摘要 介质响应技术在变压器绝缘受潮状态的现场无损评估中起到重要作用,而现有评估模型需代入表征变压器油道、隔板等绝缘结构的典型参数信息,限制了该技术的现场推广应用。该文旨在提出一种不受绝缘结构差异影响的频谱特征,从而实现无需绝缘结构参数信息的变压器受潮状态评估。试验测试了不同水分含量油纸绝缘样品的频域介电谱,研究发现:不准确的绝缘结构参数会使油浸绝缘纸介质损耗谱的反演结果产生较大偏差,利用结构参数X、Y的不同取值计算得到的油浸绝缘纸介质损耗谱相交于结构不敏感特征频率点,油纸绝缘整体结构在该点的介质损耗因数(tan d)值不受绝缘结构参数X和Y的影响。该文基于这一特性提出一种无需已知绝缘结构参数的油纸绝缘受潮状态评估方法,并在实验室模型及实际油浸式设备上验证了该方法的有效性。
关键词:油纸绝缘 损耗谱 结构不敏感特征频率点 水分含量
油浸式变压器是电力系统中的关键设备,其稳定性和可靠性是电力系统安全运行的重要保证[1-2]。油纸绝缘是油浸式变压器主要的绝缘结构之一,受潮是影响其绝缘性能的关键因素[3-4]。变压器制造中的水分残留、运行中外部水分入侵及绝缘纸的老化降解等因素均会导致油纸绝缘系统水分含量超标[5]。油纸绝缘受潮不仅会导致其绝缘性能下降,增加局部放电和击穿的风险,还会加快设备热老化过程[6-7]。因此,准确地评估油纸绝缘的受潮程度对保障电力系统的稳定运行具有重要意义。
在不吊罩前提下实现现场变压器内绝缘水分含量的准确评估一直是本领域的研究热点。绝缘介电响应特性对水分含量变化极为敏感,基于频域介电谱测试技术的变压器受潮状态诊断方法倍受关注[8],并逐渐在现场得到了广泛应用[9-10]。国内外众多学者基于介电谱理论[11-13]研究了多种特征参量与油纸绝缘水分含量的关系,这些特征参量主要包括三类:第一类是直接以频域介电谱中单点或多点频率损耗值为特征,建立特征量与水分含量之间的关联关系[14];第二类是以油纸绝缘Debye等效电路模型为基础,通过研究水分含量对模型参数的影响规律,进而提取能表征油纸绝缘受潮状态的特征参量[15-17];第三类是引入Havriliak-Negami(H-N)、Cole-Cole等数学模型,对油纸绝缘的介电谱进行分析与拟合,并根据函数解析式进一步提取与绝缘纸受潮状态存在定量关系的特征参量[18-19]。
虽然实验室的理论研究较为丰富,但应用于现场评估时,广泛采用的流程为:现场测量获取变压器主绝缘的整体介质损耗谱
,利用适用于复合电介质等效介电特性计算的X-Y模型[20],代入表征变压器油道、隔板和围屏几何结构的参量,将来自复杂绝缘结构的复合介质损耗谱
反演计算为单一电介质——绝缘纸板的损耗谱tandpaper(f),并将其与实验室测量的不同水分含量纸板介电谱数据库进行匹配,以确定受潮状态评估结果。基于该评估思路,美国Megger公司、奥地利Omicron公司开发了商用绝缘诊断分析仪,实现了变压器内绝缘受潮状态的无损定量评估。然而,该方法存在三方面问题。①准确的结构参数不易获得:对于油浸式变压器而言,评估所需的绝缘结构参数X、Y值通常需要分析设备绝缘结构的设计图纸,而现场通常难以获得准确的参数值,这使得tandpaper(f)的反演计算结果存在较大的不确定性[20];②复合电介质特性模型的等效性问题:X-Y模型是基于理想的双层电介质串、并联模型,忽略了油纸绝缘电场切向分量、油纸界面电场畸变等因素[21],虽然可较好地等效实验室中的平板电极样品,但面对变压器复杂的内绝缘结构时,其等效性有待进一步验证;③对数据库中样品介电谱的依赖性:最终的评估结果取决于解谱后tandpaper(f)与数据库中样品介电谱的匹配程度,而建立数据库所采用的材料来源、物理状态及测试方法对评估结果影响较大,样品的密度、厚度、供应厂家,以及测试方法和老化程度等都会影响介电谱的数据。因此,当前方法的评估结果存在极大的不确定性,极端情况下可能导致无法接受的误差[22]。
本文旨在研究一种不受限于油纸绝缘结构参数信息的介电谱新特征参量,可在未知变压器绝缘结构参数的前提下实现油纸绝缘水分含量的评估,以克服现有评估方法中结构参数差异对评估结果的影响。首先,介绍油浸绝缘纸介电谱的反演计算方法,分析结构参数对反演结果的影响;其次,基于实测介电谱数据和等效X-Y复合介电模型,分析并提出对油纸绝缘结构不敏感的特征频率点;然后,基于该特征频率点的损耗特征,提出一种油纸绝缘受潮状态评估的新方法;最后,通过等效实物模型和现场变压器测试,对该新特征和评估方法的有效性进行验证。
对于大多数油浸式变压器,其绕组间的主绝缘结构主要由绝缘油、油浸纸板及撑条构成,可简化为如图1a所示的二维模型,并采用图1b所示的平板电极下的X-Y模型等效表示撑条、纸板和绝缘油的关系[23]。其中,X为围屏或隔板的总厚度与主绝缘厚度之比,Y为撑条或垫片的总宽度与绕组间平均周长之比,具体如图1b所示。对于不同类型的油浸式电力变压器,X取值一般在0.2~0.5之间,Y一般在0.15~0.25之间[24]。
图1 变压器主绝缘等效X-Y模型
Fig.1 Equivalent X-Y model of the transformers’ main insulation
在高-低压绕组间施加一激励电压,即可获得一响应电流,分析电压和电流间的幅值、相位关系,即可获得该结构整体的复介电常数
。按照复合电介质的介电特性理论,可将
