摘要 针对传统LLC谐振变换器在宽电压范围应用中存在开关工作频率范围宽、整体效率较低等问题,该文提出一种多模态超宽输出双LLC谐振变换器。该变换器基于可变拓扑思想,通过一次侧半桥、全桥逆变切换以及二次侧桥式、倍压整流切换,构造出四种不同增益范围的工作模式,实现了超宽输出电压范围,所用开关管在全功率范围内均具有较好的软开关特性。为进一步提高工作效率,针对所提变换器设计一种脉冲频率调制与脉冲宽度调制相结合的混合控制策略。基于SiC开关器件,设计并搭建一台输出电压40~480 V,最大功率为480 W的原理样机,验证了所提变换器的可行性和有效性。
关键词:LLC谐振变换器 多模态 宽输出电压范围 双变压器
在全球能源危机背景之下,传统化石能源逐渐被以风能、太阳能为代表的新能源替代,风力发电、光伏发电以及电动汽车等新能源的生产和应用受到广泛关注[1-3]。由于风力发电、光伏发电具有波动性,电动汽车车型各式各样,充电标准各不相同,电池在深度放电时,电压下限可能降低至额定电压的30%以下[4],已经有CHAdeMO标准规定非车载充电机需要达到50~500 V的10倍输出电压范围。因此,需要针对宽范围、高效率DC-DC变换器展开研究。
LLC谐振变换器以其优越的软开关和电磁兼容特性,以及高效率、高功率密度等特点,在宽电压范围DC-DC变换器领域成为研究热点[5]。但传统的LLC变换器采用脉冲频率调制(Pulse Frequency Modulation, PFM),在宽电压范围应用时开关频率范围过宽,能达到的增益范围十分有限,且环流损耗大,导致变换器整体效率下降,限制了其应用范围[6]。为了在保持LLC变换器高效率的同时实现宽电压范围,国内外专家学者进行了多种改进研究。
文献[7]对传统LLC谐振变换器进行精确建模,通过峰值增益近似得到不同负载和开关频率下的最优电压增益曲线,从而达到电路的最大增益范围,但这种方法只能微调曲线范围,不能从本质上改变变换器的增益范围。文献[8-10]提出LLC谐振变换器的参数设计方法,通过对变换器的参数进行优化设计,提高了变换器的整体工作效率,但工作频率远离谐振频率时效率仍会显著下降。
文献[11]在全桥LLC谐振变换器的基础上增加了输入电容均分中点的双向开关,将变换器的增益范围拓宽为全桥LLC与半桥LLC的合集。文献[12]在变换器二次侧增加了有源开关管,将整流侧配置为倍压整流,变换器电压增益可拓宽为原来的2倍。文献[13-16]中给出了适合宽电压范围的多电平LLC结构,但是变换器仍采用变频控制,并且频率变化范围较大,不利于磁性元器件及滤波器设计与优化。在文献[17-20]中,脉宽调制(Pulse Width Modulation, PWM)和移相调制(Phase Shift Modulation, PSM)分别被应用于LLC谐振变换器,变换器恒定工作在谐振频率下,但存在轻载时失去软开关特性的问题。
在宽电压增益范围领域,拓扑可重构思想被广泛运用。通过适当增减器件、组合不同开关信号等方式,在现有拓扑的基础上构造多种不同增益范围的工作模态,从而实现更宽的增益范围。文献[21]通过检测开关频率大小来控制变换器分别工作在三相交错、全桥和半桥模态,加入三相模态后变换器能适应更高的输入电压,实现更宽的输入电压增益范围。文献[22]增加一个谐振回路,以较少的开关器件构造出四种工作模式,实现了6倍的电压增益范围,但单半桥模式非工作谐振腔存在较大电流,降低了变换器效率。文献[23]通过配置H5桥的开关模式,两个非对称LLC谐振回路可以在空闲、半桥、混合桥和全桥模式下工作,实现较窄频率范围下的超宽输出电压范围。文献[24]通过控制LLC逆变环节在全桥和半桥之间切换,二次侧整流环节通过增加开关管,配置为桥式整流、倍压整流切换,实现了较窄频率范围内7.5倍的超宽电压增益,但低压时整流管寄生电容会造成整流电流畸变、电压波动、效率降低。
鉴于此,本文提出了一种多模态超宽输出双LLC谐振变换器,通过控制开关管的工作状态,将四种具有不同增益的模式组合,实现了12倍的超宽输出电压范围,并且在全工作范围内具有较高的工作效率,所用开关管、二极管具有良好的软开关性能。由于碳化硅(Silicon Carbide, SiC)器件导通损耗小、散热性能好并且能满足现代电子对高功率和高压等要求,最后基于SiC器件搭建一台最大功率480 W,输出电压40~480 V的实验样机,仿真和实验表明,所提变换器能够实现超宽输出电压范围,且总体效率较高。
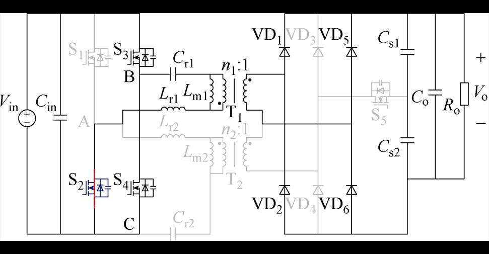
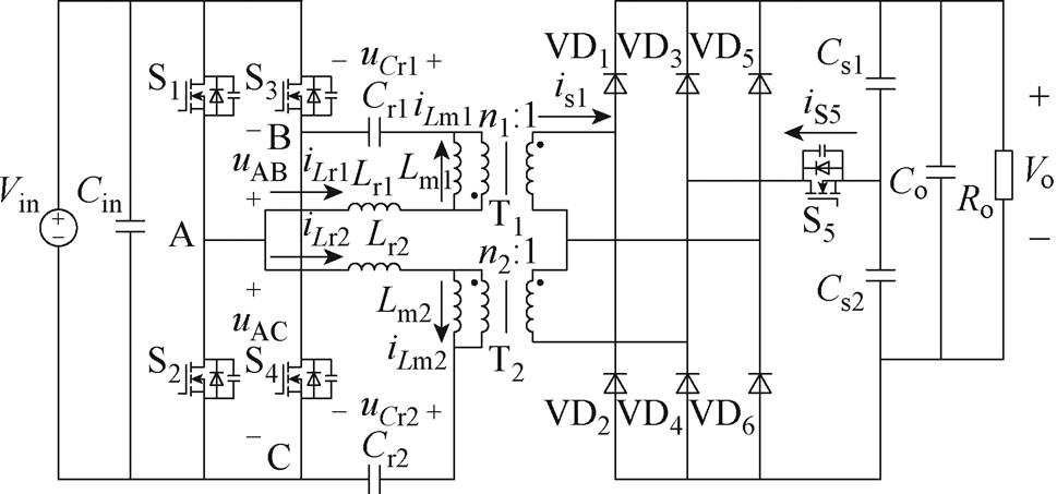
