基于条件网络和知识注入的多标签学习电能质量扰动识别与分类方法

黄 杰1 李建闽1,2 朱冰凡1 张驰成1 梁成斌3

(1. 湖南师范大学工程与设计学院 长沙 410081 2. 湖南大学电气与信息工程学院 长沙 410082 3. 贵州大学电气工程学院 贵阳 550025)

摘要 新型电力系统下新能源在大规模并网的同时亦带来诸多的电能质量问题,严重影响电网的安全稳定运行。准确识别电能质量扰动(PQDs)类型是保障用电设备稳定运行、实现电力高质量供应的重要前提。针对现有PQDs识别和分类方法普遍存在的模型识别准确率低、参数量大、算法复杂度较高等问题,该文提出一种基于条件网络和知识注入的多标签学习PQDs识别与分类方法。该方法首先在主网络中采用一维融合卷积网络与基于无参注意力机制优化的长短期记忆网络来提取PQDs特征信息。然后,设计了一个条件网络用于识别PQDs扰动数量并引入知识注入模块增强模型的约束能力,通过结合条件网络和知识注入机制,在减少主网络对复杂扰动类型识别难度的同时提高了该文算法识别的准确度。最后,算法将条件网络的分类结果和主网络的输出结果通过一个标签阈值函数得到最终扰动识别与分类结果。仿真结果表明,在随机白噪声环境下,该文所提方法以仅92 654的参数量达到了99.47%的识别准确率,实现了复杂扰动的高精度和轻量化识别。此外,实际构建的硬件平台进一步验证了所提方法的准确性和可靠性。

关键词:电能质量扰动 条件网络 知识注入 多标签学习 长短期记忆网络

0 引言

新型电力系统下,随着大量分布式储能系统和新能源的接入,电网电能质量扰动(Power Quality Disturbances, PQDs)变得愈加复杂[1]。电能质量扰动不仅会影响电力客户的用电体验,还会严重危害整个电网的安全稳定运行[2-3]。电能质量扰动的准确辨识和检测,是对其采取科学、有效预防及治理措施的重要前提[4-5]

目前,PQDs分类方法主要有两类:一类是基于信号处理和分类器的传统方法;另一类是基于人工智能的深度学习方法。传统PQDs分类方法通常分为两个阶段:首先利用信号分析处理算法提取扰动信号的时频特征;其次经过人工特征选取后借助分类器学习序列到标签之间的映射关系。其中,常用的信号分析处理算法包括傅里叶变换[6]、小波变换[7]、S变换[8]、经验模态分解[9]、变分模态分解[10]等;而常用的分类器包括决策树[11]、支持向量机[12]、人工神经网络[13]等。然而,随着电网环境的日益复杂化,传统辨识分类方法因严重依赖人工经验,已无法满足新型电力系统下迅速增多的PQDs类型识别需求。

与传统方法相比,基于人工智能的深度学习方法在特征选取上无需人工干预,且能识别较多的扰动类型。深度学习方法主要采用卷积神经网络(Convolutional Neutral Network, CNN)[14]、残差网络(Residual Network, ResNet)[15]、贝叶斯神经网络(Bayesian Neural Network, BNN)[16]、循环神经网络(Recurrent Neural Network, RNN)[17]等模拟人脑结构以完成对PQDs数据的自主学习。在PQDs分类领域中,深度学习方法主要包含两类研究方法:一是通过马尔科夫转移阵列[18]、S变换[19]等将一维信号转换为二维图像,然后结合基于深度学习的图像分类模型对二维图像进行特征提取并完成PQDs的分类。文献[15]利用马尔科夫转移阵列将PQDs信号转换为二维可视化图像,而后利用ResNet建立9个二分类器实现对PQDs的识别。文献[20]则采用可视化轨迹圆技术将一维扰动信号转换为具有明显形状特征的二维轨迹圆,并输入ResNet进行自主特征学习和分类辨识。二是将PQDs信号作为一维时间序列并采用端到端设计,利用CNN、RNN等相关模型去挖掘信号的高维特征并完成PQDs分类辨识。文献[21]将PQDs信号的时域和频域信息共同作为输入,提出了一种基于多源融合卷积神经网络(Multi-source Fusion Convolutional Network, MFCNN)的复杂PQDs识别框架。文献[17]则利用标签间的相关性,提出了一种基于多标签端到端PQDs检测方法。将一维PQDs信号转换为二维图像的研究方法虽能够凸显信号在二维视角下的扰动特征,但通过PQDs的二维图像化进行分类,不仅会使分类模型的设计和训练过程大大复杂化,而且图像化过程容易使得信号特征丢失。而直接将一维序列作为模型的输入,不仅可以简化结构,还可以保持数据之间的时序关系,因而被更多学者所研究。然而,文献[17, 21]均通过增加网络层数来优化模型,导致模型复杂度大幅提升的同时参数量亦随之剧增。

针对上述问题,本文提出了一种基于条件网络和知识注入(Conditional Networks and Knowledge Injection, CKML)的多标签学习PQDs识别方法。该方法将PQDs分类问题建模为多标签学习问题,通过引入条件网络识别扰动数量,从而降低了主网络对复杂PQDs的识别难度;同时,引入知识注入模块用于在分类后处理阶段校正模型的输出结果,进一步提高整体识别精度。具体而言,该算法首先在主网络中采用一维融合卷积网络(One- Dimensional Multi-Fusion Convolutional Networks, 1D-MFCN)来提取PQDs的特征信息,并引入利用无参注意力机制优化的长短期记忆网络(Long Short-Term Memory Network Optimized By A Simple, Parameter-Free Attention Mechanism, SimLSTM)模块来捕获PQDs的时序特性;其次,引入条件网络和知识注入模块分别用于识别PQDs中的扰动数量和矫正冲突标签的分类结果;最后,算法将条件网络的分类结果与主网络的输出结果通过标签阈值函数得到最终扰动识别与分类结果。与传统依赖加深网络结构以提升分类性能的方法相比,本文所提出的模型仅在略微增加模型复杂度的前提下,实现了识别准确率的提高,兼具轻量化与高精度的优势,具有良好的实际应用潜力。

