摘要 为提高非隔离型DC-DC变换器的电压增益,减少开关管的电压应力,该文分析了变换器的工作原理,将耦合电感倍压支路引入基础Sepic变换器,并将单开关管替换为具有更低电压应力的双开关管单元,得到一种耦合电感双开关高增益Sepic变换器,其中,两个开关管采用同步导通控制。该变换器可通过调节占空比和匝比调节输出电压,并利用磁集成技术将变换器中的磁性器件进行解耦集成设计,通过有限元电磁场验证了集成方案的可行性,减小了变换器中磁件的体积与数量,提高了变换器的功率密度,给出各项参数的设计方案。最后通过搭建一台额定功率为200 W的实验样机,验证了理论分析的正确性。
关键词:解耦磁集成 高电压增益 Sepic变换器 耦合电感
随着“双碳”战略的实施,太阳能、风能等清洁能源的发展十分迅速[1-3]。光伏发电系统中对高升压电压比的DC-DC型变换器需求日益增强,因此高电压增益、高功率密度、高效率的DC-DC型变换器逐渐成为研究热点[4-7]。
一般情况下,非隔离型DC-DC变换器的转换效率高、输出适应能力强、体积较小、成本较低且容易设计[8]。因此,国内外学者为提高非隔离型DC-DC变换器的电压增益,提出了多种方法:级联倍压技术、开关电感/电容倍压技术、耦合电感倍压技术等。将两个及以上变换器进行级联很容易获得高电压输出,文献[9]将Boost变换器进行级联,优点是提供了较高的电压增益,且前级中的开关管电压应力较低;缺点是后级中的功率器件电压应力较大,导通损耗过大。文献[10-11]采用开关电感倍压技术有效地提高了变换器的电压增益。文献[12-14]提出了不同的开关电容变换器,开关电容倍压结构可以获得较高的电压增益,纯开关电容型变换器没有使用磁件,功率密度大、效率高,但输入和输出的电流脉动过大。为解决上述问题,引入耦合电感倍压技术,可通过调节匝比来调节输出电压。文献[15]将耦合电感结构应用到Boost变换器中,该变换器结构较为简单,其电压增益不但与开关管的占空比有关,也受耦合电感的匝比控制,在非极限占空比下,有较好的升压效果,合适的匝比也可以降低开关管的电压应力,但漏感和开关管寄生电容会发生谐振,易产生较大的电压尖峰。文献[16-18]利用钳位支路有效降低开关管的电压应力,吸收漏感能量。由于耦合电感型变换器会导致变换器中具有多个磁性元件,文献[19-21]将变换器中的磁件进行磁集成,减少了磁件的数量和体积,提高了变换器的功率密度。
本研究在Sepic变换器的基础上,将Sepic变换器的前级单开关管替换为双开关管单元,在后级引入耦合电感,并与二极管电容倍压单元组合。提出了一种磁集成耦合电感双开关高增益组合开关电容Sepic变换器,并对独立电感与耦合电感进行解耦磁集成。该变换器具有高电压增益、低开关管电压应力等优点,并利用磁集成技术减小了变换器中磁性器件的体积和数量,提高了变换器的功率密度。
变换器的拓扑结构如图1所示,以Sepic变换器为基础,首先将前级中的单开关管替换为双开关单元网络(其中双开关单元由两个开关管S1、S2和一个电容C1及两个二极管VD1、VD2构成),然后在后级引入一条耦合电感倍压支路(由耦合电感二次绕组匝数Ns和电容C4以及二极管VD4构成),通过对二极管与电容结构的复用与简化,与二极管VD3和电容C3构成开关电容网络,得到一种磁集成耦合电感双开关高增益组合开关电容Sepic变换器。图1中,Vin、Vo为输入与输出电压,C1~C5为电容,L1为输入电感,Np、Ns为耦合电感一、二次绕组匝数,R为负载电阻。
图1 变换器拓扑结构
Fig.1 The topology of the converter
变换器的等效电路如图2所示。图2中,耦合电感由励磁电感Lm、漏感Lk及耦合电感匝比为n的理想变压器构成。
图2 变换器等效电路
Fig.2 Converter equivalent circuit
本文变换器基于以下假设进行理论分析:①开关管与二极管均为理想器件;②耦合电感的漏感可以忽略;③电容足够大,其纹波电压可以忽略。
该变换器共有五种工作模态,变换器的主要波形如图3所示,变换器在五种不同工作模态下的等效电路如图4所示。
图3 变换器主要波形
Fig.3 Converter main waveforms

图4 变换器工作模态的等效电路
Fig.4 Modal of converter operation
