摘要 在双向感应式电能传输系统中,需要相位同步以维持稳定功率传输。该文推导双边LCC补偿双向感应式电能传输系统的稳态功率传输特性,提出一种基于功率同步控制的双向感应式电能传输系统相位同步方法。所提相位同步方法充分利用了系统内在功率-相位特性,可同时实现功率调控和相位同步。该方法不使用额外的硬件,无需辅助线圈,无需高速、高精度的检测与调理电路,能够降低系统的复杂度和成本,且易于实现。建立所提方法的控制环路模型,给出系统的效率优化控制方法。搭建实验平台,对所提相位同步方法和效率优化控制方法的正确性与有效性进行了实验验证,结果表明,所提相位同步方法能够实现系统的稳定功率传输与功率调控,效率优化控制方法提升了系统在宽负载范围工况下的效率。
关键词:双向感应式电能传输 相位同步 功率-相位特性 功率同步控制
无线电能传输(Wireless Power Transfer, WPT)技术具有电气隔离、安全、便利、灵活等优势,在智能家居[1]、医疗电子[2-3]、工业自动化[4-6]等领域得到了广泛应用。感应式电能传输(Inductive Power Transfer, IPT)技术作为WPT技术的一种重要形式,广泛应用在电动汽车无线充电应用场合 中[7-9]。而随着电动汽车数量的快速增长,电动汽车通过车网互动(Vehicle to Grid, V2G)技术参与电网调度的潜力受到了广泛关注[10],此时,要求IPT系统具有双向功率调节能力。相比于单向IPT系统,双向感应式电能传输(Bidirectional Inductive Power Transfer, BIPT)系统能够实现功率双向流动,而不需要额外的DC-DC变换器来实现电压匹配控制,因此,减小了系统的损耗、成本与复杂度。
BIPT系统通常采用串-串补偿网络或双边LCC补偿网络[11-12],系统传输功率的大小和方向取决于一次、二次侧全桥分别输出的交流激励电压之间的相对相位。因此,为了维持稳定的功率传输,该相对相位在稳态下必须保持不变。然而,在BIPT系统中,一次、二次侧全桥分别由相互独立的控制器控制,彼此之间不存在直接电气连接。由于一次、二次侧控制器的载波频率不可能严格相等,一次、二次侧全桥分别输出的交流激励电压之间的相对相位将以差频变化,进而导致传输功率的大小和方向持续波动。为了确保BIPT系统的稳定功率流,需要进行相位同步控制。
目前,已经有许多文献针对BIPT系统的相位同步方法展开了研究。文献[13]提出了一种采用辅助线圈的相位同步方法。该辅助线圈与功率线圈在磁路上解耦,一次侧交流激励电压的相位信息可以通过辅助线圈和二次侧的过零检测电路转换为二次侧的驱动信号。该方法避免了复杂的信号调理电路,但是需要额外的线圈与半桥电路。此外,当一侧的辅助线圈相对于另一侧的功率线圈发生偏移时,两组线圈之间会产生不可避免的交叉耦合,进而影响相位同步控制。文献[14-15]所提相位同步方法与文献[13]类似,均是利用额外的辅助线圈来获取相位信息。另一类相位同步方法是通过检测二次侧全桥交流端口电流来获取一次侧全桥交流激励电压的相位。文献[16]检测串-串补偿BIPT系统的二次侧全桥交流端口电流信号,并进行低通滤波,随后经过过零检测电路后送入二次侧控制器中,从而获得一次侧全桥交流激励电压的相位,进而采用锁相环(Phase Locked Loop, PLL)进行相位同步控制。文献[17]针对双边LCC补偿BIPT系统采用了类似的相位同步方法。然而,为了避免由谐波造成的电流多次过零对相位同步的影响,补偿网络的设计需要进行特别考虑。文献[16-17]通过过零检测来提取相位,而文献[18]则通过正交鉴相来提取相位。将二次侧全桥交流激励电压信号与二次侧全桥交流端口电流信号(同相分量)、移相
后的二次侧全桥交流端口电流信号(正交分量)利用高速模拟乘法器分别相乘,再分别经过低通滤波器后提取直流分量,对所得同相直流分量与正交直流分量采用反正切运算即可提取相位。然而,除了电压和电流的基波分量外,电压和电流同频次的谐波分量相乘也同样会产生直流分量,从而导致同步锁相误差。因此,文献[16-18]所提相位同步方法均对谐波敏感。为了减小谐波对相位同步的影响,文献[19]提出了一种对谐波不敏感的相位同步方法。该文献构造了一对基波正交的多电平阶梯信号,其中同相多电平阶梯信号与二次侧全桥交流激励电压基波同相位。通过适当地选取各电平的高度与宽度,可以消除多电平阶梯信号中特定次的谐波分量。利用二次侧全桥交流端口电流以及这一对基波正交的多电平阶梯信号进行正交鉴相,可以减小谐波对同步锁相误差的影响。然而,该方法仍需要使用高速多路复用器。文献[20]通过直接数字式频率合成(Direct Digital Synthesis, DDS)技术生成正弦的同相信号和正交信号,并与二次侧全桥交流端口电流信号做正交鉴相,尽管该方法对谐波不敏感,但需要高速的FPGA控制器以及高采样率的模数转换器(Analog-to-Digital Con- verter, ADC)芯片。