1 CKML模型的基本框架

为同时满足高识别率和低模型复杂度,本文设计了基于CKML的端到端模型框架,具体如图1所示。

width=478.7,height=187.7

图1 基于CKML的电能质量扰动识别和分类方法基本框架

Fig.1 The basic framework of the CKML-based method for PQDs identification and classification

由图1可知,CKML主要由三个模块组成:基于1D-MFCN的特征提取、SimLSTM和条件网络模块。

1.1 基于1D-MFCN的特征提取模块

PQDs信号为一维时间序列。为在提取关键特征的同时减少算法的复杂度,本文将一维卷积神经网络(One-Dimensional Convolutional Neural Net- works, 1D-CNN)和一维分组卷积神经网络(One- Dimensional Group Convolutional Neural Network, 1D-GCNN)相结合,设计了1D-MFCN用于捕获PQDs特征信息。其中,1D-MFCN的基本结构如图2所示。

width=213.6,height=187.45

图2 1D-MFCN的基本结构

Fig.2 The basic structure of the 1D-MFCN

设输入PQDs信号为width=101,height=17,则PQDs通过1D-CNN处理的过程可表示为

width=81,height=35 (1)

式中,width=10,height=15为上一卷积层输出数据;m为卷积核大小;width=12,height=17为卷积核第j个权值;b为偏置项。

为加快网络收敛速度并防止过拟合,本文采用批量归一化(Batch Normalization, BN)对卷积层输出数据进行归一化操作,具体表示为

width=85.95,height=35 (2)

式中,width=27,height=17width=35,height=17分别为width=10,height=15的均值和方差;width=9,height=12width=11,height=13.95分别为缩放因子和偏移因子。

为进一步提高网络表达能力,本文采用ReLU作为激活函数,其定义为

width=63,height=17 (3)

网络所采用最大池化层的表达式为

width=84,height=17 (4)

式中,N为池化区域内所有数据的集合。

为减少网络复杂度,本文采用1D-GCNN来获取更深层次的特征信息。与1D-CNN相比,1D- GCNN先将输入通道分组,再采用不同的卷积核对各个通道的特征图进行卷积运算,具体过程如图2所示。

设输入的特征图维度为width=66,height=15,卷积核的大小为width=56,height=15。其中,width=18,height=15为输入特征图的通道数,width=21,height=15为输出的特征图的通道数,width=20,height=15width=18,height=15分别为特征图的高度和宽度,HW分别为卷积核的高度和宽度。若采用1D-CNN运算,则浮点运算次数为width=127,height=15,参数量为width=24.95,height=15 width=56,height=15。由于1D-GCNN运算是先将输入的特征图均匀分成g组,再对每组中的特征图进行分别卷积操作,故其卷积核大小仅需width=67,height=15。因此,其浮点运算数(Floating Point Operations Per Second, FLOPS)与参数量均为1D-CNN运算的width=19,height=15,大大地降低了网络的复杂度。1D-GCNN的计算过程可表示为

width=103.95,height=35 (5)

式中,g为第g个分组;G为分组总数;width=27,height=19为输入特征图在第g个分组第width=33,height=13.95处的值;width=13.95,height=19为卷积核k中第g个分组在位置j处的值;width=13,height=15为第g个分组的偏置项;d为第g组卷积核的大小。

1.2 基于SimAM优化的LSTM模块

LSTM模块能够捕捉信号在不同时间点之间的依赖关系。然而,传统LSTM模块在处理输入数据时,无法根据特征的重要性自适应地调整其权重,使得信息分散和重要信息的丢失。为此,本文设计了一种基于SimAM优化的LSTM模块即SimLSTM。

SimLSTM通过能量函数表达每个神经元的活跃程度,将更高的权重赋予目标神经元,信息匮乏的神经元则被抑制,其能量函数定义为

width=196,height=33(6)

式中,to分别为目标神经元和同一通道的其他神经元;width=46,height=16width=55,height=15分别为对应神经元的线性变换;i为通道内神经元索引;M为通道内神经元总数;width=10,height=12width=12,height=15width=13,height=15分别为三个不同值标量。

目标神经元能量越低表示其与其他神经元的线性分离性越大,故需求解式(6)的最小值。为简化计算过程,对width=12,height=15width=13,height=15采用二进制标签化,即width=33,height=15width=34,height=15,且在目标函数中增加正则项。因此,能量函数的最终表达式为

width=193.95,height=55(7)

式中,l为正则化系数;width=13,height=15width=10,height=15的解析解为

width=117,height=63 (8)

式中,width=11,height=15width=15,height=17分别为单个通道中除去目标神经元t外其他所有神经元的均值和方差。

由于同一通道内神经元分布一致,可简化t的均值和方差计算过程,即基于通道内整体神经元计算width=11,height=15width=15,height=17,具体为

width=92,height=69 (9)

因此,t的最小能量函数为

width=100,height=39 (10)