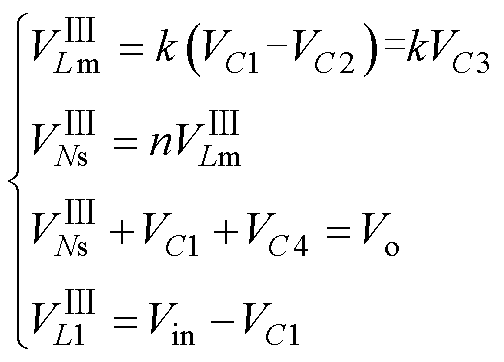
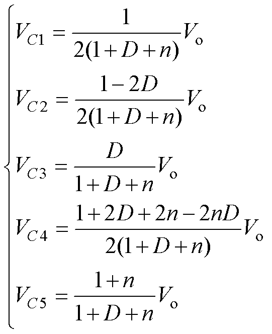
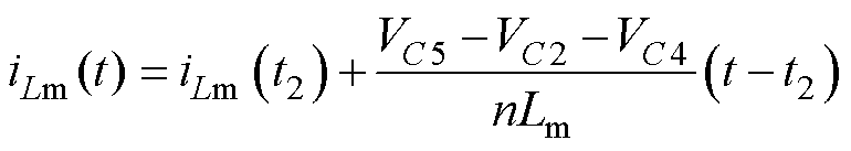
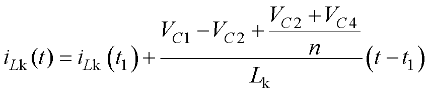
模态Ⅰ[t0, t1
:t0时刻,开关管S1、S2导通,二极管VD4导通;Vin为L1和C1储能,同时为耦合电感一次绕组和C2提供能量,耦合电感二次侧和C3同时为C4充电,C3和C5串联为输出供电。该模态下,励磁电感的电流iLm与漏感电流iLk的表达式分别为
(1)
(2)
式中,VC1、VC3、VC4为电容C1、C3、C4两端的电压;n为耦合电感匝比。
模态Ⅱ[t1, t2
:此模态为瞬时模态,t1时刻,二极管VD1、VD2、VD3、VD4导通;Vin和L1为C1、C2、耦合电感一次绕组充电,励磁电感的电流iLm快速下降,耦合电感二次绕组和C3同时为C4充电,C5为输出供电。该模态下,励磁电感的电流iLm与漏感电流iLk的表达式分别为
(3)
(4)
式中,VC2为电容C2两端的电压。
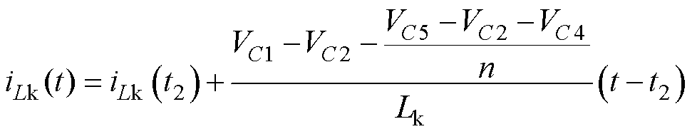
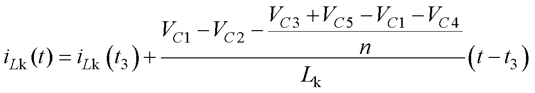
模态Ⅲ[t2, t3
:t2时刻,二极管VD1、VD2、VD3、VD5导通;Vin和L1为C2和耦合电感一次绕组充电,通过二极管VD3为C3充电,流过L1的电流iL1持续下降,耦合电感电流iLm下降;耦合电感二次绕组和C4为C3和C5及输出供电。该模态下,励磁电感的电流iLm与漏感电流iLk的表达式分别为
(5)
(6)
式中,VC5为电容C5两端的电压。
模态Ⅳ[t3, t4
:此模态为瞬时模态,t3时刻,二极管VD1、VD2、VD5导通;Vin和L1为C1、C2、耦合电感一次侧提供能量,流过L1电流iL1继续下降,励磁电感电流iLm下降;耦合电感二次绕组和C4串联为输出供电;该模态下,励磁电感的电流iLm与漏感电流iLk的表达式分别为
(7)
(8)
模态Ⅴ[t4, t5]:此模态为瞬时模态,t4时刻,只有二极管VD5导通;Vin和L1为耦合电感一次绕组充电,电感L1电流下降;耦合电感二次绕组和C4为负载供电。该模态下,励磁电感的电流iLm与漏感电流iLk的表达式分别为
(9)
(10)
为了便于稳态分析,只考虑工作模态Ⅰ、模态Ⅲ,耦合电感耦合系数k和匝比n分别为
(11)
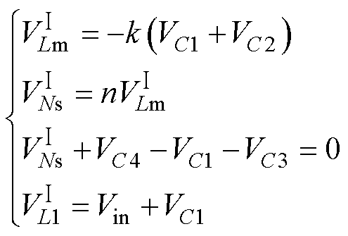
当变换器处于工作模态Ⅰ时,可知
(12)
式中,
为在模态Ⅰ时励磁电感Lm两端的电压;
为在模态Ⅰ时耦合电感二次绕组两端的电压;
为在模态Ⅰ时独立电感L1两端的电压。
当变换器处于工作模态Ⅲ时,可知
(13)
式中,
为在模态Ⅲ时励磁电感Lm两端的电压;
为在模态Ⅲ时耦合电感二次绕组两端的电压;
为在模态Ⅲ时独立电感L1两端的电压。
根据励磁电感Lm的伏秒平衡原理得
(14)
式中,T为周期;D为占空比。
结合式(12)~式(14),得到
(15)
根据独立电感L1的伏秒平衡原理得
(16)
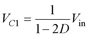
结合式(12)、式(13)和式(16),得到电容C1的电压表达式为
(17)
结合式(12)、式(15)和式(17),得到电容C2的电压表达式为
(18)
结合式(12)、式(15),得到电容C3的电压表达式为
(19)
根据式(12)得到二次绕组在模态Ⅰ时的电压表达式为
(20)
根据式(13),得到二次绕组在模态Ⅲ时的电压表达式为
(21)
将式(17)、式(19)和式(20)代入式(12),得到电容C4的电压表达式为
(22)
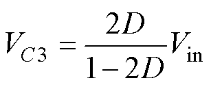
将式(17)、式(21)和式(22)代入式(13),得到变换器增益表达式为
(23)
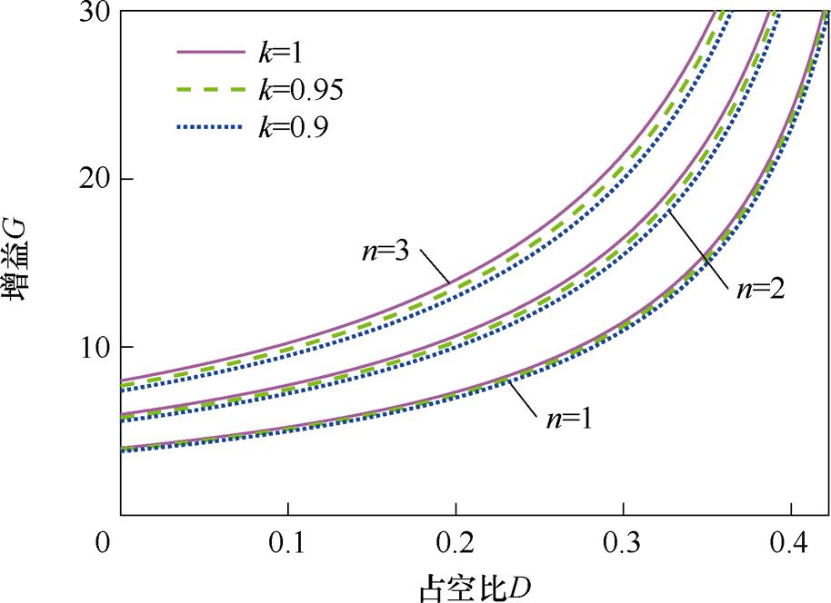
根据式(23),得到变换器的电压增益曲线,如图5所示。电压增益随着匝比n的增大而提高,而耦合系数k的下降会导致增益降低。