表达[25]为
(1)
式中,
和
分别为绝缘油和油浸绝缘纸在频率f处的复介电常数。定义介质损耗因数为复介电常数虚部与实部的比值,有
(2)
式中,
和
分别为主绝缘整体复介电常数的虚部和实部。
绝缘油介电常数实部随频率变化不大,矿物油的介电常数实部通常取值为2.2,虚部则主要受电导损耗影响。因此,绝缘油复介电常数
的表达式为
(3)
式中,
为温度T时绝缘油的直流电导率;e0为真空介电常数,e0=8.854×10-12 F/m。
因此,在获得复合绝缘结构整体复介电常数
和绝缘油的直流电导率
后,可根据式(1)和式(3),按照式(4)反演出绝缘纸的复介电常数
[26]。
(4)
显然,在已测得
和
前提下,如果选择偏离实际值的X和Y代入式(4),会对
以及tandpaper(f)的反演结果产生较大的影响,并进一步影响绝缘状态评估的准确性。
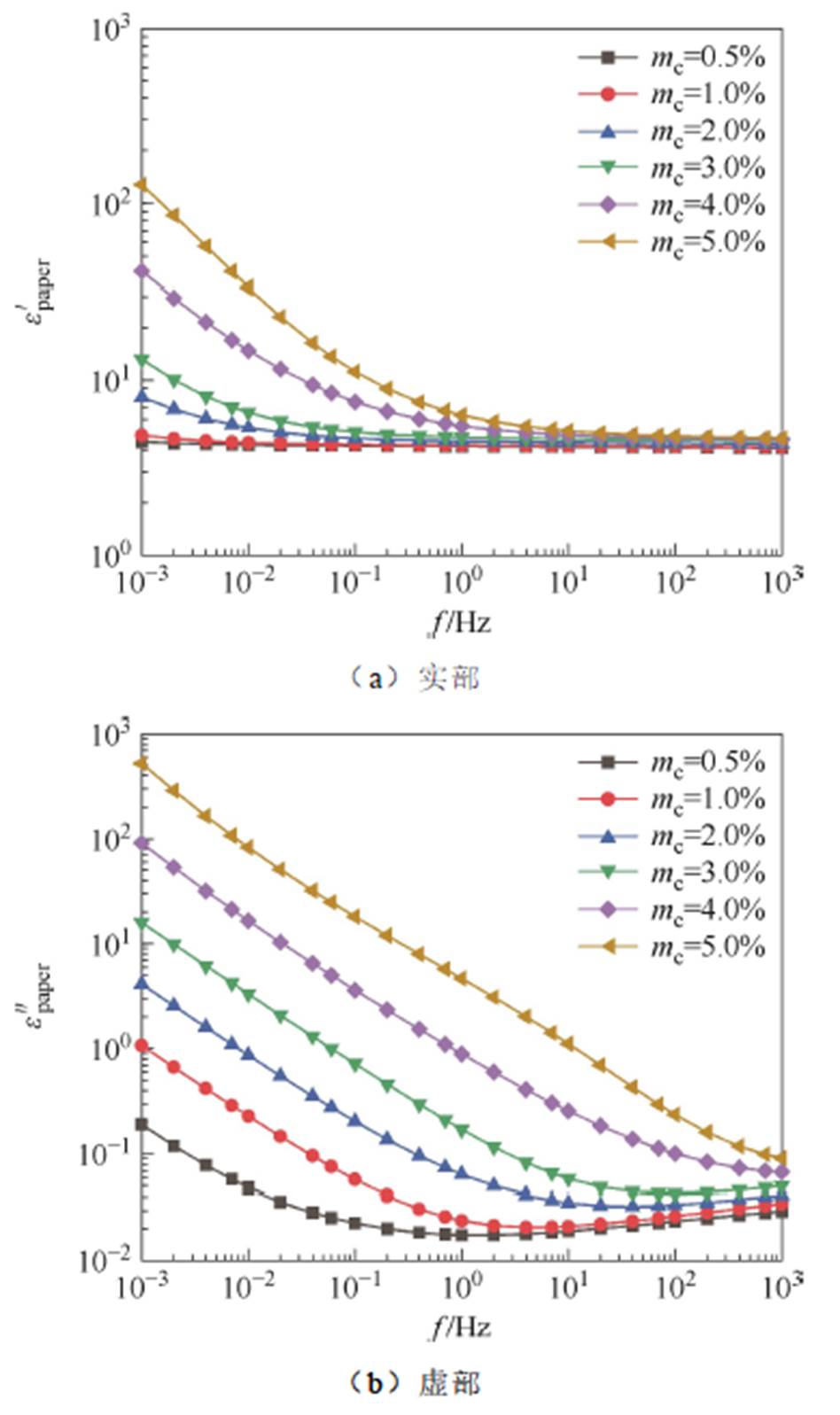
为了定量分析X、Y参数对tandpaper(f)的影响,本节采用如图2a所示的试验样品模拟具有油道、撑条和纸板组成的试验模型。样品由绝缘油和绝缘纸复合而成,其中绝缘纸包括厚度为t1、直径为D1的圆形纸板(图2b)以及厚度为t2、内外直径分别为D3和D2的环形纸板(图2c),两种纸板重叠放置并浸渍于绝缘油中,以模拟X-Y模型中的隔板、撑条和油道结构。可通过改变两种绝缘纸板的直径和厚度以改变X-Y等效模型的参数配置。
图2 油纸绝缘样品结构
Fig.2 Structure of oil-paper insulation sample
试验中,圆形纸板直径D1=160 mm,厚度t1= 1 mm,环形纸板外径D2和内径D3分别为113 mm和100 mm,厚度t2=2 mm。结构参数X和Y的计算式分别为
(5)
(6)
式中,D4为测量电极的直径,其与圆形纸板的有效直径和环形纸板的外径相同,均为113 mm。油纸绝缘样品的结构参数见表1。
试验中所用纸板为魏德曼纤维素绝缘纸,绝缘油为克拉玛依产25号环烷基矿物油。不同受潮程度的油纸绝缘样品制备流程参考文献[27]:首先对绝缘纸板和绝缘油进行干燥处理;然后将纸板置于干燥绝缘油中真空浸渍48 h得到油浸绝缘纸样品;最后将其暴露于空气中自然吸潮不同时间,制得水分含量mc分别为0.63%、2.23%、3.17%、4.08%的油浸绝缘纸板。绝缘纸板和绝缘油的水分含量采用卡尔费休滴定法测量。每次试验中使环形纸板和圆形纸板的受潮状态保持一致。此外,根据国家标准GB/T 5654—2007《液体绝缘材料相对电容率、介质损耗因数和直流电阻率的测量》,采用JKJD200-1绝缘油介质损耗及电阻率测试仪测试了各油纸绝缘样品对应的绝缘油直流电导率。绝缘纸板和绝缘油的水分含量及绝缘油电导率的测试结果见表2。
表1 油纸绝缘样品结构参数
Tab.1 Structural parameters of oil-paper insulation sample
参 数数 值 圆形纸板D1/mm160 t1/mm1 环形纸板D2/mm113 D3/mm100 t2/mm2 结构参数X0.333 Y0.217
表2 样品水分含量及电导率
Tab.2 Moisture content and conductivity of the samples
绝缘纸水分含量(%)绝缘油水分含量/(mg/L)绝缘油电导率@20℃/(pS/m) 0.639.50.017 2.2314.30.056 3.1719.20.14 4.0823.10.49
将图2a样品的损耗谱记为
,图2b圆形纸板测得的损耗谱记为tandpaper(f )。采用IDAX-300绝缘分析仪在三电极系统下进行测试,正弦激励电压有效值为140 V,测量频率范围为1 mHz~1 kHz,测试环境温度为20℃。测试时,通过顶部金属电极的重力将被测样品压紧,使电极与样品接触良好且不引入额外的油隙。
和tandpaper(f)的测试结果分别如图3a和图3b所示。
图3 不同水分含量样品的损耗谱(20℃)
Fig.3 Loss spectrum for samples with different moisture content (20℃)
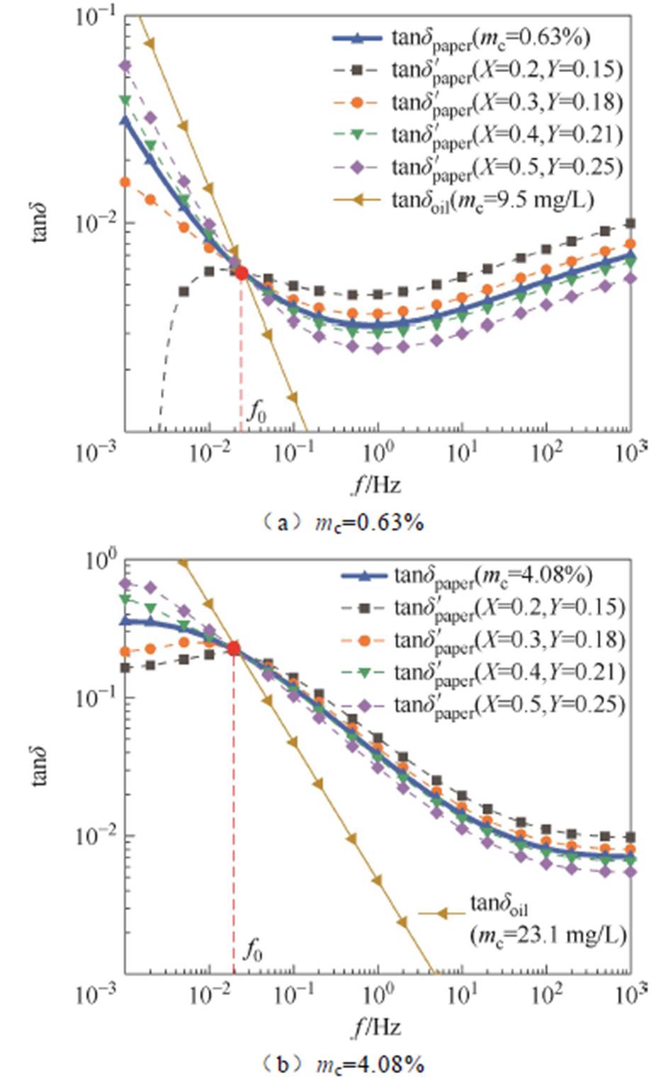
接下来,以绝缘纸水分含量mc分别为0.63%、4.08%的油纸绝缘样品为例,分析结构参数X和Y对反演结果正确性的影响。分别取X=0.2, 0.3, 0.4, 0.5、Y=0.15, 0.18, 0.21, 0.25,计算油浸绝缘纸的反演值
,并与实测值tandpaper(f)进行比较,结果如图4所示。图4中,蓝色粗实线为实测的tandpaper(f),黄色细实线为绝缘油损耗谱tandoil(f)。
图4 不同X、Y取值对
的影响
Fig.4 The effect of different X and Y values on 
由图4可知,当结构参数X和Y取值偏离真实值(X=0.333, Y=0.217)时,反演结果
距离实测值tandpaper(f)出现较大偏差,甚至出现不合理的负值。
从图4可以观察到,虽然X和Y取值不同,且
曲线呈现较大的差距,但值得注意的是,这些曲线都在一个特定的频率点