神经元最小能量函数值越小,表示其蕴含特征越明显,故width=20,height=17可表征各神经元的重要性。同时,依据各神经元的重要性完成该注意力机制的加权计算,具体过程如下。

width=96.95,height=29 (11)

式中,E为所有神经元最小能量函数值的矩阵;width=13.95,height=15为输入特征的映射;width=12,height=12为哈达玛积。为了防止width=13,height=27值过大,采用Sigmoid函数将其限制在[0, 1]范围内。

在得到加权特征f后,将其输入遗忘门width=12,height=15,记忆门width=9,height=15以及细胞状态width=11,height=15,最终得到输出门width=11,height=15。具体计算公式为

width=130,height=109 (12)

式中,width=30,height=15为当前时刻输入特征;width=11,height=10为Sigmoid函数;width=18,height=15width=17,height=15分别为上一时刻LSTM单元的输出和细胞状态;width=82,height=17width=65,height=17分别为遗忘门、输入、细胞更新门及输出门的权重和偏置。

最后,将SimLSTM模块的输出送入全连接层,得到各类扰动标签的置信度得分,具体表示为

width=88,height=17 (13)

式中,width=13,height=15为每种PQDs类别存在的置信度得分;width=13.95,height=15width=11,height=15分别为线性变换的权重矩阵和偏置。

与传统的LSTM相比,SimLSTM能自动识别关键特征并施加权重,使得捕捉的时序特征更加精准。

1.3 条件网络和知识注入模块

传统网络框架准确度的提升通常依靠网络层数的增加或已有网络模块的排列组合。这样往往容易造成网络过拟合的现象发生且模型亦较为复杂。考虑到PQDs分类问题中造成准确率较低的主要原因通常是多重扰动类型(三重扰动和四重扰动)的识别错误率较高[22],即提高网络分类识别准确度的关键在于降低主网络对多重扰动识别的错误率。因此,本文在主网络之外加入一个对扰动数量进行分类的条件网络。

条件网络中采用与主网络相同的特征提取模块。因为条件网络仅对扰动数量进行分类,无需提取PQDs时序特征,故仅保留SimLSTM模块的SimAM部分,舍弃LSTM,改用全局最大池化(Global Max Pooling, GMP)提取特征图中最显著的特征。GMP的输出可表示为

width=69,height=15 (14)

式中,width=10,height=12为条件网络SimAM输出;width=31,height=15为全局最大池化操作。

最后,将GMP的输出送入全连接层中分类得到有width=10,height=15种PQDs类别的概率width=24.95,height=15,具体可表示为

width=139,height=17 (15)

式中,width=67,height=15width=12,height=15为每个width=16,height=15所包含的PQDs数量。width=24.95,height=15中最大值所对应的width=12,height=15为条件网络判断的扰动数量。

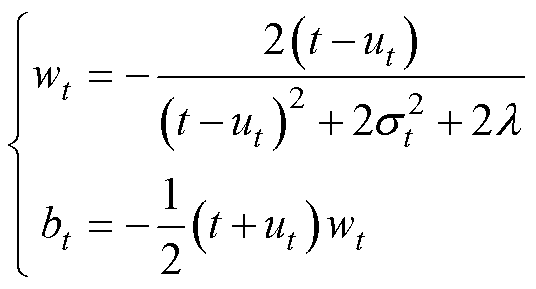
通过条件网络即可得到每个PQD所含扰动数量的预测结果。为降低主网络中对多重扰动类型识别的错误率,条件网络分类结果用于辅助主网络的分类决策。在主网络中已经得到PQDs类别存在的置信度得分,只需要通过标签阈值函数即可得到PQDs信号对应的标签。然而,传统的标签阈值函数仅是将置信度得分大于或等于0.5的标签置为1,小于0.5的标签置为0,故常常无法满足分类需求。为此,本文采用了基于条件网络的标签阈值函数,用于提高分类决策的准确率,标签阈值函数width=19,height=15的具体表达式为

width=131,height=33 (16)

式中,width=71,height=17width=11,height=15width=13,height=15中前width=12,height=15个最大值。

考虑到实际电力系统中,暂升、暂降和中断这三种扰动现象无法在同一时刻出现,本文引入知识注入模块(即暂升、暂降和中断三种扰动不能同时存在),以进一步用于提高主网络识别的准确度。知识注入模块的流程如图3所示。

width=221.15,height=137.15

图3 知识注入模块的流程

Fig.3 Flow chart of the knowledge injection module

知识注入模块首先统计width=15,height=15width=21,height=15width=23,height=15中置信度得分大于或等于0.5的标签数N,其中,width=15,height=15width=21,height=15width=23,height=15分别为width=13,height=15中暂升、暂降和中断标签的置信度得分。其次,判断N是否大于1:若width=24,height=13.95,表明主网络判定暂升、暂降和中断在同一PQDs中同时存在,即主网络存在误判,此时,需要将width=15,height=15width=21,height=15width=23,height=15中置信度最高的标签置为1,其余标签置为0;若N≤1,则表明主网络判定暂升、暂降和中断未在同一PQDs中同时存在,即主网络判断正确。最后,将所有PQDs类别的置信度得分输入所提出的标签阈值函数,得到最终的输出标签值。

2 仿真实验和实际测试

依据IEEE Std.1159—2019[23],利用Matlab生成48种PQDs的仿真信号,包括7种单一扰动、17种双重扰动、17种三重扰动和6种四重扰动以及正常电网信号。其中,单一扰动主要由谐波、瞬态振荡、瞬态脉冲、闪变、暂升、暂降、中断等组成,其余复合扰动由单一扰动组合而成。PQDs的基波频率为50 Hz,采样频率width=12,height=15为3.2 kHz。每个PQDs样本采样10个周期,即采样640个点。

