摘要 随着电网主网架结构的不断加强和供电负荷需求的增长,短路电流的超标趋势逐渐限制着电网的发展和安全经济运行。针对动态调整拓扑限制短路电流措施中的快速开关布点决策问题,提出基于云模型的动态调整拓扑限制短路电流快速开关布点决策综合评价方法。首先,以典型接线方式为例,讨论了快速开关应用于变电站内及线路不同场景下的布点选择,通过采取动态调整拓扑限制短路电流措施后的相关影响因素,构建包含短路电流、暂态稳定、静态安全、供电可靠性、实施费用五个方面的快速开关布点决策综合评价体系;其次,采用主客观结合的层次分析法(AHP)-熵权法求取各指标的综合权重,并通过构建云理论评价模型从不同的快速开关布点方案中确定最佳布点方案;最后,通过我国某区域实际电网运行实测数据进行仿真,验证所提评价方法的有效性。
关键词:短路电流 综合评价 快速开关布点 拓扑调整 云模型
近年来我国电力系统快速发展,用电负荷不断增加、系统装机容量日渐增长、网架结构愈加紧密,系统短路电流水平不断提高,已经接近甚至超过电力规程所规定的最大允许水平,成为制约电网发展和安全运行的重要问题[1]。在提升电网输送能力的同时,研究采用合理、有效的短路电流限制措施,对于保障电网安全稳定运行、延长设备寿命、优化资源配置和提升经济效益具有重要意义。
目前电网中限制短路电流措施主要分为两类:一类是限流技术措施,通过安装限流电抗器、高阻抗变压器或故障电流限制器等措施,增加支路元件的阻抗限制短路电流水平,但可能会造成系统损耗增加、影响系统潮流分布且成本较高[2-7];一类是开断技术措施,通过调整系统的运行方式达到限制短路电流水平的目的,包括设备停运、母线分列运行等,但同时降低了系统运行的可靠性和灵活性,长时间的设备停运也会造成资源浪费[8-10]。针对目前限制措施的不足,文献[11]提出动态调整拓扑限制短路电流方法,仅在故障期间短时间改变系统拓扑,将电网固定分区转变为灵活动态分区,系统正常运行期间保持完整拓扑结构,避免采用常规措施停运设备对系统带来的影响。目前基于该方法的短路电流限制措施已经实现工程应用,其有效性得到验证[12-13]。
采用上述限制措施后,系统故障期间通过快速开关的投入,短时间内改变了系统拓扑,对系统会造成一定的影响,且不同的快速开关布点方案对系统拓扑的改变不同,所造成的影响也不同。对此文献[11]中提出了典型拓扑调整方法,分析了采用措施后对系统继电保护的影响及应对措施,文献[14]中分析了采用措施后对系统可靠性的影响,文献[15]中分析了采用措施后对系统暂态功角稳定性的影响,文献[16]分析了500 kV和220 kV系统动态调整系统拓扑限制短路电流的配置方案及限流效果,上述研究中考虑的因素单一、缺乏兼顾布点全局效果及其均衡性的综合衡量指标且均未涉及拓扑调整对系统静态安全的影响,未考虑拓扑调整是否会带来新的安全隐患问题。文献[17]提出了快速开关投用的主要原则,系统性地探讨了故障期间该措施下的电网供电可靠性、供电能力等问题,但忽略了采取该措施对系统暂态稳定及静态安全的影响且未引入评价模型,未结合各影响因素给出最终的快速开关布点方案。动态调整拓扑限制短路电流快速开关布点决策需要统筹其限流效果及对系统暂态稳定、静态安全、供电可靠性和经济性因素的影响。然而,当前研究仅讨论了采用该措施时对系统单一的影响因素,并未考虑综合影响因素下动态调整拓扑限制短路电流快速开关布点决策的问题。目前尚未构建一套基于系统拓扑动态调整的限制短路电流快速开关布点决策评价体系,能覆盖影响该措施实际应用的各类因素,并且未考虑电网运行的经济性问题,不利于电网自身的发展。
在综合评价方法方面,多准则决策分析方法得到了广泛使用[18-22],但其无法有效解决定性概念与定量数值间、评价等级边界间的模糊性与随机性问题。文献[23]应用模糊综合评价算法进行短路电流限制方案的定量决策,但该评价方法的权重计算较为单一,难以形成统一标准来量化模糊概念进行定性评价时的随机性。文献[24]针对评价过程中的模糊性和随机性,采用云理论构建了短路电流限制方案优化决策评价模型,有效地解决了这一问题,使评价结果更加准确可靠。
基于上述研究成果,本文提出了基于云模型的动态调整拓扑限制短路电流快速开关布点决策综合评价方法:首先,讨论了典型接线方式下快速开关应用于变电站内及线路的布点选择,在布点方案集已确定的情况下,通过采取动态调整拓扑限制短路电流措施后的相关影响因素,构建包含短路电流、暂态稳定、静态安全、供电可靠性、实施费用五个方面的快速开关布点决策综合评价体系。然后,采用层次分析法(Analytic Hierarchy Process, AHP)-熵权法确定评价指标的综合权重,并通过构建云理论评价模型从不同的快速开关布点方案中确定最佳布点方案,在有效降低短路电流的同时,降低对系统的安全稳定经济运行的影响。最后,通过我国某区域实际电网运行实测数据进行了仿真,验证了评价方法的有效性,为动态调整拓扑限制短路电流快速开关布点的选择和应用提供依据。
图1给出了动态调整拓扑限制短路电流措施原理图。动态调整拓扑限制短路电流装置由快速开关及其控制系统两部分构成。快速开关配置电流互感器且采用高速开断技术,控制系统使用高速数据处理架构,通过故障快速识别技术采集快速开关电流,进而判断是否存在故障,实现故障快速识别并预测故障电流过零点,确保快速开关燃弧时间的精准调控[25]。
图1 动态调整拓扑限制短路电流措施原理
Fig.1 Principle scheme of short-circuit current limitation by dynamic adjustment of system topology
系统运行正常时,快速开关闭合;系统发生故障后,控制系统判断系统发生故障时刻,并向快速开关传达分闸命令,使快速开关先于常规断路器动作,切断部分短路电流贡献支路,将短路电流水平降至常规断路器遮断范围内,常规断路器正常动作切除系统故障。故障切除后,快速开关按照设定的时序依次恢复,控制系统经过设定延时后,判断前序开关已并列、检同期成功时向快速开关下达合闸指令,若重合于故障则再次解列,若未重合于故障则并列完成,系统恢复到传统保护动作切除故障后的拓扑结构。
该限制措施较传统保护措施的优势在于:通过具有速动性的动态调整拓扑限制短路电流装置短时改变系统拓扑结构,将快速开关所在支路与故障点隔离,进而达到降低常规断路器遮断短路电流大小的目的。
需要指出的是,动态调整拓扑限制短路电流措施在故障发生后、快速开关动作恢复前,改变了系统的拓扑结构。在故障切除且快速开关合闸后,系统的稳态拓扑与传统保护动作切除故障后的拓扑结构相同,两者最终均隔离故障点,剩余电网拓扑结构一致,两者的故障后系统稳态拓扑与系统故障前正常稳态拓扑是否一致需针对具体的故障情况进一步分析。
动态调整拓扑限制短路电流方法通过快速开关的优先动作将短路电流降至常规断路器开断范围之内。因此,为确保短路电流的限制效果,分析采取动态调整拓扑限制短路电流措施后系统的暂态稳定、静态安全以及供电可靠性,需要对快速开关不同的布点方案进行讨论。本节以典型变电站主接线方式为例分析典型快速开关的布点方案。
