摘要 无线电能与信号传输系统无需额外增设通信模块就可以实现原边和副边之间的信号传输,且不影响能量的谐振状态。该文提出一种双解耦型信号线圈,信号线圈与能量磁耦合机构、同侧信号发射和接收线圈间都是相互解耦的,进而消除了能量通道与信号通道间的干扰。除此之外,该文还提出一种基于双谐振电路的信号通道拓扑实现信号的全双工通信模式。在某一方向传输频率下,另一方向传输的接收端和发射端呈高阻抗状态,以此来隔离双向信号传输的串扰。首先,基于有限元仿真,建立双解耦型信号线圈的磁场模型,分析能量磁耦合机构与信号线圈、信号发射与接收线圈的磁场分布特性,进一步提出一种提升信号传输性能的线圈优化方法。然后,基于双解耦型信号线圈与能量磁耦合机构,提出一种无线电能与全双工信号同步传输拓扑。针对信号通道在全双工模式下的串扰问题,分析基于双谐振电路的信号通道阻抗,研究正反向信号传输的增益特性,得到了全双工模式下减小串扰的信号通道参数设置方法。最后,搭建无线电能与信号传输实验平台进行验证。实验结果表明,所提双解耦型信号线圈与能量磁耦合机构相互无干扰,实现了175 W的功率传输与120 kbit/s的全双工信号传输,能够满足大多数串口信号通信。
关键词:无线电能传输 无线电能与信号传输 双解耦型信号线圈 全双工通信
无线电能传输(Wireless Power Transfer, WPT)系统利用磁场、电场、微波、超声波等介质[1-3]实现电能非接触式的传输,其中除了能量在原、副边之间传输外,还需要信号在原、副边之间进行传输以完成WPT系统信息的交互。例如,副边负载的信息传递到原边,原边的微控制器进行效率的计算,与此同时,原边微控制器的控制信号发送到副边侧对负载进行控制。由此可见,WPT系统的信号传输是系统闭环控制的重要一环,信号传输的稳定性是系统控制的保障。
为了实现WPT系统的信号传输,传统方法是利用通信模块进行原、副边双向的信号传输[4],如WiFi、蓝牙、Zigbee等传统通信模块都可以完成WPT系统的双边通信。但是传统的通信模块存在通信延迟,且在接收端缺电的情况下往往会造成无法通信的情况。近年来,研究者们提出了一种可持续给信号通道供电的无线电能与信号同步传输(Wireless Power and Signal Transfer, WPST)系统,在进行能量传输的同时可以同步地进行原、副边的信号传输。该方法避免了通信模块的延迟,并能够实时的进行原、副边间的通信,因此成为目前应用较广的一种WPT通信方案[5]。
当前WPST主要有共享通道式和分离通道式传输两种模式[6],共享通道式传输利用磁耦合机构同时传输能量和信号载波,而分离通道式则是磁耦合机构仅传输能量波,信号线圈独立传输信号载波[7-9]。共享通道式WPST系统磁耦合机构具有较高的自由度和较好的偏移特性[10-12],然而由于磁耦合机构同时存在能量和信号载波,能量/信号传输串扰很难避免[13],信号传输的稳定性很难保证。分离通道式WPST系统的能量/信号串扰很小,但由于增设了信号线圈,WPST系统线圈占用空间较大,实用性较低,且偏移特性很难保证。尤其是在线圈发生旋转的时候,相比正对的情况,信号线圈间的耦合显著下降,信号传输性能难以保障。
研究者们提出了不同的信号线圈设计方案以改善分离通道式WPST系统的自由度限制及偏移特性。文献[14]提出了一种平面叠加型信号线圈,平面型的信号线圈空间占用体积较小,偏移特性也显著提升。文献[15-16]提出了一种部分耦合机构传输信号的WPST系统,该方法通过耦合机构外侧的部分线圈构造出信号通道并实现了双向的信号传输。文献[17-19]提出了一种复合型耦合机构,将信号线圈融合进磁耦合机构,形成复合耦合机构,以实现空间中全方位的无线电能与信号同步传输。然而,上述方法都存在磁耦合机构与信号线圈的交叉耦合,增大了能量与信号传输通道的串扰,并加大了能量与信号传输通道的建模难度。为进一步解决信号线圈的交叉耦合问题,文献[20-21]提出了一种协同传输型信号线圈,该信号线圈采用“双DD”形式与能量磁耦合机构相互解耦,实现了能量与信号无干扰的协同传输。文献[22-23]利用磁耦合机构极板的电容构建了电容耦合式信号传输通道,从机理上物理隔离了能量和信号传输通道,实现了能量与信号的解耦。然而上述方法对参数配置较为敏感,发生参数漂移极易影响系统的传输性能。
除了上述问题,基于分离通道式WPST系统的全双工模式实现也是目前研究的焦点。由于全双工模式比起半双工有更高的通信效率,因此如何基于分离通道式WPST的信号线圈构建全双工传输拓扑是提升信号传输性能的关键。文献[24-26]基于调制/解调方法提出了一种全双工通信拓扑,通过双向信号调制(如正交频分复用、相位调制)的拓扑实现双向信号的解调与复原。文献[27-28]提出了一种基于频率分离的全双工拓扑,旨在通过在信号通道中增设频率分离电路(如阻波网络、带通电路等)解耦正反向信号的载波,从而实现全双工通信。然而上述方法都对信道参数有较高的精度要求,且正反向信号的串扰问题依旧存在。
