考虑三相负荷时空特性和配变动态安全负载域的配电变压器周前分相重过载预警

何华锦 任洲洋 冯健冰 张海峰

(输变电装备技术全国重点实验室(重庆大学) 重庆 400044)

摘要 新型源、荷规模化的接入导致配电网三相不平衡工况高发,分相重过载问题极为突出。现有配电变压器重过载预警方法无法充分揭示三相负荷时空特性,未满足轻载及重过载工况下的精度需求,忽视三相不平衡工况对配变载荷能力的影响,易导致虚警、漏警。该文提出考虑三相负荷时空特性和配变动态安全负载域的配变周前分相重过载预警方法。首先,探索配变三相负荷时空特性,建立基于特征组合动态选取技术与空间表征技术的特征强化表达方法;其次,提出基于SwinLSTM-D建立配变周前分相负荷预测模型,充分挖掘配变三相负荷时空特性,并且,面向预警任务在轻载及重过载工况下的高精度预测需求,构造双重加权混合损失(DWH)函数,优化模型注意力分配模式;然后,提出并刻画考虑配变热点温升约束的配变动态安全负载域,准确评估配变极限载荷能力;最后,提出基于配变动态安全负载域的配变周前分相重过载预警策略。利用中国南部某供电局配变实测数据进行算例验证,结果表明所提预测方法具有显著的精度优势,能高效满足配变周前分相重过载预警的实际生产需求。

关键词:三相不平衡工况 三相负荷时空特性 分相负荷预测 配变动态安全负载域 重过载预警

0 引言

随着新型源、荷的大量接入,配电变压器(下简称“配变”)三相负荷时空特性深刻改变,三相不平衡工况高发,导致配变单相、两相、三相重过载问题混杂出现,危及电网安全[1]。准确地预警配变周前分相重过载事件,可为治理策略的制定和执行预留充足的时间,对于消除事故隐患、增强电网安全性意义非凡[2-3]

现有变压器重过载预警方法分为以分类模型为代表的传统预警方法[4-5]和以深度学习为代表的新型预警方法[6]。传统预警方法仅依据温度、日期、供电类别等外部因素发布预警结果,精度较低,无法指导生产。新型预警方法全面考虑多种内部、外部因素,具备较高的预警精度,主要由负荷预测与变压器载荷能力评估两部分组成。本文重点关注相关因素对配变周前负荷预测与配变载荷能力评估的影响。实现精准配变周前分相重过载预警技术的瓶颈如下:配变负荷作为非平稳时间序列数据,呈现明显的多周期性及时变性特征[7-8];并且,由于配变各相供电区域毗邻,用户在相似的气象、人文条件下用电习惯接近,导致各相负荷间存在复杂的相关性[9];此外,配变在轻载(负载率≤30%)及重过载(负载率≥80%)工况下更易受三相不平衡度的影响,导致异常温升[10],为可靠支撑预警,预测方法需在轻载、重过载工况下具备优秀的性能表现。上述因素共同给配变周前负荷预测带来挑战。

随着新一代人工智能技术的兴起,数据驱动的人工智能方法成为负荷预测的主流研究范式[11-14]。面对上述挑战,文献[15]将负荷的时序性和日、周等周期性先验知识引入预测模型结构和处理单元的设计中,可较好地挖掘负荷序列的多周期性特征。文献[16]提出基于图像修补方法捕捉复杂的负荷模式和时间序列中的周期性特征,可提升周前负荷预测精度。然而,现有方法虽已在捕捉负荷时变特征上做出努力,但多针对总体负荷预测,鲜有计及各相负荷间存在的复杂相关性,难以充分挖掘配变三相负荷动态运行规律,无法支撑周前分相负荷预测。同时,现有模型仅注重在测试集上的平均精度[17],但配变轻载及重过载工况样本占测试集比重较少,在训练过程中不能获得足够重视,导致训练结果无法保证模型在轻载及重过载工况下的精度表现。