一个半断路器接线方式普遍应用于330 kV及以上电压等级的变电站,以典型接线方式且该变电站存在母分开关为例,图2给出了该接线方式下快速开关的四种典型布点方案。布点方案一为在两侧母线分段处加装快速开关,故障期间实现两侧母线分段运行;布点方案二为在一个半断路器接线完整回路的2个边断路器处加装快速开关,故障发生后,快速开关优先动作,隔离快速开关所在回路的两条支路与故障点间联系,达到限制故障点短路电流的目的;布点方案三为在单一支路出线处加装快速开关,故障发生后,快速开关优先动作,快速开关所在支路与故障点隔离,限制故障点短路电流;布点方案四为在中断路器处加装快速开关,以母线M1故障为例,CBT8断开后,CBT7断路器仅流过L5支路贡献的短路电流,其余与母线M1相连的断路器流过剩余部分的短路电流;出线支路故障时,CBT8开断短路电流水平没有变化,因此布点方案四只针对母线故障时,断路器开断短路电流超标的情况。
图2 一个半断路器接线变电站快速开关布点方案
Fig.2 One and half circuit breaker wiring substation fast switch layout scheme
考虑一个半断路器接线方式的变电站母线故障与支路故障形式下常规断路器的最大开断电流,母线故障时短路电流更大,常规断路器最大开断电流为母线短路电流。
对于220 kV及110 kV变电站,以双母线双分段接线方式为例,图3给出了快速开关的三种典型布点方案。布点方案一为在两侧母线分段处加装快速开关;布点方案二为在两侧母线联络断路器处加装快速开关,布点方案一和布点方案二在故障期间均通过将部分支路与故障点隔离,进而降低短路电流;布点方案三为在单个出线支路处加装快速开关,故障期间将单个支路与故障点隔离,达到降低短路电流的目的。
图3 双母线双分段断路器接线变电站快速开关布点方案
Fig.3 Double bus double section circuit breaker wiring substation fast switch layout scheme
考虑双母线双分段接线方式的变电站母线故障与支路故障两种形式,常规断路器的最大开断电流均为母线短路电流减去故障母线上各支路或故障支路提供的短路电流。
动态调整拓扑限制短路电流措施在故障期间通过快速开关的投入,短时改变系统结构,可能对系统暂态稳定、静态安全以及供电可靠性产生不同程度的影响。因此,在进行动态调整拓扑限制短路电流快速开关布点决策评价时,一方面要考虑短路电流的限制效果;另一方面要兼顾方案实施后系统暂态稳定水平、元件过负荷水平及可靠性影响等因素。
本节参考电力系统短路电流计算及安全稳定校核相关标准、目前研究成果及电力系统安全稳定运行领域的专家经验,考虑了影响快速开关布点决策的一系列指标,构建了动态调整拓扑限制短路电流快速开关布点决策综合评价体系,并给出了各指标的计算方法。
本节通过选取采取措施后的故障点短路电流和实施费用局部指标、整个区域内暂态稳定、静态安全及供电可靠性全局指标,建立多层次评价框架,构建动态调整拓扑限制短路电流快速开关布点决策综合评价指标体系,确保综合评价指标体系的完备性和适用性。动态调整拓扑限制短路电流快速开关布点决策评价体系如图4所示。
图4 动态调整拓扑限制短路电流快速开关布点决策综合评价指标体系
Fig.4 Comprehensive evaluation system of dynamic adjustment topology limiting short-circuit current fast switch location decision
2.2.1 短路电流B1
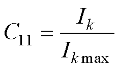
应用动态调整拓扑限制短路电流措施时,不同快速开关布点方案均以限制故障点短路电流为最终目的,一方面,考虑变电站短路电流超标时,为防止故障点短路电流超过断路器等电气设备的额定遮断容量,衡量采取不同快速开关布点方案的短路电流限制效果,短路电流越限可以表征采取限制措施后的短路电流裕度,量化短路电流限制效果;另一方面,考虑采取限制措施后故障点的抗扰动能力及网络关联强度,衡量故障点与网络间联系的紧密程度,可以用短路容量裕度表征。因此选取短路电流越限指标C11和短路容量裕度指标C12,分析采取该措施后的故障点短路电流限制情况。其定义如下。
1)短路电流越限指标C11
(1)
式中,
为采取动态调整拓扑限制短路电流措施后的故障点母线实际短路电流;
为故障点母线断路器最大关断电流。
短路电流越限指标C11值越小,则代表该布点方案的短路电流限制效果越好。
2)短路容量裕度指标C12
(2)
式中,
为故障点短路容量控制上限,其值小于断路器最大遮断容量;
为采取动态调整拓扑限制短路电流措施后故障点的短路容量。
考虑采取动态调整拓扑限制短路电流措施时尽量不破坏网络关联强度[26],因此短路容量裕度指标越小,则代表采取该布点方案后的故障点与网络之间联系的完整性与紧密性越好。
2.2.2 暂态稳定B2
根据GB 38755—2019《电力系统安全稳定导则》提出短路故障切除后,需校核系统暂态稳定性,确保发电机功角不超过临界值,电压恢复至允许范围内[27]。动态调整拓扑限制短路电流措施在故障发生后、限制措施动作恢复前,改变了系统的拓扑结构,对系统的暂态稳定性造成一定的影响[15]。因此选取发电机的最大功角差指标C21和电压安全裕度指标C22,反映采取措施后系统的同步稳定性和电压稳定性。其定义如下:
1)发电机最大功角差指标C21
(3)
式中,
为区域内发电机集合;
为发电机
最大功角差对应的权重因子;
、
为区域内的任意两台发电机的功角。
通过加权计算区域内所有关键发电机的最大功角差,综合评估系统在拓扑调整期间的暂态功角稳定性。发电机最大功角差指标C21值越大,表明发电机的同步运行能力越差,暂态失稳风险越高。
2)电压安全裕度指标C22
(4)
式中,
为监视母线电压集;
为母线
对应的权重因子;
为母线
暂态电压跌落的承受范围。
通过加权求和所有关键母线的电压跌落承受范围,综合评估系统在拓扑调整期间的暂态电压稳定性。电压安全裕度指标C22值越大,表明系统在动态调整过程中电压稳定性越强。
2.2.3 静态安全B3
GB 38755—2019《电力系统安全稳定导则》提出短路故障切除后,需对系统进行静态安全校核,确保电压偏差不超过±10%,线路负载率不超过100%[27]。我国电力行业标准DL/T 1234—2013《电力系统安全稳定计算规范》提出静态安全分析应覆盖故障后运行方式,重点校核关键母线电压和关键线路的传输容量[28]。
动态调整拓扑限制短路电流措施通过快速开关的投入在故障期间短时改变系统拓扑,能有效降低故障点短路电流水平,而故障后系统稳态拓扑与系统故障前正常稳态拓扑是否一致需针对具体的故障情况做进一步分析。为衡量采取该限制措施后对故障后系统稳态运行方式下的安全稳定性的影响,确保其没有带来新的安全隐患,如因拓扑变化潮流转移导致线路过载、母线电压越限的情况,需对系统静态安全进行分析。
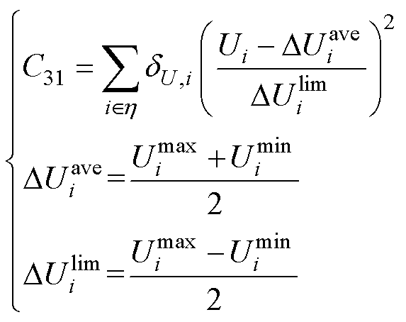
因此为评估故障后母线电压的偏差率,量化故障后系统稳态运行方式下关键线路或变压器的负载率,选取系统母线电压越限指标C31和元件过负荷指标C32衡量采取措施后的系统静态安全。
1)母线电压越限指标C31
(5)
式中,
为区域内母线集合;
为区域内母线i电压越限对应的权重因子;
