基于耦合电感协同控制的高带宽包络线跟踪电源设计

周 岩 李 淼 沈天明 杨宗政

(南京邮电大学自动化系 南京 210023)

摘要 开关线性复合型包络线跟踪电源架构能有效提高射频功放效率,但基于分立电感的开关变换器仅能覆盖较窄的信号频段,影响了电源效率的进一步提升。该文提出一种基于耦合电感协同控制的工作方式,不仅减少了分立电感的使用,而且可以通过配置耦合电感参数提升对宽频包络线信号的拟合精度。同时,耦合线圈之间的感应电压可以在电路导通时加速输出电压的建立,关断时实现电感能量的快速回馈,显著提高跟踪效率。通过改变电感响应压摆率的工作区间范围,研究电感覆盖区间与电源效率之间的最优关系。该文还搭建一台包络线跟踪电源原理样机,以跟踪IEEE 802.11a协议下64路正交频分复用(OFDM)调制的峰均功率比为10.07 dB、带宽为20 MHz、峰值功率为57 W的测试信号为例进行实验。与采用分立电感方式相比,耦合电感包络线跟踪(ET)电源最高效率由73.86%提升到80.83%,证明了所提研究方案的可行性和有效性。

关键词:包络线跟踪电源 开关变换器 耦合电感 电源效率

0 引言

为了提高频谱利用率,5G系统中射频信号普遍采用如正交调制(Quadrature Amplitude Modulation, QAM)、正交频分复用(Orthogonal Frequency- Division Multiplexing, OFDM)等高阶调制与发射技术,导致射频信号具有较高的峰均功率比(Peak-to- Average Power Ratio, PAPR)[1],如果采用恒压供电方式对线性功放(Linear Power Amplifier, LPA)进行供电,存在效率低下、能耗惊人等缺陷[2]

为了进一步提升射频功率放大器的效率,目前工程中主要采用了Doherty技术[3-4]、包络线消除与恢复(Envelop Elimination and Restoration, EER)技术[5-6]与包络线跟踪(Envelope Tracking, ET)技 术[7-8]。Doherty技术架构简单,在实际工程中广泛应用。但其工作频带较窄,不利于在宽频场合应用;EER技术要求非线性电源输出电压与RF幅值信息一致,RF信号与供电波形之间延时精确匹配,主要用于音频等窄带宽场合。ET电源具有高带宽、高线性度、高效率等优点,系统框图如图1所示。包络线检测环节通过提取RF包络信号作为ET电源的参考输出电压,输出电压波形越接近包络信号效率越高[9]。ET系统的整体效率主要受PA和ET电源的共同影响,因此研究提升ET电源效率具有重要的意义。

width=226.9,height=92.9

图1 ET技术系统框图

Fig.1 System diagram of ET technology

目前主流的包络线跟踪电源架构(Envelope Tracking Power Supply, ETPS)采用开关线性复合(Switch-Linear Hybrid, SLH)架构[10],将线性放大器(Linear Amplifier, LA)与开关变换器(Switching Converter, SC)通过串联[11]、并联[12]、串并联[13]等方式结合。RF信号的功率谱密度(Power Spectrum Density, PSD)主要集中在中、低频部分,利用高效率的开关变换器跟踪提供大部分的功率分量,线性放大器用来补充开关变换器无法跟踪的高频分量,使得整个系统兼具高效率与高线性度的优点。为了提升跟踪效率,SLH ET电源通常需要构造多个不同电感量的SC电路来响应不同斜率的跳变信号[14]。如基于分立电感设计不同跟踪带宽的SC电路,存在电路结构复杂、成本增加的缺点。

针对分立电感需要设计多个独立SC电路[15]的局限性,本文提出了使用耦合线圈代替分立电感的SLH ET电源方案。详细研究了高带宽开关变换器电感设计原理及其对应的跟踪控制策略,设计了一台跟踪带宽为20 MHz、峰值功率为57 W、64路子载波OFDM调制、PAPR值为10.07 dB信号的包络线跟踪电源原理样机。通过在磁环上绕制不同匝数的线圈配置耦合电感[16-18],根据信号跳变率范围划分电感工作区间。与采用分立电感相比,实验结果表明所提耦合电感方案在实现拓宽ET电源SC电路跟踪带宽、提高拟合精度和电源效率等方面具有显著优势。