2.1 模型参数和训练结果

在实际仿真实验中,每类PQDs生成1 000个样本,共48 000个样本,且每个样本随机加入20~50 dB的高斯白噪声。然后,将生成的48 000个样本按4width=6,height=111划分为训练集和验证集。为进一步评估所提模型的性能,本文还创建了五个测试集。每个测试集包含48种PQDs,每种PQDs类别生成200个样本。测试集的信噪比分别设置为20 dB、30 dB、40 dB、50 dB以及在20~50 dB之间的随机信噪比。

在本文提出的CKML模型中,主网络的特征提取模块由一个卷积层和四个组卷积层组成。其中,卷积层的卷积核数为16,卷积核大小为3×3,卷积步长和填充均为1。组卷积层的卷积核数分别为16、32、64和128;分组数分别设置为2、4、8和8;卷积核的大小为3×3;最大池化的卷积核大小均为2×2,步长均为2。在约束网络的特征提取模块中,第四个组卷积层的分组数为16,其余参数均与主网络的特征提取模块保持一致。在主网络的SimLSTM模块中,输入维度为128,隐藏层的维度为16。主网络和约束网络的SimAM正则化系数均为0.001。

主网络使用二元交叉熵损失函数进行训练,训练批次大小为288,迭代次数为50,学习率设置为0.001,并采用Adam优化器进行参数更新。约束网络采用交叉熵损失函数,其余训练参数与主网络相同。在训练过程中,主网络和约束网络均保存验证集上表现最佳的模型,以确保最高的分类准确度。

本文所提的模型基于Pytorch框架搭建,实验使用的硬件及软件配置见表1。基于CKML模型的训练结果如图4所示。

由图4可知,经过40个回合的训练后,主网络和条件网络在验证集和训练集上的损失和准确度基本保持一致,表明模型未出现过拟合现象。

表1 硬件及软件配置

Tab.1 Hardware and software specifications

硬/软件型号/版本硬/软件型号/版本 OSWin11 64bitPython3.10.14 CPUIntel Core i5-12600KFPytorch2.4.0 GPURTX 4060Ti 8GCUDA12.4 RAMDDR5 16GB*2HDDSSD 1TB

width=253.45,height=257.3

图4 CKML模型的训练结果

Fig.4 The training results of the CKML model

2.2 测试结果和性能评估

本节采用测试集对模型的分类准确度和汉明损失进行评估,具体测试结果见表2。

表2 CKML模型的测试结果

Tab.2 Test results of the CKML model

扰动类型扰动数量准确度(%)汉明损失 正常信号11000.000 00 单一扰动799.500.001 12 双重扰动1799.470.001 18 三重扰动1799.410.001 47 四重扰动699.500.001 43 合计4899.470.001 28

由表2可知,本文提出的CKML模型在PQDs识别准确度方面表现优异,所有测试结果的准确度均超过99.40%,且汉明损失均低于0.001 5。即使在复杂的三重扰动和四重扰动情形下,识别准确度分别达到99.41%和99.50%,这表明CKML模型在多重扰动识别中具有高准确性。此外,模型整体识别准确度高达99.47%,进一步表明了本文所提模型出众的学习能力和在识别复杂扰动中的可靠性。

为检验本文所提CKML模型的鲁棒性,本文将训练好的模型分别应用于具有不同噪声水平的测试集进行评估。同时,引入其他四种分类模型进行结果对比分析。图5给出了六种模型在不同噪声水平下的测试结果。

width=194.5,height=150.85

图5 不同模型的测试结果对比

Fig.5 Comparison of test results for different models

与此同时,为了展示CKML模型的轻量化特点,本文对六种模型的时间复杂度进行了分析,模型参数量和FLOPs的计算结果具体见表3。

表3 不同模型的时间复杂度对比

Tab.3 Comparison of time complexity among different models

模型FLOPs参数量运行时间 训练时间/min测试时间/s ML-CNN11 107 328116 5681.530.37 MC-CNN11 112 448121 7281.480.28 CNN-LSTM[24]13 895 52063 4082.420.33 DCNN[25]43 580 160431 5042.870.36 LGAN[17]28 940 480199 5763.572.69 CKML6 791 87292 6542.210.65

综合图5和表3可知,提出的CKML模型在20 dB、30 dB、40 dB、50 dB和随机信噪比情况下的准确度分别达到97.44%、99.01%、99.08%、99.75%和99.47%,优于ML-CNN,CNN-LSTM,DCNN等模型的准确度,在30 dB和40 dB噪声的环境下,CKML的准确度略低于LGAN(分别低0.15%和0.12%),但其FLOPs仅为LGAN的1/4,参数量不到LGAN的1/2。此外,与DCNN相比,CKML的准确度除在20 dB极端噪声环境下略低于DCNN,其余均显著高于后者,CKML的FLOPs仅约为DCNN的1/6,参数量仅为其约1/5,表明了CKML模型在保证识别准确率的同时兼备轻量化的优势。

本文所提模型在准确率和模型复杂度之间实现了良好平衡,通过引入条件网络,模型能够在前期识别扰动数量,从而减轻主网络对多重扰动类型的识别难度,提升复杂样本的识别准确性;同时,知识注入模块利用暂升、暂降、中断这三重扰动存在互斥关系这一前提,对主网络输出进行有效校正,增强了模型的稳定性与鲁棒性。相比于上述模型主要依赖加深网络结构以提升性能,本文提出的方法在仅略微增加网络复杂度的前提下,提高了识别准确率。因此,具有良好的识别性能与轻量化优势。