上述文献所提出的相位同步方法均需要额外的辅助硬件,使得系统复杂度和成本增加。文献[21-23]提出了一种基于扰动观察(Perturbation and Obser- vation, P&O)算法的相位同步方法。通过扰动观察算法,可以使系统工作在二次侧全桥直流端口输出电流极大值点(或极小值点,取决于功率传输方向),相应地,一次、二次侧交流激励电压之间的相对相位也被锁定在
(符号取决于功率传输方向)。该方法不需要额外的辅助硬件,然而采用该方法仅能够实现双移相控制,尽管交流环节功率因数较高,但难以实现所有功率开关管在宽负载范围工况下的零电压开通(Zero Voltage Switching, ZVS)[24]。
本文提出了一种基于功率同步控制的双向感应式电能传输系统相位同步方法。所提方法充分利用了系统内在功率-相位特性,可同时实现功率调控和相位同步,且能够实现三移相效率优化控制。该方法不使用额外的硬件,无需辅助线圈,无需高速、高精度的检测与调理电路,能够显著降低系统复杂度和成本,且易于实现。本文的结构如下:首先推导了双边LCC补偿双向感应式电能传输系统的稳态功率传输特性;其次提出了基于功率同步控制的双向感应式电能传输系统相位同步方法,并对控制环路进行了分析与建模,此外给出了系统的效率优化控制方法;最后搭建仿真模型与实验平台,验证了所提相位同步方法和效率优化控制方法的正确性与有效性。
图1为双边LCC补偿双向感应式电能传输系统的示意图。其中,功率开关管Sp1~Sp4构成一次侧全桥,Ss1~Ss4构成二次侧全桥。一次线圈自感、二次线圈自感以及一次与二次线圈之间的互感分别为Lp、Ls和M。
图1 双边LCC补偿BIPT系统
Fig.1 The dual-side LCC-compensated BIPT system
双边LCC补偿网络分别由一次、二次侧谐振电感Lrp和Lrs,一次、二次侧并联谐振电容Crp和Crs,以及一次、二次侧串联谐振电容Cp和Cs组成。双边LCC补偿网络的谐振角频率通常被设计为开关角频率
,即
(1)
式中,
=
,
为开关频率。
双边LCC补偿双向感应式电能传输系统通常采用移相调制(Phase Shift Modulation, PSM)。一次、二次侧全桥分别在移相调制下输出正负脉宽对称的两电平或三电平的方波交流激励电压up和us,双边LCC补偿BIPT系统的稳态波形如图2所示。为了简化分析,忽略损耗电阻rrp、rp、rrs和rs。采用基波分析(Fundamental Harmonic Approximation, FHA)法,并根据基尔霍夫定律,可得一次、二次线圈电流的基波分量
和
,一次、二次侧全桥交流端口电流的基波分量
和
的表达式分别为
(2)

图2 双边LCC补偿BIPT系统的稳态波形
Fig.2 Steady-state waveforms of the dual-side LCC-compensated BIPT system
根据Fourier分解,一次、二次侧全桥方波交流激励电压的基波相量
和
可以表示为
(3)
式中,Udcp和Udcs分别为一次、二次侧全桥直流端口电压;
和
分别为up和us的脉宽角;
为
相对于
的相位。当
超前
时,
为正;否则,
为负。
进一步地,可得系统从二次侧向一次侧传输的基波有功功率为
(4)
式中,“*”表示共轭;
为一定脉宽的up和us激励下系统能够传输的固有最大基波有功功率。在本文设定的参考方向惯例下,当
时,功率从二次侧传输至一次侧;当
时,功率从一次侧传输至二次侧。
在实际中,方波交流激励电压up和us以及全桥交流端口电流irp和irs分别含有可观的奇数次谐波。然而,由于双边LCC补偿网络的阻抗特性,任一次数的谐波电流总是滞后于相同次数的谐波电压
相位,因此谐波电压和谐波电流仅对补偿网络及线圈回路的无功功率产生贡献,并不产生从二次侧向一次侧传输的有功功率。
综上所述,双边LCC补偿双向感应式电能传输系统的稳态功率传输特性可以由式(4)表示。由于传输功率的大小、方向与相位
直接相关,式(4)可被称作功率-相位特性。可以注意到,式(4)在形式上与同步电机的有功功率特性一致。
同步电机能够与交流电网维持同步,其同步机制是一种功率同步机制[25]。类似地,在双边LCC补偿BIPT系统中,二次侧交流激励电压同样也可以利用功率同步机制与一次侧交流激励电压维持同步。
实现一次、二次侧交流激励电压相位同步的必要条件是二者的频率保持一致。因此,需要对二次侧交流激励电压的频率进行调节。传统变频调制方式是通过改变数字控制器的载波周期寄存器值,从而改变载波周期实现变频。然而,传统调制方式的变频分辨率不高;针对这一问题,本文提出一种BIPT系统高分辨率变频调制方式,该调制方式不改变载波的频率,而是通过相位调制的方式间接对频率进行调制。
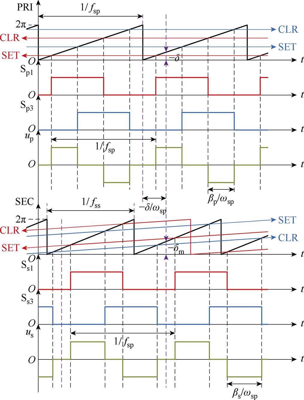