1 高带宽跟踪电路的工作原理

RF信号的功率谱密度分布广泛,开关变换器的响应带宽主要受制于电感值,单个开关变换器难以覆盖较宽的频域。本文以并联型SLH ETPS架构ET电源为例,其中SC电路由低带宽SC与高带宽SC两部分组成,并联混合型ETPS架构如图2a所示。低带宽SC采用滞环比较器控制追踪低频功率分量,高带宽SC根据电压变化率所在区间选择导通支路。图2b所示为射频功放供电电流叠加模型,其中,R为射频功放等效电阻;Uenv为期望的包络电压;ULA为受控电压源,保证供电质量的可靠性;ILlow为低带宽支路电流;IL1ILn为高带宽支路电流。

width=224.5,height=216.6

图2 ET电源架构

Fig.2 ET power architecture

SLH ET电源效率由开关变换器和线性放大器有效输出功率和消耗功率的比值决定,其计算式为

width=141,height=42.95 (1)

式中,width=11,height=13.95为SC与LA输出功率增益系数,width=11,height=13.95=Pswitch/ Plinearwidth=27,height=15为SC的效率;width=24.95,height=15为LA的效率。由式(1)可见,提升系统效率的关键是提高SC电路的输出功率比重,以尽可能提供射频信号中的负载功率。因此,提升SC的带宽响应能力是实现ET电源高效率的关键因素[19]

在IEEE 802.11a协议下,基带信号在QAM64和64路子载波OFDM等调制策略下生成射频输出信号,其归一化概率密度分布如图3所示。定义包络信号峰谷值间的压摆率(Slew Rate, SR)为

width=78,height=29 (2)

式中,vpeakvvalley分别为包络信号的峰谷值;t为峰谷值间的时间间隔。射频功放可近似等效为无感电阻R,因此开关变换器电感两端电压可以表示为

width=75,height=28 (3)

width=213.7,height=196.1

图3 包络压摆率归一化概率密度分布

Fig.3 Normalized probability density distribution diagram of envelope pressure swing rate

由式(3)可知,获得理想的SR需要匹配对应的电感L。如图3所示,射频信号的SR分布广泛,为了获取较好的拟合精度,理论上需要若干电感值来拟合压摆率。为了降低设计的复杂度,将图3所示压摆率分割成若干典型区间。在某一区间内采用单一电感量,通过调整不同电感所覆盖的区间来获取最优的拟合精度与电源效率。由于信号中较低的压摆率所占比重较高,需选取多个电感值来覆盖低压摆率的信号区间。对于影响效率最大的高跳变信号,则需要设计较小的电感。由于分立电感数量与控制支路之间的一一对应关系,设计独立的电感电路显著增加了系统的复杂性。

采用耦合电感的方式可以实现利用少量的开关电路配置产生多个电感量。在单一个磁环上,可以根据所划分的压摆率区间设计绕组数量,根据需要的电感值调节匝数[20]。同时,耦合线圈并联工作时会产生互感现象,与分立电感相比,耦合电感的并联等效电感值要小得多。因此耦合电感既可以拟合低压摆率包络信号,又可以用并联后的小电感跟踪高压摆率的跳变信号,进一步提高了包络线跟踪拟合精度。

通过多路SC控制耦合电感导通支路,即可实现电感量的动态调节。以图3所示两电感为例,当处于包络压摆率较小的黄色区间时,选择大电感L1所在通路跟踪包络信号;当处于包络压摆率居中的绿色区间时,选择小电感L2所在通路导通;当处于包络压摆率极高的蓝色区间时,同时导通L1L2两组耦合电感满足高跳变需求。

2 耦合电感工作特征

2.1 多路耦合电感值的等效计算

并联耦合电感根据其共端的连接方式不同,可分为同侧(顺接)并联电路、异侧(反接)并联电路。由文献[21]可知,可以根据T型去耦等效的方法计算并联耦合电感的等效电感值。

同理,该方法可对N个相邻电感间为异名端的并联耦合电感进行去耦等效,如图4a所示。通过开关管Q1~Qn的开通与关断,可控制耦合电感L1Ln导通的路数。Mmn为第m个耦合电感和第n个耦合电感间的互感系数。当线圈中有电流通过时,根据法拉第感应定律,耦合电感的两个端口将会产生感应电压,其数值等于自感电压与互感电压之和。当图4a中的开关管Q1~Qn全部导通,对L1Ln进行等效,如图4b所示,对该电路进行化简,各个支路的感应电压为

width=233.85,height=283.4

图4 N个耦合电感并联等效

Fig.4 Equivalent parallel connection of N coupled inductors

width=229.95,height=161(4)