综上所述,基于分离通道式的WPST系统目前需要解决平面型信号线圈与磁耦合机构的交叉耦合问题,以及全双工通信的串扰问题。本文提出了一种平面型双解耦的信号线圈。首先针对该平面型信号线圈的磁场分布进行建模分析。然后基于该复合型的磁耦合机构提出一种WPST系统,以实现稳定的能量传输和全双工的信号传输。最后基于仿真和实验平台,验证了所提WPST系统的可行性。
传统分离通道式WPST系统的平面式信号线圈与能量的磁耦合机构都存在交叉耦合。为了产生与能量磁耦合机构正交型的磁场,正交型信号线圈往往占用很大的空间,牺牲了WPST系统的自由度。本文提出了一种平面型的双解耦信号线圈,拥有较小空间占有率的同时还能与能量磁耦合机构相互解耦。所提信号线圈及磁耦合机构如图1所示。
图1 平面型双解耦信号线圈示意图
Fig.1 Diagram of the planar double-decoupled signal coils
平面型双解耦信号线圈由信号线圈1和2构成“田”字型。信号线圈1和2的电流流向如图1b所示。通过COMSOL软件搭建磁场仿真平台,得到复合型耦合机构的磁场分布如图2所示。
图2a~图2c分别是基于有限元磁场仿真模型能量磁耦合机构、信号线圈1和信号线圈2的磁场分布。由图2可见,能量磁耦合机构的磁场矢量主要是在Z轴方向,由内向外或是由外向内。信号线圈1在激励电流下的磁场方向与Z轴方向是解耦的。同样地,信号线圈2在激励电流下的磁场分布形成方向与Z轴是解耦的。显然,三个线圈形成的磁场矢量是正交的。因此,能量磁耦合机构、信号线圈1和2是相互解耦的,三个线圈间没有交叉耦合的干扰。
图2 信号线圈磁场分布
Fig.2 Magnetic field distribution of signal coils
综上所述,磁耦合机构的能量传输与信号线圈间的信号传输互不干扰,以此实现了能量与信号间的相互解耦,消除了能量对信号传输的干扰。
由能量磁耦合机构和信号线圈构成的复合耦合机构发生偏移的时候,能量的互感M和信号线圈的互感Md都会随之变化。当复合耦合机构偏转的时候,信号线圈的互感发生变化,而能量的互感变化不大。因此,需要分析复合耦合机构的偏转情况。原边信号线圈的角标为1和2,副边信号线圈的角标为3和4,偏转角q为0°时,信号线圈1和3平行放置,2和4平行放置。Md13表示信号线圈1和3间的互感值。
信号线圈1和2的偏转角度由0°变化到180°的过程中各个交叉互感间的变化规律如图3所示。图3a为原边和副边信号线圈间互感的曲线,随着偏转角度q由0°~90°的过程,信号线圈1和3间的互感逐渐变小,而信号线圈1和4间的互感值Md14增大。偏转至90°的时候,信号线圈1和4平行放置,此时的Md14最大,Md13最小,信号线圈1和3形成了解耦关系。偏转角度q与90°~180°的过程类似,信号线圈1和4间的互感逐渐变小,而信号线圈1和3间的互感值增大。偏转至180°的时候,信号线圈1和3恢复成平行放置,此时和偏转角q=0°的时候相同。信号线圈间的总互感Md=Md13+Md14,无论偏转角q在何种角度都有互感,保证了WPST系统在发生偏转的时候都能够接收到信号。信号线圈与原边能量线圈、副边能量线圈、同侧信号线圈间的互感在偏转角度下的变化规律如图3b所示。显然,信号线圈与这三个线圈的互感值都极小,信号线圈实现了与上述三个线圈的磁场解耦。磁耦合WPT能量传输过程和信号传输过程在偏转的条件下实现了相互解耦的分离通道同步传输。
图3 信号线圈偏转角度与互感的关系
Fig.3 Relationship between the deviation angle q and mutual inductance Md
需要指出的是,实现能量线圈与信号线圈相互解耦的必要条件是同侧信号线圈是对称结构。因此,为了尽可能地消除信号线圈绕制过程中的非一致性影响,同侧信号线圈的外径和匝数需保持一致。
除了发生偏转之外,WPST系统的磁耦合机构同样会发生x或y轴的偏移情况,此时同侧的能量线圈与信号线圈仍然是相互解耦的,但非同侧的能量线圈与信号线圈间就会存在交叉耦合的情况。以发射端能量线圈与接收端信号线圈的相对x轴偏移为例进行分析,发射端能量线圈与接收端信号线圈间的交叉耦合系数为kpd。发射端信号线圈与接收端信号线圈间的耦合系数为kd。基于有限元仿真模型得到能量与信号交叉耦合系数kpd、信号耦合系数kd与耦合机构偏移距离的关系曲线,如图4所示。
图4 耦合机构偏移距离与耦合系数的关系曲线
Fig.4 Relationship curves between shift distance and coupling coefficient
由图4可见,当WPST系统无偏移时,信号线圈间的耦合系数kd最大,而交叉耦合kpd此时为极小的值,发射端能量线圈与接收端信号线圈间是相互解耦的。随着偏移距离Dx的增加,信号线圈间的耦合kd降低,而交叉耦合kpd增大,当Dx=8 cm时交叉耦合最大,但是信号线圈间的耦合系数仍然大于交叉耦合。随着Dx的继续增大,kd和kpd都随之减小,直到变得极小。因此,所提双解耦型的信号线圈在很大偏移范围内都与能量线圈保持较低的耦合,保证了能量与信号间的低串扰。