图5 变换器电压增益曲线
Fig.5 Converter voltage gain curves
当k=1时,该变换器的增益表达式为
(24)
由式(24)可计算得到,当耦合电感匝数n=1,占空比D=0.25时,变换器的电压增益为9。
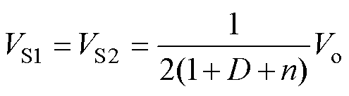
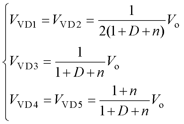
在耦合系数k=1时,开关管S1、S2电压应力为
(25)
电容C1~C5的电压应力分别为
(26)
二极管VD1~VD5的电压应力分别为
(27)
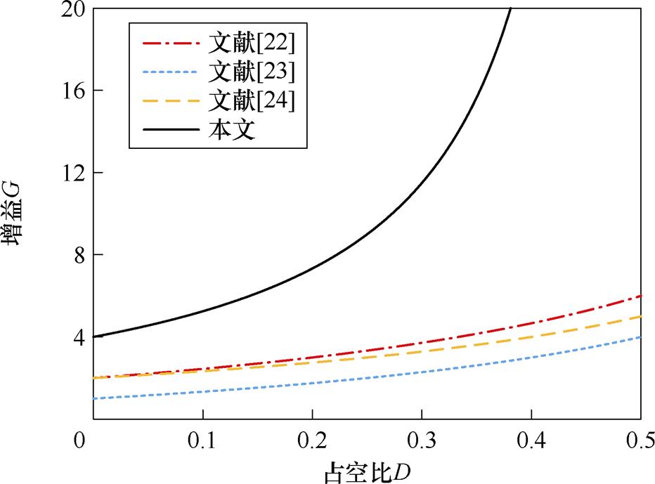
将本文与文献[22-24]的变换器进行性能对比,电压增益与开关管电压应力对比见表1。
表1 变换器性能参数对比
Tab.1 Comparative analysis of converter efficiency and performance metrics
变换器电压增益开关管应力开关管数量磁件数量输入电压/ V输出电压/ V功率/ W 文献[22]2224200150 文献[23]11128450 文献[24]1310.6100100 本文2124220200
当匝比n=1时,变换器的电压增益对比曲线如图6所示。由图6可知,所提变换器的增益最高。
图6 变换器电压增益对比曲线
Fig.6 Converter voltage gain contrast curves
变换器的开关管电压应力的对比曲线如图7所示,VS为开关管所承受的电压。对比其他三种Sepic型变换器,所提变换器在有较高的电压增益时,同时还具有更低的开关管电压应力,当匝数比n=1时,开关管的电压应力为输出电压的25%左右。
图7 开关管的电压应力对比曲线
Fig.7 Voltage stress comparison plot for converter switching devices
当变压器的匝比n=1、2、3时,开关管的电压应力如图8所示,可以看出,当变压器的匝比提高时,开关管的电压应力与输出电压的比值逐渐下降,当变换器具有较高的输出电压时,开关管的电压应力也能保持在一个较低的范围,有利于选用成本更低的开关管。
1)匝比n的选择
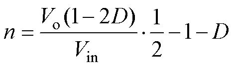
通过调节变压器匝比n,可灵活控制含耦合电感变换器的输出电压,但随着匝比n的增大,漏感会有一定增加,影响变换器的性能和效率,因此需要选择合适的匝比n,根据式(24)可得
图8 变压器不同匝比时的电压应力
Fig.8 Voltage stress of the transformer at different turns ratios
(28)
由式(28)可知,可以通过确定合适的占空比确定耦合电感的匝数。
2)励磁电感Lm的选取
励磁电感Lm可以表示为
(29)
式中,Dmax为最大占空比;DiLm为励磁电感的纹波。
3)耦合电感匝数的选取
一次绕组Np可以表示为
(30)
式中,Isp为最大峰值电流;Bm为磁心饱和磁通密度;Ae为磁路有效截面积。
4)电容的选取
电容可以表示为
(31)
式中,Io为输出电流;DVC为电容的脉动电压;fs为频率。
变换器的损耗主要由半导体器件开关管、二极管、磁性元件和电容所产生。
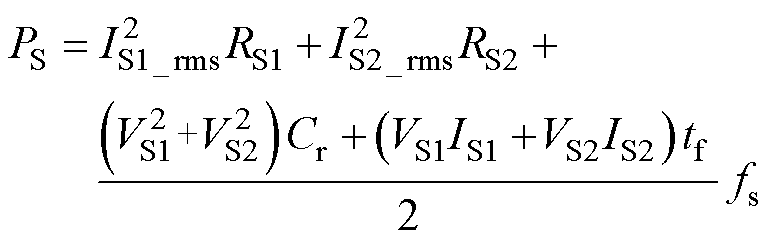
功率开关管的损耗包括导通损耗和开关损耗。功率开关管S1、S2的损耗PS为
(32)
式中,IS_rms为开关管方均根电流;RS为开关管导通电阻;tf为开关管的关断时间;Cr为功率开关的输出电容;VS1和VS2为开关管开通或关断时的电压应力;IS1和IS2为开关管开通或关断时的电流应力。
由于变换器的漏感Lk存在,二极管的反向恢复损耗为零可以忽略不计,且二极管自然关断。所以二极管VD1~VD5的损耗PD为
(33)
式中,VFDi为二极管电压;IDi_rms为二极管方均根电流;rDi为二极管导通电阻。
电容的损耗PC为
(34)
式中,ICi_rms为电容方均根电流;RCi为电容寄生电阻。
变压器的损耗PL主要包括磁损耗Pcore和铜损耗PCu,即
(35)
磁心的损耗可以表示为
(36)