式(4)可简化表示为

width=33,height=13.95 (5)

利用克莱姆法则,可以求出各条支路的电流width=13,height=16,如图4b所示。总电流width=9,height=13为各个支路的电流width=13,height=16之和,定义矩阵A的行列式为D,令矩阵Dm为将A矩阵中的第m列替换为width=12,height=13.95矩阵中的值,则width=13.95,height=16width=9,height=13的计算公式分别为

width=41,height=27 (6)

width=100,height=16 (7)

由上述两个公式进行化简计算,从而获得并联的等效电感L

为了验证本文所提方法的可行性,本文以两电感组合为例进行实验。设两个电感的值分别为L1L2,并联后等效电感为Leq,根据上述耦合电感并联等效原理可以得出,当采用连接方式为异名端的耦合电感时,两电感间的互感为M并联等效电感为

width=84,height=31.95 (8)

当采用分立电感时,并联等效电感则为

width=60.95,height=30 (9)

对比式(8)和式(9),耦合电感并联等效后电感比分立电感更小。因此,当耦合电感两路绕组同时导通时,开关变换器能够跟踪压摆率更高的包络信号,从而提高ET电源的效率。

2.2 ET电源中耦合电感工作模态

与采用独立电感的SC工作情况不同,由于耦合电感之间存在感应电压,ET电源的工作模态更加丰富。图5a所示为单开关变换器导通瞬间时的工作模态。其中,Vin为输入电压,Q1与Q2为开关管,VD1和VD2为续流二极管,L1为大电感,L2为小电感,线圈匝数分别为N1N2N1N2),R为负载。

width=162.7,height=239.95

图5 单路开关变换器导通电路结构

Fig.5 Single channel switching converter conducting circuit structure

定义venv(t)为负载R两端电压,电感L1两端电压为v1(t)。当Q1导通瞬间时,电感L1所在的红色支路对包络信号进行拟合跟踪。L1两端电压为v1(t)可表示为

width=78,height=15 (10)

其中,电压方向为左正右负。由于L1L2之间存在耦合关系,在L2两端会感应出左负右正的感应电动势v2(t),其值为

width=66,height=30 (11)

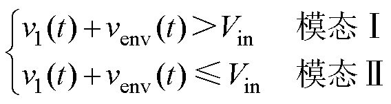
导通时模态Ⅰ:由于开关管Q1导通瞬间,负载R两端电压值较小,因此在蓝色支路中,L2两端电压v2(t)大于负载电压venv(t),VD4支路导通,电流流向如图5a蓝色箭头所示。由于此时L1L2同时为负载进行供电,加快了跟踪包络信号建立,减小了线性放大器的输出电流。

导通时模态Ⅱ:在加速导通过程中,venv(t)逐渐上升,v1(t)下降,导致v2(t)减小,当v2(t)<venv(t)时,蓝色支路关断,此时电路工作模态如图5b所示,只有红色支路L1继续为负载供电。

因此,当单开关变换器导通时,电路工作模态与v2(t)、venv(t)的关系如式(12)所示。同理,当开关管Q2导通时,情况类似。

width=103.95,height=33 (12)

分析另一种关断情况,当L2所在支路完成信号跟踪时,开关管Q2关断,蓝色支路导通,电路工作模态如图6a所示。L2两端电压方向为左负右正,通过肖特基二极管放电,负载两端电压下降。由于耦合电感间的耦合关系,在Q2关断瞬间,电感L1两端会感应出左正右负的感应电动势v1(t),其值为

width=66,height=30 (13)

关断时模态Ⅰ:当红色支路中存在关系

width=78,height=15 (14)

width=162.7,height=239.85

图6 单路开关变换器关断电路结构

Fig.6 Single channel switching converter shutdown circuit structure

此时,L1两端感应出较大的电动势使得红色支路导通,关断所需泄放的能量快速回馈到电源 中[22],避免了能量通过线性放大器泄放,因此提高了跟踪效率。

关断时模态Ⅱ:由于负载两端电压持续下降,当Q2关断一段时间后不再满足式(14),此时红色支路关断,电路工作模态如图6b所示,仅蓝色支路继续导通。

因此当width=15,height=15关断时,电路工作模态与v2(t)、venv(t)的关系如式(15)所示。同理,当开关管Q1关断时,情况类似。

width=124,height=33 (15)