在配变载荷能力评估方面,国标规定热点温度是制约配变载荷能力的主要因素[18]。并且,受环境温度、运行工况等多因素影响,配变载荷能力呈现动态变化特征[6]。基于此,现有评估模型多关注三相平衡工况,关注环境温度、设备老化等因素,忽视三相不平衡工况对配变载荷能力的影响[19-20]。然而,随着三相不平衡工况的加剧,配变各相损耗非均匀增长,引发各相热点温度的显著差异,将导致现有模型失效[1]。同时,现行重过载预警方法仅依据负荷占额定容量的比例进行预警,忽视配变载荷能力与额定容量的差异,易导致虚警、漏警的问题。

上述技术缺陷导致现有新型配变重过载预警方法基本失效。为此,本文提出考虑三相负荷时空特性和配变动态安全负载域的配变周前分相重过载预警方法,通过实施配变周前高精度分相负荷预测,支撑准确的配变分相重过载预警。采用中国南部某供电局配变实测数据进行算例验证,表明本文方法具有显著的预测精度优势,可进行精准的配变周前分相重过载预警,具体贡献如下:

1)提出计及负荷季节性差异化相关性的特征组合动态选取技术,动态量化三相及总体负荷间相关性,遴选关键特征。基于此,建立相间负荷相关性与负荷多周期性特征的空间表征技术,以多通道特征图的模式增强关键特征表达,最终在优化模型训练效率的同时有效提升预测精度。

2)构建基于SwinLSTM-D的配变周前分相负荷预测模型。首先,基于SwinLSTM-D充分捕捉空间表征的配变三相负荷时空特性;然后,设计双重加权混合(Dual Weighted Hybrid, DWH)损失函数,引入非线性敏感特性,提高模型在轻载及重过载工况样本中的注意力分配,指导模型训练,保障预测模型在轻载及重过载工况下的精度表现。

3)提出基于配变动态安全负载域的配变分相重过载预警方法。首先提出并刻画配变动态安全负载域,全面探索计及各工况的配变可能负载点,充分考虑三相不平衡工况对配变载荷能力的影响,界定在安全运行时限内满足热点温升约束的极限载荷空间;然后,基于此制定配变分相重过载预警策略,以当前负载点与给定边界的空间相对位置为依据,精准预警配变周前分相重过载状态。

1 配变三相负荷时空特性

随着新型源、荷大量接入,配变三相负荷时空特性发生深刻改变,给配变周前分相负荷预测带来极大挑战。因此,亟须深入探索配变三相负荷的动态运行规律,归纳时空特性,助力构建针对性特征工程,最终支撑预测模型高效学习。

首先,配变台区中单相、三相供电方式混用使得配变三相负荷间存在相关性,而各相供电区域毗邻,用户在相似的气象、人文条件下用电习惯接近,导致相关性得以加强,并体现负荷的空间性规律[9]。同时,各种新型源、荷波动规律的季节性更迭将引起相关程度的季节性变化,反映负荷的时间性特征。因此,配变三相及总体负荷间的季节性差异化相关性成为负荷时空特性的集中表现。图1以中国南部某供电局配变实测数据为例,通过热力图呈现各季节三相及总体负荷间的最大信息系数(Maximal Information Coefficient, MIC)。MIC是一种广泛用于评估变量间非线性相关性的指标,可高效地捕捉并量化配变三相及总体负荷间的相关性。图1中,三相及总体负荷间的MIC随季节变化波动幅度最高可达0.31,且春、夏季显著低于秋、冬季,这表明受温度、光照等因素影响,台区春、夏季存在较多随机、短时负荷,削弱了配变三相及总体负荷间的相关性。

width=227.7,height=216.45

图1 各季节三相及总体负荷间的最大信息系数

Fig.1 The MIC between the three-phase and overall loads in each season

其次,负荷序列呈现复杂的多周期性特征,涵盖短周期(如日内波动)、中周期(如日间重复模式)及长周期(如周循环等),各周期维度间相互交织,共同影响当前负荷水平[15]