式中,Bmax为励磁电流激励下的最大磁通密度;Ac是磁性元件的窗口面积;lc为磁心的等效长度;KC、
、
为经验常数。
铜损耗可以表示为
(37)
式中,INp_rms、INs_rms、IL1_rms分别为耦合电感一次绕组、二次绕组、电感L1的方均根电流;rNp、rNs、rL1的分别为其对应的寄生电阻。
变换器的总损耗Ploss为
(38)
变换器的效率为
(39)
式中,Po为输出功率。
集成磁件选用EE型磁心,耦合电感一次绕组和二次绕组缠绕在磁心的中柱上,独立电感拆分为两部分,分别缠绕磁心的两侧边柱上,实现对独立电感和耦合电感的解耦集成,集成磁件的磁通分布如图9所示。
图9 集成磁件磁通分布
Fig.9 Flux distribution of integrated magnets
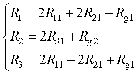
对磁件进行分析,利用等效变换法建立磁路的等效模型如图10a所示。图中,N11i1、N12i1、N2i2、N3i3为不同绕组的磁通势,N11、N12、N2、N3为匝数,R11、R21、R31为磁阻。对磁路的等效模型进行化简,化简后的磁路等效模型如图10b所示。
图10 集成磁件磁路等效模型
Fig.10 Schematic of the integrated magnet’s equivalent magnetic circuit model
图10b中磁阻R1~R3分别为
(40)
式中,R11为边柱磁阻;R21为上下边柱磁阻;Rg1为两侧边柱气隙磁阻;Rg2为中柱上的气隙磁阻。
磁通
、
、
、
可以表示为
(41)
要实现对磁性元件的完全解耦,则需满足
(42)
所以
(43)
即
(44)
由式(44)可知,由于EE型磁心左右两侧磁心对称,所以要使独立电感两侧绕组匝数相同,才能对磁件完全解耦。
集成磁件中的耦合电感,有以下三种绕线方式:
方式一:在磁心中柱上先绕制耦合电感一次线圈,再从一次线圈外层绕制二次线圈。
方式二:在磁心中柱的上半部分绕制一次线圈,再从磁心中柱的下半部分绕制二次线圈。
方式三:在磁心中柱上先绕制一圈一次线圈,再绕制一圈二次线圈,以此类推。
对耦合电感三种缠绕方式进行磁场仿真,磁通密度对比如图11所示,从图11对比可见,方式一的磁通密度低于方式二和方式三。
图11 不同绕线方式磁通密度对比
Fig.11 Comparison of magnetic flux density of different winding methods
将独立电感L1拆分成两部分分别缠绕在方案一EE型磁心左右两个边柱上,耦合电感Lp、Ls双线并绕在磁心中柱上,磁心开0.05 cm的气隙,进一步进行磁通密度仿真分析,分析中分别对独立电感单独施加激励、对耦合电感单独施加激励、对独立电感和耦合电感共同施加激励,结果如图12所示,从图12中可以看出,磁件的最大磁通密度小于0.39 T,磁心未饱和。
变换器采用EE42/21/15的磁心进行解耦集成,集成磁件与分立磁件的体积对比实物如图13所示,集成磁件相较于分立磁件,磁集成技术显著缩减了磁件的尺寸和数目。
图12 集成磁件磁通密度分布
Fig.12 Flux density distribution of integrated magnets
图13 集成磁件与分立磁件的体积对比实物
Fig.13 Volume comparison of integrated magnets and discrete magnets
选用的磁心材料为PC40,采取面积乘积(Area- Product, AP)法选择磁心的尺寸,根据AP法面积公式,有
(45)
式中,Aw为磁心窗口面积;IFL为满载时电流有效值;PC40在100℃下的饱和磁通密度为0.39 T;K1为电流密度系数与窗口利用系数乘积,K1=0.008 5。
根据计算,选用EE42/21/15磁心,AP=4.94 cm4>4.48 cm4符合设计要求。
集成方案采用解耦磁集成方案,耦合电感缠绕在中柱上,根据式(30),一次绕组匝数Np=12,匝数比为1,二次绕组匝数Ns=12。两侧的独立电感匝数相同各为8。
为防止磁心饱和,超过饱和磁通密度0.39 T,需在两个EE磁心间加入气隙,气隙长度lg表示为
(46)