2.3 训练集与验证集样本比例对测试结果的影响

为评估训练集与验证集样本比例设置对仿真实验测试结果的影响,本文参考文献[17, 22]与文献[26]中常用的数据划分策略,在样本总数一定的情况下,分别设置训练集与验证集的比例为3width=6,height=111,8width=6,height=111和9width=6,height=111。基于相同的模型结构与超参数配置,对比分析了不同样本划分策略对模型性能的影响,其具体测试结果如图6所示。

width=194.5,height=150.85

图6 不同训练集与验证集样本比例下的测试结果

Fig.6 Testing results under different training-to-validation sample ratios

由图6可得,随着训练集与验证集比例由3width=6,height=111提升至4width=6,height=111,模型在不同噪声情况下的测试准确率均呈现提升趋势。这一现象主要归因于训练样本数量的增加使模型能够更充分地学习PQDs的特征信息,从而提升了识别性能。然而,当该比例进一步增加至8width=6,height=111和9width=6,height=111时,测试准确率反而出现一定程度的下降。其主要原因在于验证集样本数量的大幅减少,限制了模型在训练过程中对泛化能力的有效评估与最优参数的选择,进而影响了最终测试性能的稳定性与幅度提升。综合对比分析结果,本文最终选取训练集与验证集比例为4width=6,height=111为最优划分策略。

2.4 不同模块的有效性验证

为验证本文所引入条件网络模块和知识注入模块的有效性,本文在不同信噪比条件下分别对以下四种情况进行对比分析:仅使用主网络、使用主网络和条件网络模块,以及使用完整网络。具体结果如图7所示。

width=222.85,height=168.5

图7 不同模块的有效性验证

Fig.7 Effectiveness validation of different modules

由图7可知,在主网络的基础上,单独引入知识注入模块或条件网络模块均能提升识别的准确度,表明这两个模块在提升识别性能方面的有效性,但在使用传统的LSTM(无SimAM优化)或移除1D-MFCN特征提取与融合模块的情况下,模型在不同信噪比条件下的识别准确率均低于完整模型架构。尤其在去除1D-MFCN模块时,模型的识别准确度出现急剧下降,表明1D-MFCN模块对PQDs的特征提取起到关键作用。此外,采用传统LSTM的模型在识别性能上明显低于基于SimAM优化的LSTM模型,进一步验证SimLSTM通过融合SimAM增强了模型的特征选择能力。由此可见,无论移除哪个子模块,模型的识别准确度均低于完整网络,从而验证了所提模型中各个子模块协同工作的重要性和有效性。

2.5 与其他方法的对比分析

本节分别从特征提取方法、可识别扰动类型数以及不同信噪比下的准确度等三个方面,将CKML算法与现有文献中的方法进行对比,以验证本文提出方法的准确性和有效性。不同算法的性能对比结果见表4。

由表4结果可知,相较于FDST+DT和HST+DT等传统方法,CKML避免了繁琐的人工特征提取过程,且分类识别准确度高。与GAF+ResNet及MFCNN等深度学习方法相比,虽然CKML的识别准确度稍低于MFCNN,但其能够识别的PQDs数量是后者的一倍,这表明CKML在保持较高分类识别率的同时还能识别更多复杂类型的PQDs。

表4 不同分类识别方法的性能对比

Tab.4 Performance comparison of different classification methods

模型特征提取PQDs数量准确度(%) 20 dB30 dB40 dB50 dB ST+QSVM[27]手动787.3391.33—95.50 HST+DT[28]手动1396.1097.8098.70— ST-CNN[29]手动3797.5798.25—— MEWT+XGBoost[4]手动4895.698.698.8— GAF+ResNet[30]自动25—94.24—98.30 MFCNN[21]自动2499.26—99.86— CKML自动4897.4499.0199.0899.75

2.6 实际硬件平台测试

本文搭建了实际硬件测试平台,以验证所提算法在实际应用中的准确性和有效性。该测试平台构成如图8所示,其主要由功率标准源Fluke 6105A、示波器、信号调理电路、数据采集卡和PC等组成。

width=226.8,height=138.6

图8 实际硬件测试平台构成

Fig.8 The actual hardware test platform

具体而言,功率标准源用于生成测试用PQDs,并将七种典型扰动信号,即谐波、振荡瞬态、脉冲瞬态、闪变、暂升、暂降、中断,分别标记为C1~C7。示波器用于实时监测标准信号源Fluke 6105A产生的PQDs信号。信号调理电路将测量电压转换为ADC输入范围内的小电压。数据采集卡采用Smacq公司的USB-3212,其具有8个通道、16位分辨率,并通过USB接口将采集的数据传输至PC进行分析和处理。在采样过程中,采样率设定为3.2 kHz,每个PQDs样本的采样时间为0.2 s,对12种扰动分别重复采样60次。采集得到的PQDs信号转换为标幺值后输入模型中进行分类识别,部分采样得到的PQDs波形如图9所示,实际测试结果见表5。

width=243.1,height=344.45

图9 部分实测PQDs信号波形

Fig.9 Partial actual measured PQDs signal waveforms

表5 实际硬件平台测试结果

Tab.5 Testing results of the actual hardware platform

扰动类型准确度(%) CNN-LSTMDCNNLGAN本文方法 C391.6795.33100.00100.00 C491.6793.33100.00100.00 C690.0095.0098.33100.00 C793.3396.67100.00100.00 C2+C586.6793.3396.6795.00 C2+C688.3393.3396.6795.00 C3+C686.6791.6798.3395.00 C1+C2+C586.6793.3396.6798.33 C1+C2+C685.0090.0095.00100.00 C2+C4+C785.0091.6796.6798.33 C3+C4+C586.6788.3393.3396.67 C1+C2+C4+C581.6783.3386.67100.00 C1+C2+C4+C683.3386.6791.67100.00 C1+C2+C4+C783.3386.6791.67100.00 平均准确度87.1491.3395.8398.45