处发生了相交,且绝缘油的损耗谱tandoil(f)也经过该点,即在该频率点f0处,有tandpaper=tandoil,在文献[21]中同样观察到这一现象。将油浸绝缘纸在频率点
处的复介电常数
定义为
(7)
式中,
和
分别为
处油浸绝缘纸复介电常数的实部和虚部。由于
=
,绝缘油在频率点
处的复介电常数可定义为
(8)
式中,k为比例系数。根据式(1),油纸绝缘结构整体在频率点
处的复介电常数为
(9)
化简得
(10)
由式(10),定义
(11)
其中
(12)
绝缘结构参数X、Y及比例系数k均为常数,因此a也为常数。油纸绝缘样品整体在
处的介质损耗因数值为
(13)
由式(13),在该频率点
处,可以得到
(14)
从上述推导可知,若存在一个频率点
,该点处
和
相交,那么此点处
=
=
,而与绝缘结构参数X、Y无关。该频率点
可定义为“结构不敏感特征频率点”。
进一步地,也可从油纸复合绝缘电路模型出发,并结合介质损耗定义,分析
处的物理意义。基于图1b所示的X-Y模型,油纸复合绝缘可等效为如图5所示的电路模型。图5中,
、
分别为流过两条串联支路的电流;Z1、Z3分别为绝缘油和撑条阻抗,Z2、Z4均为纸板阻抗。
图5 油纸绝缘系统等效电路
Fig.5 Equivalent circuit of oil-paper insulation system
根据介质损耗角d的定义,在
处满足施加于油纸绝缘系统、油浸绝缘纸与绝缘油上的电压、电流相位差j相等,均为j =90°-d0,其中,d0为
处油纸系统的介质损耗角。令
~
分别为施加在阻抗Z1~Z4上的电压,以
相位作为参考,可得
、
及油纸绝缘整体电压
的相量图,如图6a所示。油纸绝缘系统电压与电流的相位差同为j,进一步可得到整体电流
的相量图如图6b所示。由
可得
与
、
的相量关系,如图6c所示。
图6 油纸系统电压与电流的相量关系
Fig.6 Phasor relationship between voltage and current in oil-paper insulation system
相量图表明,在
处由于油纸绝缘系统、油浸绝缘纸与绝缘油的介质损耗角相同,则
、
与
相位相同,四个阻抗(Z1~Z4)上的电压
~
与油纸绝缘整体电压
同相位。因此,频率
处流过各部分介质的电流同相位,施加于各部分介质的电压也同相位。在这种特殊情况下,X、Y变化只影响电压、电流模值,不会对介质损耗角及介质损耗因数造成影响。相反地,当激励电压频率不为
时,结构参数X、Y变化不但会改变各部分阻抗电压电流的幅值,还会改变其相位差,从而介质损耗角也随X、Y参数的变化而变化。
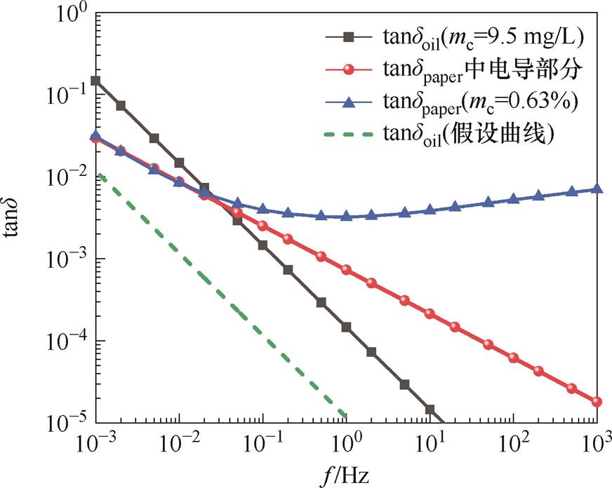
以mc=0.63%的油浸绝缘纸及mc=9.5 mg/L的绝缘油的损耗谱为例,对结构不敏感特征频率点的存在性进行分析,如图7所示。
图7 结构不敏感特征频率点存在性分析
Fig.7 Existence analysis of structure-insensitive frequency point
油浸绝缘纸的弛豫过程通常可用H-N模型来表达[28],即
(15)
式中,
和
分别为光频介电常数及介质静态介电常数;t为弛豫时间;a和b为决定弛豫分布的两个常量,且满足a>0和b<1。根据油纸绝缘频域介电谱解释模型[29],油浸绝缘纸的复介电常数可表示为
(16)
式中,
为油浸绝缘纸的直流电导率;s为参数,s<1[28-29]。在低频区域,油纸绝缘损耗通常以电导损耗为主,极化损耗影响很小,
可近似成实部为
、虚部为0的复数。结合式(2)和式(16),该频段的
可近似为
(17)
两边取对数可得
(18)
如图7所示,在f
[0.001, 0.02) Hz时,油浸绝缘纸在对数坐标系下可描述成斜率为-s的直线,即图7中圆点实线。在f
[0.02, 103) Hz时,油浸绝缘纸损耗由电导损耗和极化损耗共同作用,
的虚部大于0。这使得tandpaper随f增大而减小得缓慢或随f增大而增大。
绝缘油的频域介电谱在对数坐标系下表现为:实部
不随频率变化,一般恒定为2.2,虚部
是一条斜率为-1的直线,因此tandoil(f)同样是一条斜率为-1的直线,如图7中黑色正方形实线所示,可将该直线描述为
(19)
根据式(18)和式(19)可知,tandoil(f)在对数坐标系下的斜率比tandpaper(f)更小。若在测量频段最低频点
处存在tandoil( fmin)>tandpaper( fmin),则tandpaper(f)与tandoil(f)总会在某个频率点处相交,且交点有且仅有一个,即结构不敏感特征频率点f0。
需要说明的是,
出现的位置与油和纸的状态紧密相关,某些情况下
的实测结果可能出现在非常低的频率点,导致无法在现场有限的测试频率下限内准确地获取到
。例如:图7中虚线代表
较小的绝缘油,在最小测试频率点
处,tandoil(fmin)<tandpaper(fmin),在测试频段内尚无法观测到交点,此时也可以选择继续降低测试频率下限,但会消耗大量测试时间。然而,这种现象一般对应于绝缘处于水分含量很小、电导和损耗极低的情况。
根据2.1节所述,在油纸绝缘损耗谱的特征频率点
处存在tandtot( f0)=tandpaper( f0)=tandoil( f0),且该介质损耗值不受绝缘结构参数影响,而受潮程度的变化会显著影响该频率点