BIPT系统高分辨率变频调制的工作原理如图3所示,一次、二次侧控制器均采用向上计数的锯齿载波,载波频率分别为fsp和fss。值得说明的是,尽管将一次、二次侧控制器的载波周期寄存器值设置相等,二者的载波频率fsp和fss也不可能严格相等,为了更清晰地展示,在图3中放大了二者载波频率的差异。通过对置位(SET)值以及清零(CLR)值进行合适地配置,可以得到三电平方波的交流激励电压。稳态下,一次侧控制器的SET值与CLR值保持为常数,从而产生频率为fsp、脉宽为
的三电平交流激励电压up。类似地,若二次侧控制器的SET值与CLR值也保持为常数,则同样可以产生频率为fss、脉宽为
的三电平交流激励电压us。
图3 BIPT系统高分辨率变频调制的工作原理
Fig.3 Working principles of the high-resolution variable frequency modulation of the BIPT system
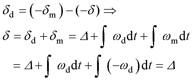
然而,由于up和us的频率存在微小差异,相位
会以差频fd=fss-fsp变化,导致传输功率也产生相应变化。为了维持稳定的功率传输,二次侧控制器的SET值与CLR值必须以频率fd变化。若
,则SET值与CLR值增大,即逐渐滞后载波;若
,则SET值与CLR值减小,即逐渐超前载波。图3中即展示了当
,SET值与CLR值增大,逐渐滞后载波的情况。可以证明,频率为fss的载波配合以频率fd变化的SET值与CLR值,能够产生频率为fsp的交流激励电压us。
故在稳态下实现相位同步时,根据图3,得
(5)
式中,
为相位
的稳态值;
为二次侧控制器载波相对于一次侧控制器载波的相位,其变化的角频率
=
。若二次侧载波超前于一次侧载波,
为正;否则,
为负;
为二次侧交流激励电压基波相量
的正过零点相对于二次侧控制器载波零点的相位,实现相位同步时,其变化的角频率
=
。若
的正过零点超前二次侧载波零点,
为正;否则,
为负。
所提高分辨率变频调制方式并不改变载波的频率,而是通过对相位
进行调制,间接地调节所生成交流激励电压的频率。由于
变化的角频率
可以被高分辨率调节,因此该变频调制方式具有高分辨率的特点,是后续相位同步控制的基础。
为了实现稳定的功率传输,在二次侧控制器中需要进行相位同步控制。相位同步控制的目标是使
在稳态下以角频率
变化,从而得到稳定的稳态相位
。本文提出一种基于功率同步控制的相位同步方法,其控制框图如图4所示。
图4 基于功率同步控制的相位同步方法控制框图
Fig.4 Control block diagram of the synchronization method based on power-synchronization control
如图4a所示,通过比较功率指令Pref与反馈的实际功率P,可以得到功率误差,其中,实际功率可以在二次侧全桥直流端口测量得到。随后,将功率误差输入环路控制器Gc中,环路控制器的输出则被送至压控振荡器(Voltage Controlled Oscillator, VCO)中,最后,压控振荡器将输出
,
将用于高分辨率变频调制。
对被控对象在稳态工作点附近进行小信号线性化,有
(6)
由此可以得到控制环路在复频域下的小信号模型,如图4b所示,该模型可以指导环路控制器Gc的设计。一次、二次侧载波频率存在的差异,会对环路造成扰动
,其在时域中的表达式为
,在复频域中的表达式为
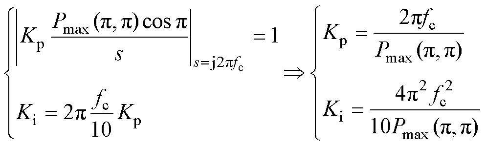
。根据内模原理,为了消除该扰动的影响,环路开环传递函数必须至少为Ⅱ型系统。因此,环路控制器Gc可以灵活选取,只要保证环路控制器Gc至少为I型控制器。在本文中,选取PI控制器作为环路控制器Gc,并在
=
=
,
的稳态工作点下对PI控制器Gc进行参数设计,其参数选取为
(7)
式中,fc为控制器矫正后环路的穿越频率。
如图5所示为双边LCC补偿BIPT系统的基波相量图,定义
和
分别为一次侧和二次侧全桥交流端口的基波功率因数角,可以推导得到
(8)
式中,
和
分别为一次侧和二次侧全桥交流端口的基波功率因数。当
=
(功率
,从二次侧流向一次侧)和
(根据相位周期性,亦为
,功率P < 0,从一次侧流向二次侧)时,交流环节功率因数的绝对值取到最大值1;当
逐渐偏离
和
,交流环节功率因数的绝对值也会逐渐从1逐渐减小。
通过所提基于功率同步控制的相位同步方法,可以得到稳定相位
并实现功率调控,然而若仅通过
来调控功率,则根据式(8),在传输功率减少时,交流环节功率因数的绝对值会下降,导致系统效率降低。因此,还需要对一次、二次侧交流激励电压的脉宽角
和
进行联合调控,在传输功率减少时同步减小脉宽角
和
,缓解功率因数下降程度,从而对系统的效率进行优化。
图5 双边LCC补偿BIPT系统的基波相量图
Fig.5 Fundamental phasor diagram of the dual-side LCC-compensated BIPT system