所以气隙的长度选取为0.05 cm,根据变换器一次、二次电流iNp、iNs峰值大小,选取f0.1 mm×180股的漆包线,其可承载电流为7.05 A。
为验证所提变换器理论分析的正确性,构建了一台200 W的实验样机,其实物如图14所示,实验样机各项参数见表2。
图14 实验样机实物
Fig.14 Experimental prototype physical
图15为所提变换器的输出电压波形,当输入电压为24 V,占空比为0.25,n=1时,实现了输出电压为220 V的高增益变换,与理论分析基本一致。
图16为变压器在输入电压为10 V时,匝比分别为n=1、2、3时的开关管电压应力,当变换器随着匝比不断提高时,输出电压也在不断提高,但开关管的电压应力总可以在一个较低的数值。
图17为独立电感L1电流波形和耦合电感一次绕组的漏感波形。图18为变换器开关管S1、S2的电压与电流波形,当输出电压为220 V时,开关管的电压应力为50 V,仅为输出电压的23%左右,表明开关管具有较低的电压应力,与理论分析基本一致。
表2 实验样机各项参数
Tab.2 Parameters of experimental prototype
参 数数值 (型号) Vin/V24 Vo/V220 额定功率/W200 匝比n11 独立电感L1/mH50.34 励磁电感Lm/mH61.28 漏感Lk/mH1.73 电容C1~C4/mH47 (100 V) 电容C5/mH220 (250 V) 开关管S1, S2IRF540N 二极管VD1~VD3MBR20100CT 二极管VD4, VD5MBR20200CT 负载电阻/W233 开关频率f/kHz50
图15 Vo波形
Fig.15 Output voltage waveforms
图16 不同匝比时的输出电压和开关管电压应力波形
Fig.16 Waveforms of the output voltage and voltage stress of the switch tube at different turns ratios
图17 独立电感与耦合电感波形
Fig.17 Independent inductor and coupled inductor waveforms
图19为变换器中二极管VD1~VD5的电压电流波形,VD1与VD2的电压应力约为50 V,为输出电压的22.7%,VD3的电压应力约为100 V,为输出电压的45.5%,VD4与VD5的电压应力约为175 V,为输出电压的79.5%,各项实验波形均验证了理论分析的正确性。此外,所有二极管的电压应力均小于输出电压,这有利于选用成本更低的二极管器件。
图18 开关管的电压与电流波形
Fig.18 Switching tube voltage and current waveforms

图19 二极管的电压与电流波形
Fig.19 Diode voltage and current waveforms
图20为负载扰动时,输出电压和电流的波形,可以看出,变换器具有良好的动态性能。
图20 变换器动态测试波形
Fig.20 Dynamic test waveforms of the converter
根据式(32)~式(38)可以计算得到功率200 W时的变换器损耗饼状图如图21所示,总损耗为15.2 W,变换器的效率约为92.4%,且变换器的主要损耗来自于开关管与二极管。
图21 变换器损耗饼状图
Fig.21 Converter loss pie chart
图22是变换器的理论效率与实际效率的曲线,可以看到当功率为200 W时,实际效率为92.4%,理论效率比实际效率略高,为92.7%。
为提升Sepic变换器的性能,提出了一种磁集成耦合电感双开关高增益组合开关电容Sepic变换器,该变换器可以在较低占空比时提升电压增益。分析了该变换器的工作原理、性能,并对磁性元件进行了解耦磁集成,最后通过实验验证了理论分析的正确性,该变换器有以下特点:
图22 变换器效率曲线
Fig.22 Converter efficiency graph
1)可通过调节占空比与匝比灵活的调节输出电压,当占空比D=0.25,匝比n=1时,输出电压为输入电压的9倍。
2)利用二极管电容支路吸收了漏感导致的电压尖峰,提高了变换器的整体效率,使得开关管具有较低的电压应力,为输出电压的23%左右。