最后,配变总体负荷作为三相负荷的叠加,由于三相负荷波动存在相位、幅值差异,叠加效应将模糊三相负荷的差异化波动特征,导致总体负荷中部分波动被抵消或增强。

综上所述,充分捕捉配变三相及总体负荷的季节性差异化相关性及负荷序列的多周期性特征,是提升预测精度的重要前提。同时,三相负荷与总体负荷间的叠加效应模糊了三相负荷的差异化波动特征,导致无法基于总体负荷预测准确地推断三相负荷。

2 考虑时空特性的配变周前分相负荷预测方法

2.1 技术框架

为高效地提取配变三相负荷时空特性,实现配变周前分相负荷的精准预测,首先,构建特征组合动态选取技术,精准量化三相负荷季节性差异化相关性,剔除冗余特征,提升训练效率;其次,提出空间表征技术,通过将各相负荷间的相关性及负荷序列的多周期性特征转换为空间特征以增强其表达,支撑模型全面捕捉配变三相负荷的时空特性;然后,基于SwinLSTM-D充分捕捉空间表征后的配变三相负荷的时空特性,并设计DWH损失函数,引入非线性敏感特性,提高模型在轻载及重过载工况样本中的注意力分配,保障预测模型在轻载及重过载工况下的精度表现;最后,实现配变周前高精度分相负荷预测。预测方法整体技术框架如图2所示。

2.2 计及负荷季节性差异化相关性的特征组合动态选取技术

配变三相及总体负荷间存在的季节性差异化相关性导致历史数据中蕴含大量时变特征。为剔除冗余特征以优化模型训练效率,本文构建计及三相及总体负荷季节性差异化相关性的特征组合动态选取技术,选择关键特征,动态调整模型输入。需注意,总体负荷作为三相负荷变化趋势的集中体现,被纳入特征组合的待选范围,依据相关程度的量化结果判定是否作为输入特征,但已明确不作为预测目标。

为准确地评估配变三相及总体负荷间的季节性差异化相关性,基于MIC建立配变三相及总体负荷间相关程度量化方法,具体如下[22]

width=187.05,height=214.1

图2 考虑时空特性面向预警任务需求的周前分相负荷预测方法

Fig.2 A weekly phased load forecasting method considering spatiotemporal characteristics for early warning task requirements

针对配变X相负荷Xload={x1, x2,…, xn}和Y相负荷Yload={y1, y2, …, yn}组成的数据集D={(xi, yi), i=1, 2, …, n},n为序列长度,其互信息数计算模型表达为

width=196,height=30.4 (1)

式中,IMI(Xload; Yload)为X相与Y相间的互信息系数;p(x, y)为X相与Y相的联合概率密度函数;p(x)和p(y)分别为X相与Y相的边缘概率密度函数。

首先,将D离散在二维平面并分割为a×b个网格,记为G,记D中点落入G的概率分布为D|G,并记IMI(D|G, a, b)为该情形下X相与Y相的互信息估计值。其次,选取不同ab多次计算,得到不同网格划分下的互信息最大值I* MI(D|G, a, b),有

width=139.4,height=19.15 (2)

最终得到最大信息系数为

width=156,height=31.65 (3)

式中,B(n)为决定网格最大数量的约束函数,一般取B(n)=n0.6

基于式(1)~式(3)可分别量化三相及总体负荷间的相关程度,MIC值范围为[0, 1]。两相间的MIC值越大,代表相关程度越高;反之MIC值越小,则两相相关程度越低。

鉴于三相及总体负荷间相关性存在季节性差异,本文对各季节分别量化负荷间相关程度。对每相负荷,仅选择其历史数据及MIC值超阈值的其他相历史数据作为输入特征,剔除冗余,优化模型训练效率。阈值为超参数,当阈值较高时可加速模型的训练过程,但相应地,也会增加关键特征的丢失风险。