所提多模态超宽输出双LLC谐振变换器拓扑如图1所示。图1中,Vin为输入电压,开关管S1~S4构成一次侧全桥逆变电路,谐振电感Lr1、Lr2,谐振电容Cr1、Cr2和励磁电感Lm1、Lm2构成谐振腔1和谐振腔2;开关管S5、二极管VD1~VD6和隔直电容Cs1、Cs2构成二次侧整流电路;T1、T2为高频变压器,电压比分别为n1、n2;Cin为输入电容,Co为输出电容、Ro为负载。
图1 多模态超宽输出LLC谐振变换器拓扑
Fig.1 Variable-mode ultra-wide output voltage gain dual LLC resonant converter
所提LLC谐振变换器一次侧采用全桥逆变环节,通过调制4个有源开关S1~S4的驱动信号操作逆变环节;整流电路中通过控制开关管S5的占空比来改变桥式、倍压整流的占比。变换器分为四种工作模式,根据电压增益不同可分为:串联半桥(Series- Connected Half-Bridge, SCHB)模式、单半桥(Single Half-Bridge, SHB)模式、双半桥(Dual Half-Bridge, DHB)模式、混合桥(Mixed Bridge, MB)模式。本文将以增益由低到高顺序进行介绍。
1.2.1 串联半桥模式
串联半桥模式运行状态如图2所示,当开关管S1、S2和S5恒定关断,S3、S4以50%占空比互补导通时,变换器工作在串联半桥模式。此时两个谐振回路在一次侧串联,其输入端口BC两端电压是幅值为Vin的单极性方波uBC。在变换器二次侧,两变压器分别进行全桥整流,由于两变压器电压极性相反,流入连接点的电流方向相同,可以复用由二极管VD5、VD6构成的桥臂。其工作原理与半桥LLC谐振变换器类似,不再给出其关键工作波形。
图2 串联半桥模式运行状态
Fig.2 Operation state of the LLC converter in SCHB mode
1.2.2 单半桥模式
当开关管S1、S5保持关断,S2保持导通,S3、S4以50%占空比交替导通时,变换器工作在单半桥模式,其等效电路如图3所示。在该模式下变换器谐振腔2不进行能量传递,仅通过谐振腔1向二次侧传输能量,变换器二次侧构成全桥整流,该模式下变换器等效于传统的半桥LLC谐振变换器,由于原理简单,这里不再给出其关键工作波形。
图3 单半桥模式运行状态
Fig.3 Operation state of the LLC converter in SHB mode
1.2.3 双半桥模式
图4所示为双半桥模式下的等效电路,该模式下变换器开关管S3处于常断状态,S4保持导通,开关S1和S2以50%占空比交替导通。此时变换器两个谐振腔都以半桥模式工作,等效为两个一次侧并联、二次侧串联的半桥LLC谐振变换器,其工作原理与半桥LLC谐振变换器原理相同。
图4 双半桥模式运行状态
Fig.4 Operation state of the LLC converter in DHB mode
1.2.4 混合桥模式
图5为混合桥模式下变换器等效电路。该模式下开关管S1、S2以50%占空比交替导通,开关管S3以占空比D导通,且S4与S3互补导通,开关管S5在S1导通tdelay后导通,与S3同时关断。该模式下工作频率恒定不变,通过改变开关管S3、S4和S5的占空比,控制变换器输出电压变化。图中,uAB、uBC分别为谐振腔1和谐振腔2的端口电压,iLr1、iLr2分别为两谐振腔的谐振电流,iLm1、iLm2分别为两励磁电感的励磁电流,is1为二次电流,iS5为流过开关管S5的电流。
图5 混合桥模式运行状态
Fig.5 Operation state of the LLC converter in MB mode
图6为变换器的稳态工作波形,从图6中可知,变换器每个工作周期分为9个工作阶段。
图6 混合桥模式下电路稳态工作波形
Fig.6 Steady state waveforms of the LLC converter in MB mode
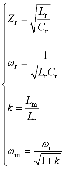
图7为每个阶段的电路模态。定义变换器的特征阻抗Zr、谐振角频率
、励磁电感参与谐振时的谐振角频率
和电感比k分别为
(1)
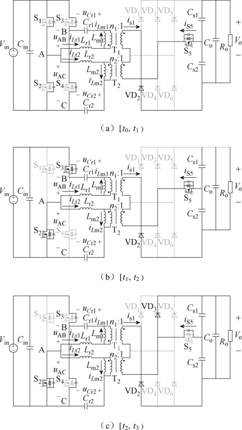
(1)阶段1 [t0, t1
:t0时刻前,开关管S1、S4和S5导通,谐振电流iLr1、iLr2为正,二次侧能量经过VD2和S5向负载供电。t0时刻,开关管S1、S4关断,励磁电流iLm1、iLm2线性减小,谐振电流iLr1、iLr2分别对开关管S1、S4和S2、S3的寄生电容进行充电和放电,当谐振腔1端口电压uAB由正变负时,谐振电流iLr1通过S2、S3的体二极管续流,为S2、S3的零电压开通做准备。


图7 混合桥模式下变换器工作阶段