3 实验验证

3.1 实验设计

与采用独立电感相比,耦合电感之间的耦合系数增加了设计自由度,可以在更宽的范围配置电感量。因此,配置耦合电感值并划分合理的工作区间可使ET电源工作效率最优。以两绕组耦合电感为例,可用3个电感值工作在如图3所示划分的3个压摆率区间。本文选择A、B、C三组不同的耦合电感和分立电感进行实验,见表1。在此基础上,通过改变电感的工作区间研究效率变化趋势。

表1 电感组合

Tab.1 Combinations of inductors

组别分立电感/mH耦合电感/mH A组6.8, 2.2, (1.7)6.8, 2.2, (1.1) B组10, 4.7, (3.2)10, 4.7, (1.5) C组10, 6.8, (4)10, 6.8, (2)

本文将高带宽SC电路中电感工作区间分为三段,见表2。电感L1覆盖压摆率在[SR1,SR2]区间,电感L2覆盖压摆率在[SR2,SR3]区间,电感Leq覆盖压摆率在[SR3, +∞width=6.95,height=15区间。对于压摆率较小的[0,SR1]区间,则由低带宽开关变换器负责跟踪。

表2 电感工作区间

Tab.2 Inductive working range

电 感工作区间 L1[SR1, SR2] L2[SR2, SR3] Leq[SR3,+∞]

为了避免不同区间同时变化难以确认最优效率,本文采用先固定两个SR工作点,调整单个SR的方法依次测试每个区间的最优效率。如固定SR1和SR2,更改SR3的取值,即改变Leq的工作区间。通过测量线性放大器和开关变换器的输入功率,观察工作区间变化时的效率曲线,即可确定Leq的最优工作区间。同理,可依次寻找L1L2的最优工作区间和最佳效率。

3.2 实验样机

为了验证上述提出的耦合电感开关变换器设计方法的可行性,以磁环绕制双线圈为例设计了一台ET电源原理样机,如图7所示。其中,①为低带宽SC电路,提供低带宽功率信号跟踪;②为高带宽SC电路,提供高带宽功率信号跟踪;③为线性放大器电路,补足开关变换器无法跟踪的极高频分量。射频功放等效为10 W的无感电阻,包络信号由Matlab生成,FPGA分析包络信号的压摆率提供相应的控制信号,所用器件见表3。