2.3 相间负荷相关性与负荷多周期性特征的空间表征技术

基于特征组合选取结果,为增强配变三相负荷的时空特性表达,提升预测精度,提出相间负荷相关性与负荷多周期性特征的空间表征技术。

首先,针对特征组合中的每一相,各自将单相时序负荷序列编码为单通道二维特征图,使得预测网络对负荷信息的处理方式由线升至面。此时,预测网络无需对负荷序列进行多次爬取,在单个时间步内即可完整捕捉以空间特征表达的负荷序列的多周期性特征。相同信息量下一维时序数据与二维图像数据的对比如图3所示。

width=212.85,height=68.95

图3 相同信息量下一维时序数据与二维图像数据的对比

Fig.3 A comparison between one-dimensional time series data and two-dimensional image data with the same amount of information

其次,将特征组合中各相负荷数据独立构建为相邻通道。随着网络的深化,通道之间将发生特征的交互融合,形成丰富的空间关联模式。基于此,模型可高效地捕捉各相负荷间的相关性。

最后,特征组合负荷数据被编码为多通道特征图,每相负荷独立构建为相邻通道。此时,相间负荷相关性体现为相邻通道对应区域的空间依赖关系,各通道包含以空间特征表达的各相负荷多周期性特征,成功简化配变三相负荷时空特性的表达形式,并增强特征表达的有效性,最终支撑配变周前分相负荷预测模型的高效学习。

以三相负荷MIC值均大于阈值的场景为例,此时特征组合包括A、B、C三相及总体历史负荷数据,输出目标为A相、B相和C相的周前预测负荷。每帧特征图以三维张量形式编码,共四个通道。配变负荷4通道特征如图4所示。

width=219.05,height=104

图4 配变负荷4通道特征

Fig.4 Four-channel feature map of distribution transformer load

每通道图像包含N2个像素点。像素点K(i,j,W)对应给定周期内时序排列的Nload个负荷采样点,根据给定周期和时间颗粒度不同,Nload可取168(1周内时间颗粒度1 h)、1 344(2周内时间颗粒度15 min)等,W为通道,分别代表A、B、C三相及总体负荷D,K为负载率,计算公式为

width=127,height=29.95 (4)

式中,IWW相电流;IN为额定电流。

像素点sign为标志位,总数为Nsign。sign=1表明该通道所代表的相为预测目标;sign=0则表明该通道所代表的相为参考特征,不作为预测目标。Nwidth=22.05,height=15width=20.8,height=15.8的计算关系表达为

width=107,height=41.2 (5)

通过相间负荷相关性与负荷多周期性特征的空间表征技术,配变周前分相负荷预测任务可转换为针对多通道特征图的时空预测任务。同时,对模型的空间特征挖掘能力和时序特征提取能力提出要求。

2.4 基于SwinLSTM-D的配变周前分相负荷预测模型

2.4.1 基于SwinLSTM的配变三相负荷时空预测模型

SwinLSTM-D作为基于SwinLSTM架构的深层模型,融合了Swin Transformer模块与精简的LSTM单元[23],同时具备良好的时序预测能力与空间特征挖掘能力,网络结构如图5所示。

首先输入张量Xt在时间步t时被分割成大小为P×P的不重叠补丁,每个补丁的特征维度为NW×P2NW表示特征通道数;其次将补丁展平并输入到补丁嵌入层,此时原始特征线性映射至任意维度并输入SwinLSTM细胞层。在细胞层中,SwinLSTM的细胞结构如图6所示。

width=213.65,height=311.85

图5 SwinLSTM-D模型网络结构

Fig.5 SwinLSTM-D model network architecture

width=195.5,height=114.7

图6 SwinLSTM细胞结构

Fig.6 SwinLSTM cell structure

SwinLSTM细胞中,细胞状态和隐藏状态持续更新,以捕获长期和短期的时间依赖关系,有

width=176.8,height=61.2 (6)

式中,xt为处理后的张量补丁;Ht-1为上一时间步的隐藏状态;LP表示线性投影;Ft为滤波门的输出;width=7.1,height=9.15为Hadamard积;Ct-1为上一时间步的细胞状态;tanh为激活函数;HtCt分别为当前步的隐藏状态和细胞状态;STB为细胞结构的核心,表示Swin Transformer模块,其结构如图7所示。

width=159.7,height=206.65

图7 Swin Transformer模块结构

Fig.7 Swin Transformer module structure

Swin Transformer模块的运行机制为

width=135.7,height=84.5 (7)