为母线
的电压幅值,
、
分别为其上、下限。
母线电压越限指标C31量化了故障后的母线电压偏离安全范围的加权平方和。该值越小,表明该布点方案下各线路母线电压越限的情况越少,且因电压越限导致的设备损坏或负荷失稳可能性越小。
2)元件过负荷指标C32
(6)
式中,
为线路或变压器支路集合;
为线路i的权重因子;
、
分别为变压器支路i的有功功率和其额定容量。
元件过负荷指标C32量化支路负载率偏离额定容量的加权平方和。该值越小,表明该布点方案下各元件负载率超出额定容量的情况越少,因过载导致的设备损坏或连锁故障的可能性越小。
2.2.4 供电可靠性B4
电力系统安全校核中,电网的连通性检验是重要环节[28]。采用动态调整拓扑限制短路电流措施,为恢复停运线路且最大限度保持原有电网拓扑结构完整创造了条件,确保电网更大范围内的连通,有利于提高故障后系统的可靠性。
孤立点是指失去与上一电压等级母线或发电厂联系的母线,节点连通量代表了系统中不同的连通量个数和与之对应的节点数量乘积之和,反映了各节点与相邻节点间的连接数量。对于系统中的各节点,与之相连的其他节点数量越多,孤立点越少,其可靠性越高。研究连通性和孤立点,对于电网规划和运行阶段快速开关布点决策具有较强的参考意义[14]。
考虑到不同快速开关的布点方案下对系统拓扑的恢复情况的不同,需要评估采取动态调整拓扑限制措施后对供电可靠性的影响。
因此选取系统在拓扑调整后的孤立点数量指标C41及节点连通量指标C42,量化表征快速开关布点方案下的电网连通性,以电网连通性的变化来分析采取该限制措施对系统可靠性的影响。
1)孤立点数量指标C41
(7)
式中,
为失去与上一电压等级母线或发电厂联系的母线。
孤立点数量指标C41直接反映了采取该限制措施后的孤立点的数量。该值越小,表明系统中失去与上级电压等级母线或发电厂联系的母线越少。
2)节点连通量指标C42
(8)
式中,
为系统不同的连通量个数的集合;
为连通量个数;
为采用措施后对应的连通量个数的节点数量。
节点连通量指标C42量化了采取该限制措施后的系统各节点间联系的紧密程度。该值越大,表明系统中各节点与相邻节点间联系越紧密。
2.2.5 实施费用B5
为衡量快速开关布点方案的经济性,满足电力系统安全可靠优质经济运行的要求。一方面,考虑快速开关设备装置的初始投资的成本、利率及快速开关装置的寿命周期,将一次性投资分摊成年度成本,高效、实时筛选经济性较优的快速开关布点方案[29];另一方面,快速开关加装位置通过影响系统的运行方式,进而改变系统的网损[24, 26]。
因此选取快速开关设备等年值投资费用指标C51及实施运行网损指标C52,量化快速开关布点方案下的设备投资费用及系统网损的增量,进而评估快速开关布点方案的实施费用。
1)快速开关设备等年值投资费用指标C51
(9)
式中,
为所需投入的快速开关集合;
为快速开关设备i的投资单价;
为设备的经济使用年限;
为贴现率。
快速开关设备等年值投资费用指标C51越大,表明该快速开关布点方案下的快速开关装置设备投资费用越高。
2)实施运行网损指标C52
(10)
式中,
为发电机的输出功率;
为电网的总负载。
实施运行网损指标C52数值越大,表明该快速开关布点方案下的网损增加量越大,运行效率和经济性越差。
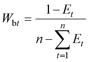
主观赋权法依据行业内专家的专业知识及相关经验设定评价体系中各指标的权重,得出的结果与系统运行的基本经验较为符合,对不同的决策环境和需求具有一定的灵活性。客观赋权法通过对数据进行量化分析评估评价体系中各指标的重要性,更真实地反映出系统的实际情况。本文对构建的综合评价体系中各指标的定性信息与定量信息进行整合,使评价指标的权重更加合理、全面且科学[30]。
AHP-熵权法的赋权步骤如下:
1)确定指标体系的主观权重矩阵
。通过问卷调查征求6名电力系统安全稳定运行领域的专家意见,并对6名专家意见进行统一,确定指标体系中n个指标的主观权重
,其中
为第t个指标的主观权重值。
2)指标数据归一化。将指标原始数据进行转化,对越大越优及越小越优指标进行归一化处理。
越大越优型指标归一化
(11)
越小越优型指标归一化
(12)
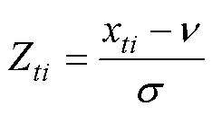
3)确定标准化后的样本矩阵
。利用熵权法计算指标的客观权重时,建立指标的初始评价矩阵,对初始评价矩阵使用Z-score方法进行标准化处理,得到标准化后的样本矩阵。
Z-score标准化方法为
(13)
式中,
为第t个指标的第i个原始数据标准化后的数据值,
,
,
为布点方案个数;xti为第t个指标的第i个原始数据;
为第t个指标的原始数据集的平均值;
为第t个指标的原始数据集的标准差。
4)确定指标信息熵。计算第t个指标的信息熵
(14)
式中,
为
归一化后的值;
为第t个指标的信息熵。
若
,则定义
。
5)确定指标体系的客观权重矩阵
。计算第t个指标的客观权重值为
(15)
得到快速开关布点决策指标体系的客观权重
,其中
为第t个指标的客观权重值。
6)确定指标体系的综合权重矩阵
。将AHP-熵权法得到的主客观权重相结合,确定指标体系的综合权重矩阵
,其中
为第t个指标的综合权重值。
AHP-熵权法的权重评估计算方法为
(16)
云模型可以被用来处理定性概念与定量描述之间不确定性的转换,可以在不损失原始数据信息的前提下,实现高效的聚类分析[31-32]。
云模型的基本数学表达如下:记U为定量论域,K是描述U特征的定性概念。设论域U中关于定性概念K的一次随机实现为u,对于任何一个
,均存在u隶属于K的确定性程度函数为
,即u对K的隶属度,且
。论域U上u的分布形成类似于云分布的形状称作云,
称为云滴[33-34]。
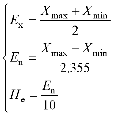
云分布图使用期望值Ex、熵En、超熵He三个数字特征描述问题的模糊性与随机性之间的联系。Ex反映了云滴的分布中心,是定量论域中最能代表定性概念的值;En反映了云滴分散的程度,其值代表了评价结果的可信度,表征定性概念的模糊程度和随机波动范围;He反映了云滴的凝聚程度,其值代表了评价结果的稳定性。云分布示意图如图5所示。
图5 云分布示意图
Fig.5 Cloud distribution diagram
云模型通过云发生器实现定性概念与定量数值之间的转化。云发生器分为正向云发生器和逆向云发生器。正向云发生器将云分布图的三个数字特征转换为云滴对应的坐标值,实现定性概念的定量表达。逆向发生器通过分析定量数值并提取其特征值,进而确定云模型的三个数字特征,实现定量数值到定性概念的转换。正、逆向云发生器流程如图6所示。
考虑到快速开关布点决策综合评价过程中对定量指标值进行定性评价时的模糊性与随机性,引入云理论评价模型进行快速开关布点决策综合评价,能够克服模糊评价的不确定性,增强快速开关布点决策综合评价方法的工程适用性[24, 35]。
图6 正、逆向云发生器流程
Fig.6 Flow chart of positive and negative cloud generator
本文使用正向云发生器构建标准云模型,通过论域的边界值隶属度相等来表示评价论域,具体步骤如下:
1)获取云模型特征参数。云模型的数字特征参数(
)具体计算公式为
(17)
式中,
、
分别为当前指标各评价等级划分标准对应的上、下限。
目前对于动态调整拓扑限制短路电流快速开关布点方案的决策综合评价等级划分并无统一规定,因而本文参考GB 38755—2019《电力系统安全稳定导则》并多轮征集电力系统安全稳定运行领域专家经验,划分快速开关布点决策综合评价等级
。基于云理论结合式(17)量化各评价指标,按照表1计算各指标所对应划分等级的云模型特征参数(
)。
表1中,
中相应的快速开关布点方案应对措施分别为优先安排实施、推荐实施、可以实施及不推荐实施。
2)构建各指标的标准评价云模型。利用正向云发生器对各评价指标建立四等级标准云模型。根据划分的快速开关布点决策综合评价等级区间,得出快速开关布点决策综合评价标准云图。以某指标为例,其对应的标准评价云图如图7所示。
3)计算指标隶属不同等级的云关联度。第t个指标隶属第v个评价等级的云关联度
具体计算公式为
表1 等级云模型特征参数计算方法
Tab.1 The method for digital feature parameters of hierarchical cloud model
等级等级区间云模型特征参数 ExEnHe 优秀V1 良好V2 一般V3 差V4
图7 标准评价云图
Fig.7 Standard evaluation cloud
(18)
式中,
为第t个指标隶属第v个评价等级的参数值(以
为期望、
为方差的正态随机数);
为以
为期望、
为方差的正态随机数。
4)确定快速开关布点决策综合评价矩阵
。依次计算各指标隶属不同评价等级的云关联度
,将各指标的云关联度
进行组合得到快速开关布点决策综合评价矩阵
为
(19)
式中,
为快速开关布点综合评价指标个数;
、
、
、
分别为第
个指标对应所划分的四个快速开关布点决策综合评价等级的云关联度。
基于云模型的动态调整拓扑限制短路电流快速开关布点决策综合评价流程如下:
(1)确定快速开关布点方案集。
(2)根据相关标准,构建快速开关布点决策综合评价指标体系。
(3)根据式(1)~式(10)计算各指标定量值。
(4)利用AHP确定指标体系的主观权重矩阵
。
(5)利用熵权法确定指标体系的客观权重矩阵
。
(6)根据式(16)计算指标体系的综合权重矩阵
。
(7)获取云模型特征参数。
(8)利用正向云发生器构建各指标的标准评价云模型。
(9)根据式(18)依次计算各指标隶属不同评价等级的云关联度
,确定快速开关布点决策综合评价矩阵
。
(10)确定快速开关布点方案的加权隶属度
。结合指标体系的综合权重矩阵
与快速开关布点决策综合评价矩阵
,采用加权法[29]得出当前方案所对应评价等级下的加权隶属度
,具体计算公式为
(20)
(11)根据最大隶属度原则,确定当前方案的评价等级,形成动态调整拓扑限制短路电流快速开关布点决策综合评价结果。
综合评价流程如图8所示。
本文以某区域内110 kV电网的相关数据为例验证动态调整拓扑限制短路电流快速开关布点决策综合评价方法的有效性。此区域变电站1、2、3、4、5均为330 kV变电站,变电站7、8、9、10、11、12、13、14、15均为110 kV变电站,该区域系统结构如图9所示,需要指出的是,节点6为330 kV变电站1的110 kV侧,为表征其与其他节点间的电气连接关系,将其作为一个110 kV节点在系统结构上分列出。
330 kV变电站1已投运3台主变压器,110 kV侧采用双母线双分段接线形式,正常接排方式下副母Ⅱ段不接主变压器,由于该区域内网架结构存在环网导致系统等值阻抗值比较小,且该区域电力负荷密度大,变电站1的110 kV侧短路电流水平超标,正常运行方式下,变电站1的110 kV侧母线三相短路电流达到40.47 kA,超出了该母线常规断路器的遮断范围,短路电流水平超标,考虑通过126型快速开关动态调整系统拓扑措施限制变电站1的110 kV侧短路电流。
图8 快速开关布点决策综合评价流程
Fig.8 Comprehensive evaluation process of fast switch distribution decision-making
图9 某区域110 kV电网系统结构
Fig.9 The structure of 110 kV power grid system in a certain area
针对上述系统结构和短路电流超标现状,在电磁暂态仿真软件ADPSS/ETSDAC上建立系统电气结构模型,研究不同的快速开关布点方案下的短路电流限制效果及对系统的影响因素。变电站1的正母Ⅰ段故障时,3条主变支路与变电站9的两条出线提供短路电流均大于5 kA,其他支路提供的短路电流值较小,均在1 kA左右。
采用动态调整拓扑限制短路电流措施时,依据文中给出的双母线双分段接线方式下快速开关的三种布点方案形成布点方案集,对应图10中三种快速开关的安装位置。
方案1:装设在正、副母线分段开关处,故障点短路电流降至26.096 kA。
方案2:装设在两侧母联开关处,故障点短路电流降至33.840 kA。
方案3:装设在短路电流贡献最大支路出线处,即变电站1与变电站9的联络线上,故障点短路电流降至37.396 kA。
图10 快速开关布点方案
Fig.10 Fast switch location scheme diagram
上述三种快速开关布点方案各对应的综合评价指标计算结果见表2。
表2 快速开关布点决策的综合评价指标计算数据
Tab.2 Comprehensive evaluation index calculation data of fast switch location decision-making
评价指标方案1方案2方案3 C110.650.850.93 C120.260.160.08 C217.615.526.38 C221.401.041.13 C31123.03122.88128.10 C321.6611.5511.70
(续)
评价指标方案1方案2方案3 C41001 C42115115117 C5126.2926.2913.15 C5292.2593. 8692.06
本文选取主客观权重系数将主观权重与客观权重进行融合。通过征求并统一六名电力系统安全稳定运行领域专家的意见,转化并计算综合评价指标值,因更侧重于专家对指标权重的主观决策,选取权重系数
。根据式(16)计算评价指标综合权重
,评价指标权重计算结果见表3。
利用正向云发生器对评价体系中的所有评价指标建立四等级标准云模型。根据表1所述等级云模型特征参数计算方法,计算该短路电流超标区域的快速开关布点决策综合评价指标的云模型特征参数,见表4。
表3 10项二级评价指标的主观赋权与客观赋权结果
Tab.3 The results of subjective weighting and objective weighting of 10 secondary evaluation indexes