已经有文献针对BIPT系统,通过联合调控脉宽角
、
和
这三个相位,对系统效率进行优化控制,如文献[26-27]针对串-串补偿BIPT系统提出了三移相效率优化控制策略,文献[24]针对双边LCC补偿BIPT系统提出了三移相效率优化控制策略。本文将沿用文献[24]的三移相效率优化控制策略,针对采用所提相位同步方法的双边LCC补偿BIPT系统,给出对应的效率优化控制方法。
根据文献[24],为了辅助一次、二次侧全桥功率开关管实现ZVS,需要在
为
和
(或
)的基础上,引入额外的相位变化量
,即应当将相位
调控为
(9)
在本文中,
的取值根据传输功率的大小自适应变化。需要注意的是,所提相位同步方法是直接调控功率,通过功率同步控制来实现相位同步,而无法直接调控
。为了对
进行调控,需要通过调控脉宽角
和
来间接实现。
图6展示了不同脉宽角
、
条件下双边LCC补偿BIPT系统的功率-相位特性曲线。通常,双边LCC补偿BIPT系统运行在
处于
,
(或
, 

,
)的区间内。以功率
的情况为例,当脉宽角
和
一定时,随着传输功率的降低,相位
逐渐向
增大;当传输功率一定时,随着脉宽角
和
的降低,
逐渐向
减小。功率
的情况同理。因此,当
处于
,
和
,
(亦为
,
)区间内时,通过减小脉宽角
和
,可以将
调控成如式(9)所示的值。
图6 双边LCC补偿BIPT系统的功率-相位特性曲线
Fig.6 Power-phase characteristic curves of the dual-side LCC-compensated BIPT system
当脉宽角
和
减小后,可能出现功率指令值Pref>
的情况,此时,系统将不存在稳态工作点。为了避免这一情况,需要对功率指令进行限幅,将功率指令限制在
区间内,其中
为一个小于1的正数,在本文中取
=0.9。此外,二次侧控制器需要对
的大小进行估计。一种可行的方法是,令系统功率指令Pref=0,在环路中注入频率为fexct的小扰动Pper,并在环路的In和Out节点提取与扰动频率相同的分量,
估计方法的控制框图如图7所示。在功率同步控制下,系统稳态传输功率P=0,
的稳态值
,此时有
(10)

图7
估计方法的控制框图
Fig.7 Control block diagram of the
estimation method
在实际中,可以在系统启动时对
进行估计,则系统运行时任一脉宽角
和
组合下的
可以通过
换算得到
(11)
式中,
为与系统参数相关的系数。二次侧控制器可以通过无线通信模块得到一次侧全桥直流端口电压Udcp和一次侧交流激励电压脉宽角
。
当|Pref|>
时,说明在此时的脉宽角
和
组合下,系统无法满足功率指令需求,因此需要增大脉宽角
和
。
综上所述,二次侧控制器对脉宽角
的调控方式为
(12)
其中
(13)
双边LCC补偿BIPT系统的电压匹配条件为
(14)
式中,
为最优交流激励电压比。
一次侧控制器对脉宽角
的调控,将根据式(14)的电压匹配条件得到
(15)
式中,一次侧控制器可以通过无线通信模块得到二次侧全桥直流端口电压Udcs和二次侧交流激励电压脉宽角
。
双边LCC补偿BIPT系统,在采用所提相位同步方法下对应的效率优化控制框图如图8所示。假设系统工作在如图6所示的a点,功率指令从Pref1变为Pref2后,系统将在二次侧控制器的功率同步控制下,从a点沿着功率-相位特性曲线到达b点;b点处,由于
处于
区间内,二次侧控制器将脉宽角
从
减小至
,一次侧控制器对应地也将脉宽角
从
减小至
,由于
不能突变,系统将从b点运行至c点;随后,系统在二次侧控制器的功率同步控制下,从c点沿着功率-相位特性曲线到达d点;d点处,
仍处于
区间内,二次侧、一次侧控制器分别将脉宽角
和
从
和
减小至
和
,系统将从d点运行至e点;随后,系统在二次侧控制器的功率同步控制下,从e点沿着功率-相位特性曲线到达f点;f点处,
已经被控制为
,脉宽角
和
不再减小,系统以较优效率运行。
图8 双边LCC补偿BIPT系统的效率优化控制框图
Fig.8 Efficiency optimization control block diagram of the dual side LCC compensated BIPT system
假设系统工作在如图6所示的f点,功率指令从Pref2变为Pref1后,由于Pref1>
,Pref1被限幅至
,系统将在二次侧控制器的功率同步控制下,从f点沿着功率-相位特性曲线到达g点,g点有
+
≈
;限幅器的饱和标志位会使二次侧控制器将脉宽角
从
增大至
,一次侧控制器对应地也将脉宽角
从βp2增大至βp1,系统将从g点运行至h点;h点处,Pref1恰好等于
,限幅器退出饱和,脉宽角
和
不再增大。