式中,width=13.3,height=14.15width=19.15,height=14.15分别为第l层和第l+1层的中间输出特征;ZlZl+1分别为第l层和第l+1层的输出特征;LN表示层归一化操作;W-MSA为基于窗口的多头自注意力机制;SW-MSA为基于移位窗口的多头自注意力机制;MLP为多层感知机。

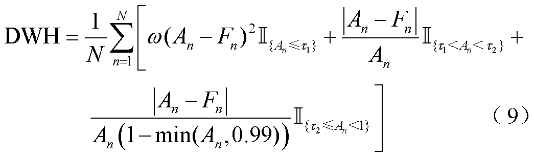
2.4.2 面向预警任务需求的DWH损失函数

为满足预警任务对预测模型在轻载和重过载工况下的性能需求,本文提出面向预警任务需求的双重加权混合损失函数,精准引导模型进化,保障模型性能表现,最终有效地支撑预警。

平均绝对百分比误差(Mean Absolute Percentage Error, MAPE)已成为时间序列预测领域中应用最广泛的评价指标,计算式为

width=127.35,height=32.9(8)

式中,N为样本总数;An为实际值;Fn为与An对应的预测值。

在评估预测模型时,MAPE展现出较强的非线性敏感特性,即当负载较轻逼近零点时,微小的绝对误差将导致极高的百分比误差计算结果,而随着负载值逐渐增大,MAPE的敏感度显著降低。本文考虑引入MAPE的非线性敏感特性构建DWH损失函数的主体部分,正确指导模型训练方向,具体如下。

1)重过载工况强化:针对重过载工况下的高负载值,通过构建自适应权重项为函数引入非线性敏感特性,使其在重过载工况的不准确预测时生成显著损失,且重过载程度越高,潜在损失风险越大,迫使模型重视重过载工况下的预测准确性。

2)中间值稳健性:对正常范围内的实际负载值采用原始MAPE计算方式,通过适度损失保障模型在常见场景下的稳定表现,并避免注意力分散。

此外,针对轻载工况,本文构建加权均方误差项,基于其误差二次方的特性,仅对轻载工况下的较大偏差给予显著惩罚,以合理吸引模型注意力,优化模型对轻载工况的关注。最终,可得DWH损失函数计算公式为

width=228,height=67

式中,ω为权重,决定模型对轻载工况的关注程度;τ1τ2为函数分段阈值,定义轻载和重过载工况的负载范围。ωτ1τ2均为超参数。

综上所述,本文提出基于分段加权策略的DWH损失函数,引入非线性敏感特性,确保模型在重过载工况下面临显著的损失风险,并关注轻载工况的较大预测偏差,强制聚焦模型注意力,指导进化方向,保障预测模型在轻载和重过载工况下的性能表现。

3 基于配变动态安全负载域的配变分相重过载预警方法

基于配变周前分相负荷预测结果,为实现精准的配变周前分相重过载预警,首先,采用计及三相不平衡工况的配变热点温度计算模型,求解未来一周的热点温度和顶层油温;其次,提出并刻画配变动态安全负载域,全面探索计及各工况的配变可能负载点,充分考虑三相不平衡工况对配变载荷能力的影响,界定在安全运行时限内满足热点温升约束的极限载荷空间;最后,制定配变分相重过载预警策略,以当前负载点与给定边界的空间相对位置为依据,精准预警配变周前分相重过载状态。

3.1 计及三相不平衡工况的配变热点温度计算模型

基于热电类比理论构建的三相不平衡工况下的配变热路模型如式(10)所示,是一种准确且高效的配变热点温度求解方案[1]

width=173.95,height=186.4 (10)