width=170.15,height=173.9

图7 ETPS原理样机

Fig.7 ETPS principle prototype

3.3 实验结果

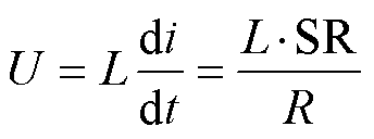
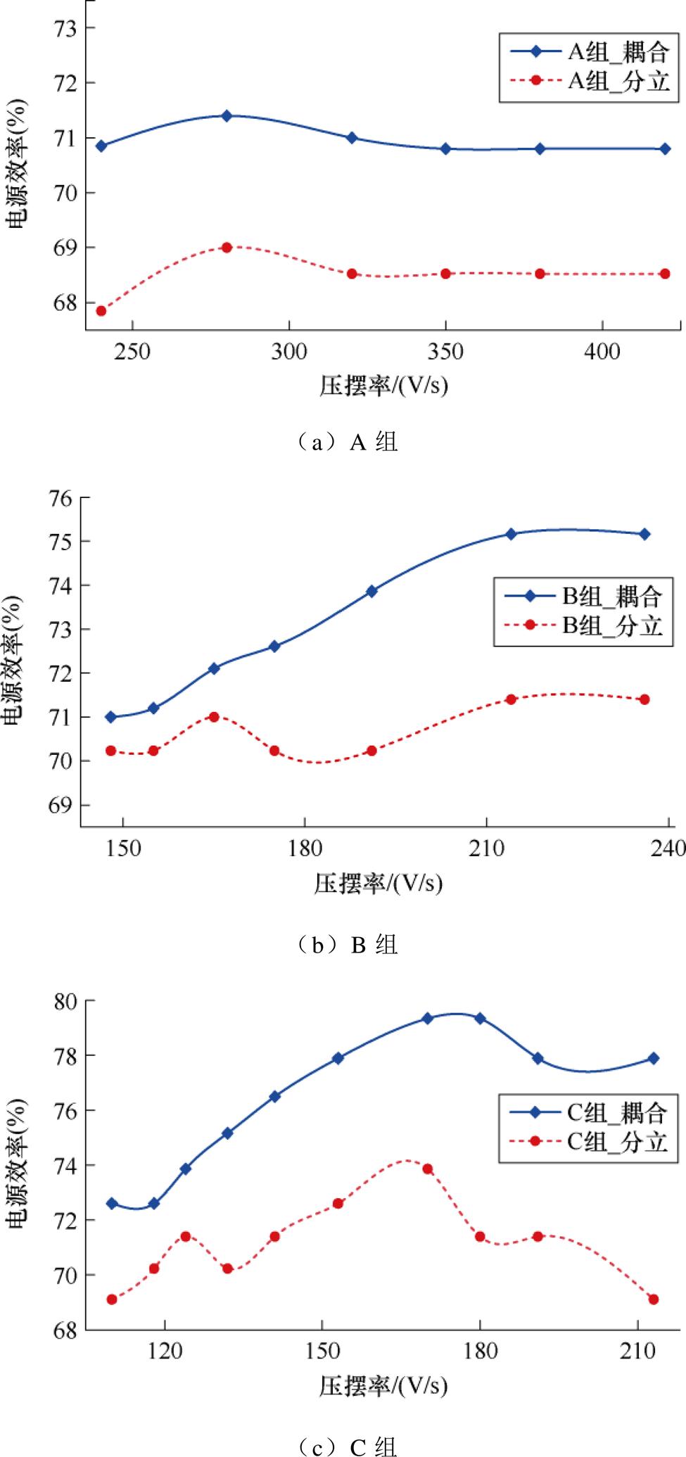
首先固定工作点SR1和SR2,改变SR3的工作点,通过改变Leq的工作区间[SR3,+∞width=6.95,height=15观察效率变化趋势,Leq不同工作区间效率变化如图8所示。由于耦合电感并联后电感值分布更均匀,能够拟合压摆率更宽的包络信号,从而整体提高了电源效率。对于耦合电感,A组SR3最优点为280、效率为71.4%;B组SR3最优点为214、效率为75.16%;C组SR3最优点为170、效率为79.34%。从实验结果可知,并联电感Leq工作区间如果过大,会导致流过开关管的脉动电流急剧增加,开关管导通损耗变大导致效率无法进一步增加。同样,Leq工作区间如果过小会使线性放大器工作电流增大,也会导致效率降低,因此需要给Leq配置合理的工作范围。

表3 ETPS原理样机所用器件

Tab.3 Components used in ETPS principle prototype

参 数数值 (型号) 开关变换器电路低带宽电感/mH68 开关管GS66502B 隔离驱动芯片SI8271GBD 续流二极管VSSAF3L45 数字控制平台FPGAxc7z020 线性放大器电路QnIRLR024 QpFDD4243 运算放大器THS4012 THS3001 电压偏置电路MMBFJ202

width=212.75,height=451.85

图8 Leq不同工作区间效率变化

Fig.8 Leq efficiency change chart in different work intervals

确定Leq的最优工作区间后,固定SR3工作点,以相同的方法找到L1L2的最优工作区间。实验结果如图9和图10所示。对于耦合电感,A组SR1和SR2最优点分别为100和148、效率分别为78.53%和72.61%;B组SR1和SR2最优点分别为90和130、效率分别为79.34%和77.89%;C组SR1和SR2最优点分别为65和88、效率分别为80.83%和79.34%。

由图8~图10可知,相较于分立电感,耦合电感在相同的工作条件下效率更高,证明了本文所提方法的可行性。在确定L1L2Leq的最优工作区间后,测量了不同电感参数组合下ETPS系统的最高效率,见表4。

width=209.75,height=452.45

图9 L2不同工作区间效率变化

Fig.9 L2 efficiency change chart in different work intervals

width=209.75,height=434.1

图10 L1不同工作区间效率变化

Fig.10 L1 efficiency change chart in different work intervals

表4 电感组合与最优效率

Tab.4 Inductance combination and optimal efficiency (%)