假设系统工作在如图6所示的h点,功率指令从Pref1变为Pref3后,系统的运行轨迹为h-i-j-k;假设系统工作在如图6所示的h点,功率指令从Pref1变为Pref4后,系统的运行轨迹为h-l-m。详细分析与此前分析类似,不再赘述。
为了验证所提基于功率同步控制的相位同步方法的正确性与有效性,搭建了双边LCC补偿双向感应式电能传输系统的电路仿真模型与实验平台。实验平台实物如图9所示,系统主电路参数与PI控制器参数见表1。
图9 实验平台实物
Fig.9 Image of the experimental platform
表1 实验平台参数
Tab.1 Parameters of the experimental platform
参 数数 值 额定开关频率fs/kHz85 一次侧全桥直流端口电压Udcp/V60 二次侧全桥直流端口电压Udcs/V60 一次侧谐振电感Lrp/mH24.7 一次侧谐振电感等效串联电阻rrp/W0.124 二次侧谐振电感Lrs/mH12.4 二次侧谐振电感等效串联电阻rrs/W0.08 一次线圈自感Lp/mH249.5 一次线圈等效串联电阻rp/W0.258 二次线圈自感Ls/mH28.9 二次线圈等效串联电阻rs/W0.05 一次与二次线圈之间互感M/mH16.5 耦合系数k0.194 一次侧并联谐振电容Crp/nF141.9 二次侧并联谐振电容Crs/nF283.1 一次侧串联谐振电容Cp/nF15.7 二次侧串联谐振电容Cs/nF212.3 PI控制器比例系数Kp2.135 PI控制器积分系数Ki134.1
在
=
=
,
的稳态工作点下,理论小信号模型与电路仿真扫频小信号模型的矫正环路增益Bode图如图10所示。从图10中可以看出,理论小信号模型与仿真扫频在1~1 000 Hz的频率范围内吻合得较好,且系统穿越频率及相位裕度分别约为100 Hz和90°。
图10 矫正环路增益的理论模型与仿真扫频对比
Fig.10 Comparison of adjusted loop gain by theoretical model and simulation sweep
如果交流激励电压脉宽角
和
从
开始减小,则
也会相应减小,使得环路增益Bode图的幅频曲线往左平移。然而,即使
减小为原来的1/10,系统的相位裕度仍然保持大于45°,能够保证系统的稳定性。
采用所提基于功率同步控制的相位同步方法,系统正反向切换传输满载功率,一次侧和二次侧交流激励电压up和us、二次侧全桥交流端口电流irs、二次侧全桥直流端口电流Idcs的动态响应波形如图11所示。从图11中可以看出,系统在正反向功率传输时,均能够实现稳定相位同步和功率传输;系统在切换正反向功率传输时,能够自然平滑地完成传输功率方向切换。
系统在效率优化控制下,正反向传输不同大小负载功率时,一次侧和二次侧交流激励电压up和us、一次侧和二次侧全桥交流端口电流irp和irs的稳态波形如图12所示。当系统正向、反向传输4/5负载功率时,
取值为
,
分别被调控为
和
,一次、二次侧所有的功率开关管均实现了ZVS。随着负载变轻,为了仍确保实现一次、二次侧所有功率开关管的ZVS,
的取值需要相应地增加。当系统正向、反向传输1/5负载功率时,
取值为
,
分别被调控为
和
,一次、二次侧所有的功率开关管均实现了ZVS。
图11 相位同步方法的动态响应波形
Fig.11 Transient response waveforms of the phase synchronization method
使用功率分析仪,对以下三种方法的系统正反向运行效率曲线进行了测试。
(1)方法一:本文基于功率同步控制的相位同步方法和三移相控制。
图12 不同负载工况条件下的稳态波形
Fig.12 Steady-state waveforms under different load conditions
(2)方法二:基于扰动观察算法的相位同步方法和双移相控制。
(3)方法三:维持
=
=
,仅
改变的单移相控制。
得到三种方法的效率对比曲线如图13所示。可以看到,方法一相比于方法二和方法三,系统运行效率较高。这是因为方法一利用了最多的效率优化控制自由度,能够较好地兼顾系统交流环节的损耗与功率开关管的开关损耗。
图13 不同方法下的系统效率曲线
Fig.13 Efficiency curves of the system with different methods
双向感应式电能传输系统具有双向功率调节能力,适用于电动汽车无线充放电等应用场合。在双向感应式电能传输系统中,需要相位同步技术以维持稳定功率传输。本文推导了双边LCC补偿双向感应式电能传输系统的稳态功率传输特性,提出了一种基于功率同步控制的双向感应式电能传输系统相位同步方法,分析并建立了所提相位同步方法的控制环路模型,给出了效率优化控制方法,通过仿真和实验,验证了所提相位同步方法和效率优化控制方法的正确性与有效性。本文所提方法有以下优势:
1)充分利用了系统内在功率-相位特性,可同时实现功率调控和相位同步,且能够充分利用控制自由度,实现三移相效率优化控制。