式中,θamb为环境温度;Roil为变压器油与外部环境之间的传热热阻;RaRbRc为三相绕组与变压器油的传热热阻;width=15,height=15为铁心与变压器油的传热热阻;CoilCaCbCcCfe分别为变压器油、三相绕组和铁心的比热容;qfe为铁心损耗;θhs,aθhs,bθhs,cθfeθto分别为A、B、C三相绕组以及铁心的热点温度和顶层油温;qcu,aqcu,bqcu,c分别为三相绕组的负载损耗,由负载率决定,计算式为

width=127,height=17.05 (11)

式中,Kii相负载率;Rii相高压绕组电阻值归算至低压侧与低压绕组电阻之和。

基于式(10)、式(11)可精准捕捉给定外部条件下计及三相不平衡工况的配变A、B、C三相绕组以及铁心的热点温度和顶层油温。

3.2 考虑配变热点温升约束的配变动态安全负载域

本文将配变动态安全负载域定义为:计及三相不平衡工况,在任意给定时刻下,保证配电变压器在规定安全运行时限内满足热点温升约束的极限载荷空间。鉴于不同给定时刻下配变内部不同的起始温度分布将导致不同的热点温升,因此配变安全负载域是动态的,需根据不同给定时刻下配变内部温度分布分别进行刻画。刻画方法如图8所示。

1)配变样本获取。针对目标配电变压器,全面采集热点温度,计算模型所需的关键热、电参数,并针对目标预警周,获取周前分相负荷预测结果。

width=228.4,height=288.35

图8 配变动态安全域的刻画方法

Fig.8 The method for characterizing the dynamic safety region of distribution transformers

2)热路模型构建。基于热电类比理论建立配变的热路模型(详见3.1节)。

3)温度曲线计算。基于配变周前的分相负荷预测结果,通过动态调整起始温度连续求解热路模型,精确计算三相绕组及铁心的热点温度和顶层油温的周前温度变化曲线。

4)设定运行限制。遵循配变设计规范及安全标准,规定热点温升约束与安全运行时限。

5)动态域构建。针对周前温度预测曲线的每个时刻,逐一模拟不同负载场景下配变在安全运行时限内的温度变化,界定满足热点温升约束的配变极限载荷空间,最终完成配变动态安全负载域的刻画。

3.3 基于配变动态安全负载域的配变分相重过载预警策略

基于配变动态安全负载域的刻画结果,本文提出配变分相重过载预警策略。

1)鉴于配变动态安全负载域内所有负载点在安全运行时限内均满足热点温升约束,因此,设置域边界为过载预警边界,当负载点接近此边界时,代表配变即将进入过载工况。

2)设置过载预警边界的80%为重载预警边界,当负载点达到此边界时,表明配变已进入重载工况。

3)针对配变周前分相负荷预测结果中的每个时刻,将预测负载点投入域空间,通过评估负载点与重载预警边界、过载预警边界的空间相对位置,即可最终确定该时刻下配变分相重过载预警结果。

4 算例分析

4.1 算例设置

为展现本文所提方法的性能,采用中国南部某供电局自2022年12月1日—2023年11月30日的配变实测数据进行算例验证,负荷数据采样频率为1 h。本文实验配置为CPU Intel(R) Core(TM) i9-14900KF 3.20 GHz 24核,GPU NVIDIA GeForce RTX 4070;实验软件选用PyTorch动态张量流框架。

为全面评估预测模型准确性,同时采用MAPE与方均根误差(Root Mean Square Error, RMSE)作为评价指标。RMSE计算式为

width=112,height=32.05 (12)

4.2 周前分相负荷预测的对比实验

4.2.1 实验过程

首先,将配变的历史负荷数据按季节划分,每个季节包含约90天的数据,均设置最后7天作为测试集,剩余数据中最后7天作为验证集,其余作为训练集。在训练过程中,经多次验证可知当阈值设为0.7左右时,模型将取得较高的训练效率与预测精度。对训练集进行特征组合动态选取,典型结果下特征组合选取方案见表1。