Fig.7 Operating stages of the LLC converter in MB mode
(2)阶段2 [t1, t2
:t1时刻,S2、S3实现零电压软开关(Zero Voltage Switching, ZVS),两谐振腔发生串联谐振,谐振电流iLr1、iLr2快速减小,二次侧仍然经过S5和VD2向负载供电。
(2)
(3)阶段3 [t2, t3
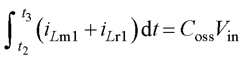
:t2时刻,开关管S3、S5关断,谐振电流iLr1、iLr2共同对开关管S3、S4的寄生电容充放电,谐振电流iLr1、iLr2线性减小,励磁电流iLm1、iLm2线性增大,二次电流is1对开关管S5的寄生电容充电。当谐振腔1电压uAB=0时,谐振电流iLr1通过开关管S4的体二极管续流,为开关管S4零电压开通做准备。
(4)阶段4 [t3, t4
:t3时刻,开关管S4实现ZVS导通,谐振电流iLr1、iLr2线性减小,励磁电流继续线性增大,二次电流is1线性下降。
(3)
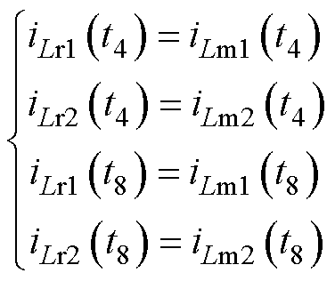
(5)阶段5 [t4, t5
:t4时刻,谐振电流iLr1、iLr2下降至与励磁电流iLm1、iLm2相等,此时二次电流is1降为0,二极管VD2、VD3实现零电流软开关(Zero Current Switching, ZCS)关断。励磁电感Lm1和Lm2上的钳位电压消失,一次侧谐振电感、谐振电容和励磁电感共同谐振,输出电压Vo由输出电容Co 维持。
(4)
(6)阶段6 [t5, t6
:t5时刻,开关管S2关断,谐振电流iLr1和iLr2共同对开关管S1、S2的寄生电容充放电,当uAB和uAC变为输入电压Vin时,谐振电流经过开关管S1的体二极管续流,为开关管S1零电压开通做准备。二次电流is1在该阶段经过二极管VD1和隔直电容Cs1对开关管S5的寄生电容放电。
(7)阶段7 [t6, t7
:t6时刻,开关管S1实现ZVS导通,两谐振腔端口电压uAB和uAC都变为输入电压Vin,励磁电流iLm1和iLm2线性上升,Lr1、Cr1和Lr2、Cr2串联谐振,谐振电流iLr1、iLr2开始以正弦趋势变化。经过时间tdelay后,开关管S5的寄生电容放电完成,此时二次电流is1经过S5的体二极管续流,为开关管S5实现ZVS开通创造条件。
(5)
(8)阶段8 [t7, t8
:t7时刻,开关管S5实现ZVS导通,励磁电流iLm1和iLm2继续线性上升,谐振电流iLr1、iLr2继续以正弦趋势变化。
(9)阶段8 [t8, t9]:t8时刻,谐振电流iLr1和iLr2与磁化电流iLm1和iLm2一致。Lm1和Lm2上的钳位电压消失,输出电压Vo由输出电容Co维持。二次电流逐渐减小到0,二极管VD1实现ZCS关断,t9时刻,变换器一个工作周期结束,进入下一个周期。
(6)
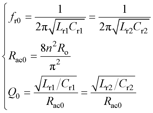
为简化分析,假设二次侧隔直电容足够大,其两端电压可视为恒定值。本文使用基波近似(First Harmonic Approximation, FHA)法分析变换器的电压增益。所提变换器的两个谐振回路完全相同,因此将其中一个谐振回路作为参考,定义谐振频率fr0、交流等效阻抗Rac0、品质因数Q0分别为
(7)
1)串联半桥模式
串联半桥模式下变换器的FHA等效电路如图8所示。该模式下变换器两个串联连接的变压器在一次侧可等效为一个变压器,其电压比等效为n= n1+n2,变压器一次电压基波分量的方均根值加倍。
图8 串联半桥模式下基波等效模型
Fig.8 FHA equivalent circuit in SCHB mode
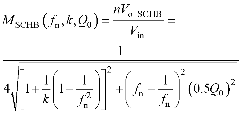
(8)
式中,Vo_SCHB为变换器在串联半桥模式下的输出电压。
由于两个谐振回路的等效交流电阻相等,可以得到该模式下的交流等效电阻Rac_SCHB和品质因数QSCHB分别为
(9)
(10)
并且该模式下谐振频率大小为fr0,可以简单推导出串联半桥模式下的电压增益表达式为
(11)
式中,fn为变换器的归一化频率,fn=fs/fr0;k为变换器的电感比,k=Lm/Lr。
2)单半桥模式
该模式下变换器等效于传统的半桥LLC谐振变换器,谐振频率fr_SHB、交流等效电阻Rac_SHB和品质因数QSHB等于式(7)中的参考值。该模式电压增益为
(12)
3)双半桥模式
该模式下变换器等效为两个一次侧并联、二次侧串联的半桥LLC谐振变换器,与单半桥模式相比,其交流等效电阻Rac_DHB变为原来的一半,因此可得到其增益为
(13)
4)混合桥模式
所提变换器在混合桥模式下稳态工作时,死区时间远小于开关周期,为了简化推导,分析混合桥模式电压增益特性时忽略死区的影响,变换器归一化电压增益定义为