2)不使用额外的硬件,无需辅助线圈,无需高速、高精度的检测与调理电路,能够显著降低系统的复杂度和成本,且易于实现。
本文相位同步方法是基于功率同步机制而提出的。在传统交流电网中,同步电机机组群可以根据功率同步机制实现同步。类似地,在多单元双向感应式电能传输系统中,所提相位同步方法可以辅助实现多单元之间的相位同步,具有较高的应用潜力。
参考文献
[1] 薛明, 杨庆新, 章鹏程, 等. 无线电能传输技术应用研究现状与关键问题[J]. 电工技术学报, 2021, 36(8): 1547-1568.
Xue Ming, Yang Qingxin, Zhang Pengcheng, et al. Application status and key issues of wireless power transmission technology[J]. Transactions of China Electrotechnical Society, 2021, 36(8): 1547-1568.
[2] 陈伟华, 宋宇航, 闫孝姮, 等. 心脏起搏器无线电能传输LCC-LCC磁集成印刷螺旋线圈研究[J]. 电工技术学报, 2024, 39(17): 5289-5299.
Chen Weihua, Song Yuhang, Yan Xiaoheng, et al. Research on wireless power transmission for cardiac pacemakers using LCC-LCC magnetic integrated printed spiral coil[J]. Transactions of China Elec- trotechnical Society, 2024, 39(17): 5289-5299.
[3] 周玮, 郑宇锋, 陈泽林, 等. 基于副边解耦极板的电容式无线电能传输系统拾取端失谐评估[J]. 电力系统自动化, 2024, 48(3): 142-149.
Zhou Wei, Zheng Yufeng, Chen Zelin, et al. Detuning estimation of pickup loop in capacitive wireless power transfer system based on secondary-side decoupled capacitive coupler[J]. Automation of Electric Power Systems, 2024, 48(3): 142-149.
[4] 冯鸿运, 林飞, 杨中平, 等. 应用于自动导引小车无线充电系统的导航与供电一体化线圈研究[J]. 电工技术学报, 2024, 39(14): 4294-4304.
Feng Hongyun, Lin Fei, Yang Zhongping, et al. A research on a navigation and power supply integrated coil for automatic guided vehicle wireless power transfer system[J]. Transactions of China Electro- technical Society, 2024, 39(14): 4294-4304.
[5] 荆锐, 张耀, 刘顺攀, 等. 自动导引车动态无线供电系统无通信自动分段切换技术研究[J]. 电工技术学报, 2024, 39(17): 5344-5353.
Jing Rui, Zhang Yao, Liu Shunpan, et al. Research on automatic segment switching without communication in automated guided vehicle dynamic wireless power transfer system[J]. Transactions of China Electro- technical Society, 2024, 39(17): 5344-5353.
[6] 刘宇鑫, 高飞, 刘鑫, 等. 深海无人航行器双向无线充电系统的涡流损耗分析与效率优化[J]. 电工技术学报, 2024, 39(18): 5599-5609.
Liu Yuxin, Gao Fei, Liu Xin, et al. Analysis of eddy current loss and efficiency optimization for bidi- rectional underwater wireless power transfer of AUVs[J]. Transactions of China Electrotechnical Society, 2024, 39(18): 5599-5609.