由于双解耦信号线圈与能量磁耦合机构之间无交叉耦合,所以能量传输通道和信号传输通道可以独立建模。基于平面型双解耦信号线圈的WPST系统拓扑如图5所示。图5中,Usig1和Usig4分别为正向信号输入调制波和反向信号输入调制波。Ld1和Ld3为信号线圈1,Ld2和Ld4为信号线圈2。LT1~LT4为信号传输通道的注入/提取线圈。
能量传输通道基于磁耦合机构实现磁耦合无线电能传输,能量传输选择常见的谐振补偿拓扑,如串联-串联(S-S)、并联-串联(P-S)、电感-电容-电容-串联(LCC-S)和双边电感-电容-电容等拓扑。能量磁耦合机构和信号线圈间无交叉耦合,能量传输通道的性能不受信号传输通道的影响,与传统WPT系统的能量传输性能无异。
图5 所提WPST系统拓扑
Fig.5 Topology of the proposed WPST system
本文选择S-S型谐振补偿网络作为系统分析和验证的对象,其电路参数匹配关系为
(1)
式中,fp为能量传输谐振频率;Lp和Ls分别为原边和副边能量线圈的自感;Cp和Cs分别为原边和副边谐振补偿电容。
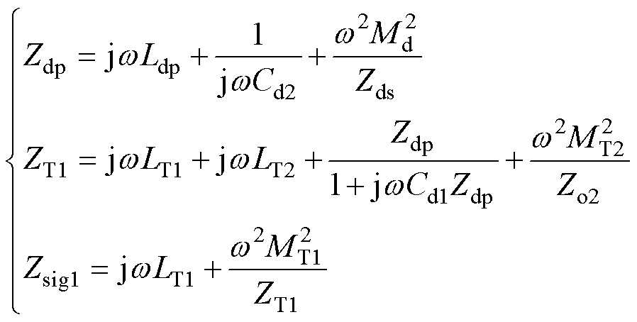
WPST系统的信号传输通道基于双谐振电路进行构建,其等效电路如图6a所示。信号传输通道有两条传输链路,分别为正向信号传输和反向信号传输。正向和反向信号载波的频率分别为fd1和fd2,LT1~LT4的主要作用是隔离主电路与串口电路和隔离正向与反向信号间的串扰。LT1~LT4的互感分别为MT1~MT4,耦合系数分别为kT1~kT4。
图6 信号传输通道等效拓扑
Fig.6 Equivalent topology of the signal channel
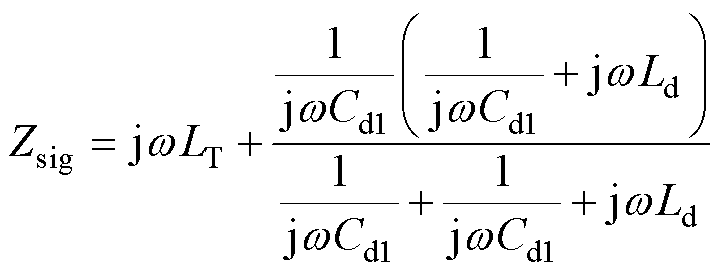
信号传输通道原边部分的等效电路如图6b所示。图6b中,LT为两个互感器自感值之和,LT=LT1+LT2;Ld为两个信号线圈的自感值之和,Ld=Ld1+Ld2。原边的Ld、LT、Cd1和Cd2共同组成了信号传输通道的双谐振结构,副边的双谐振结构同样如此。原边的阻抗Zsig计算式为
(2)
正向和反向信号的接收端采用并联补偿结构,其中正向接收的谐振频率为fd1,反向接收的谐振频率为fd2。
(3)
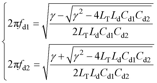
信号传输通道双谐振结构的谐振频率由Ld、LT、Cd1和Cd2确定,可以得到两个谐振频率fd1和fd2。其等效电路的阻抗图如图6c所示。
(4)
式中,g=LTCd1+LTCd2+LdCd2。由式(4)得到较小的频率设定为正向信号传输的载波频率,较大的频率设定为反向信号传输的载波频率。
本文所提WPST系统为全双工信号传输模式,信号传输通道同时存在正向和反向两条信号链路。因此正反向间的信号串扰为主要的干扰源,需要对全双工模型下的信号串扰进行分析。
为了便于分析,本文信号通道的注入/提取互感器选取相同的参数,即LT1=LT2=LT3=LT4,MT1=MT2= MT3=MT4。其信号通道参数见表1。
当WPST系统信号传输处于全双工模式时,信号传输通道的等效电路如图7所示。以正向传输为例进行分析,此时正向信号由原边传输到副边,反向信号源等效为短路。
表1 WPST系统信号传输通道参数
Tab.1 Parameters of signal channel in WPST system
参 数数 值 fd1/MHz1.89 fd2/MHz4.73 LT1~LT4/mH16 Ld1~Ld4/mH50 MT1~MT4/mH4 Cd1, Cd4/pF50 Cd2, Cd3/pF50 Co2/pF70.76 Co3/pF443.2 Ro2, Ro3/kW50
图7 正向信号传输通道的等效电路
Fig.7 Equivalent circuit of forward signal transmission
图7中的Ldp和Lds分别为原边和副边一对信号线圈的自感和,即Ldp=Ld1+Ld2,Lds=Ld3+Ld4。信号线圈间的互感和为Md。Md=Md13+Md24+Md23+Md24。
WPST系统原边除了正向信号发射源还有反向信号接收端的电路,信号提取线圈的副边由并联RLC电路组成,此时并联电路成高阻抗态,阻隔正向信号载波进入反向接收端电路。此时在载波频率wd1下反向接收端的阻抗Zo2为
(5)
其在原边存在反射阻抗且对原边的等效阻抗产生影响,那么原边等效阻抗则变为
(6)
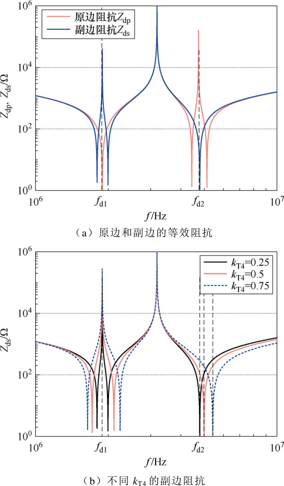
信号传输通道的副边同样存在正向接收端,正向信号提取线圈的副边并联RLC电路在反向信号频率下呈高阻抗,阻隔反向信号源进入正向接收端。其原理同WPST系统的原边一样。由此可得WPST系统原边和副边的等效阻抗如图8所示。