(14)
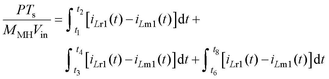
根据第1节分析,由于变压器二次电流在阶段5和阶段9为零,仅有阶段2、4、7、8向负载输送能量。忽略功率损耗并应用基尔霍夫电流定律,电路参数与输出功率之间的关系可以推导为
(15)
阶段4的is1近似于线性变化,该阶段传输的能量可表示为
(16)
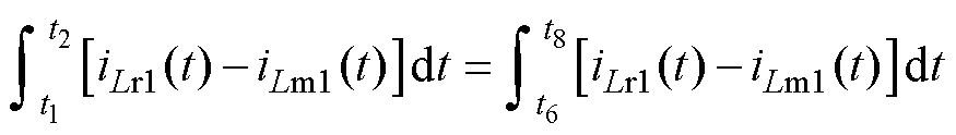
根据隔直电容Cs1和Cs2的电荷平衡,阶段2、7、8中二次电流is1平均值应该相等,即
(17)
电容电压和电感电流在任何相邻阶段之间总是连续的,即
(18)
式中,X、Y代表相邻的两个阶段;下标“s、e”表示特定阶段的开始和结束。
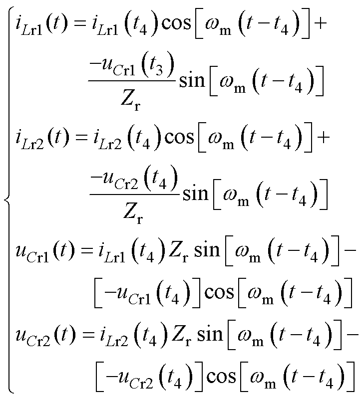
在t4和t8时刻谐振电流iLr1、iLr2和励磁电流iLm1、iLm2相等,即
(19)
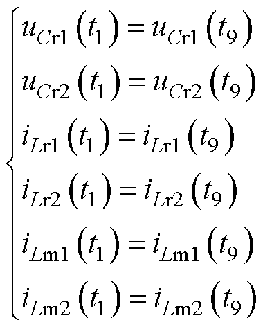
在稳态下,iLr1、iLr2、iLm1、iLm2和uCr1、uCr2的最终值和初始值在一个开关周期内相等,又提供了额外的约束条件为
(20)
联立式(1)~式(5)和式(12)~式(18),可以推导出占空比D和归一化电压增益MMH之间的关系。这些方程构成超越函数,可以通过Matlab求其数值解。图9绘制了在不同有效负载电阻Ro下占空比对归一化电压增益的曲线。
图9 混合桥模式下电压增益曲线
Fig.9 Voltage gain versus in MB mode
该模式下LLC变换器通过改变占空比D进行电压调节。当D=0时,变换器等效于谐振频率下的双半桥模式,此时变换器电压增益最小,得
(21)
当D=0.5时,变换器谐振腔1工作在全桥模式,谐振腔2工作在半桥模式,二次侧等效于传统的倍压整流,因此,最大归一化电压增益为
(22)
由式(9)~式(11)可得到图10a所示的变换器在PFM模式下的电压增益曲线,结合占空比D和归一化电压增益MMH之间的关系可以得到变换器总体增益曲线,如图10b所示。由图10可见,变换器四种模式可以实现增益平滑衔接,变换器总体归一化电压增益的调节范围可达到0.25~3。
图10 电压增益曲线
Fig.10 Voltage gain versus of the LLC converter
LLC谐振变换器具有优秀的软开关特性,容易实现变换器的高效率,本节将对MOSFET的软开关特性进行分析。在PFM控制下,为了保证ZVS,在第一个半周期结束时的储能电流应该足够大,以在死区时间间隔td内完成对开关管寄生电容完全充放电。
(23)
式中,IZVS为开关管实现ZVS导通所需的电流;Coss为开关管的寄生电容。
根据第2.1节中的分析,谐振回路的能量由死区时间内的磁化电流峰值决定,磁化电流峰值ILm_p可以表示为
(24)
可以得到励磁电感约束条件为
(25)
在变换器工作范围内,串联半桥模式下的磁化电流峰值最小,具有最小的nVo/Vin=0.25,因此可以得到励磁电感的取值范围为
(26)
对混合桥模式,此时变换器采用PWM控制,容易得到式(26)以满足开关管S1、S2和S3的ZVS条件。在开关管S4导通之前(t2~t3),励磁电流iLm1对S3、S4的寄生电容充放电,满足式(27)即可实现S4的ZVS开通。
(27)
若要实现开关管S5的ZVS开通,需要二次电流is1在t7时刻前经过S5的体二极管续流。观察变换器的工作波形容易得到,在阶段8[t7, t8)内任意时刻开通S5即可实现其ZVS导通。
由于开关管的体二极管导通损耗较大,为进一步提高工作效率,iS5流过体二极管的时间应尽可能短,即开关管S5应实现同步整流。在S5导通前,励磁电流与谐振电流相等,此时变压器相当于开路,二次侧开关管S5没有电流流过,其两端电压大小等于隔直电容Cs1两端电压VCs1。与式(27)相似,可以得到S5的ZVS条件为
(28)
基于上述分析,为保证变换器在全工作范围内具有软开关特性且留出一定的裕量,励磁电感Lm应满足式(26),占空比D范围取0.03~0.5,tdelay= 500 ns,以保证变换器在所有模式下实现ZVS。
本文所提变换器的所有开关管均能实现ZVS,二次侧整流管均能实现ZCS,在损耗分析中忽略开关管的开通损耗以及二极管的反向恢复损耗。变换器的损耗主要包括:开关管的通态损耗、关断损耗,磁性元件损耗和二极管导通损耗。
变换器工作过程中,开关管的损耗为
(29)
式中,Ids_off、Ids_on为开关管的关断电流和导通电流;toff为关断过程时间;Rds(on)为开关管的导通电阻。
磁性元件损耗包含谐振电感和变压器的铜损和铁损,其中谐振电感损耗为