[7] 徐先峰, 吴慧玲, 杨雄政, 等. 空间约束下电动汽车无线充电系统磁耦合结构优化[J]. 电工技术学报, 2024, 39(12): 3581-3588.
Xu Xianfeng, Wu Huiling, Yang Xiongzheng, et al. Optimization of magnetically coupled structure of wireless charging system for electric vehicles under space constraint[J]. Transactions of China Electro- technical Society, 2024, 39(12): 3581-3588.
[8] 李中启, 张晨曦, 王建斌, 等. 基于变频重构S/SP拓扑的无线电能传输系统恒流恒压研究[J]. 电工技术学报, 2024, 39(15): 4718-4732.
Li Zhongqi, Zhang Chenxi, Wang Jianbin, et al. Research on constant current and constant voltage of WPT system based on variable frequency recon- figuration S/SP topology[J]. Transactions of China Electrotechnical Society, 2024, 39(15): 4718-4732.
[9] 孙天, 宋贝贝, 崔淑梅, 等. 电动汽车无线充电系统接收端位置大范围唯一性辨识系统设计[J]. 电工技术学报, 2024, 39(21): 6626-6635, 6792.
Sun Tian, Song Beibei, Cui Shumei, et al. Design of accurate position detection system applied to large misalignment range for electric vehicle wireless charging system[J]. Transactions of China Electro- technical Society, 2024, 39(21): 6626-6635, 6792.
[10] 杨庆新, 张献, 章鹏程. 电动车智慧无线电能传输云网[J]. 电工技术学报, 2023, 38(1): 1-12.
Yang Qingxin, Zhang Xian, Zhang Pengcheng. Intelligent wireless power transmission cloud network for electric vehicles[J]. Transactions of China Elec- trotechnical Society, 2023, 38(1): 1-12.
[11] 李阳, 石少博, 刘雪莉, 等. 磁场耦合式无线电能传输耦合机构综述[J]. 电工技术学报, 2021, 36(增刊2): 389-403.
Li Yang, Shi Shaobo, Liu Xueli, et al. Overview of magnetic coupling mechanism for wireless power transfer[J]. Transactions of China Electrotechnical Society, 2021, 36(S2): 389-403.
[12] 陈凯楠, 赵争鸣, 刘方, 等. 电动汽车双向无线充电系统谐振拓扑分析[J]. 电力系统自动化, 2017, 41(2): 66-72.
Chen Kainan, Zhao Zhengming, Liu Fang, et al. Analysis of resonant topology for bi-directional wireless charging of electric vehicle[J]. Automation of Electric Power Systems, 2017, 41(2): 66-72.
[13] Zhang Yiming, Chen Shuxin, Li Xin, et al. Dual-side phase-shift control of wireless power transfer imple- mented on primary side based on driving windings[J]. IEEE Transactions on Industrial Electronics, 2021, 68(9): 8999-9002.
[14] Zhang Yiming, Li Xin, Chen Shuxin, et al. Soft switching for strongly coupled wireless power transfer system with 90° dual-side phase shift[J]. IEEE Transactions on Industrial Electronics, 2022, 69(1): 282-292.
[15] Lawton P A J, Lin F J, Covic G A, et al. A wireless synchronization controller for high-power stationary and semi-dynamic wireless charging of electric vehicles[J]. IEEE Transactions on Power Electronics, 2023, 38(11): 13341-13352.
[16] Jia Shuran, Chen Changsong, Liu Peng, et al. A digital phase synchronization method for bidirectional inductive power transfer[J]. IEEE Transactions on Industrial Electronics, 2019, 67(8): 6450-6460.
[17] Zhang Dongbo, Chen Min, Li Bodong, et al. Synchronization strategy based on resonant current detection for bidirectional wireless charging system[J]. IEEE Transactions on Power Electronics, 2022, 37(9): 11436-11449.
[18] Tang Yunyu, Chen Yi, Madawala U K, et al. A new controller for bidirectional wireless power transfer systems[J]. IEEE Transactions on Power Electronics, 2018, 33(10): 9076-9087.
[19] Jia Shuran, Duan Shanxu, Chen Changsong. An I/Q phase detection-based harmonic-insensitive phase synchronization method for bidirectional wireless power transfer system[J]. IEEE Transactions on Indu- strial Electronics, 2024, 71(7): 6955-6965.
[20] Zhao Shiqiao, Li Yanling, Wu Dong, et al. Current- decomposition-based digital phase synchronization method for BWPT system[J]. IEEE Transactions on Power Electronics, 2021, 36(11): 12183-12188.
[21] Liu Fang, Li Kai, Chen Kainan, et al. A phase synchronization technique based on perturbation and observation for bidirectional wireless power transfer system[J]. IEEE Journal of Emerging and Selected Topics in Power Electronics, 2020, 8(2): 1287-1297.