电感组合A组B组C组 分立电感71.472.6173.86 耦合电感78.5379.3480.83

综上所述,选择合适的耦合电感组合参数对于ETPS效率有着显著的影响,需要尽可能地提升开关变换器的覆盖带宽区间。对于电感值选择及其区间划分有如下建议:①对于L1而言,主要考虑覆盖40%概率的压摆率跳变信号,电感值相对较大; ②对于L2则选择L1/2左右的电感值,以覆盖45%概率的压摆率跳变信号;③对于剩余15%概率的压摆率极高的跳变信号,则由并联后的等效电感Leq响应。

图11a示出了基带信号在IEEE 802.11a协议下经过QAM64与64路子载波OFDM调制后,基于Matlab环境中生成的原始包络信号。该信号数据载入FPGA,经D-A转换后送入ET电源作为包络跟踪参考信号。图11b示出了采用C组耦合电感的ETPS跟踪20 MHz带宽的包络信号的实验波形,其中,v0为ETPS系统的输出电压,venv为RF包络信号,iL1为磁环电感L1所对应的输出电流,iL2为磁环电感L2所对应的输出电流,两路电感输出电流均能较高的响应所需跟踪的跳变信号,达到了设计目的。可见本文所提出的基于耦合电感的高带宽包络跟踪电源能够实现对包络信号的有效跟踪,并且显著提高了ETPS的效率。

width=226.9,height=351.55

图11 ETPS系统工作波形

Fig.11 ETPS system working waveforms

4 结论

本文提出了基于耦合电感协同控制的高带宽包络线跟踪电源设计方法,研究了SLH ETPS并联型拓扑工作原理、高带宽开关变换器电路控制策略、耦合电感并联等效计算方法、ETPS中耦合电感工作模态等内容,详细讨论了耦合线圈电感量配比方法及其响应压摆率工作区间的调整方法。在此基础上,搭建了一台以跟踪QAM64、OFDM调制信号的包络线跟踪电源原理样机,验证了所提方法的可行性。与采用传统分立电感ET电源相比,采用耦合电感协同控制的包络线跟踪电源原理样机最高效率从73.86%提升至80.83%,证明了所提方法的有效性。

参考文献

[1] Gilabert P L, Montoro G, Vegas D, et al. Digital predistorters go multidimensional: DPD for con- current multiband envelope tracking and outphasing power amplifiers[J]. IEEE Microwave Magazine, 2019, 20(5): 50-61.

[2] Kim J, Son J, Jee S, et al. Optimization of envelope tracking power amplifier for base-station appli- cations[J]. IEEE Transactions on Microwave Theory and Techniques, 2013, 61(4): 1620-1627.

[3] Doherty W H. A new high efficiency power amplifier for modulated waves[J]. Proceedings of the Institute of Radio Engineers, 1936, 24(9): 1163-1182.

[4] Saurabh K, Singh S. Architectures for efficiency enhancement in power amplifiers[J]. Journal of the Institution of Engineers (India): Series B, 2024, 105(2): 385-396.

[5] Kahn L R. Single-sideband transmission by envelope elimination and restoration[J]. Proceedings of the IRE, 1952, 40(7): 803-806.

[6] Varlamov O, Nguyen D C, Grebennikov A. Broad- band and efficient envelope amplifier for envelope elimination and restoration/envelope tracking higher- efficiency power amplifiers[J]. Sensors, 2022, 22(23): 9173.

[7] 阮新波, 金茜. 包络线跟踪电源技术综述[J]. 电工技术学报, 2017, 32(4): 1-11.

Ruan Xinbo, Jin Qian. A review of envelope tracking power supply[J]. Transactions of China Electro- technical Society, 2017, 32(4): 1-11.

[8] Babu A, Shivaleelavathi B G, Yatnalli V. A com- prehensive review on supply modulators and control strategies for envelope tracking RF power amplifiers in mobile communication[J]. IETE Journal of Research, 2023, 69(5): 2337-2349.

[9] Liu Ning, RuanXinbo, Li Qi. A triangular-wave current control for parallel-form switch-linear hybrid envelope tracking power supply to achieve high efficiency[J]. IEEE Transactions on Power Elec- tronics, 2024, 39(7): 8417-8424.