(30)
式中,RLr为谐振电感的绕组等效电阻;ILr_rms为电感电流有效值;Ke为磁心损耗系数;BLr为谐振电感磁通密度;VLr为谐振电感磁心体积;m和n为损耗指数。
变压器损耗的计算公式为
(31)
式中,Rp为变压器的一次绕组等效电阻;Rs为变压器的二次绕组等效电阻;Is_rms为二次电流有效值;BT为变压器磁通密度;VT为变压器磁心体积。
整流二极管的导通损耗为
(32)
式中,UF为整流管导通压降;Id_ave、Id_rms分别为整流管电流平均值和有效值;Rd为二极管导通电阻。
在众多参数设计方法中,基于峰值增益配置的优化设计[8]可以实现LLC谐振变换器的更高效率,本文采用该方法来设计所提变换器的谐振参数,设计样机参数见表1。
表1 设计指标
Tab.1 Design specifications
参 数数 值 输入电压Vin/V200 输出电压Vo/V40~480 最大电流Io_rms/A1 谐振频率fr/kHz100 开关频率fs/kHz59~130
为满足变换器输出电压要求,SHB模式谐振频率的输出电压为80 V,得到变压器T2的电压比n2为
(33)
实际设计中,两个谐振回路参数相同,得到变压器T1的电压比n1=1.25。
根据峰值增益配置方法,可以得到所需的最大电压增益与电感比k的关系为
(34)
式中,Mmax为最大电压增益;Vo_max和Vo_min分别为最大、最小输出电压;fn_max为最大归一化工作频率。
由PWM控制下改变谐振参数对增益影响较 小[18]。由图10a可知,在PFM控制下以SHB模式的增益跨度最大,主要针对该模式进行设计。为避免SHB模式的环流损耗过大与增益过低失去软开关特性,令输出电流为1 A时,SHB模式和DHB模式的增益交点为M=0.9,与SCHB模式的增益交点为M=0.45,即Mmax_SCHB≥0.45,Mmax_SHB≥0.9。
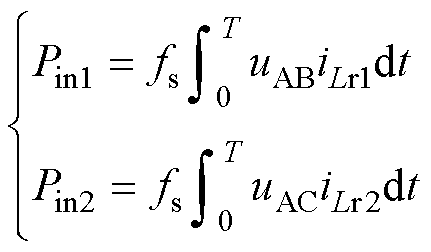
假设变换器工作在理想状态,变换器稳定工作时两谐振腔传输的功率Pin1、Pin2分别为
(35)
结合1.2节分析容易得到,变换器工作过程中谐振腔1的传输功率始终大于或等于谐振腔2的传输功率。实际工作中,谐振腔2承担功率较小,且对变换器性能影响较小,为简化设计难度,两谐振腔取相同参数。结合式(26)和式(34),考虑到基波分析法在工作频率远离谐振频率时误差较大,同时要保留一定裕度,借助Matlab/Simulink仿真进行参数设计调整,最终得到Lr1=Lr2=24.54 mH,Cr1= Cr2=97.3 nF,Lm1=Lm2=125 mH。
由图9可知,变换器在PWM模式下改变负载对电压增益特性影响较小,为简化参数设计、提高变换器的工作效率与功率密度,所提变换器采用PFM+PWM混合控制,根据变换器所处工况判断工作模式,再根据不同工作模式确定开关器件的工作频率与占空比。本文所提变换器在串联半桥模式、单半桥模式和双半桥模式使用PFM控制,在混合桥模式使用PWM控制。
在实际应用中,变换器需要工作在连续的增益范围内,当输出电压达到切换点时,需要进行模式切换。考虑到输出电压存在纹波和抖动,为了避免变换器反复在两种模式间切换,需要在切换过程中加入滞环比较,图11为LLC变换器的控制策略。
图11 LLC变换器控制策略
Fig.11 Control method of the LLC converter
为验证所提方案正确性与可行性,本文研制了一台输入电压200 V、输出电压40~480 V,负载恒定1 A,最大功率480 W的原理样机,如图12所示。表2给出原理样机的主要参数。
图13给出了输出电压40 V和72 V的电路工作实验波形。此时变换器工作在串联半桥模式,如图13所示,两个串联谐振回路的谐振电流几乎完全相同,工作开关管S3和S4能够实现ZVS导通,但开关管S1和S2的寄生电容导致谐振回路存在干扰,使谐振电流iLr1和iLr2存在扰动,尤其在开关时较为剧烈,但不影响变换器正常稳定工作。
图12 原理样机
Fig.12 Principle prototype
表2 样机主要参数
Tab.2 Main parameters of prototype
参 数数值 (型号) 输入电压Vin/V200 输出电压Vo/V40~480 输出功率Po/W480 变压器电压比n1n254 励磁电感Lm1, Lm2/mH125 谐振频率fr/kHz102 谐振电容Cr1, Cr2/nF97.3 谐振电感Lr1, Lr2/mH24.54 开关管S1~S5CI19N120SM 整流二极管VD1~VD6STPSC10065D
图13 串联半桥模式稳态波形
Fig.13 Steady-state waveforms in SCHB mode