的位置,这一特性可用于定量评估油纸绝缘的受潮状态。需要说明的是,温度会影响介电响应的测试结果,这在前期的大量研究中已得到验证。而通常现场测试时变压器已停电较长时间,可认为绝缘系统温度与环境温度一致,并可忽略测试过程中水分在油和纸之间的转移。因此,现场测试的结果需先参照文献[6]中的“频温平移”方式进行归算后,再寻找特征频率点
。综上所述,本文提出的绝缘受潮状态评估方法流程如图8所示。
图8 油纸绝缘受潮状态评估方法流程
Fig.8 Flow chart of the assessment method for the moisture state of oil-paper insulation
1)测量油纸绝缘整体介质损耗曲线
及绝缘油的电导率
,根据式(3)计算得到绝缘油介质损耗曲线
。通过“频温平移”方式将曲线
校正至基准温度后,再确定该油纸绝缘系统的结构不敏感特征频率点
。
2)基于实验室已经构建的绝缘纸板介电谱数据库,其中包括不同水分含量纸板的实测复介电常数曲线
数据库[30],结合步骤1)中的
数据,通过式(1)、式(2)计算得到与数据库中各水分含量样品对应的油纸系统整体
曲线,以及
处的介质损耗值
。
3)求出各水分含量下
与
间的相对误差,遍历所有相对误差结果,得到误差最小值,该最小值对应的水分含量即为变压器油纸绝缘的水分含量评估结果。
需要说明的是,由于介电谱的测试原理决定了其无法有效地区分老化和受潮的影响,本文暂未考虑老化这一因素对评估结果的影响,所建立的数据库也是基于未老化纸板开展的测试结果。虽然众多研究结果表明,相较于受潮而言,单纯老化对油纸绝缘介电谱的影响较为微弱[31],但是未来也可以通过开展更多的测试研究,采用扩大数据库或者加入老化校正系数等方案进一步考虑老化的影响。
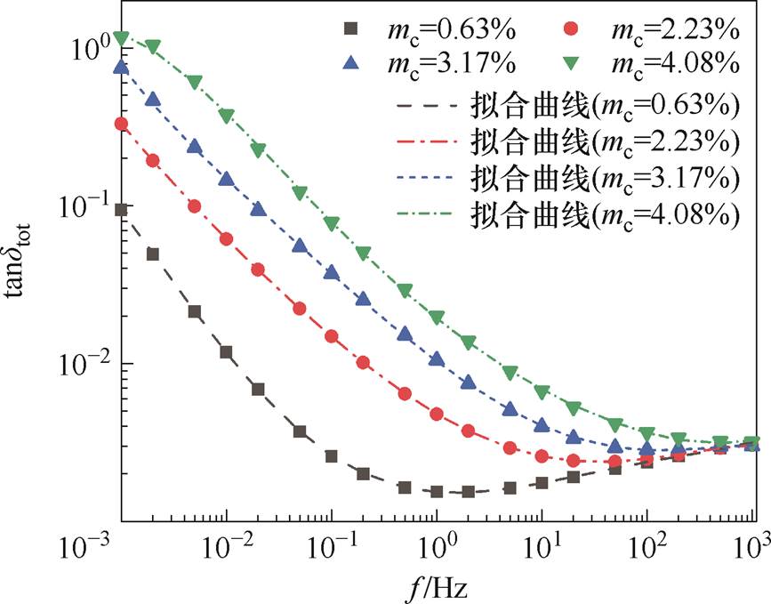
在实际测量过程中,介质损耗谱的结构不敏感特征频率点可通过求取
及
的交点得到。为求取该频率点,使用最小二乘法对
在对数坐标系下进行多项式函数拟合。以本次试验测量的不同水分含量油纸绝缘样品
为例,拟合结果如图9所示,拟合公式见表3。拟合公式中,x表示lg f,y表示lg(tandtot)。
图9 tandtot(f)拟合结果
Fig.9 Fitting result of tandtot(f)
表3 tandtot(f)拟合公式
Tab.3 Fitting formula of tandtot(f)
mc(%)拟合公式 0.63y=-0.0018x5-0.003x4-0.037x3+0.148x2-0.052x-2.816 2.23y=-0.001x5-0.002x4+0.015x3+0.113x2-0.393x-2.321 3.17y=-0.0014x5+0.0001x4+0.024x3+0.074x2-0.504x-1.987 4.08y=0.0009x5-0.003x4+0.003x3+0.084x2-0.534x-1.713
由图9可知,拟合曲线与油纸绝缘样品的频谱具有较好的一致性。通过联立tandtot(f)与tandoil(f)的解析式,求解每个油纸绝缘样品的结构不敏感特征频率点
及
,求解结果见表4。
表4 油纸绝缘样品f0及tandtot(f0)计算结果
Tab.4 Calculation results of f0 point and tandtot(f0) for oil-paper insulation samples
mc(%)f0/Hztandtot(f0) 0.630.026 50.005 5 2.230.004 30.110 4 3.170.009 70.150 1 4.080.018 80.251 3
目前,进口设备厂商未公布离线特征数据库。本文基于课题组前期积累的大量油浸绝缘纸频域介电谱测试数据,涵盖水分含量0.5%~5.0%范围,采用插值方法进一步完善数据集,形成水分含量区间为0.2%~5.0%、梯度间隔为0.1%的油浸绝缘纸复介电常数
数据库。不同水分含量油浸绝缘纸介电常数曲线如图10所示。
图10 不同水分含量
数据库(20℃)
Fig.10 Database of
under different moisture contents (20℃)
为了直观地反映受潮状态对
处介质损耗值的影响,将tandtot(f)与数据库中由水分含量为mc的曲线数据计算得到的tandmc(f)在
处介质损耗值的相对误差定义为
(20)
根据3.1节评估方法流程,通过比较水分含量区间0.2%~5.0%内的所有E(mc),得到相对误差最小值Emin(mc),该最小值对应的水分含量mc即为油纸绝缘水分含量的评估结果。
以油纸绝缘样品为试验对象,验证上述水分含量评估方法的有效性。对于不同水分含量的油纸绝缘样品,根据实际测量的tandtot(f)及tandoil(f)求解特征频率点,计算不同水分含量tandmc(f)的E(mc),比较误差结果得到Emin(mc)及该值对应的水分含量。各水分含量油纸绝缘样品计算的E(mc)结果如图11所示,同时根据Emin(mc)得到的油浸绝缘纸水分含量评估值见表5,可以看出评估值与实测值差异较小。
图11 各油纸绝缘样品E(mc)的计算结果