权重类别主观权重客观权重综合权重 C110.397 50.104 00.280 1 C120.045 90.309 80.151 5 C210.184 00.195 90.188 8 C220.080 40.088 10.083 5 C310.109 80.049 80.085 8 C320.080 40.049 40.068 0 C410.051 30.049 30.050 5 C420.022 10.049 30.033 0 C510.013 30.049 30.027 7 C520.019 30.055 20.033 7
结合该区域采取不同快速开关布点方案下的运行数据,根据式(18)依次计算当前方案下各指标隶属不同评价等级的云关联度,以方案1为例,具体云关联度见表5,方案2、方案3下各指标隶属不同评价等级的云关联度详见附录。
表4 各指标等级云模型特征参数
Tab.4 The digital feature parameters of hierarchical cloud model of each index
评价指标等级区间 优秀V1良好V2一般V3差V4 C11(0.615, 0.046 7, 0.004 7)(0.725, 0.046 7, 0.004 7)(0.835, 0.046 7, 0.004 7)(0.945, 0.046 7, 0.004 7) C12(0.1, 0.042 5, 0.004 3)(0.2, 0.042 5, 0.004 3)(0.3, 0.042 5, 0.004 3)(0.4, 0.042 5, 0.004 3) C21(4.25, 1.061 6, 0.106 2)(6.75, 1.061 6, 0.106 2)(9.25, 1.061 6, 0.106 2)(11.75, 1.061 6, 0.106 2) C22(1.35, 0.042 5, 0.004 3)(1.25, 0.042 5, 0.004 3)(1.15, 0.042 5, 0.004 3)(1.05, 0.042 5, 0.004 3) C31(122, 0.849 3, 0.085 0)(124, 0.849 3, 0.085 0)(126, 0.849 3, 0.085 0)(128, 0.849 3, 0.085 0) C32(3.75, 2.123 1, 0.212 3)(8.75, 2.123 1, 0.212 3)(14.25, 2.123 1, 0.212 3)(19.75, 2.123 1, 0.212 3) C41(0.25, 0.212 3, 0.021 2)(0.75, 0.212 3, 0.021 2)(1.25, 0.212 3, 0.021 2)(1.75, 0.212 3, 0.021 2) C42(118, 1.698 5, 0.169 9)(114, 1.698 5, 0.169 9)(110, 1.698 5, 0.169 9)(106, 1.698 5, 0.169 9) C51(8.125, 2.653 9, 0.265 4)(14.375, 2.653 9, 0.265 4)(20.625, 2.653 9, 0.265 4)(26.875, 2.653 9, 0.265 4) C52(91, 0.849 3, 0.085 0)(93, 0.849 3, 0.085 0)(95, 0.849 3, 0.085 0)(97, 0.849 3, 0.085 0)
表5 方案1评价指标云关联度
Tab.5 The evaluation index cloud correlation degree of scheme 1
影响因素二级指标云关联度 优秀V1良好V2一般V3差V4 短路电流C110.793 10.344 90.001 50 C120.002 90.439 60.694 00.011 4 暂态稳定C210.016 00.763 10.372 40.001 9 C220.583 30.006 400
(续)
影响因素二级指标云关联度 优秀V1良好V2一般V3差V4 静态安全C310.541 70.586 30.006 50 C320.669 10.009 900 供电可靠性C410.563 70.005 800 C420.275 50.866 60.027 90 实施费用C5100.000 20.152 20.980 1 C520.408 60.724 60.013 10
根据式(20)由指标体系的综合权重矩阵
与快速开关布点决策综合评价矩阵
计算得出方案1对应评价等级
的加权隶属度矩阵为R1=[0.416 7 0.412 1 0.182 0 0.029 2]。同理,方案2和方案3对应评价等级
的加权隶属度矩阵分别为R2=[0.264 6 0.353 8 0.332 5 0.159 3]、R3=[0.226 9 0.302 1 0.208 8 0.375 1]。三种快速开关布点方案对应评价等级
下的加权隶属度如图11所示。
图11 快速开关布点决策方案的加权隶属度比较
Fig.11 Comparison of weighted membership degree of fast switch location decision scheme
根据最大隶属度原则,快速开关布点方案1、方案2和方案3综合评价等级分别对应优秀、良好和差。根据评价等级
相应的快速开关布点方案应对措施,当该区域通过110 kV快速开关动态调整系统拓扑限制变电站1的超标短路电流时,应优先安排实施方案1,推荐实施方案2,不推荐实施方案3。
对上述各方案评价结果分析可知,快速开关加装在变电站1母分开关处的短路电流限制效果最佳,系统暂态稳定、静态安全指标相对较好,且快速开关动作后,Ⅰ段、Ⅱ段母线分列运行,正母Ⅱ段和副母Ⅱ段通过母联开关相连接,因此不会导致部分厂站的失电,确保了系统运行的供电可靠性。快速开关加装在变电站1与变电站9的供区联络线上时,由于110 kV系统各线路支路所提供短路电流相对较小,短路电流限制效果不佳;快速开关动作后,由于发电机3的电力供给,避免了因线路快速开关解列时造成的变电站短时失电,因此该布点位置的系统供电可靠性最佳。综上所述,根据综合评价结果完成快速开关布点方案的比选,确定方案1为最佳实施方案。该方案在有效限制该区域短路电流的同时,能够实现系统暂态稳定、静态安全、供电可靠性与实施费用的最优综合效果。
针对动态调整拓扑限制短路电流措施缺乏相适应的快速开关布点决策综合评价方法问题,本文采用先方案形成、后方案评价的思路,构建了快速开关布点决策综合评价体系,进一步建立了基于云模型的动态调整拓扑限制短路电流快速开关布点决策综合评价方法,并通过该综合评价方法对某区域实际电网的快速开关布点方案进行比选。本文研究得出结论如下:
1)构建的快速开关布点决策综合评价体系在确保短路电流限制效果的同时,综合考虑了系统的暂态稳定、静态安全、供电可靠性及实施费用的影响,使布点方案决策更加全面合理、有利于电网自身的发展。
2)利用主客观组合赋权法中的AHP-熵权法对综合评价体系中各指标赋权,在考虑了专家经验及对实际重要指标侧重的同时,降低了主观随意性,确保了各指标权重的合理性与可靠性。
3)基于云理论构建了快速开关布点决策综合评价模型,并给出了各指标评价等级的量化标准及方法,克服了综合评价过程中定量指标值进行定性评价时及评价等级边界间的模糊性与随机性,提高了该综合评价方法的工程适用性。