如表5所示,本文提出的CKML模型在实际硬件平台下表现出优异的识别性能。在处理单一扰动时,CKML模型的识别准确率均为100.00%;在检测复杂的三重扰动时,CKML模型的识别准确率不低于96.67%;在识别最为复杂的四重扰动时,识别准确度均为100.00%,均显著优于其他模型。尽管在处理双重扰动时,CKML模型的识别准确率略低于LGAN,且相较于三重扰动下略有下降,但整体仍维持在较高水平。值得注意的是,双重和三重扰动的识别准确率反而低于四重扰动,这是由于双重和三重扰动类别数量较多,而四重扰动由于不同扰动之间存在互斥性,扰动类别数较少,CKML模型中的条件网络与知识注入模块在此类样本上提供了更为有效的约束机制,从而显著提升了识别准确性。此外,本文所提模型在处理每个监测样本组的平均推理时间仅为0.42 s,充分体现了其具备良好的实时性与应用前景。

3 结论

为解决PQDs识别模型在轻量化与准确度之间难以兼顾的问题,本文提出了一种基于条件网络和知识注入的多标签学习PQDs识别与分类方法。所提算法在主网络中构建的1D-MFCN特征提取模块能够在提取PQDs信号深层特征时显著减少计算量,从而提高模型效率,满足轻量化需求;提出的SimLSTM模块能够有效捕捉PQDs信号的时序特性,自动赋予关键特征更高权重,使模型在处理时序信号时具有更高的识别准确率。此外,算法引入条件网络对PQDs中的扰动数量进行分类,并通过知识注入模块进一步优化复杂扰动类型的识别,有效地降低了主网络对复杂扰动识别的难度,增强了模型的分类精度。仿真实验和实际测试结果验证了本文所提算法的准确性和有效性。本文算法不仅能够实现电能质量扰动信号的快速、准确识别和分类,还能为电力设备故障诊断、能源管理系统等其他相关研究领域提供有效的借鉴。

参考文献

[1] 李勇, 常樊睿, 彭衍建, 等. 分散式新能源并网稳定性问题分析与控制方法[J]. 高电压技术. 2025, 51(4): 1543-1559.

Li Yong, Chang Fanrui, Peng Yanjian, et al. analysis and control methods of stability problems for decentra- lized renewable generations integrated into grid[J]. High Voltage Engineering, 2025, 51(4): 1543-1559.

[2] Li Jianmin, Hong Dian, Lin Haijun, et al. A generic flicker measurement method based on feature sequence reconstruction[J]. IEEE Transactions on Instrumen- tation and Measurement, 2023, 72: 9003709.

[3] 刘伟, 王凯. 基于通道选择多尺度融合深度残差网络的电能质量扰动识别[J]. 电气技术, 2023, 24(5): 11-15.

Liu Wei, Wang Kai. Power quality disturbance identification of multi-scale fusion depth residual network based on channel selection[J]. Electrical Engineering, 2023, 24(5): 11-15.

[4] 吴建章, 梅飞, 郑建勇, 等. 基于改进经验小波变换和XGBoost的电能质量复合扰动分类[J]. 电工技术学报, 2022, 37(1): 232-243, 253.

Wu Jianzhang, Mei Fei, Zheng Jianyong, et al. Recognition of multiple power quality disturbances based on modified empirical wavelet transform and XGBoost[J]. Transactions of China Electrotechnical Society, 2022, 37(1): 232-243, 253.

[5] 张逸, 李渴, 邵振国, 等. 基于数据关联性分析的工业用户电能质量特征识别[J]. 电工技术学报. 2023, 38(13): 3512-3526.

Zhang Yi, Li Ke, Shao Zhenguo, et al. power quality characteristics identification of industrial users based on data correlation analysis[J]. Transactions of China Electrotechnical Society, 2023, 38(13): 3512-3526.

[6] 朱琴跃, 于逸尘, 占岩文, 等. 基于短时傅里叶变换和深度网络的模块化多电平换流器子模块IGBT开路故障诊断[J]. 电工技术学报, 2024, 39(12): 3840-3854.

Zhu Qinyue, Yu Yichen, Zhan Yanwen, et al. IGBT open-circuit fault diagnosis of modular multilevel converter sub-module based on short-time Fourier transform and deep networks[J]. Transactions of China Electrotechnical Society, 2024, 39(12): 3840- 3854.

[7] 肖贤贵, 李开成, 贺才郡, 等. 基于稀疏分解和复合熵编码的电能质量扰动数据高效压缩算法[J]. 电工技术学报, 2023, 38(23): 6318-6331.

Xiao Xiangui, Li Kaicheng, He Caijun, et al. A highly efficient compression algorithm for power quality disturbance data using sparse decomposition and hybrid entropy encoding[J]. Transactions of China Electrotechnical Society, 2023, 38(23): 6318-6331.