Fig.11 Calculation results of E(mc) for each oil-paper insulation sample
表5 各油纸绝缘样品水分含量评估结果
Tab.5 Evaluation results of moisture content for each oil-paper insulation samples
mc实际值(%)mc评估值(%)Emin(mc) 0.630.40.004 55 2.232.10.003 58 3.172.90.004 49 4.083.80.000 38
以绝缘纸板、撑条及绕组组成的变压器主绝缘等效模型为试验对象,验证上述评估方法的有效性。主绝缘等效模型结构如图12a所示,并将该实物模型放置于如图12c所示由不锈钢材料制成的容器中。该容器等效为实际变压器的外壳,容器底部放置透明亚克力底座,用于主绝缘模型和外壳之间的绝缘隔离。测试前注入绝缘油,并将整个等效模型充分浸没,同时将外壳接地。
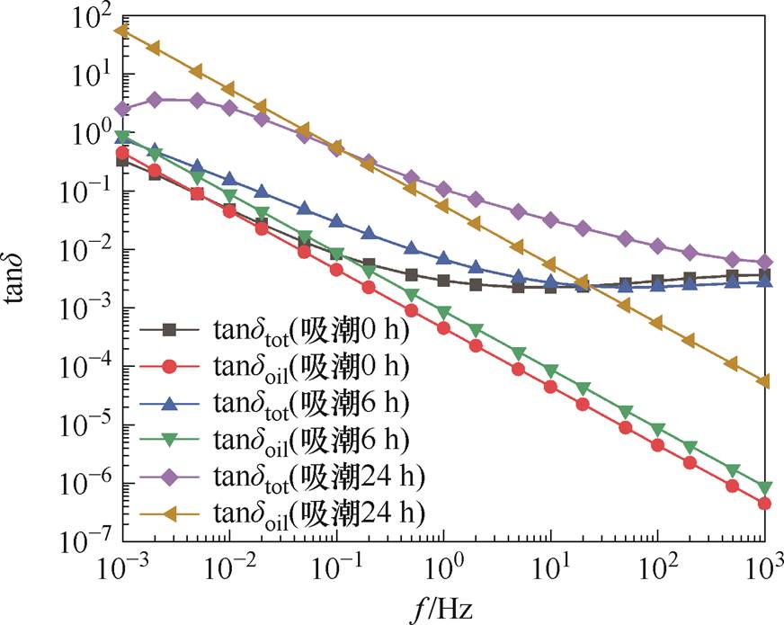
将主绝缘等效模型按1.2节中的流程进行处理,各样品吸潮时间分别为0、6、24 h,样品对应的绝缘油电导率分别为0.054、0.107、6.692 pS/m,在20℃环境下测得三个样品的
及绝缘油的tandoil(f)如图13所示。根据3.1节的评估方法,计算每个样品的E(mc)如图14所示。作为对比,本文也采用商用仪器IDAX-300对模型的水分含量进行了评估。此外,待上述测试完成后,将绕组从绝缘油中吊出,暴露出固体绝缘纸表面,采用文献[32]中的太赫兹无损测试方法,获取模型上、中、下三个部位(见图12b)的太赫兹光谱,并对水分含量进行评估。表6给出了上述三种方法的测试结果,可以看出三种方法得到的水分含量评估值均比较接近。
图12 变压器主绝缘等效模型结构示意图
Fig.12 Structural diagram of equivalent model of transformer main insulation
图13 主绝缘等效模型tandtot(f)及绝缘油的tandoil(f)
Fig.13 tandtot(f) of the main insulation equivalent model and tandoil(f) of the insulating oil
图14 各等效模型样品E(mc)计算结果
Fig.14 Calculation results of E(mc) for each equivalent model sample
表6 各等效模型样品水分含量评估结果
Tab.6 Evaluation results of moisture content for each equivalent model sample
样品吸潮时间/h评估水分含量(%)Emin(mc) 本文方法IDAX-300太赫兹评估方法 01.01.2上层:1.030.005 63 中层:0.98 下层:0.92 62.32.1上层:2.430.003 08 中层:2.28 下层:2.27 244.04.1上层:4.260.008 29 中层:4.07 下层:3.94
按照3.3节提出的评估方法对表7所示的四台油浸式电力设备进行水分含量评估。试验均在变电站现场进行,测试接线示意图如图15所示。电压输出对应图中的高压电极端,电流输入对应图中的测量电极端,测试设备与变压器共地接线。测试时,电力变压器的高压端和低压端分别短接,激励电压施加在高压绕组,低压绕组作为响应电流测量端,测试高低压绕组间的绝缘状态。
表7 油浸式电力设备型号及具体情况
Tab.7 Model and specific conditions of the oil-immersed equipment
型号生产日期备 注 ODFPS-250000/5002024年4月已正常装配,即将投运 SZ10-40000/1102007年11月已完成滤油处理 BKD-40000/5002018年3月处于停运检修状态 S13-M-400/102018年11月处于停运状态
图15 油浸式电力设备测试接线示意图
Fig.15 Test wiring diagram of oil-immersed power equipment
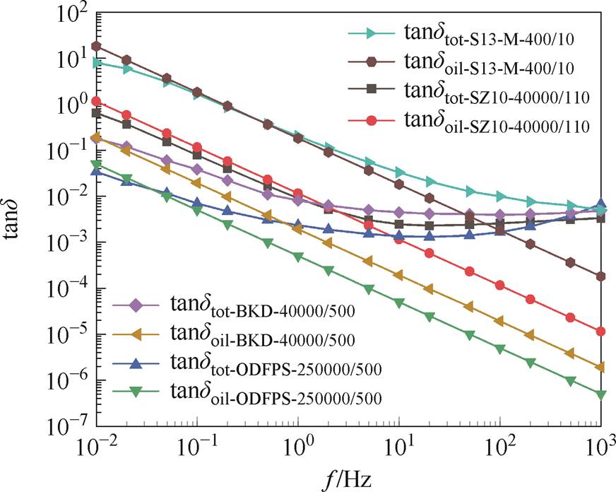
ODFPS-250000/500为崭新的500 kV单相自耦无励磁调压变压器,生产完成不足一年,且尚未投运,水分含量较低,绝缘状态良好。SZ10-40000/110为110 kV有载调压电力变压器,已投运使用16年,测试前经过滤油处理,绝缘状态较好。BKD-40000/ 500为单相并联电抗器,测试时处于检修状态,由于运行时间较长,该设备的绝缘状态出现部分劣化。S13-M-400/10为10 kV配电变压器,该变压器停运后主绝缘受到严重的潮气侵蚀,受潮情况严重。现场测量数据校正至基准温度(20℃)后的结果如图16所示。
图16 油浸式电力设备及绝缘油的tand(f)曲线
Fig.16 tand(f) of oil-immersed power equipment and insulating oil