图8 原边和副边的等效阻抗
Fig.8 Impedance of primary and secondary side
由图8可得,原边的正向信号源在fd1频率下呈低阻抗,而在fd2频率下呈高阻抗,此时正向信号不会流入反向接收端;同理,副边的反向信号也不会流入正向接收端,所提拓扑实现了全双工的信号传输模式。在图8b中,副边的信号提取线圈耦合系数越大,反向信号载波的谐振点偏移越多,而正向信号的高阻抗状态不受到影响。这表明信号提取线圈仍能阻隔反方向信号的串扰,但是改变了反方向信号载波的谐振频率。因此为了保障WPST系统全双工通信模式下的稳定性,信号提取线圈的耦合系数不宜取得太大,避免造成参数漂移后信号传输性能的下降。
通过上述的分析可知,正反向信号载波同时传输时,由于信号接收端的高阻抗状态使得反方向信号被阻隔。本节分析理想状态下信号增益与反方向信号串扰增益,进一步分析非理想条件下发生参数偏移时信号串扰的影响。以正向信号传输为例分析信号增益与串扰增益。正向信号传输的等效电路如图9所示。
图9 信号通道的等效电路
Fig.9 Equivalent circuit of the signal channel
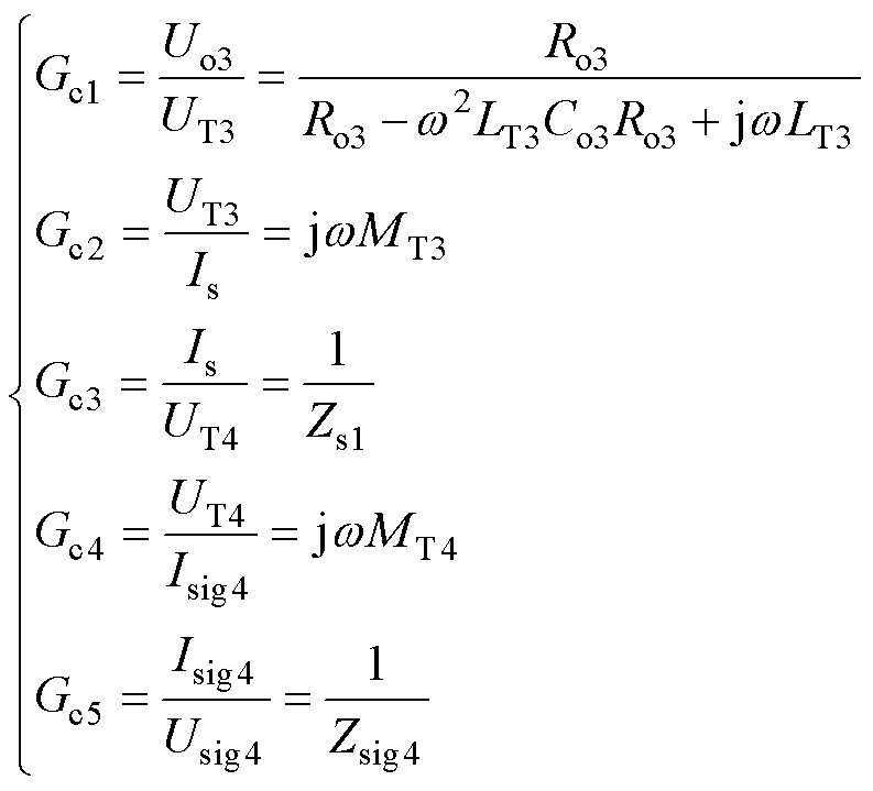
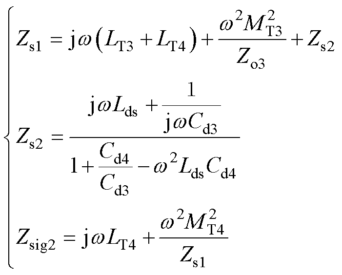
在图9a中,正向接收端信号提取线圈的副边部分阻抗为Zo3,其存在反射阻抗,所以ZT3部分的阻抗不仅有信号提取线圈原边的感值,还有反射阻抗部分。整体副边电路各部分的阻抗为
(7)
根据式(7)可得副边各个部分的传递函数为
(8)
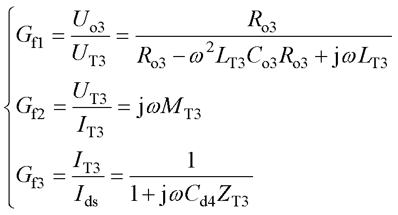
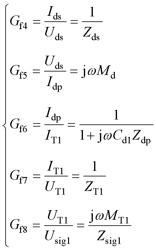
类似地,原边的各部分及传递函数可由图9b得到。图9中的Zdp部分包含了反向接收端及其信号提取电路的RLC阻抗Zo2。原边各部分的阻抗为
(9)
根据式(9)可得原边各个部分的传递函数为
(10)
由此得到正向信号传输增益为Gf,反方向信号传输增益计算过程和正向一致,得到反向信号增益为Gb。
(11)
信号全双工传输模式是在反方向接收端高阻抗状态下实现,因此需要分析非理想条件下,信号源对于反方向信号接收端的影响。以正向接收端为例进行分析,信号串扰等效电路如图10所示,正向接收端除了接收到正向信号载波之外,还收到同侧的反向信号源串扰。
图10 信号串扰等效电路
Fig.10 Equivalent circuit of the signal crosstalk
在等效电路中,fd2为信号源载波频率,Zs2为并联LC电路。等效电路的各部分阻抗为
(12)
由此可得串扰等效电路各个部分的传递函数为
(13)
那么,反向发射源对正向信号接收端的串扰增益为Gcf,同样地,正向发射源对反向信号接收端的串扰增益为Gcb。
(14)
基于上述推导,对正向信号传输增益与串扰增益进行分析。将表1的信号传输通道参数代入式(7)~式(14)中,得到正向信号传输与串扰增益关系如图11所示。
图11 信号增益曲线
Fig.11 Gain of signal and crosstalk
输出电阻与增益的关系如图11a所示。信号传输增益Gf要远远大于信号串扰增益Gcf。随着输出电阻Ro3增大,信号传输增益Gf也随之增大,最大电压增益可超过2.5。与此同时,信号串扰增益随着输出电阻的增加,几乎保持在极小的范围内,最大串扰增益也不超过0.1。图11b所示,信号传输增益Gf与信号线圈耦合系数的关系,随着信号线圈耦合系数的变化,信号传输增益Gf大部分都可以保持在大于1的范围。因此,当信号线圈转动或偏移时,能够保证信号传输有较高的增益。图11c所示,信号增益与接收端互感器耦合系数的关系,显然,当信号接收互感器在较小耦合系数时信号传输增益较高且串扰增益较小,使得信号传输有较高的信噪比和稳定性。
由此可见,本文所提基于平面型双解耦型信号线圈的WPST系统可实现全双工的通信模式,在线圈发生转动、偏移或是偏转时维持较高的信号传输增益和较小的串扰增益。
WPST系统有能量和信号传输两项指标,需要综合考虑能量和信号传输性能并对系统的参数进行优化设计。WPST系统参数设计主要分为耦合机构设计和信号通道参数设计。
WPST系统首要考虑的是能量传输的性能,如传输功率、传输效率等,参数设计对象主要为磁耦合机构参数。信号传输性能除了信号传输增益和串扰增益外,还有信号传输速率(比特率)。为了WPST系统具有更高的比特率,根据香农第二定律,所提WPST系统信号传输通道容量应该大于或等于信号速率。
(15)
式中,Capdata为信道容量;B为信道带宽;S/N为信噪比。需要指出的是,S/N中的噪声指的是白噪声,而非信号传输的串扰。根据WPST系统的信号传输特性,定义信号S为
(16)
根据文献[29]的定义,可得所提信号传输通道的等效带宽为
(17)
信道带宽即为信号增益衰减上限频率
与下限频率