基于表1方案,通过空间表征技术,将每天及其前6天的特征组合数据整合为单帧特征图。此时,模型向前连续预测7帧,即可获取配变未来一周的分相负荷预测结果。需注意,为缓解误差累积,应在前向传播过程中逐一计算每帧的预测损失,并优化综合损失。为验证所提预测方法的性能,本文共设置六种方法作为对比。

表1 典型结果下特征组合选取方案

Tab.1 Feature selection scheme under typical results

变压器季节特征组合预测目标 1号春A-B-总体A、B C-总体C 夏A-总体A B-C-总体B、C 秋A-B-C-总体A、B、C 冬A-总体A B-总体B C-总体C 2号春、夏A-总体A B-总体B CC 秋、冬A-B-C-总体A、B、C

方法1:仅计及负荷时序性,包括BiLSTM[24]、GRU[25]

方法2:同时计及负荷时序性与多周期性,包括MDGRU-Seq2Seq[15]

方法3:同时计及负荷时序性与相间负荷相关性,包括CNN-LSTM[21]

方法4:同时计及负荷时序性、多周期性及相间负荷相关性,包括MS-STGNN[26]

方法5:本文方法。

方法6:本文模型使用传统损失函数(均方误差损失),作为消融实验。

4.2.2 结果分析

对每台配变各季节数据集分别进行训练、验证与测试,全年精度测试结果见表2,测试集中全年轻载及重过载工况下精度见表3。每台配变各季节分相负荷预测曲线图详见附录。

表2 全年精度测试结果

Tab.2 Full-year accuracy testing results

预测模型1号变压器2号变压器 RMSEMAPE(%)RMSEMAPE(%) A相B相C相平均A相B相C相平均A相B相C相平均A相B相C相平均 本文方法0.0770.0810.0760.07811.8411.2811.0211.380.1010.1030.1030.10214.515.514.6914.9 MS-STGNN0.0970.0960.0930.09614.9613.8413.8114.20.1250.1250.1280.12620.1421.1820.2620.53 MDGRU-Seq2Seq0.0990.0970.0940.09616.0514.514.4414.990.1360.1340.1360.13521.1421.3320.621.02 CNN-LSTM0.1050.10.1080.10416.8215.3716.5216.240.1320.130.1310.13123.523.2122.7423.15 BiLSTM0.1020.1030.1060.10317.617.0817.5417.40.1520.150.150.15126.2626.5725.4926.11 GRU0.1170.1150.120.11818.2617.2718.46180.1460.1550.1630.15524.7725.9324.6725.12 消融实验0.0850.0780.0860.08312.9312.0512.5312.50.1030.1040.1060.10416.5517.5317.0617.04

表3 全年轻载及重过载工况下精度测试结果

Tab.3 Accuracy testing results under light load and heavy overload conditions throughout the year

预测模型1号变压器2号变压器 RMSEMAPE(%)RMSEMAPE(%) A相B相C相平均A相B相C相平均A相B相C相平均A相B相C相平均 本文方法0.0620.0860.0650.0719.4512.059.8210.440.1080.1090.1110.10913.9615.1114.0114.36 MS-STGNN0.10.1350.1280.12115.3219.3817.9917.570.1370.1380.1410.13820.1821.3620.2320.59 MDGRU-Seq2Seq0.1070.1380.1330.12618.5219.8120.3919.570.1530.1490.1520.15121.4821.2620.421.05 CNN-LSTM0.1280.1620.1750.15515.8317.5819.2317.720.1390.1360.1380.13824.5623.7723.4823.94 BiLSTM0.1090.1250.130.12220.1720.1621.1420.490.1690.1650.1670.16727.0126.9726.2326.74 GRU0.1470.1860.2010.17818.619.5718.7118.960.1720.1860.1970.18527.0729.4828.2628.27 消融实验0.1240.1290.1220.12515.2618.5716.7816.870.1320.1280.1390.13317.220.0220.1419.12