由图16可知,各设备主绝缘及其设备内绝缘油的tand(f)曲线在测量频段内均存在结构不敏感特征频率点。根据变压器主绝缘及相应绝缘油的tand(f)曲线按前文所述评估方法得到相应的特征频率点并进行误差分析,结果如图17所示。根据各组Emin(mc)得到油浸式设备主绝缘的水分含量评估结果见表8。同时使用商用绝缘诊断分析仪IDAX- 300对各油浸式电力设备受潮状态进行诊断,结果同列于表8中。在未知设备绝缘结构情况下,商业软件对变压器水分含量的评估结果与本文所提方法得到的评估结果接近,且较为合理。
图17 油浸式电力设备各水分含量E(mc)计算结果
Fig.17 Calculation results of E(mc) for each oil-immersed power equipment
表8 油浸式电力设备水分含量评估结果
Tab.8 Evaluation results of moisture content for each oil-immersed power equipment
型号Emin(mc)评估水分含量(%) 本文方法IDAX-300 ODFPS-250000/5000.003 720.80.4 SZ10-40000/1100.004 960.51.0 BKD-40000/5000.005 732.12.2 S13-M-400/100.016 584.54.4
本文通过对油纸绝缘整体结构的频域介电谱进行测试,提出并验证了油纸绝缘介质损耗曲线
结构不敏感特征频率点
的存在,并基于不同水分含量油纸绝缘整体介质损耗曲线
在该频率点数值的差异性,提出了一种无需已知绝缘结构参数的油纸绝缘受潮状态评估方法。主要结论如下:
1)油纸绝缘的介质损耗谱中存在一个频率点
,在该点满足关系tandtot(f0)=tandpaper(f0)= tandoil( f0),而与绝缘结构参数X、Y无关,该频率点可定义为“结构不敏感特征频率点”。受潮程度的变化并不影响该频率点的存在,只会影响频率点
的具体数值。
2)提出了一种基于结构不敏感特征频率点
的油纸绝缘受潮状态评估方法,即:通过比较不同水分含量下实测
与基于数据库计算得到的tandmc(f )在
处介质损耗值的相对误差,根据误差最小值得到水分含量评估结果,实现了无需绝缘结构参数条件下对油纸绝缘水分含量的定量评估,并在变压器主绝缘等效实物模型和油浸式电力设备上初步验证了该方法的有效性。
参考文献
[1] 刘刚, 胡万君, 刘云鹏, 等. 降阶技术与监测点数据融合驱动的油浸式变压器绕组瞬态温升快速计算方法[J]. 电工技术学报, 2024, 39(19): 6162-6174.
Liu Gang, Hu Wanjun, Liu Yunpeng, et al. A fast calculation method for transient temperature rise of oil immersed transformer windings driven by fusion of order reduction technology and monitoring point data[J]. Transactions of China Electrotechnical Society, 2024, 39(19): 6162-6174.
[2] 江军, 张文乾, 李波, 等. 电力变压器油中溶解气体离群值识别和数据重构[J]. 电工技术学报, 2024, 39(17): 5521-5533.
Jiang Jun, Zhang Wenqian, Li Bo, et al. Outlier detection and data reconstruction of dissolved gas in oil for power transformers[J]. Transactions of China Electrotechnical Society, 2024, 39(17): 5521-5533.
[3] 邹阳, 林锦煌, 何津, 等. 基于频谱解构法的油纸绝缘扩展德拜模型参数辨识[J]. 电工技术学报, 2023, 38(3): 622-632.
Zou Yang, Lin Jinhuang, He Jin, et al. Parameter identification of oil paper insulation extended Debye model based on spectrum deconstruction method[J]. Transactions of China Electrotechnical Society, 2023, 38(3): 622-632.
[4] 吴明, 张大宁, 邵先军, 等. 基于微带环谐振器的油纸绝缘介电响应特性与受潮评估[J]. 电工技术学报, 2023, 38(3): 633-647.
Wu Ming, Zhang Daning, Shao Xianjun, et al. Dielectric response properties and moisture assess- ment of oil-paper insulation based on micro-strip ring resonator[J]. Transactions of China Electrotechnical Society, 2023, 38(3): 633-647.