之差。显然,更高的信号传输增益Gf、Gb和更低的串扰增益Gcf、Gcb可以实现更大的比特率。
根据上述分析,可以得到基于平面双解耦型信号线圈的WPST系统参数设计流程。①根据能量传输的功率需求设计磁耦合机构;②基于能量磁耦合机构的外形尺寸限制,对平面双解耦型信号线圈进行参数设计;③信号线圈的参数确定后,设计信号传输通道,以满足信号传输增益、串扰增益、信号传输速率等需求。其中,信号通道参数设计步骤如图12所示。信号通道参数设计流程首要确定的就是信号载波的频率,即信号传输通道双谐振结构的两个谐振点频率。已知双解耦型信号线圈电感值Ld1~Ld4、信号注入/提取线圈的电感值LT1~LT4和电容Cd1~Cd4,根据式(4)确定双谐振点的频率。然后确定接收端互感器的互感值MT2和MT4,尽可能地使接收端互感器耦合系数kT<0.25,避免谐振点频率偏移太多。信号传输通道参数设置的步骤中,通过调节输出电阻Ro3(Ro2)的值调整信号增益大小,调节接收端互感器的耦合系数kT3(kT2)来调节信号S值,通过调节电容Cd1~Cd4来调整信号载波频率,进而调整Capdata以满足信号传输速率需求。
图12 信号通道参数设计流程
Fig.12 Flow chart of signal channel parameters
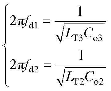
通过以上基于平面双解耦型信号线圈的WPST系统的分析,搭建相应的实验平台进行可行性的验证。实验装置和绕制的复合型耦合机构如图13和图14所示,其中信号线圈与能量线圈相互解耦。能量传输通道采用LCC-S型补偿拓扑,信号传输通道构建的双谐振信号载波频率分别为1.86 MHz和2.9 MHz。系统的具体参数见表2。
图13 实验装置
Fig.13 Experiment setup
图14 复合型耦合机构
Fig.14 Mixed magnetic coupler
表2 实验参数表
Tab.2 Parameters in the experiment setup
参 数数 值 Uin/V50 Ld1~Ld4/mH121 LT1~LT4/mH16 fd2/MHz2.9
(续)
参 数数 值 Rload/W5 Cd1, Cd4/pF100 MT1, MT4/mH12 MT2, MT3/mH4 Co3/pF457 fp/kHz100 Cd2, Cd3/pF33 Ro1, Ro2/kW100 fd1/MHz1.86 Co2/pF188
实验部分主要针对所提WPST系统的能量传输性能、信号传输性和动态性能进行验证。
能量传输过程的主要波形如图15所示。图15a中为能量传输各个部分的波形,其中逆变电压和电流为CH1和CH2波形。CH3为原边线圈电流波形,其电流值稳定在4.5 A左右;CH4为负载电压波形,负载电压约为30 V,负载为5 W。图15b为接收端能量波形与双向信号接收端波形。CH1~CH4为接收端能量线圈的电流、负载输出电压正向信号输出和反向信号输出,为了区分正反向信号波形,正向信号和反向信号的频率分别设置为50 kHz和60 kHz,分别实现了100 kbit/s和120 kbit/s比特率的信号传输。由图可见,所提WPST系统实现了能量和全双工信号的同步传输。
图15 能量传输的主要波形
Fig.15 Waveforms of power transmission
图16为功率分析仪数据。输出电压电流分别约为30 V和5.85 A,输出功率为175.5 W,通过功率分析仪得到WPST系统的传输效率约为81.986%。系统的传输效率可以通过提升能量线圈互感和调整谐振参数进一步提高传输效率。
图16 负载输出功率与效率
Fig.16 Output Power and efficiency
在能量传输时,正向和反向信号传输的波形如图17所示。WPST系统有三种信号传输模式:正向信号传输、反向信号据传输和全双工模式。在图17a中,t1时段为反向信号传输模式,t2时段为全双工信号传输模式,t3时段为正向信号传输模式。显然,无论信号传输在何种模式下都未对能量传输产生影响。各个模式下具体的信号输出波形如图17b~图17d所示。
在图17b~图17d中,WPST系统分别实现了全双工、反向和正向的信号传输,并且同侧信号源干扰远小于信号输出的电压。正向和反向传输的数据速率分别为100 kbit/s和120 kbit/s,能够满足大多数常见的串口通信速率,如9 600 kbit/s、19 200 kbit/s、115 200 kbit/s等。信号接收端解调过程的波形如图18所示。信号解调过程包含了信号输出的跟踪、信号检波电路和电压比较电路,经过每部分的波形如图18b所示。

图17 信号输出波形
Fig.17 Waveforms of data output
双向数据传输的FFT分析如图19所示。两个谐振点(1.86 MHz和2.9 MHz)反映了数据传输的增益。正向和反向数据传输的增益分别为6.63 dB和2.23 dB。综上所述,整个WPST系统实现了175 W的输出功率和最大120 kbit/s的数据速率,可以满足大多数WPT应用的数据传输需求。