3)利用解耦磁集成方案,将独立电感和耦合电感进行集成,降低了磁件的体积与数量,降低了铁损耗,提高了开关电源变换器的工作效率与功率密度。
参考文献
[1] 孙瑄瑨, 荣德生, 王宁. 具有谐振软开关的高增益耦合电感组合Boost-Zeta变换器[J]. 电工技术学报, 2024, 39(6): 1830-1842.
Sun Xuanjin, Rong Desheng, Wang Ning. High step- up integrated Boost-Zeta converter with coupled inductor and resonant soft-switching[J]. Transactions of China Electrotechnical Society, 2024, 39(6): 1830- 1842.
[2] 赵永秀, 刘泽伟, 王崇杰, 等. 变模态倍压型LLC谐振变换器多目标参数优化[J]. 电工技术学报, 2024, 39(22): 7139-7153.
Zhao Yongxiu, Liu Zewei, Wang Chongjie, et al. Multi objective parameter optimization of variable mode voltage doubling LLC resonant converter[J]. Transactions of China Electrotechnical Society, 2024, 39(22): 7139-7153.
[3] 刘海军, 张理, 张乔根, 等. 基于堆叠滤波结构的高电压比低纹波隔离型DC-DC制氢变换器[J]. 电工技术学报, 2024, 39(18): 5755-5767.
Liu Haijun, Zhang Li, Zhang Qiaogen, et al. High- conversion-ratio low-ripple isolated DC-DC hydrogen converter based on stacked filter structure[J]. Transactions of China Electrotechnical Society, 2024, 39(18): 5755-5767.
[4] 王哲, 李驰, 郑泽东, 等. 一种基于耦合电感的高增益软开关谐振变换器[J]. 电工技术学报, 2024, 39(1): 194-205.
Wang Zhe, Li Chi, Zheng Zedong, et al. A high step-up ZVS/ZCS resonant converter based on coupled inductor[J]. Transactions of China Electro- technical Society, 2024, 39(1): 194-205.
[5] Hsieh Y C, Alam M M, Lin Zhongrong, et al. A high voltage-gain Boost converter with coupled-inductor[J]. Journal of the Chinese Institute of Engineers, 2018, 41(1): 1-7.
[6] 惠琦, 任小永, 陈乾宏. 采用环形变压器的小功率隔离型DC-DC变换器共模电磁干扰噪声建模与抑制[J]. 电工技术学报, 2024, 39(22): 7126-7138.
Hui Qi, Ren Xiaoyong, Chen Ganhong. Common- mode electromagnetic interference noise modeling and suppression for low-power isolated power con- verter using toroidal transformer[J]. Transactions of China Electrotechnical Society, 2024, 39(22): 7126- 7138.
[7] 周明珠, 刘超, 庄一展, 等. 一种非隔离型双极性输出DC-DC变换器合成方法[J]. 电工技术学报, 2025, 40(12): 3953-3963.