[10] Miaja P F, Rodriguez M, Rodriguez A, et al. A linear assisted DC/DC converter for envelope tracking and envelope elimination and restoration applications[J]. IEEE Transactions on Power Electronics, 2012, 27(7): 3302-3309.

[11] Gonzalez M C, Vasic M, Alou P, et al. Transformer- coupled converter for voltage modulation tech- niques[J]. IEEE Transactions on Power Electronics, 2013, 28(5): 2330-2342.

[12] Lin Yuchen, Chen Y E. A CMOS envelope tracking supply converter for RF power amplifiers of 5G NR mobile terminals[J]. IEEE Transactions on Power Electronics, 2021, 36(6): 6814-6823.

[13] Jin Qian, RuanXinbo, Ren Xiaoyong, et al. Series- parallel-form switch-linear hybrid envelope-tracking power supply to achieve high efficiency[J]. IEEE Transactions on Industrial Electronics, 2017, 64(1): 244-252.

[14] 邵侠鸿, 李鋆辉, 周岩, 等. 包络线跟踪电源多电感选择开关电路设计[J]. 电力电子技术, 2024, 58(6): 46-49.

Shao Xiahong, Li Junhui, Zhou Yan, et al. multi- inductor selective switching circuit design for envelope tracking power supply[J]. Power Electronics, 2024, 58(6): 46-49.

[15] 程翔鹏, 刘进军, 邵钰, 等. 峰值电流控制Buck变换器高频建模及结合遗传算法的控制器优化设计[J]. 电工技术学报, 2024, 39(1): 217-232.

Cheng Xiangpeng, Liu Jinjun, Shao Yu, et al. High-frequency modeling for peak current-model Buck converters and optimal controller design by combining genetic algorithm[J]. Transactions of China Electrotechnical Society, 2024, 39(1): 217- 232.

[16] 王哲, 李驰, 郑泽东, 等. 一种基于耦合电感的高增益软开关谐振变换器[J]. 电工技术学报, 2024, 39(1): 194-205.

Wang Zhe, Li Chi, Zheng Zedong, et al. A high step- up ZVS/ZCS resonant converter based on coupled inductor[J]. Transactions of China Electrotechnical Society, 2024, 39(1): 194-205.

[17] 李洪珠, 程利弘, 魏昕, 等. 耦合电感倍压解耦磁集成高电压增益变换器[J]. 电工技术学报, 2023, 38(6): 1584-1595.

Li Hongzhu, Cheng Lihong, Wei Xin, et al. Coupled inductance voltage doubling decoupling magnetic integrated high voltage gain converter[J]. Transa- ctions of China Electro-technical Society, 2023, 38(6): 1584-1595.

[18] 房绪鹏, 郭玉洁, 孟祥瑞, 等. 开关钳位型高增益耦合电感DC-DC变换器[J/OL]. 电源学报, 1-14. [2025-03-11]. https://link.cnki.net/urlid/12.1420.TM. 20240925.1708.004.

Fang Xupeng, Guo Yujie, Meng Xiangrui, et al. Switch clamped high gain coupled inductor DC-DC converter[J/OL]. Journal of Power Supply, 1-14. [2025-03-11]. https://link.cnki.net/urlid/12.1420.TM. 20240925.1708.004.

[19] 潘勇. 混合类包络跟踪电源调制技术研究[D]. 成都: 电子科技大学, 2019.

Pan Yong. The research of hybrid envelope tracking power modulation technology[D]. Chengdu: University of Electronic Science and Technology of China, 2019.

[20] 高圣伟, 李永宵, 田金锐, 等. 双频DC-DC变换器的磁集成技术[J]. 电工技术学报, 2024, 39(13): 4025-4036.

Gao Shengwei, Li Yongxiao, Tian Jinrui, et al. Magnetic integration of double frequency DC-DC converter[J]. Trans-actions of China Electrotechnical Society, 2024, 39(13): 4025-4036.

[21] 刘万强, 王艳萍. 含耦合电感电路的分析[J]. 电子技术与软件工程, 2016(14): 126-127.

Liu Wanqing, Wang Yangping. Analysis of circuits with coupled inductors[J]. Electronic Technology & Software Engineering, 2016(14): 126-127.

[22] 刘浩然, 陈武, 黄垂兵, 等. 一种能量回馈型脉冲电流消磁电源及其控制方法[J]. 电工技术学报, 2024, 39(19): 5969-5977.