图18 信号接收端电路与波形
Fig.18 Circuit and waveforms of signal receiver
图19 数据传输的FFT分析
Fig.19 FFT analysis of the data transmission
WPST系统的动态性能包含了信号动态性能、耦合机构偏移性能和偏转性能。信号传输动态性能波形如图20所示。由图20可见,信号传输对能量传输不存在影响,原、副边的主要能量传输波形都未受到影响。其次,信号传输动态响应时间较快,没有产生过大的畸变、延迟或是超调。
图20 信号传输动态性能波形
Fig.20 Waveforms of signal dynamic performance
WPST系统耦合机构的偏移波形如图21所示。当耦合机构发生偏移时,正向信号和反向信号输出波形的变化波形,当x轴偏移量为10 cm时,WPST系统仍然能够接收到正、反向信号,经过信号放大解调之后仍然能够复原出原始信号。而当x轴偏移量到达最大偏移18 cm时,WPST系统已经几乎接收不到信号,此时信号传输失效。
图21 信号偏移性能波形
Fig.21 Signal waveforms of offset performance
WPST系统耦合机构的偏转性能波形如图22所示。图22a~图22d为偏转角由0°~360°时的波形,CH1和CH3为信号输出电压波形,CH2和CH4为信号解调复原波形。由图22可见,当耦合机构发生偏转时信号输出电压随着偏转角度而发生变化,但是信号经过放大、检波及比较后仍然能够复原出原始信号。因此,所提WPST系统具有较好的偏移和偏转性能。

图22 信号偏转性能波形
Fig.22 Signal waveforms of the deflection performance
将所提WPST系统与现有文献的分离通道无线电能与信号同步传输方法进行对比,从输出功率、最大通信速率、偏移及偏转性能进行比较,对比结果见表3。通过对比可知,本文所提双解耦型信号线圈的WPST系统能够在较远的传输距离下完成较大的输出功率和通信速率,并且同时兼具偏移及偏转性能特性。
表3 实验对比表
Tab.3 Comparison with other works
文献输出功率Pout/W最大通信速率/(kbit/s)传输距离/cm偏移性能偏转性能 [19]12219.22√√ [20]470.00113√× [21]2819.23×√ [22]5187003√× [23]709.65√× 本文17512011√√
为了实现更高的传输功率和效率,可对能量线圈、逆变/整流器件及电路谐振参数进行优化,进一步地提升能量传输性能。
本文面向WPT系统的通信需求,提出了一种基于平面双解耦型信号线圈的无线电能与全双工信号同步传输系统。首先基于有限元仿真平台,搭建了信号线圈磁场模型,分析了平面双解耦型信号线圈的磁场分布,设计了一种能量磁耦合机构与信号线圈相互解耦的复合型耦合机构。然后基于平面双解耦型信号线圈,提出了一种实现全双工信号传输的WPST拓扑,其中信号传输通道基于双谐振结构构建了正向和反向信号载波频率。针对全双工信号传输模式下的信号串扰问题,本文基于双谐振结构的信号传输拓扑进行参数优化设计,提升信号增益的同时抑制信号串扰增益。最后,通过实验验证了所提WPST系统的可行性和正确性。
参考文献
[1] 杨庆新, 张献, 章鹏程. 电动车智慧无线电能传输云网[J]. 电工技术学报, 2023, 38(1): 1-12.
Yang Qingxin, Zhang Xian, Zhang Pengcheng. Intelligent wireless power transmission cloud network for electric vehicles[J]. Transactions of China Elec- trotechnical Society, 2023, 38(1): 1-12.
[2] 王得安, 张剑韬, 朱春波, 等. 海洋环境对水下无线电能传输系统的影响机理研究进展[J]. 电工技术学报, 2025, 40(3): 653-675.
Wang Dean, Zhang Jiantao, Zhu Chunbo, et al. Review of progress in the study of marine environment effects on underwater wireless power transfer systems[J]. Transactions of China Electrotechnical Society, 2025, 40(3): 653-675.
[3] 荣灿灿, 严俐慧, 路聪慧, 等. 基于超材料与超表面的无线电能传输技术研究现状与进展综述[J]. 电工技术学报, 2023, 38(20): 5369-5384.
