviation power systems, which demand compact size, lightweight, and high efficiency. Therefore, this research focuses on the yoke balance of phase-shifting transformers and investigates the yoke-balanced Y-structure phase-shifting transformer in conjunction with practical engineering challenges. The aim is to reduce the volume of phase-shifting transformers in aviation 12-pulse rectifiers and address the issues of non-characteristic harmonics and high total harmonic distortion caused by asymmetrical phase-shifting transformers in aviation rectifiers.
Firstly, the principle of a 12-pulse autotransformer rectifier was analyzed, followed by the derivation of the turns ratio, analyze the mechanism of 12-pulse input current composition and derive the input current function of the rectifier. Secondly, analyze the magnetic flux paths of the traditional EE-structure and Y-structure phase-shifting transformers. By calculating the three-phase magnetic reluctances of both transformer structures, a scaled model of the phase-shifting transformer is established using finite element simulation software to verify the ohmic loss balance and three-phase yoke equilibrium characteristics of the Y-structure phase-shifting transformer. Thirdly, calculate the power of the phase-shifting transformer, the turns ratio of the phase-shifting transformer adopts the minimum angular phase shift design to ensure the symmetry of the transformer windings and the accuracy of the phase shift angle. Finally, experimental testing on the characteristics of a Y-structure phase-shifting transformer.
The simulation and experimental results show that the Y-structured phase-shifting transformer exhibits balanced core ohmic losses and uniform magnetic flux density distribution. The input current phase difference of the rectifier bridge is 30°, and the phase difference between the line voltages of the two output voltage sets of the phase-shifting transformer is 30.14°. Under the same output power, the THD of the three-phase input currents for the rectifier based on the EE-structure phase-shifting transformer are 7.688 9%, 8.027 4%, and 7.879 4%, while those for the rectifier based on the Y-structure phase-shifting transformer are 6.553 8%, 6.799 9%, and 6.594 0%, Comparison of Two Rectifier Structures, with the Y-structured phase-shifting transformer, the THD of the three-phase input current decreased from 7.688 9% to 6.553 8%. The Y-structure phase-shifting transformer outperforms the EE-structure phase-shifting transformer in eliminating the 7th harmonic, input current with no non-characteristic harmonics present. The Y-structured phase-shifting transformer has a 13.6% reduction in volume and a 13.8% increase in power density compared to the EE-structured phase-shifting transformer.
The following conclusions can be drawn from the simulation and experimental analysis: (1) The Y-structure phase-shifting transformer features equal magnetic circuit lengths in all three phases, balanced magnetic reluctance, uniform ohmic losses, and balanced three-phase yokes. (2) Compared to the EE-structure phase- shifting transformer, the Y-structure phase-shifting transformer features a flat profile, compact size, and low harmonic distortion. (3) The research based on the Y-structure phase-shifting transformer does not contain non-characteristic harmonics in its input current.
keywords:12-pulse rectifier, phase-shifting transformer, non-characteristic harmonics, magnetic yoke balance
DOI: 10.19595/j.cnki.1000-6753.tces.242234
中图分类号:TM422;V242
收稿日期 2024-12-10
改稿日期 2025-05-14
张 云 男,1980年生,教授,博士生导师,研究方向为新能源电力变换与控制技术。E-mail: zhangy@tju.edu.cn(通信作者)
高纪轩 男,1995年生,硕士研究生,研究方向为多脉波整流技术。E-mail: gaonao_100@tju.edu.cn
(编辑 李 冰)