Liu Haoran, Chen Wu, Huang Chuibing, et al. An energy feedback pulse current degaussing power supply and control method[J]. Transactions of China Electrotechnical Society, 2024, 39(19): 5969-5977.

Design of High Bandwidth Envelope Tracking Power Supply Based on Coupled Inductors Collaborative Control

Zhou Yan Li Miao Shen Tianming Yang Zongzheng

(Department of Automation, Nanjing University of Posts and Telecommunications Nanjing 210023 China)

Abstract To improve spectrum utilization efficiency, 5G systems widely employ high-order modulation and transmission technologies such as QAM and OFDM for radio frequency (RF) signals, resulting in signals with high peak-to-average power ratio (PAPR). The mainstream envelope tracking (ET) power supplies employ the switch-linear hybrid (SLH) architecture, combining linear amplifiers and switching converters (SCs) in series, parallel, or series-parallel configurations to enhance the efficiency of RF power amplifiers. The power spectral density (PSD) of RF signals is primarily concentrated in mid-to-low frequency bands. High-efficiency switching converters are utilized to track and supply most power components. At the same time, linear amplifiers compensate for high-frequency components that switching converters cannot track, enabling the system to achieve both high efficiency and excellent linearity. However, the wide slew rate distribution of high PAPR RF signals requires constructing multiple SC circuits with different inductance values in SLH ET power supplies to respond to varying voltage slew rate (SR) signals. As a single inductance value only covers a narrow SR range, discrete inductors need to be built to achieve the exact amounts of the corresponding SCs. Therefore, traditional discrete inductor-based designs significantly increase system complexity.

This paper proposes a coupled-inductor cooperative control strategy to reduce the number of discrete inductors and enhance fitting accuracy by optimizing inductance configuration. According to divided slew rate intervals, winding quantities and their turn numbers can be designed to get the required inductance values on a single magnetic core. Based on the coupled inductor, the mutual inductance effect during parallel operation generates amore reasonable equivalent inductance distribution. Thus, the coupled inductor can track both low SR envelope signals and high SR transient signals through parallel-connected inductors, further improving tracking accuracy. The operating ranges of SR in coupled inductors significantly impact ETPS efficiency: (1) Inductor L1 with a relatively large value covers 40% probability of SR signals; (2) L2 with approximately half of width=16,height=15 value handles 45% probability of SR signals; (3) The remaining 15% extreme SR signals are addressed by parallel equivalent inductance Leq. Optimized fitting accuracy and efficiency are achieved by adjusting inductance coverage ranges.

Unlike SC configurations with discrete inductors, the ETPS based on coupled inductors exhibits richer operational modes due to the mutual induction voltages between windings. The mutual induction voltages accelerate the establishment of the output voltage during circuit turn-on and enable rapid energy recovery during turn-off, significantly enhancing tracking efficiency. Taking a dual-winding coupled inductor (L1 and L2) as an example: L1 is a large inductor and L2 a smaller one, with winding turns N1 and N2, respectively. When switch controlling L1 is turned on, the coupling between L1 and L2 induces an opposing electromotive force (EMF) across L2. Since L1 and L2 simultaneously supply power to the load during this phase, the envelope signal tracking is accelerated, reducing the output current demand on the linear amplifier. During the turn-off of the switch controlling L2, the coupling effect generates a reverse EMF across L1. As a result, the energy stored in the inductors rapidly feeds back to the power supply rather than being dissipated through the linear amplifier, thereby improving tracking efficiency.

A prototype ETPS was developed and tested with 64-QAM OFDM signals under the IEEE 802.11a standard, featuring a 10.07 dB PAPR, a 20 MHz bandwidth, and a 57 W peak power. Compared with discrete inductor solutions, the coupled-inductor ETPS improves efficiency from 73.86% to 80.83%.

Keywords:Envelope tracking power supply, switching converter, coupled inductor, power supply efficiency

中图分类号:TM552

DOI: 10.19595/j.cnki.1000-6753.tces.242020

收稿日期2024-11-08

改稿日期 2025-03-12

作者简介

周 岩 男,1980年生,教授,研究方向为包络线跟踪电源技术。

E-mail: zhouyan@njupt.edu.cn(通信作者)

李 淼 男,2001年生,硕士,研究方向为包络线跟踪电源技术。

E-mail: 1909141966@qq.com

(编辑 郭丽军)