Zhou Mingzhu, Liu Chao, Zhuang Yizhan, et al. A synthesis method for non-isolated DC-DC converters with bipolar outputs[J]. Transactions of China Elec- trotechnical Society, 2025, 40(12): 3953-3963.
[8] 桑汐坤, 王懿杰, 徐殿国. 基于输入并联输出串联的高效高升压比DC-DC变换器[J]. 电工技术学报, 2023, 38(20): 5488-5502.
Sang Xikun, Wang Yijie, Xu Dianguo. High- efficiency high voltage gain DC-DC converter based on input parallel and output series connection[J]. Transactions of China Electrotechnical Society, 2023, 38(20): 5488-5502.
[9] 段宛宜, 王辉. 一种Boost级联式高增益DC/DC变换器[J]. 电器与能效管理技术, 2020(2): 54-60.
Duan Wanyi, Wang Hui. A dual Boost cascade high gain DC/DC converter[J]. Electrical & Energy Management Technology, 2020(2): 54-60.
[10] Axelrod B, Berkovich Y, Ioinovici A. Switched- capacitor/switched-inductor structures for getting transformerless hybrid DC-DC PWM converters[J]. IEEE Transactions on Circuits and Systems I: Regular Papers, 2008, 55(2): 687-696.
[11] 刘树林, 王斌, 朱高中, 等. 基于开关电感的二次型Buck-Boost变换器[J]. 电工技术学报, 2022, 37(增刊1): 190-197.
Liu Shulin, Wang Bin, Zhu Gaozhong, et al. Quadratic Buck-Boost converter based on switched inductance[J]. Transactions of China Electrotechnical Society, 2022, 37(S1): 190-197.
[12] Prabhala V A K, Fajri P, Gouribhatla V S P, et al. A DC-DC converter with high voltage gain and two input boost stages[J]. IEEE Transactions on Power Electronics, 2015, 31(6): 4206-4215.
[13] 李洪珠, 包雨林, 李超, 等. 双耦合电感磁集成开关电容二次型高增益变换器[J]. 电工技术学报, 2025, 40(12): 3964-3976.
Li Hongzhu, Bao Yulin, Li Chao, et al. High step-up quadratic converter integrated switched capacitor and two group of coupled inductor along with magnetic integration[J]. Transactions of China Electrotechnical Society, 2025, 40(12): 3964-3976.
[14] 余振海, 胡雪峰, 徐紫俊, 等. 单开关高增益低电压应力直流变换器[J]. 电气技术, 2022, 23(7): 34-41.
Yu Zhenhai, Hu Xuefeng, Xu Zijun, et al. Single switch high gain low voltage stress DC converter[J]. Electrical Engineering, 2022, 23(7): 34-41.
[15] 罗全明, 高伟, 吕星宇, 等. 耦合电感型高增益Boost变换器拓扑分析[J]. 中国电机工程学报, 2017, 37(24): 7266-7275, 7441.
Luo Quanming, Gao Wei, Lü Xingyu, et al. Topology analysis of high step-up Boost converters with coupled inductors[J]. Proceedings of the CSEE, 2017, 37(24): 7266-7275, 7441.
[16] 丁杰, 高双, 赵世伟, 等. 基于耦合电感的对称式交错并联低输入电流纹波高增益DC-DC变换器[J]. 电工技术学报, 2021, 36(7): 1507-1515.
Ding Jie, Gao Shuang, Zhao Shiwei, et al. Symmetrical interleaved low input current ripple high step-up DC-DC converter based on coupled inductor[J]. Transactions of China Electrotechnical Society, 2021, 36(7): 1507-1515.
[17] 李洪珠, 程利弘, 魏昕, 等. 耦合电感倍压解耦磁集成高电压增益变换器[J]. 电工技术学报, 2023, 38(6): 1584-1595.
Li Hongzhu, Cheng Lihong, Wei Xin, et al. Coupled inductance voltage doubling decoupling magnetic integrated high voltage gain converter[J]. Transa- ctions of China Electrotechnical Society, 2023, 38(6): 1584-1595.
[18] Zheng Yifei, Smedley K M. Analysis and design of a single-switch high step-up coupled-inductor boost converter[J]. IEEE Transactions on Power Electronics, 2020, 35(1): 535-545.
[19] 王立乔, 臧朔, 李翀, 等. 一种基于对称半桥功率解耦拓扑的单相电流型变换器[J]. 电工技术学报, 2024, 39(24): 7764-7776.
Wang Liqiao, Zang Shuo, Li Chong, et al. A single- phase current-source converter based on the sym- metrical half-bridge power decoupling topology[J]. Transactions of China Electrotechnical Society, 2024, 39(24): 7764-7776.
[20] 高圣伟, 李永宵, 田金锐, 等. 双频DC-DC变换器的磁集成技术[J]. 电工技术学报, 2024, 39(13): 4025-4036.
Gao Shengwei, Li Yongxiao, Tian Jinrui, et al. Magnetic integration of double frequency DC-DC converter[J]. Transactions of China Electrotechnical Society, 2024, 39(13): 4025-4036.