图14给出了单半桥模式下输出电压72、80和144 V的波形。该模式下变换器仅通过谐振腔向二次侧传递能量,但由于二次侧整流桥工作时,VD3、VD4不能完全关断,存在一个小电流流入变压器T2,导致谐振腔2中存在一定电流,使该模式导通损耗增加,但不影响变换器正常稳定工作。该模式下开关频率逐渐降低,谐振电流逐渐增大,开关管S1和S2同样具有良好的软开关特性。
图14 单半桥模式稳态波形
Fig.14 Steady-state waveforms in SHB mode
图15给出了双半桥模式下输出电压144、160和180 V的波形。可以看出,该模式下电流iLr1与iLr2相同,每个谐振回路承载一半的功率。同时,由于该模式下隔直电容Cs2两端电压恒为负,即使二极管VD4导通,Cs2也不会通过S5的体二极管放电,此阶段开关管S5电压、电流基本为0。
图15 双半桥模式稳态波形
Fig.15 Steady-state waveforms in DHB mode
图16为变换器在混合桥模式下输出180、335和480 V的工作波形。该模式下仅调整开关管S3、S4和S5的占空比,此时谐振腔1在全桥工作和不工作之间切换,谐振器2工作在半桥状态,因此谐振电流iLr1在占空比D较小时与iLr2相近,在D增大后大于谐振电流iLr2。同时,开关管S5在二次电流为正时导通,避免二次电流通过其体二极管续流,实现了同步整流。变换器在设定的工作范围内能很好地实现开关管ZVS开通。在占空比D=0.5时,Vds5恒为0,此时电路达到最大增益M=3。
图16 混合桥模式稳态波形
Fig.16 Steady-state waveforms in MB mode
图17给出了变换器输出电流1 A时,变换器模式切换的动态波形。从图中可以看出,在四种工作模式间进行正向和反向切换时,输出电压的波动较小,切换速度快,变换器具有较好的动态响应特性。
图18给出了变换器在40~480 V/1 A输出下的效率曲线和4个工作模式下最大效率情况的损耗分布数据。由图18可知,变换器效率曲线较为平坦,峰值效率为94.9%,最低效率在92%以上。
变换器在SCHB模式输出40 V时,输出电压较低,整流二极管损耗较大。在SHB模式输出80 V时,由于一次电流增大,导致开关管和磁性元件损耗增加。DHB模式输出160 V时,两个谐振腔同时工作,变压器和电感的损耗占比增加。MB模式480 V输出时,由于一次电流继续增大,两变压器损耗和开关管的关断损耗增大,同时开关管S5作为同步整流管工作,二极管损耗降低。
图17 模式切换波形
Fig.17 Waveforms of mode switching
图18 变换器效率与损耗分析
Fig.18 Efficiency and loss analysis of the converter
表3将所提变换器与近几年宽范围LLC谐振变换器进行对比,可以看出,所提变换器在传统LLC谐振变换器的基础上增加了1个有源开关管和1个高频变压器,可以实现12倍的超宽输出电压范围,在电压增益范围存在较大优势,同时变换器具有较高的工作效率。
表3 宽电压增益范围LLC变换器性能对比
Tab.3 Comparison with other wide voltage range LLC converters
参数文献[14]文献[17]文献[12]文献[15]本文 输入电压/V400390400120~480200 输出电压/V50~450250~420100~4202440~480 开关管85345 变压器11212 增益范围1~91~91~4.21~41~12 峰值效率(%)94.394.395.289.994.9 额定功率/W3001 3001 500100480
本文提出了一种超宽输出电压的双LLC谐振变换器,该变换器一次侧两谐振腔分别为全桥、半桥结构,二次侧可配置为桥式和倍压整流,根据不同开关模式组合出四种工作方式,以较少的开关器件实现了12倍的超宽输出电压范围,所有开关管可在全功率范围内实现零电压软开关,二次侧开关管还可作为同步整流管,进一步提高了变换器的工作效率。
为了验证其可行性,设计了一台480 W的实验样机,变换器可以实现40~480 V的超宽输出电压范围,其峰值效率达到94.9%。所提变换器具有良好的电压调节能力,能够适应CHAdeMO标准或类似标准下的电动汽车充电等宽输出电压增益的应用场合。
参考文献
[1] Chen Zhe, Guerrero J M, Blaabjerg F. A review of the state of the art of power electronics for wind turbines[J]. IEEE Transactions on Power Electronics, 2009, 24(8): 1859-1875.