4)建立的快速开关布点决策综合评价方法通过计算布点方案在各评价等级下的加权隶属度及最大隶属度原则,实现快速开关布点方案集的定量决策。经过实测数据仿真结果表明,本文所提模型与方法能够直观地给出各布点方案的综合评价结果及排序,并给出相应的措施建议,为动态调整拓扑限制短路电流快速开关布点的决策和应用提供依据。
附 录
方案2下各指标隶属不同评价等级的云关联度见附表1。方案3下各指标隶属不同评价等级的云关联度见附表2。
附表1 方案2评价指标云关联度
App.Tab.1 The evaluation index cloud correlation degree of scheme 2
影响因素二级指标云关联度 优秀V1良好V2一般V3差V4 短路电流C1100.052 00.958 30.181 2 C120.439 60.694 00.011 40 暂态稳定C210.553 60.574 10.006 10 C22000.058 80.971 7 静态安全C310.644 80.484 50.003 70 C320.003 80.487 60.512 30.002 1 供电可靠性C410.56370.005 800 C420.275 50.866 60.027 90 实施费用C5100.000 20.152 20.980 1 C520.009 20.654 70.475 00.003 5
附表2 方案3评价指标云关联度
App.Tab.2 The evaluation index cloud correlation degree of scheme 3
影响因素二级指标云关联度 优秀V1良好V2一般V3差V4 短路电流C1100.000 40.181 20.958 3 C120.912 70.037 400 暂态稳定C210.188 00.952 30.049 30 C2200.032 60.893 20.249 8 静态安全C3100.000 10.080 10.994 4 C320.003 00.449 60.551 70.0026 供电可靠性C410.005 80.563 70.563 70.005 8 C420.866 60.275 50.000 90 实施费用C510.227 30.915 70.037 70 C520.525 40.602 80.007 10
参考文献
[1] 段雄英, 李金金, 谢为赢, 等. 阻性隔板液态金属限流器设计与限流特性分析[J]. 电工技术学报, 2023, 38(17): 4779-4786.
Duan Xiongying, Li Jinjin, Xie Weiying, et al. Design and current limiting characteristic analysis of resistive wall liquid metal current limiter[J]. Transactions of China Electrotechnical Society, 2023, 38(17): 4779- 4786.
[2] 邓步青, 文云峰, 于琳琳, 等. 限流器配置与网架结构优化协同的受端电网短路电流抑制策略[J]. 电力系统自动化, 2024, 48(9): 151-161.
Deng Buqing, Wen Yunfeng, Yu Linlin, et al. Short- circuit current suppression strategy for receiving-end power grid based on coordination of current limiter configuration and network structure optimization[J]. Automation of Electric Power Systems, 2024, 48(9): 151-161.
[3] 马奎, 王曙鸿, 姚晓飞. 110 kV变阻抗变压器短路电流首峰值限制方法[J]. 电工技术学报, 2021, 36(增刊2): 723-729, 745.
Ma Kui, Wang Shuhong, Yao Xiaofei, et al. Limiting method of first peak of short-circuit current of 110 kV variable impedance transformer[J]. Transactions of China Electrotechnical Society, 2021, 36(S2): 723- 729, 745.
[4] 邱清泉, 肖立业, 张志丰, 等. 应用于谐振型限流器的双分裂铁心电抗器研究[J]. 电工技术学报, 2017, 32(3): 164-171.
Qiu Qingquan, Xiao Liye, Zhang Zhifeng, et al. Investigation of double-splitting iron reactor used in resonant type fault current limiter[J]. Transactions of China Electrotechnical Society, 2017, 32(3): 164-171.
[5] 王渝红, 杜婷, 廖建权, 等. 基于故障电流预测的柔性直流电网自适应限流策略[J]. 电力系统自动化, 2023, 47(20): 134-142.
Wang Yuhong, Du Ting, Liao Jianquan, et al. Adaptive current limiting strategy for flexible DC power grid based on fault current prediction[J]. Automation of Electric Power Systems, 2023, 47(20): 134-142.
[6] 李浩, 裴翔羽, 李泽文, 等. 具备故障电流限制能力的多端口直流断路器[J]. 电工技术学报, 2023, 38(10): 2818-2831.
Li Hao, Pei Xiangyu, Li Zewen, et al. A multi-port DC circuit breaker with fault-current limiting capa- bility[J]. Transactions of China Electrotechnical Society, 2023, 38(10): 2818-2831.
[7] 李力, 李爱民, 吴科成, 等. 广东电网短路电流超标问题分析和限流措施研究[J]. 南方电网技术, 2009, 3(增刊1): 20-24.
Li Li, Li Aimin, Wu Kecheng, et al. Analysis of short- circuit current exceeding standard in Guangdong power grid and research on current limiting measures[J]. Southern Power System Technology, 2009, 3(S1): 20-24.