[21] 程鹤, 徐恺, 李朋圣, 等. 三相CLLC谐振变换器磁集成平面变压器设计与优化[J]. 电工技术学报, 2024, 39(12): 3774-3786.
Cheng He, Xu Kai, Li Pengsheng, et al. Design and optimization of three-phase CLLC resonant converter with magnetic integrated planar transformer[J]. Transactions of China Electrotechnical Society, 2024, 39(12): 3774-3786.
[22] 郭瑞, 韩冬, 任佳炜. 一种高增益耦合电感双管Sepic变换器[J]. 电机与控制学报, 2020, 24(7): 130- 138.
Guo Rui, Han Dong, Ren Jiawei. High gain double- switch Sepic converter with coupled inductors[J]. Electric Machines and Control, 2020, 24(7): 130-138.
[23] 李洪珠, 荆泽宇. 一种耦合电感增压直流变换器及其磁集成研究[J]. 电气工程学报, 2022, 17(2): 151- 159.
Li Hongzhu, Jing Zeyu. A research about DC-DC converter with coupled inductor and its magnetic integration technology[J]. Journal of Electrical Engineering, 2022, 17(2): 151-159.
[24] 荣德生, 黄鹤, 孙瑄瑨. 新型高增益耦合电感组合Sepic变换器[J]. 电源学报, 2022, 20(1): 46-55.
Rong Desheng, Huang He, Sun Xuanjin. Novel high- gain coupled inductor combination Sepic converter[J]. Journal of Power Supply, 2022, 20(1): 46-55.
Magnetic Integrated Coupled Inductance Double Switch High Gain Combined Switched Capacitor Sepic Converter
Abstract In recent years, high-gain DC-DC converters have been widely applied in renewable energy systems, industrial and information equipment, electric vehicles, and charging infrastructure. However, traditional high-gain coupled-inductor DC-DC converters suffer from limitations such as low voltage gain, which necessitates increasing the duty cycle or transformer turns ratio to achieve higher output voltage. It leads to increased losses in switches and diodes, reduced efficiency, and issues like larger transformer volume and leakage inductance, ultimately degrading converter performance. Consequently, research on DC-DC converters with high voltage gain, high power density, and high efficiency has become a focal point.
This paper proposes a magnetic-integrated coupled-inductor dual-switch high-gain combined switched- capacitor Sepic converter based on the traditional Sepic topology. The voltage gain is enhanced by integrating coupled inductor voltage-doubling technology with switched capacitor voltage-doubling technology at the rear stage. At the same time, a dual-switch unit is introduced at the front stage to reduce voltage stress on the switches. Magnetic integration is applied to the inductive components. The working principles of the proposed converter are analyzed, key performance parameters are derived, and methods for calculating losses and efficiency are provided. The rationality of the magnetic integration design is verified through magnetic simulation. Finally, an experimental prototype is constructed, and test waveforms are measured.
The proposed converter operates with an input voltage of 24 V, a transformer turns ratio of 1, and a duty cycle of 0.25, achieving an output voltage of 216 V and an output power of 200 W. By adjusting the load, the output power can be varied. Theoretical efficiencies at output powers of 160 W, 180 W, 200 W, 220 W, 240 W, and 260 W are 91.9%, 92.4%, 92.7%, 92.9%, 92.8%, and 92.1%, respectively. Under a 200 W load, the experimental efficiency reaches 92.4%.
To improve the performance of traditional high-gain DC-DC converters, this paper proposes a magnetic- integrated coupled-inductor dual-switch high-gain combined switched-capacitor Sepic converter. The converter exhibits the following features: (1) The converter can achieve a high voltage gain even at a low-duty cycle and a small turn ratio. When the duty cycle is 0.25 and the turn ratio is 1, the output voltage is 9 times the input voltage. (2) A diode-capacitor branch absorbs voltage spikes caused by leakage inductance, improving the converter's efficiency and limiting the voltage stress on the switches to approximately 23% of the output voltage. (3) By integrating discrete inductors with coupled inductors through magnetic integration technology, the number and volume of magnetic components are reduced, thereby significantly enhancing the overall power density of the converter.
Keywords:Decoupled magnetic integration, high voltage gain, Sepic converter, coupled inductor
中图分类号:TM46
DOI: 10.19595/j.cnki.1000-6753.tces.242271
辽宁省教育厅基本科研面上项目(LJZK0326)和内蒙古自治区高等学校科学研究重点项目(NJZZ22444)资助。
收稿日期 2024-12-17
改稿日期 2025-01-23
李洪珠 男,1974年生,博士,教授,研究方向为电力电子变换器、磁性器件集成技术。
E-mail: lhz_98@163.com
迟成奥 男,2001年生,硕士,研究方向为电力电子及其磁集成技术。
E-mail: chichengao0503@163.com(通信作者)
(编辑 陈 诚)