Rong Cancan, Yan Lihui, Lu Conghui, et al. Over- view on research status and progress of wireless power transfer technology based on metamaterials and metasurfaces[J]. Transactions of China Electrotech- nical Society, 2023, 38(20): 5369-5384.
[4] 蒋金橙, 王佩月, 冯天旭, 等. 基于准双向三态协同调度的无人车和无人机逐级式无线充电应用[J]. 电工技术学报, 2024, 39(22): 6965-6979.
Jiang Jincheng, Wang Peiyue, Feng Tianxu, et al. AGV and UAV stepwise wireless charging appli- cation based on quasi bidirectional three-state collabo- rative progressive method[J]. Transactions of China Electrotechnical Society, 2024, 39(22): 6965-6979.
[5] 李建国, 张波, 荣超. 近场磁耦合无线电能与信息同步传输技术的发展(上篇): 数字调制[J]. 电工技术学报, 2022, 37(14): 3487-3501.
Li Jian’guo, Zhang Bo, Rong Chao. An overview of simultaneous wireless power and information transfer via near-field magnetic links (part Ⅰ): digital modu- lation[J]. Transactions of China Electrotechnical Society, 2022, 37(14): 3487-3501.
[6] 李建国, 张波, 荣超. 近场磁耦合无线电能与信息同步传输技术的发展(下篇): 电路拓扑[J]. 电工技术学报, 2022, 37(16): 3989-4003.
Li Jianguo, Zhang Bo, Rong Chao. An overview of simultaneous wireless power and information transfer via near-field magnetic links (part Ⅱ): circuit topology[J]. Transactions of China Electrotechnical Society, 2022, 37(16): 3989-4003.
[7] Yao Yousu, Sun Pengfei, Liu Xiaosheng, et al. Simultaneous wireless power and data transfer: a comprehensive review[J]. IEEE Transactions on Power Electronics, 2022, 37(3): 3650-3667.
[8] Zhou Yan, Zhang Zijian, Dong Peng, et al. Simulta- neous wireless power and data transmission based on unsymmetrical current waveforms with duty cycle modulation[J]. IEEE Access, 2020, 8: 16495-16504.
[9] Liu Chenfeng, Maso M, Lakshminarayana S, et al. Simultaneous wireless information and power transfer under different CSI acquisition schemes[J]. IEEE Transactions on Wireless Communications, 2015, 14(4): 1911-1926.
[10] 王佩月, 左志平, 孙跃, 等. 基于双侧LCC的全双工无线电能传输能量信号并行传输系统[J]. 电工技术学报, 2021, 36(23): 4981-4991.
Wang Peiyue, Zuo Zhiping, Sun Yue, et al. Full- duplex simultaneous wireless power and data transfer system based on double-sided LCC topology[J]. Transactions of China Electrotechnical Society, 2021, 36(23): 4981-4991.
[11] 靖永志, 付康, 谯柯, 等. 基于积分解调的无线能量与信号同步传输方法[J]. 电工技术学报, 2024, 39(14): 4270-4281.
Jing Yongzhi, Fu Kang, Qiao Ke, et al. Simultaneous transmission method of wireless power and signals based on integral demodulation[J]. Transactions of China Electrotechnical Society, 2024, 39(14): 4270- 4281.
[12] 周岩, 刘志丹, 李烁涵. 虚拟多输入多输出无线电能与信息同步传输技术[J]. 电工技术学报, 2024, 39(14): 4282-4293.
Zhou Yan, Liu Zhidan, Li Shuohan. Virtual multiple input multiple output simultaneous wireless power and information transfer technology[J]. Transactions of China Electrotechnical Society, 2024, 39(14): 4282-4293.
[13] 华超, 周岩, 胡震, 等. 基于移相调制的无线供电与信息协同传输技术[J]. 电工技术学报, 2023, 38(16): 4233-4245.
Hua Chao, Zhou Yan, Hu Zhen, et al. Simultaneous wireless power and information transmission method based on phase-shifted modulation[J]. Transactions of China Electrotechnical Society, 2023, 38(16): 4233- 4245.
[14] 夏晨阳, 鄢家安, 任刚, 等. 基于谐波通讯的无线电能与反向信号同步传输技术[J]. 中国电机工程学报, 2024, 44(13): 5297-5308.
Xia Chenyang, Yan Jia’an, Ren Gang, et al. Simulta- neous wireless power and reverse signal transmission technology based on harmonic communication[J]. Proceedings of the CSEE, 2024, 44(13): 5297-5308.
[15] 张杰, 赵航, 许知博, 等. 基于磁耦合谐振式海下无线电能与信息共享耦合线圈分时传输方法[J]. 电源学报, 2023, 21(6): 74-83.
Zhang Jie, Zhao Hang, Xu Zhibo, et al. Time-sharing transmission method of undersea wireless power and information shared coupling coil based on magnetic coupling resonance[J]. Journal of Power Supply, 2023, 21(6): 74-83.
[16] Li Tao, Sun Zhichao, Wang Yijie, et al. An under- water simultaneous wireless power and data transfer system with 1-mbps full-duplex communication link[J]. IEEE Transactions on Industrial Informatics, 2024, 20(2): 2620-2631.
[17] Da Chaolai, Wang Lifang, Li Fang, et al. Analysis of undersea simultaneous wireless power and 1 mb/s data rate transfer system based on DDQ coil[J]. IEEE Transactions on Power Electronics, 2023, 38(10): 11814-11825.
[18] Li Tao, Sun Zhichao, Wang Yijie, et al. Simultaneous wireless power and data transfer system with full- duplex MIMO communication channels for under- water applications[J]. IEEE Transactions on Industrial Informatics, 2024, 20(4): 6382-6393.