[8] 刘兵, 李勇, 奚江惠, 等. 3/2接线变电站拉停断路器短路电流限制措施分析[J]. 电力系统自动化, 2014, 38(12): 131-135.
Liu Bing, Li Yong, Xi Jianghui, et al. Analysis of pulling switch to limit short-circuit current in 3/2 wiring substation[J]. Automation of Electric Power Systems, 2014, 38(12): 131-135.
[9] 郑健超. 故障电流限制器发展现状与应用前景[J].中国电机工程学报, 2014, 34(29): 5140-5148.
Zheng Jianchao. Current status and application prospect of fault current limiters[J]. Proceedings of the CSEE, 2014, 34(29): 5140-5148.
[10] Abramovitz A, Smedley K M. Survey of solid-state fault current limiters[J]. IEEE Transactions on Power Electronics, 2012, 27(6): 2770-2782.
[11] 韩彬, 陈维江, 常乃超, 等. 基于系统拓扑动态调整的短路电流限制方法研究[J]. 电网技术, 2021, 45(3): 1158-1166.
Han Bin, Chen Weijiang, Chang Naichao, et al. Short- circuit current limitation based on dynamic adjust- ment of system topology[J]. Power System Tech- nology, 2021, 45(3): 1158-1166.
[12] 钟建英, 陈刚, 谭盛武, 等. 高压开关设备关键技术及发展趋势[J]. 高电压技术, 2021, 47(8): 2769- 2782.
Zhong Jianying, Chen Gang, Tan Shengwu, et al. Key technology and development trend of high-voltage switchgear[J]. High Voltage Engineering, 2021, 47(8): 2769-2782.
[13] 杨勇, 张弛, 徐华, 等. 采用220kV快速开关的柔性短路电流抑制技术与工程实践[J]. 浙江电力, 2021, 40(4): 82-88.
Yang Yong, Zhang Chi, Xu Hua, et al. Flexible short- circuit current suppression technology based on 220kV fast switch and the engineering practice[J]. Zhejiang Electric Power, 2021, 40(4): 82-88.
[14] 郄鑫, 胡杰, 韩彬, 等. 基于图论的动态调整拓扑限制短路电流措施对系统可靠性影响研究[J]. 电网技术, 2024, 48(1): 334-345.
Xi Xin, Hu Jie, Han Bin, et al. Study on the influence of short-circuit current limitation measures by dynamic adjustment of topology on system reliability based on graph theory[J]. Power System Technology, 2024, 48(1): 334-345.
[15] 韩奕, 陈维江, 韩彬, 等. 基于系统拓扑动态调整的短路电流抑制措施对系统暂态功角稳定性的影响研究[J]. 电网技术, 2023, 47(5): 2069-2077.
Han Yi, Chen Weijiang, Han Bin, et al. A study on the influence of short-circuit current suppression measures based on system topology dynamic adjustment on system transient power angle stability[J]. Power System Technology, 2023, 47(5): 2069-2077.
[16] 郄鑫, 韩彬, 金玉琪, 等. 动态调整系统拓扑限制短路电流的配置方案及控制策略研究[J]. 电网技术, 2024, 48(1): 325-334.
Qie Xin, Han Bin, Jin Yuqi, et al. Configuration scheme and control strategy of short-circuit current limiting by dynamic adjustment of system topology[J]. Power System Technology, 2024, 48(1): 325-334.
[17] 申屠磊璇, 华文, 杨滢, 等. 220 kV快速开关的布点原则及校核方法研究[J]. 浙江电力, 2023, 42(3): 55-63.
ShenTu Leixuan, Hua Wen, Yang Ying, et al. Study on the deployment principle and checking method of 220 kV fast switches[J]. Zhejiang Electric Power, 2023, 42(3): 55-63.
[18] 毕皓淳, 祁琪, 刘向军, 等. 计及5G基站运行协同的分布式储能优化配置方法[J]. 电工技术学报, 2024, 39(21): 6819-6833.
Bi Haochun, Qi Qi, Liu Xiangjun, et al. An optimal configuration method for distributed energy storage considering coordinated operation of 5G base station[J]. Transactions of China Electrotechnical Society, 2024, 39(21): 6819-6833.
[19] 李阳, 沈小军, 杨伟新, 等. 基于运行数据的风电场风速传感器运行品质评价方法及应用[J]. 电工技术学报, 2024, 39(13): 4188-4203.
Li Yang, Shen Xiaojun, Yang Weixin, et al. An operation quality evaluation method and its appli- cations for wind speed sensors of wind farms based on operation data[J]. Transactions of China Electro- technical Society, 2024, 39(13): 4188-4203.
[20] 李少岩, 任乙沛, 顾雪平, 等. 基于短路电流约束显式线性建模的输电网结构优化[J]. 电工技术学报, 2020, 35(15): 3292-3302.
Li Shaoyan, Ren Yipei, Gu Xueping, et al. Optimi- zation of transmission network structure based on explicit linear modeling of short circuit current constraints[J]. Transactions of China Electrotechnical Society, 2020, 35(15): 3292-3302.
[21] 黄磊, 鲍颜红, 杨君军, 等. 满足安全稳定要求的限制短路电流在线辅助决策方法[J]. 南方电网技术, 2021, 15(1): 69-75.
Huang Lei, Bao Yanhong, Yang Junjun, et al. On-line decision-making method for limiting short-circuit current to meet the requirements of safety and stability[J]. China Southern Power Grid Technology, 2021, 15(1): 69-75.
[22] 应林志, 刘天琪, 王建全, 等. 基于改进蚁群优化限制短路电流的网架调整措施[J]. 电力系统自动化, 2018, 42(1): 144-150.
Ying Linzhi, Liu Tianqi, Wang Jianquan, et al. Adjustment for power grid configuration to limit short circuit current based on improved ant colony opti- mization[J]. Automation of Electric Power Systems, 2018, 42(1): 144-150.
[23] 刘文颖, 但扬清, 朱艳伟, 等. 基于电力系统分析综合程序的限流方案综合评价方法[J]. 电网技术, 2011, 35(8): 150-154.
Liu Wenying, Dan Yangqing, Zhu Yanwei, et al. A power system analysis software package based comprehensive evaluation method for short-circuit current limitation strategy[J]. Power System Tech- nology, 2011, 35(8): 150-154.
[24] 李名科, 钟锦星, 薛琰, 等. 基于非对称贴近度的电网短路电流限制方案决策方法[J]. 电气传动, 2024, 54(1): 75-82.
Li Mingke, Zhong Jinxing, Xue Yan, et al. Decision method of short-circuit current limiting scheme of power networks based on asymmetric closeness[J]. Electric Drive, 2024, 54(1): 75-82.
[25] 周启文, 朱炳铨, 刘云飞, 等. 基于拓扑动态调整的分段接线故障限流控制方案[J]. 浙江电力, 2022, 41(10): 57-63.