[22] Tan Tian, Chen Kainan, Jiang Ye, et al. A bidire- ctional wireless power transfer system control strategy independent of real-time wireless com- munication[J]. IEEE Transactions on Industry Appli- cations, 2020, 56(2): 1587-1598.
[23] Shirasaki D, Fujita T, Fujimoto H. Novel synchronous rectification and receiving power compensation method for WPT only by DC current sensor[J]. IEEE Journal of Emerging and Selected Topics in Industrial Electronics, 2022, 3(4): 1159-1167.
[24] Zhang Xiaoming, Cai Tao, Duan Shanxu, et al. A control strategy for efficiency optimization and wide ZVS operation range in bidirectional inductive power transfer system[J]. IEEE Transactions on Industrial Electronics, 2019, 66(8): 5958-5969.
[25] Zhang Lidong, Harnefors L, Nee H P. Power- synchronization control of grid-connected voltage- source converters[J]. IEEE Transactions on Power Systems, 2010, 25(2): 809-820.
[26] 刘方, 陈凯楠, 蒋烨, 等. 双向无线电能传输系统效率优化控制策略研究[J]. 电工技术学报, 2019, 34(5): 891-901.
Liu Fang, Chen Kainan, Jiang Ye, et al. Research on the overall efficiency optimization of the bidirectional wireless power transfer system[J]. Transactions of China Electrotechnical Society, 2019, 34(5): 891- 901.
[27] Jiang Yongbin, Wang Laili, Fang Jingyang, et al. A joint control with variable ZVS angles for dynamic efficiency optimization in wireless power transfer system[J]. IEEE Transactions on Power Electronics, 2020, 35(10): 11064-11081.
A Phase Synchronization Method Based on Power-Synchronization Control for Bidirectional Inductive Power Transfer Systems
Abstract Phase synchronization is essential for maintaining stable power flow in bidirectional inductive power transfer (BIPT) systems. Some traditional phase synchronization methods utilize additional hardware, such as auxiliary coils or high-speed and high-precision detection and conditioning circuits, to obtain phase information on the primary side. However, the complexity and cost of the system may be increased. Other methods without additional hardware realize phase synchronization by the perturbation and observation algorithm. However, the control degrees of freedom cannot be fully exploited. This paper proposes a phase synchronization method based on power-synchronization control. The proposed method fully utilizes the intrinsic power-angle characteristic of the system, which does not require additional hardware and can fully use the control degrees of freedom. Power regulation and phase synchronization can be simultaneously achieved.
Firstly, the steady-state power-angle characteristic of the dual-side LCC compensated BIPT system was derived. The power magnitude and direction of the system correlate with the angle d, which represents the relative phase angle between the primary and secondary excitation voltage. Secondly, the working principles of the high-resolution variable frequency modulation of the BIPT system, which is the modulation basis of the proposed phase synchronization method, were analyzed. Thirdly, the control block diagram of the proposed phase synchronization method was established. Phase synchronization was achieved simultaneously through feedback control of the system power measured on the secondary DC side. The small signal model of the control loop was obtained. A design method for the loop controller was provided. Finally, the efficiency optimization control method was given, and the comprehensive control block diagram was presented.
Simulation results show that the simulation sweep data fit well with the theoretical small signal model of the control loop. Experiment results show that the proposed phase synchronization method can stabilize power transfer and regulate the dual-side LCC-compensated BIPT system. In transient response, the system switches the power flow direction naturally and smoothly. In steady-state, the system balances the loss of the AC link and the switching loss of the power switches. Zero voltage switching (ZVS) of all power switches is realized with a low reactive loss of the AC link, achieving high operating efficiency under wide load range operating conditions.
The following conclusions can be drawn. (1) The proposed phase synchronization method utilizes the intrinsic power-angle characteristic of the system. Power regulation and phase synchronization are simultaneously achieved, and the control degrees of freedom can be fully exploited. (2) The proposed method does not require additional hardware, such as auxiliary coils or high-speed and high-precision detection and conditioning circuits, which can reduce the complexity and cost of the system and is easy to implement.
Keywords:Bidirectional inductive power transfer (BIPT), phase synchronization, power-angle characte- ristic, power-synchronization control
中图分类号:TM724
DOI: 10.19595/j.cnki.1000-6753.tces.242202
国家自然科学基金资助项目(51977086)。
收稿日期 2024-12-06
改稿日期 2025-01-14
甘 霖 男,2000年生,硕士研究生,研究方向为电力电子与电力传动。
E-mail: lin_gan@hust.edu.cn
陈昌松 男,1977年生,教授,博士生导师,研究方向为微电网能量管理、储能充放电控制、可再生能源发电等。
E-mail: ccsfm@hust.edu.cn(通信作者)
(编辑 陈 诚)