[8] 刘云鹏, 来庭煜, 刘嘉硕, 等. 特高压直流换流阀饱和电抗器振动声纹特性与松动程度声纹检测方法[J]. 电工技术学报, 2023, 38(5): 1375-1389.

Liu Yunpeng, Lai Tingyu, Liu Jiashuo, et al. vibration voiceprint characteristics and looseness detection method of UHVDC converter valve saturable reactor [J]. Transactions of China Electrotechnical Society. 2023, 38(5): 1375-1389.

[9] 姜涛, 刘博涵, 李雪, 等. 基于自适应投影多元经验模态分解的电力系统强迫振荡源定位[J]. 电工技术学报, 2023, 38(13): 3527-3538.

Jiang Tao, Liu Bohan, Li Xue, et al. Forced oscillation location in power systems using adaptive projection intrinsically transformed multiple empirical mode decomposition[J]. Transactions of China Electrotechnical Society, 2023, 38(13): 3527-3538.

[10] 王玉梅, 郑义. 基于参数优化的VMD与TEO融合的微电网电能质量检测方法[J]. 电气工程学报, 2023, 18(2): 164-173.

Wang Yumei, Zheng Yi. microgrid power quality detection method based on parameter optimization fusion of VMD and TEO[J]. Journal of Electrical Engineering, 2023, 18(2): 164-173.

[11] 陈诺, 吕干云, 叶加星. 基于SVM级联决策树的复合电能质量扰动识别[J]. 电气工程学报, 2023, 18(2): 149-156.

Chen Nuo, Lü Ganyun, Ye Jiaxing. Recognition of complex PQ disturbances based on SVM cascaded decision tree[J]. Journal of Electrical Engineering, 2023, 18(2): 149-156.

[12] Motlagh S Z T, Akbari Foroud A. Power quality disturbances recognition using adaptive chirp mode pursuit and grasshopper optimized support vector machines[J]. Measurement, 2021, 168: 108461.

[13] 许广林, 陈文涛, 刘涛, 等. 基于AO-ST-ANN的电能质量扰动分类方法[J]. 电气技术与经济, 2024(08): 70-75.

Xu Guanglin, Chen Wentao, Liu Tao, et al. Power quality disturbance classification method based on AO-ST-ANN[J]. Electrical equipment and economy. 2024(08): 70-75.

[14] Upendra Vishwanath Y S, Esakkirajan S, Keerthiveena B, et al. A generalized classification framework for power quality disturbances based on synchrosqueezed wavelet transform and convolutional neural networks[J]. IEEE Transactions on Instrumentation and Measurement, 2023, 72: 2525313.

[15] 罗溢, 李开成, 肖贤贵, 等. 基于马尔可夫转移场和深度残差网络的电能质量复合扰动多标签分类[J]. 中国电机工程学报, 2024, 44(7): 2519-2531.

Luo Yi, Li Kaicheng, Xiao Xiangui, et al. Multi-label classification of power quality composite disturbances based on Markov transfer field and ResNet[J]. Proceedings of the CSEE, 2024, 44(7): 2519-2531.

[16] Ekici S, Ucar F, Dandil B, et al. Power quality event classification using optimized Bayesian convolutional neural networks[J]. Electrical Engineering, 2021, 103(1): 67-77.

[17] Gu Dexi, Gao Yunpeng, Li Yunfeng, et al. A novel label-guided attention method for multilabel classification of multiple power quality disturbances [J]. IEEE Transactions on Industrial Informatics, 2022, 18(7): 4698-4706.

[18] 付宽, 王洪新, 刘杰, 等. 基于马尔可夫变迁场和EfficientNet的复合电能质量扰动识别[J]. 电网与清洁能源, 2024, 40(4): 74-83.

Fu Kuan, Wang Hongxin, Liu Jie, et al. Recognition of composite power quality disturbances based on MTF EfficientNet convolutional neural network[J]. Power System and Clean Energy, 2024, 40(4): 74-83.

[19] Ma Jun, Liu Jie, Qiu Wei, et al. An intelligent classification framework for complex PQDs using optimized KS-transform and multiple fusion CNN[J]. IEEE Transactions on Industrial Informatics, 2024, 20(2): 1776-1785.

[20] 兰名扬, 刘宇龙, 金涛, 等. 基于可视化轨迹圆和ResNet18的复合电能质量扰动类型识别[J]. 中国电机工程学报, 2022, 42(17): 6274-6285.

Lan Mingyang, Liu Yulong, Jin Tao, et al. an improved recognition method based on visual trajectory circle and ResNetn18 for complex power quality disturbances[J]. Proceedings of the CSEE. 2022, 42(17): 6274-6285.

[21] Qiu Wei, Tang Qiu, Liu Jie, et al. An automatic identification framework for complex power quality disturbances based on multifusion convolutional neural network[J]. IEEE Transactions on Industrial Informat-ics, 2020, 16(5): 3233-3241.

[22] 龚正, 邹阳, 金涛, 等. 基于特征融合并行优化模型的电能质量扰动分类方法[J]. 中国电机工程学报, 2023, 43(3): 1017-1026.

Gong Zheng, Zou Yang, Jin Tao, et al. classification method of power quality disturbances based on optimized parallel model of features merging[J]. Proceedings of the CSEE, 2023, 43(3): 1017-1026.

[23] IEEE Power & Energy Society. IEEE Std 1159TM- 2019 IEEE recommended practice for monitoring electric power quality: IEEE Std 1159TM-2019[S]. Washington, USA: IEEE, 2019.