[2] Yilmaz M, Krein P T. Review of battery charger topologies, charging power levels, and infrastructure for plug-in electric and hybrid vehicles[J]. IEEE Transactions on Power Electronics, 2013, 28(5): 2151-2169.
[3] Singh A K, Kumar S, Singh B. Solar PV energy generation system interfaced to three phase grid with improved power quality[J]. IEEE Transactions on Industrial Electronics, 2020, 67(5): 3798-3808.
[4] Williamson S, Lukic M, Emadi A. Comprehensive drive train efficiency analysis of hybrid electric and fuel cell vehicles based on motor-controller efficiency modeling[J]. IEEE Transactions on Power Electronics, 2006, 21(3): 730-740.
[5] 陈杰, 刘昌咏, 邓文明, 等. 四开关三电平半桥LLC变换器的控制策略与效率优化[J]. 电工技术学报, 2024, 39(24): 7833-7845.
Chen Jie, Liu Changyong, Deng Wenming, et al. Control strategy and efficiency optimization of four- switch three-level half-bridge LLC converter[J]. Transactions of China Electrotechnical Society, 2024, 39(24): 7833-7845.
[6] Sun Wenjin, Xing Yan, Wu Hongfei, et al. Modified high-efficiency LLC converters with two split resonant branches for wide input-voltage range applications[J]. IEEE Transactions on Power Electronics, 2018, 33(9): 7867-7879.
[7] Fang Xiang, Hu Haibing, Shen Z J, et al. Operation mode analysis and peak gain approximation of the LLC resonant converter[J]. IEEE Transactions on Power Electronics, 2011, 27(4): 1985-1995.
[8] Fang Xiang, Hu Haibing, Chen F, et al. Efficiency- oriented optimal design of the LLC resonant converter based on peak gain placement[J]. IEEE Transactions on Power Electronics, 2013, 28(5): 2285-2296.
[9] 周子航, 高祎韩, 刘懿静, 等. 基于平面磁元件的LLC变换器相关参数的整体优化设计方法[J]. 电工技术学报, 2024, 39(15): 4820-4829, 4895.
Zhou Zihang, Gao Yihan, Liu Yijing, et al. Parameters global optimization design method for LLC converter with planar magnetic[J]. Transactions of China Electrotechnical Society, 2024, 39(15): 4820-4829, 4895.
[10] 赵永秀, 刘泽伟, 王崇杰, 等. 变模态倍压型LLC谐振变换器多目标参数优化[J]. 电工技术学报, 2024, 39(22): 7139-7153.
Zhao Yongxiu, Liu Zewei, Wang Chongjie, et al. Multi objective parameter optimization of variable mode voltage doubling LLC resonant converter[J]. Transactions of China Electrotechnical Society, 2024, 39(22): 7139-7153.
[11] Sun Xiaofeng, Li Xiaohua, Shen Yanfeng, et al. Dual-bridge LLC resonant converter with fixed- frequency PWM control for wide input applications[J]. IEEE Transactions on Power Electronics, 2017, 32(1): 69-80.
[12] Shahzad M I, Iqbal S, Taib S. A wide output range HB-2LLC resonant converter with hybrid rectifier for PEV battery charging[J]. IEEE Transactions on Transportation Electrification, 2017, 3(2): 520- 531.
[13] 吴西奇, 李睿, 蔡旭, 等. 一种新型宽电压增益直流充电模块拓扑及调制技术[J]. 中国电机工程学报, 2021, 41(23): 8129-8139.
Wu Xiqi, Li Rui, Cai Xu, et al. A new wide voltage gain DC charging module topology and modulation technology[J]. Proceedings of the CSEE, 2021, 41(23): 8129-8139.
[14] Zuo Yu, Pan Xuewei, Wang Can. A reconfigurable bidirectional isolated LLC resonant converter for ultra-wide voltage-gain range applications[J]. IEEE Transactions on Industrial Electronics, 2022, 69(6): 5713-5723.
[15] 李浩昱, 李振伟, 赵雷, 等. 宽输入LLC谐振变换器多电平控制策略[J]. 电工技术学报, 2017, 32(4): 48-57.
Li Haoyu, Li Zhenwei, Zhao Lei, et al. Multi-level control strategy of wide input LLC resonant converter[J]. Transactions of China Electrotechnical Society, 2017, 32(4): 48-57.
[16] 王暄, 王广柱, 孙晓伟, 等. 具有宽范围输出电压的三电平半桥LLC谐振变换器控制策略[J]. 电工技术学报, 2017, 32(21): 24-33.
Wang Xuan, Wang Guangzhu, Sun Xiaowei, et al. Research on control strategy of three-level half-bridge LLC resonant converter with wide output voltage range[J]. Transactions of China Electrotechnical Society, 2017, 32(21): 24-33.
[17] Shang Ming, Wang Haoyu. A voltage quadrupler rectifier based pulsewidth modulated LLC converter with wide output range[J]. IEEE Transactions on Industry Applications, 2018, 54(6): 6159-6168.
[18] 周国华, 邱森林, 张小兵. 宽增益高效率级联式四开关Buck-Boost LLC变换器[J]. 电工技术学报, 2024, 39(4): 1103-1115.