[5] 杨定乾, 王进, 宋通, 等. 基于频域介电响应的油浸纸套管受潮缺陷诊断分析[J]. 高压电器, 2022, 58(6): 77-86.
Yang Dingqian, Wang Jin, Song Tong, et al. Diagnosis and analysis of moisture defect of oil-paper insulated bushing based on frequency domain dielectric response[J]. High Voltage Apparatus, 2022, 58(6): 77-86.
[6] 姚欢民, 穆海宝, 张大宁, 等. 时变温度下油纸绝缘频域介电谱曲线校正方法研究[J]. 电工技术学报, 2023, 38(1): 246-257.
Yao Huanmin, Mu Haibao, Zhang Daning, et al. Study on the frequency domain spectroscopy curves correction method of oil-paper insulation at time- varying temperature[J]. Transactions of China Electrotechnical Society, 2023, 38(1): 246-257.
[7] 夏源, 杨丽君, 吕晓露, 等. 基于介质响应电流频变特性的油纸绝缘受潮状态评估方法[J]. 电工技术学报, 2024, 39(11): 3444-3456.
Xia Yuan, Yang Lijun, Lü Xiaolu, et al. Evaluation method of oil-paper insulation damp state based on the frequency-dependent characteristics of dielectric response current[J]. Transactions of China Electro- technical Society, 2024, 39(11): 3444-3456.
[8] 张明泽, 刘骥, 齐朋帅, 等. 基于介电响应技术的变压器油纸绝缘含水率数值评估方法[J]. 电工技术学报, 2018, 33(18): 4397-4407.
Zhang Mingze, Liu Ji, Qi Pengshuai, et al. Numerical evaluation method for moisture content of transformer oil-paper insulation based on dielectric response technique[J]. Transactions of China Electrotechnical Society, 2018, 33(18): 4397-4407.
[9] Hu Yizhuo, Dong Ming, Song Bo, et al. Parameters extraction and mechanism analysis of the moisture in oil-paper based on the spectral decomposition of dielectric response[J]. IEEE Transactions on Dielec- trics and Electrical Insulation, 2022, 29(4): 1441- 1449.
[10] Cui Yi, Ma Hui, Saha Tapan, et al. Understanding moisture dynamics and its effect on the dielectric response of transformer insulation[J]. IEEE Trans- actions on Power Delivery, 2015, 30(5): 2195-2204.
[11] 董明, 刘媛, 任明, 等. 油纸绝缘频域介电谱解释方法研究[J]. 中国电机工程学报, 2015, 35(4): 1002- 1008.
Dong Ming, Liu Yuan, Ren Ming, et al. Explanation study of frequency-domain dielectric spectroscopy for oil-paper insulation system[J]. Proceedings of the CSEE, 2015, 35(4): 1002-1008.
[12] 张明泽, 孟繁昊, 刘骥, 等. 变压器油纸绝缘频域介电响应非线性特性研究[J]. 中国电机工程学报, 2023, 43(2): 831-843.
Zhang Mingze, Meng Fanhao, Liu Ji, et al. Research on nonlinear characteristics for frequency domain dielectric response of transformer oil-paper insulation [J]. Proceedings of the CSEE, 2023, 43(2): 831-843.
[13] 张大宁, 刘孝为, 詹江杨, 等. 变压器油纸绝缘频域介电谱的虚部分析[J]. 电工技术学报, 2019, 34(4): 847-854.
Zhang Daning, Liu Xiaowei, Zhan Jiangyang, et al. Analysis of imaginary part of frequency domain spectroscopy for oil-paper insulation transformer[J]. Transactions of China Electrotechnical Society, 2019, 34(4): 847-854.
[14] Shi Shilin, Hao Jian, Zeng Qian, et al. Moisture and aging degree evaluation method for oil-paper insulation based on HV-FDS characteristics analysis [J]. IEEE Transactions on Dielectrics and Electrical Insulation, 2024, 31(5): 2520-2530.
[15] 杜林, 冉鹂蔓, 蔚超, 等. 基于扩展德拜模型的油纸绝缘受潮频域特征量研究[J]. 电工技术学报, 2018, 33(13): 3051-3058.
Du Lin, Ran Liman, Wei Chao, et al. Study on frequency domain characteristics of moisture in oil- paper insulation based on extended Debye model[J]. Transactions of China Electrotechnical Society, 2018, 33(13): 3051-3058.
[16] 杨峰, 唐超, 周渠, 等. 基于等效电路的油纸绝缘系统受潮状态分析[J]. 电工技术学报, 2020, 35(21): 4586-4596.
Yang Feng, Tang Chao, Zhou Qu, et al. Analyzing the moisture state of oil-paper insulation system using an equivalent circuital model[J]. Transactions of China Electrotechnical Society, 2020, 35(21): 4586-4596.
[17] 黄猛, 李怡然, 吴延宇, 等. 计及界面电荷和极性效应的油纸复合绝缘非线性电路等效模型[J]. 电工技术学报, 2024, 39(11): 3422-3432.
Huang Meng, Li Yiran, Wu Yanyu, et al. Equivalent nonlinear circuit model with interface charge and polarity effect for oil-paper composite insulation[J]. Transactions of China Electrotechnical Society, 2024, 39(11): 3422-3432.
[18] Dong Ming, Ren Ming, Wen Fuxin, et al. Explanation and analysis of oil-paper insulation based on frequency-domain dielectric spectroscopy[J]. IEEE Transactions on Dielectrics and Electrical Insulation, 2015, 22(5): 2684-2693.
[19] 周利军, 李先浪, 王东阳, 等. 基于Havriliak- Negami介电弛豫模型的油纸绝缘状态评估[J]. 高电压技术, 2016, 42(1): 153-162.
Zhou Lijun, Li Xianlang, Wang Dongyang, et al. Status assessment of oil-paper insulation based on Havriliak Negami dielectric relaxation model[J]. High Voltage Engineering, 2016, 42(1): 153-162.
[20] Xu Qingchuan, Wang Shengkang, Lin Fuchang, et al. Moisture assessment of oil-immersed paper based on dynamic characteristics of frequency domain spectro- scopy[J]. IEEE Access, 2022, 10: 15183-15192.
[21] Tu Yalong, Wang Shengkang, Xu Qingchuan, et al. Study on XY model and its equivalent circuit of oil- paper insulation[J]. IEEJ Transactions on Electrical and Electronic Engineering, 2023, 18(4): 515-524.
[22] Fan Xianhao, Liu Jiefeng, Zhang Yiyi, et al. A modified XY model of transformer oil-paper insulation system including non-uniform aging and conductance effect[J]. IET Generation, Transmission & Distribu- tion, 2021, 15(13): 2008-2017.
[23] Blennow J, Ekanayake C, Walczak K, et al. Field experiences with measurements of dielectric response in frequency domain for power transformer diagnos- tics[J]. IEEE Transactions on Power Delivery, 2006, 21(2): 681-688.