[24] Mohan N, Soman K P, Vinayakumar R. Deep power: Deep learning architectures for power quality disturbances classification[C]//2017 International Conference on Technological Advancements in Power and Energy ( TAP Energy), Kollam, India, 2017: 1-6.

[25] Wang Shouxiang, Chen Haiwen. A novel deep learning method for the classification of power quality disturbances using deep convolutional neural network[J]. Applied Energy, 2019, 235: 1126-1140.

[26] 金涛, 陈煌滨, 郑熙东, 等. 基于差分编码嵌入的两阶段多通道电能质量扰动分类与时间定位网络[J/OL]. 中国电机工程学报, 2025:1-16[2025-06-20]. http://kns.cnki. net/ kcms/detail/11.2107.tm.20250325. 1106.002.html.

Jin Tao, Chen Huangbin, Zheng Xidong, et al. A two-stage multi-channel power quality disturbance classification and time localizationnetwork based on differential encoding and embedding [J]. Proceedings of the CSEE, 2025: 1-16[2025-06-20]. http://kns.cnki. net/kcms/detail/11.2107.tm.20250325.1106.002.html.

[27] Wang Qingle, Jin Yu, Li Xinhao, et al. An advanced quantum support vector machine for power quality disturbance detection and identification[J]. EPJ Quantum Technology, 2024, 11(1): 70.

[28] Ray P K, Mohanty S R, Kishor N, et al. Optimal feature and decision tree based classification of power quality disturbances in distributed generation systems [C]//2014 IEEE PES General Meeting | Conference & Exposition, National Harbor, MD, USA, 2014: 1.

[29] Cui Chenhui, Duan Yujie, Hu Hongli, et al. Detection and classification of multiple power quality disturbances using stockwell transform and deep learning[J]. IEEE Transactions on Instrumentation and Measurement, 2022, 71: 2519912.

[30] 贺才郡, 李开成, 杨王旺, 等. 基于双通道GAF和深度残差网络的电能质量复合扰动识别[J]. 电网技术, 2023, 47(1): 369-376.

He Caijun, Li Kaicheng, Yang Wangwang, et al. Power quality compound disturbance identification based on dual channel GAF and depth residual network [J]. Power System Technology, 2023, 47(1): 369-376.

A Multi-Label Learning Method Based on Conditional Networks and Knowledge Injection for Power Quality Disturbance Identification and Classification

Huang Jie1 Li Jianmin1,2 Zhu Bingfan1 Zhang Chicheng1 Liang Chengbin3

(1. College of Engineering and Design Hunan Normal University Changsha 410081 China 2. College of Electrical and Information Engineering Hunan University Changsha 410082 China 3. College of Electrical Engineering Guizhou University Guiyang 550025 China)

Abstract The large-scale integration of renewable energy into the new power system has brought numerous power quality disturbances (PQDs), which severely affect the safe and stable operation of the power grid. Accurate identification of PQD types is crucial for ensuring the stable operation of electrical equipment and achieving high-quality power supply. To address the common issues of low recognition accuracy, large model parameters, and high computational complexity in existing PQDs recognition and classification methods, this paper proposes a multi-label learning method for PQDs identification and classification based on conditional networks and knowledge injection.

Firstly, this method integrates a one-dimensional convolutional neural network (1D-CNN) with a one-dimensional group convolutional neural network (1D-GCCN) to construct a one-dimensional multi-fusion convolutional network (1D-MFCN), which effectively extracts key features from PQDs signals while reducing the computational complexity of the model. Subsequently, to further capture the temporal characteristics of PQDs, a long short-term memory (LSTM) network optimized by a simple, parameter-free attention mechanism (SimLSTM) is proposed. Compared with traditional LSTM, the SimLSTM is capable of automatically identifying salient features and assigning appropriate weights, thereby enhancing the precision of temporal feature extraction. In addition, a conditional network is designed to predict the number of PQDs occurring simultaneously, and a knowledge injection module is constructed by leveraging the mutually exclusive nature of swell, sag, and interruption disturbances. By incorporating the conditional network and knowledge injection mechanism, the proposed method alleviates the burden on the main network in distinguishing complex disturbance types and improves the overall classification accuracy. Finally, the outputs from the conditional network and the main network are fused through a label threshold function to produce the final disturbance recognition and classification results.

Simulation results demonstrate that, under the presence of random white noise, the proposed method achieves an accuracy of 99.47% with only 0.093 M parameters, enabling high-precision and lightweight recognition of complex disturbances. Furthermore, when tested on 14 types of PQDs collected from an actual hardware platform, the proposed model attains an average recognition accuracy of 98.45%, with a perfect 100% accuracy on four-type disturbances, further validating the reliability and effectiveness of the proposed approach.

keywords:Power quality disturbances, conditional network, knowledge injection, multi-label learning, long short-term memory (LSTM)

中图分类号:TM761

DOI: 10.19595/j.cnki.1000-6753.tces.242088

国家自然科学基金重点项目(51907062)、湖南省自然科学基金(2021JJ40354)和贵州省科技支撑计划[2024]资助。

收稿日期 2024-11-19

改稿日期 2025-04-02

作者简介

黄 杰 男,2001年生,硕士研究生,研究方向为电能质量分析与检测、电气参数检测。E-mail: huangjie@hunnu.edu.cn

李建闽 男,1985年生,博士,副教授,研究方向为电能质量分析与检测、智能信息处理研究。E-mail: ljmdzyx@163.com(通信作者)

(编辑 郭丽军)