Zhou Guohua, Qiu Senlin, Zhang Xiaobing. Cascaded four-switch Buck-Boost LLC converter with wide gain range and high efficiency[J]. Transactions of China Electrotechnical Society, 2024, 39(4): 1103- 1115.
[19] Wang Haoyu, Li Zhiqing. A PWM LLC type resonant converter adapted to wide output range in PEV charging applications[J]. IEEE Transactions on Power Electronics, 2018, 33(5): 3791-3801.
[20] Khan S, Sha Deshang, Jia Xiangshuai, et al. Resonant LLC DC-DC converter employing fixed switching frequency based on dual-transformer with wide input- voltage range[J]. IEEE Transactions on Power Electronics, 2020, 36(1): 607-616.
[21] 冯兴田, 邵康, 崔晓, 等. 基于多模态切换的宽电压增益LLC谐振变换器控制策略[J]. 电工技术学报, 2020, 35(20): 4350-4360.
Feng Xingtian, Shao Kang, Cui Xiao, et al. Control strategy of wide voltage gain LLC resonant converter based on multi-mode switching[J]. Transactions of China Electrotechnical Society, 2020, 35(20): 4350- 4360.
[22] Zhao Qinglin, Zhang Jianmeng, Fu Chaowei, et al. A structure-reconfigurable LLC resonant converter with wide gain range[J]. IEEE Journal of Emerging and Selected Topics in Power Electronics, 2023, 11(4): 4057-4067.
[23] Li Cheng, Zhou Mingde, Wang Haoyu. An H5- bridge-based asymmetric LLC resonant converter with an ultrawide output voltage range[J]. IEEE Transactions on Industrial Electronics, 2019, 67(11): 9503-9514.
[24] 孙鑫宇, 邓宇豪, 聂江霖, 等. 一种超宽电压增益双LLC谐振变换器及控制方法[J]. 中国电机工程学报, 2024, 44(5): 1974-1985.
Sun Xinyu, Deng Yuhao, Nie Jianglin, et al. An ultrawide voltage gain dual LLC resonant converter and control method[J]. Proceedings of the CSEE, 2024, 44(5): 1974-1985.
A Variable-Mode Ultra-Wide Output Voltage Gain Dual LLC Resonant Converter and Control Method
Abstract LLC resonant converters have become a research hotspot in wide-voltage DC-DC converters with superior soft-switching characteristics, high efficiency, and high power density. Due to the wide switching operating frequency range and low overall efficiency, traditional LLC resonant converters are unsuitable for wide voltage gain applications. Designing an LLC resonant converter is imperative.
This paper proposes a variable-mode ultra-wide LLC resonant converter based on the topology reconfiguration concept, achieving an ultra-wide output voltage gain range of up to 12
1. By reconfiguring half-bridge/full-bridge circuits and full-bridge/voltage-doubler rectifiers, the converter contains four operating modes with different voltage gain ranges: series-connected half-bridges (SCHB), single half-bridge (SHB), dual half-bridge (DHB), and mixed bridge (MB). The converter’s efficiency is improved while the cost is reduced through the multiplexing of power devices. The equivalent circuits are presented for its four operating modes, and the operating stages and waveforms of the MB mode are analyzed. The voltage and current relationship equations in the MB mode are derived. Subsequently, the voltage-gain expressions for each operating mode are deduced, the voltage gain curve of the converter is plotted, and the voltage gain range is determined. The converter contains five power MOSFETs, and each can achieve zero voltage switching (ZVS) turn-on in all operating modes.
To further enhance the overall efficiency of the proposed converter under the operating conditions of a wide output voltage gain range, a hybrid control strategy tailored to this converter is proposed. The hybrid control strategy introduces pulse width modulation (PWM) based on the traditional pulse frequency modulation (PFM). The converter operates with PFM in SCHB, SHB, and DHB modes and PWM in MB mode. The converter determines the operating mode according to the load conditions and then determines the MOSFETs’ operating frequency and duty cycle. In practice, the converter must operate in a continuous gain range, and mode switching is required when the output voltage reaches the switching point. Considering the existence of ripple and jitter in the output voltage, adding a hysteresis loop comparison in the switching process is necessary. Adding PWM simplifies the design of the resonant parameters and minimizes the variations in output voltage gain caused by load changes.
Finally, based on the working principle of the converter, the design method for key parameters is given. An experimental prototype with a maximum power of 480 W and an input voltage of 200 V is designed and constructed based on silicon carbide (SiC) devices. Experimental results show that the proposed converter can realize an ultra-wide output voltage range of 40 V to 480 V, with a peak efficiency of 94.9%; each of the power MOSFETs can realize ZVS turn-on in all operating modes, which verifies the feasibility of the topology and control strategy. The proposed converter can be adapted to applications with a wide output voltage gain, such as electric vehicle charging under the CHAdeMO standard or similar standards.
Keywords:LLC resonant converter, variable-mode, wide output voltage gain range, dual-transformer
中图分类号:TM46
DOI: 10.19595/j.cnki.1000-6753.tces.242118
福建省发改委科技项目(00389102)和晋江市福大教园区发展中心科研项目(2019-JJFDKY-37)资助。
收稿日期 2024-11-26
改稿日期 2025-01-06
张俊涛 男,2000年生,硕士研究生,研究方向为电能的高频变换与控制技术。
E-mail: 1003043458@qq.com
林国庆 男,1966年生,教授,博士生导师,研究方向为电力电子变流技术、照明电源、新能源发电技术、电磁兼容。
E-mail: lgqe@163.com(通信作者)
(编辑 陈 诚)