[19] 王云柳, 卿晓东, 吴学颖. 同轴旋转型MC-WPT系统电能与信号并行传输方法[J].电源学报, 2023, 21(6): 57-65.
Wang Yunliu, Qing Xiaodong, Wu Xueying. Power and signal parallel transfer method for coaxial rotating MC-WPT system[J], Journal of Power Supply, 2023, 21(6):57-65.
[20] Li Xiaofei, Hu Jiefeng, Li Yong, et al. A decoupled power and data-parallel transmission method with four-quadrant misalignment tolerance for wireless power transfer systems[J]. IEEE Transactions on Power Electronics, 2019, 34(12): 11531-11535.
[21] 姚友素, 唐程雄, 王懿杰, 等. 基于正交磁场的无线能量和数据协同传输技术[J]. 电工技术学报, 2022, 37(8): 1875-1884.
Yao Yousu, Tang Chengxiong, Wang Yijie, et al. Wireless power and data transfer based on orthogonal magnetic fields[J]. Transactions of China Electro- technical Society, 2022, 37(8): 1875-1884.
[22] Li Xiaofei, Li Zhiheng, Madawala U K, et al. A simultaneous wireless power and data transfer method utilizing a novel coupler design for rotary steerable systems[J]. IEEE Transactions on Power Electronics, 2024, 39(9): 11824-11833.
[23] Li Tao, Sun Zhichao, Wang Yijie, et al. Undersea simultaneous wireless power and data transfer system with extended communication distance and high rate[J]. IEEE Transactions on Power Electronics, 2024, 39(3): 2917-2921.
[24] Chen Wenjie, Liu Zhitao, Liu Jia, et al. A new simultaneous wireless power and information transfer system with integrated signal magnetic coupler[J]. IEEE Transactions on Industrial Electronics, 2023, 70(12): 12708-12718.
[25] Jing Yongzhi, Dan Xinjie, Yu Jialong, et al. Simulta- neous wireless power and multi-channel data transmission based on OFDM[J]. IEEE Transactions on Power Electronics, 2024, 39(7): 8894-8903.
[26] Cai Chunwei, Li Jiapeng, Wu Shuai, et al. A bipolar and unipolar magnetic channel multiplexed WPT system with simultaneous full-duplex communication for autonomous underwater vehicles[J]. IEEE Transa- ctions on Power Electronics, 2023, 38(12): 15086- 15090.
[27] Fan Yuanshuang, Sun Yue, Dai Xin, et al. Simulta- neous wireless power transfer and full-duplex communication with a single coupling interface[J]. IEEE Transactions on Power Electronics, 2021, 36(6): 6313-6322.
[28] Wang Peiyue, Sun Yue, Feng Tianxu, et al. Simulta- neous wireless power and data transfer system with full-duplex mode based on double-side LCCL and dual-Notch filter[J]. IEEE Journal of Emerging and Selected Topics in Power Electronics, 2022, 10(3): 3140-3151.
[29] Yan Zhou, Ma Chongyuan, Zhang Zijian, et al. Redefining the channel bandwidth for simultaneous wireless power and information transfer[J]. IEEE Transactions on Industrial Electronics, 2022, 69(7): 6881-6891.
Wireless Power and Full-Duplex Signal Transfer System Based on the Planar Double-Decoupled Signal Coil
Abstract The wireless power and signal transfer system can achieve signal transmission between the primary and secondary sides without additional communication modules, thereby avoiding interference with the resonance state of power. This paper proposes a double-decoupled signal coil. This signal coil and the power magnetic coupling mechanism are decoupled, and the same side signal transmitting and receiving coils are also decoupled. Thus, the interference between the power channel and the signal channel is eliminated. In addition, this paper proposes a signal channel topology based on a dual resonant circuit to achieve a full duplex communication mode.
At a particular transmission frequency in one direction, the receiving and transmitting sides in the other direction are in a high impedance state to isolate crosstalk in bidirectional signal transmission. This paper first establishes a magnetic field model of a dual decoupling signal coil based on finite element simulation. The magnetic field distribution characteristics of the power magnetic coupling mechanism and the signal coil are analyzed, as well as the signal transmission and reception coils. A coil optimization method is proposed to improve signal transmission performance. Then, based on the dual decoupling signal coil and power magnetic coupling mechanism, a wireless power and full duplex signal synchronous transmission topology is proposed. In response to the crosstalk problem of signal channels in full duplex mode, the impedance of signal channels based on dual resonant circuits was analyzed, and the gain characteristics of forward and reverse signal transmission were studied. A method for setting signal channel parameters was obtained to reduce crosstalk in full duplex mode. Finally, a wireless power and signal transmission experimental platform was established. The experimental results show that the proposed dual decoupling signal coil achieves wireless power and signal transmission without interference with the power magnetic coupling mechanism. The proposed full duplex signal topology can achieve bidirectional signal communication at 120 kbit/s under the 175 W power condition, which can meet most serial port signal communication needs.
Keywords:Wireless power transfer (WPT), wireless power and signal transfer (WPST), double-decoupled signal coil, full-duplex communication
中图分类号:TM724
DOI: 10.19595/j.cnki.1000-6753.tces.242161
国家重点研发计划项目(2022YFB3304502)、国家自然科学基金项目(52307004)、中国博士后基金面上项目(2023MD744133)、重庆市自然科学基金项目(2024NSCQ-MSX1785)和重庆市教育委员会科学技术研究项目(KJQN202400626)资助。
收稿日期 2024-11-29
改稿日期 2024-12-30
王佩月 男,1992年生,博士研究生,研究方向为无线电能与信号同步传输技术。
E-mail: wangpy@cqupt.edu.cn
蒋金橙 男,1993年生,博士研究生,研究方向为无线电能传输技术。
E-mail: jiangjinc@cqupt.edu.cn(通信作者)
(编辑 郭丽军)