Zhou Qiwen, Zhu Bingquan, Liu Yunfei, et al. A fault current limiting control scheme for sectionalized connection mode based on dynamic topology adjust- ment[J]. Zhejiang Electric Power, 2022, 41(10): 57-63.
[26] 杨冬, 周勤勇, 刘玉田. 基于灵敏度分析的限流方案优化决策方法[J]. 电力自动化设备, 2015, 35(5): 111-118.
Yang Dong, Zhou Qinyong, Liu Yutian. Short circuit current limiting strategy optimization based on sensitivity analysis[J]. Electric Power Automation Equipment, 2015, 35(5): 111-118.
[27] 国家市场监督管理总局, 国家标准化管理委员会. GB 38755—2019电力系统安全稳定导则[S]. 北京: 中国标准出版社, 2019.
[28] 国家能源局. DL/T 1234—2013电力系统安全稳定计算技术规范[S]. 北京: 中国电力出版社, 2013.
[29] 高原. 考虑可靠性和经济性的中压配电网分段开关优化配置研究方法[J]. 电气自动化, 2023, 45(2): 88-90.
Gao Yuan. Research method for optimal configuration of segmented switches in medium voltage distribution network considering reliability and economy[J]. Electrical Automation, 2023, 45(2): 88-90.
[30] 竺炜, 尹军, 路广才, 等. 基于线路负载率特征的主网“源-网-荷”协调性评估[J]. 电网技术, 2022, 46(1): 265-273.
Zhu Wei, Yi Jun, Lu Guangcai, et al. Main grid source-grid-load coordination evaluation based on line load rate characteristics[J]. Power System Tech- nology, 2022, 46(1): 265-273.
[31] 孙琳韬, 王新环, 李学娟. 基于云模型的电压暂降严重度评估[J]. 电气工程学报, 2024, 19(2): 210-218. Sun Lintao, Wang Xinhuan, Li Xuejuan, et al. Evaluation of voltage sag severity based on cloud model[J]. Transactions of China Electrotechnical Society, 2024, 19(2): 210-218.
[32] 沈进昌, 杜树新, 罗祎, 等. 基于云模型的模糊综合评价方法及应用[J]. 模糊系统与数学, 2012, 26(6): 115-123.
Shen Jinchang, Du Shuxin, Luo Yi, et al. Method and application research on fuzzy comprehensive evaluation based on cloud mode[J]. Fuzzy Systems and Mathematics, 2012, 26(6): 115-123.
[33] 米伟铭, 叶鹏, 张明理, 等. 基于云模型的新型配电系统灵活性评估方法[J]. 电网技术, 2024, 48(6): 2532-2540.
Mi Weiming, Ye Peng, Zhang Mingli, et al. Novel flexibility evaluation for distribution systems based on cloud models[J]. Power System Technology, 2024, 48(6): 2532-2540.
[34] 倪涵艺, 曾飞, 孙国强, 等. 基于q-阶正交模糊数和云模型的配电自动化系统运行状态评估[J]. 电网技术, 2024, 48(11): 4690-4698.
Ni Hanyi, Zeng Fei, Sun Guoqiang, et al. Operation status evaluation of distribution automation system based on q-rung orthopair fuzzy number and cloud model[J]. Power System Technology, 2024, 48(11): 4690-4698.
[35] 杜江, 孙铭阳. 基于变权灰云模型的变压器状态层次评估方法[J]. 电工技术学报, 2020, 35(20): 4306- 4316.
Du Jiang, Sun Mingyang. Hierarchical assessment method of transformer condition based on weight- varying grey cloud model[J]. Transactions of China Electrotechnical Society, 2020, 35(20): 4306-4316.
A Comprehensive Evaluation Method Based on Cloud Models for Fast Switch Location Decision-Making in Short-Circuit Current Limitation Measures by Dynamic Adjustment of Topology
Abstract Fast switch location decision-making lacks a comprehensive evaluation method for short-circuit current limitation measures through dynamic topology adjustment. This paper proposes a cloud model-based comprehensive evaluation method for dynamic topology-adjusted short-circuit current limitation measures, grounded in the concept of scheme formation and evaluation.
Firstly, the location selection of fast switches in substations and lines under typical wiring modes is discussed. After determining the set of fast switch location scheme sets, a comprehensive evaluation system for fast switch location decision-making is established by combining relevant influencing factors under dynamic topology adjustment for short-circuit current limitation. This system encompasses five aspects: short-circuit current, transient stability, static security, power supply reliability, and implementation cost. Secondly, the Analytic Hierarchy Process-Entropy Weight method, which combines the subjective and objective factors, is used to determine the comprehensive weight matrix of the evaluation index system. Subsequently, a cloud theory-based evaluation model is constructed. The digital feature parameters of a hierarchical cloud model are obtained for each index corresponding to the grading level. Standard evaluation cloud models are then established, and the evaluation index of the cloud correlation degree is calculated. Accordingly, the comprehensive evaluation matrix is obtained. Then, the weighted membership degrees of each location scheme set across evaluation levels are calculated by combining the weight matrix and evaluation matrix. Following the maximum membership principle, the evaluation level of each location scheme is determined. Finally, simulations using operational data from a regional power grid in China validate the effectiveness of the proposed method.
The main contributions of this paper are as follows. (1) A comprehensive evaluation system for fast switch location decision-making is established, ensuring short-circuit current limitation effectiveness while holistically considering transient stability, static security, power supply reliability, and implementation costs. The proposed system enhances decision-making rationality and supports grid development. (2) The Analytic Hierarchy Process-Entropy Weight method reduces subjective bias. It ensures the rationality and reliability of indicator weights,considering both expert experience and the actual essential indicators. (3) Based on cloud theory and the quantitative criteria of each index evaluation grade,the comprehensive evaluation model can overcome the fuzziness and randomness between the quantitative index value and the evaluation grade boundary,improving the engineering applicability. (4) The simulation results demonstrate that the proposed model and method intuitively give the comprehensive evaluation results and ranking of each location scheme,which provides a basis for the decision-making and application of dynamic adjustment topology to limit the distribution of short-circuit current fast switches.
Keywords:Short-circuit current,comprehensive evaluation,fast switch location decision-making,topology adjustment,cloud model
中图分类号:TM712
DOI: 10.19595/j.cnki.1000-6753.tces.242361
国家自然科学基金项目(U2003110)和国网陕西省电力有限公司经济技术研究院科学技术项目(SGSNJY00GPJS2400036)资助。
收稿日期 2024-12-26
改稿日期 2025-04-04
刘家军 男,1967年生,教授,博士生导师,研究方向为电力系统控制与保护、电力系统安全评估等。
E-mail: liujiajun-88@163.com
王紫童 女,1999年生,硕士研究生,研究方向为短路电流。
E-mail: 1049914717@qq.com(通信作者)
(编辑 郭丽军)