[24] Gafvert U, Frimpong G, Fuhr J. Modeling of dielec- tric measurements on power transformers[C]// Proceedings of CIGRE, Paris, France, 1998: 15/103.
[25] Li Wei, Yang Lijun, Xia Yuan, et al. Assessment of the moisture content of oil-paper insulation based on the nonlinear coefficient of low-frequency-per-unit curve[J]. IEEE Transactions on Dielectrics and Electrical Insulation, 2022, 29(6): 2122-2130.
[26] 徐晴川, 王圣康, 林福昌, 等. 基于频谱二阶斜率方均根的变压器油浸绝缘纸频谱提取[J]. 电工技术学报, 2022, 37(19): 4989-5002.
Xu Qingchuan, Wang Shengkang, Lin Fuchang, et al. Frequency spectroscopy extraction of oil-immersed paper based on second-order gradient root mean square[J]. Transactions of China Electrotechnical Society, 2022, 37(19): 4989-5002.
[27] 邓映鑫, 杨丽君, 燕飞东, 等. 受潮油纸绝缘的非线性介电响应特性及H-W模型在时-频转换中的应用[J]. 电工技术学报, 2020, 35(21): 4609-4619.
Deng Yingxin, Yang Lijun, Yan Feidong, et al. Nonlinear dielectric response characteristics of damp oil-impregnated pressboard insulation and application of H-W model in time-frequency conversion[J]. Transactions of China Electrotechnical Society, 2020, 35(21): 4609-4619.
[28] 董明, 刘媛, 任明, 等. 油纸绝缘频域介电谱特征参数提取及绝缘状态相关性研究[J]. 中国电机工程学报, 2015, 35(23): 6246-6253.
Dong Ming, Liu Yuan, Ren Ming, et al. Study of characteristic parameter extraction and insulation condition correlation of frequency-domain dielectric spectroscopy for oil-paper insulation systems[J]. Proceedings of the CSEE, 2015, 35(23): 6246-6253.
[29] Xu Qingchuan, Wang Shengkang, Lin Fuchang, et al. Extracting frequency spectroscopy of oil-immersed paper based on havriliak-negami model without known insulation structure of transformer[J]. IEEE Transactions on Instrumentation Measurement, 2022, 71: 3181296.
[30] 杨丽君, 彭攀, 高竣, 等. 基于频域介电响应特征指纹的油纸绝缘受潮及老化状态区间识别[J]. 电工技术学报, 2018, 33(9): 2105-2114.
Yang Lijun, Peng Pan, Gao Jun, et al. The range recognition of moisture and aging status of oil-paper insulation based on frequency domain dielectric response characteristic fingerprint[J]. Transactions of China Electrotechnical Society, 2018, 33(9): 2105-2114.
[31] 范贤浩, 刘捷丰, 张镱议, 等. 融合频域介电谱及支持向量机的变压器油浸纸绝缘老化状态评估[J]. 电工技术学报, 2021, 36(10): 2161-2168.
Fan Xianhao, Liu Jiefeng, Zhang Yiyi, et al. Aging evaluation of transformer oil-immersed insulation combining frequency domain spectroscopy and support vector machine[J]. Transactions of China Electrotechnical Society, 2021, 36(10): 2161-2168.
[32] He Yuxin, Yang Lijun, Liu Xiong, et al. Moisture- diffusion behavior in oil-paper insulation based on terahertz time-frequency technology[J]. IEEE Trans- actions on Dielectrics and Electrical Insulation, 2024, 31(5): 2621-2631.
Abstract The moisture condition of oil-paper insulation significantly impacts the safe operation of oil-immersed electrical equipment. Accurately assessing the internal insulation moisture content is essential for ensuring the normal operation of such equipment. Dielectric response technology plays a critical role in the on-site, non-destructive evaluation of transformer insulation moisture conditions. However, existing evaluation models require input of typical parameter information representing insulation structures such as transformer oil and spacers, limiting the field application of this technology. This paper aims to explore a frequency-domain spectral feature independent of insulation structure differences and to develop a transformer moisture condition evaluation method that does not rely on insulation structure parameters.
Firstly, an experimental model simulating structures comprising insulating oil, spacers, and paperboard was used to measure the loss spectra of the overall oil-paper insulation structure and the oil-immersed insulating paper. Experimental results revealed that when structural parameter values deviate from actual values, the inversion results of the oil-impregnated insulation paper loss spectrum show significant deviations from the measured values. Loss spectra calculated using different X and Y values intersect at the same frequency point, while the moisture level only affects the position of this frequency point. This frequency point is defined in this paper as the “structure-insensitive characteristic frequency point”, denoted as the f0 point, and its existence was validated for rationality. At the frequency point f0, the voltages applied to each dielectric have the same phase angle, and the current in each dielectric has the same phase angle as its voltage. Under this specific condition, variations in X and Y only affect the magnitudes of voltage and current, without influencing the dielectric loss angle. Conversely, when the voltage frequency deviates from f0, changes in the structural parameters X and Y alter the magnitudes and phases of voltage, and current in each part. Finally, based on a dielectric spectrum database of insulating paperboards constructed in the laboratory, this study compared the errors between the actual values and the overall oil-paper insulation loss spectra at the structure-insensitive characteristic frequency point for different moisture contents. The minimum error was used to determine the moisture content evaluation results. The evaluated moisture content of oil-paper insulation samples was very close to the actual measurements obtained through the Karl Fischer method. For equivalent main insulation models and actual oil-immersed electrical equipment, the evaluation results were reasonable and consistent with those of commercial equipment.
The experimental results lead to the following conclusions: (1) A frequency point f0 exists in the loss spectrum of oil-paper insulation, satisfying the relationship tandtot(f0)=tandpaper(f0)=tandoil(f0), independent of insulation structure parameters X and Y. This frequency point is defined as the “structure-insensitive characteristic frequency point”. Changes in moisture levels do not affect the existence of this point but only influence its specific value f0. A moisture condition evaluation method based on the structure-insensitive characteristic frequency point f0 was proposed. This method enables quantitative evaluation of the moisture content in oil-paper insulation without requiring insulation structure parameter information. Initial validation of this method’s effectiveness was demonstrated using a transformer main insulation equivalent physical model and oil-immersed electrical equipment.
keywords:Oil-paper insulation, loss spectrum, structure-insensitive frequency point, moisture content
中图分类号:TM855
DOI: 10.19595/j.cnki.1000-6753.tces.242093
国家电网有限公司总部科技项目资助(5108-202218280A-2-345-XG)。
收稿日期 2024-11-21
改稿日期 2024-12-24
彭 誉 男,2000年生,硕士研究生,研究方向为电气设备在线检测与绝缘故障诊断。E-mail: projectpy@163.com
杨丽君 女,1980年生,教授,博士生导师,研究方向为高压设备绝缘状态和故障诊断的在线监测,以及电力变压器和电缆的老化机理和诊断等。E-mail: yljcqu@cqu.edu.cn(通信作者)
(编辑 李 冰)