在不同配变数据集中,以对照算法中指标最优的模型作为基准模型,消融实验不计为基准模型。

首先,本文方法表现出最佳的预测性能。附录中,本文方法预测曲线的效果整体优于其余对比模型。表2中,本文方法全年精度测得RMSE误差分别为基准模型的81.25%和80.95%,MAPE误差分别为基准模型的80.14%和72.58%。五个对比模型中,MS-STGNN取得了最高的预测精度,MDGRU-Seq2Seq和CNN-LSTM表现接近,并列第2,GRU和BiLSTM精度最低。以上结果表明:①相较于仅计及负荷时序性的GRU和BiLSTM,捕捉相间负荷相关性与负荷多周期性特征均可显著提高预测精度;②相较于MS-STGNN,本文方法凭借契合三相负荷时空特性的特征工程和DWH指导下的SwinLSTM-D模型,在相间负荷相关性挖掘和负荷多周期性特征提取任务上具备显著优势。

其次,本文方法在轻载及重过载工况下的适应性最佳。表3中,本文模型在轻载及重过载工况下取得最佳精度测试结果,RMSE误差分别为基准模型的58.68%和78.99%,MAPE误差分别为基准模型的59.42%和69.74%。对比表2与表3可知,在轻载及重过载工况下,基准模型的预测精度均存在一定程度的衰减,而本文模型预测精度反而存在提升。以上结果表明,凭借面向预警任务需求的DWH损失函数,本文模型充分适应轻载及重过载工况,与对比模型相比优势显著。

此外,消融实验中,未使用DWH损失函数的预测模型较本文方法精度有所下降。尤其在轻载和重过载工况下,以本文方法为基准,RMSE误差分别提高76.06%和22.02%,MAPE误差分别提高61.59%和33.15%,衰减尤为显著。结果表明,与传统损失函数相比,本文提出的DWH损失函数通过优化模型注意力分配模式,可有效保障预测模型在轻载及重过载工况下的精度表现。

综上所述,由该组实验可得如下结论:本文所提预测方法具有优越的预测性能,且满足预警任务对各相轻载及重过载工况的高精度预测需求,可以支撑配变重过载问题的精准预警。

4.3 基于配变动态安全负载域的配变重过载预警

4.3.1 实验过程

鉴于变压器重过载事件多发于度夏度冬期间,针对2号变压器夏季某周前分相负荷数据,刻画考虑配变热点温升约束的配变动态安全负载域。

首先,设环境温度为30℃(可合理改变),配变三相绕组热点温度、铁心热点温度和顶层油温的起始值均取环境温度。将分相负荷数据及设备参数输入计及三相不平衡工况的配变热点温度计算模型,得到热点温度和顶层油温的周前温度变化曲线。

其次,依据国标规定,配变三相绕组热点温度、铁心热点温度和顶层油温的热点温升约束分别取120、120、120、140、105℃。针对周前温度变化曲线中的所有给定时刻,基于当前时刻下配变热点温度和顶层油温的分布情况,分别完成考虑配变热点温升约束的配变动态安全负载域的刻画,如图9所示。

4.3.2 结果分析

通过配变动态安全负载域的刻画,并基于刻画结果进行重过载评估,该时段内预警结果见表4。其中,t=11、t=39和t=42时刻下的重过载评估结果与传统方法(以负荷在静态额定容量的占比作为预警标准)不同,结果见表5。

width=478.9,height=128.2

图9 2号变压器夏季配变动态安全负载域

Fig.9 The dynamic safety loading region of transformer No. 2 during summer

表4 2号变压器夏季配变重过载预警结果

Tab.4 Summer heavy overload warning results for transformer No. 2

预警类型预警次数预警时刻t 重载168~11、15、32~35、38~39、41、56~59、62~65、80~83、86~88、104~107、110~113、129~131、134~136、153、155、158~161 过载无无

表5 t=11、t=39和t=42下的重过载评估结果

Tab.5 Heavy overload assessment results at t=11, t=39, and t=42

时刻t三相负载率整体负载率预警类型(本文方法)预警类型(传统方法) 11(1.017, 0.958, 1.066)1.015重载过载 39(0.708, 0.957, 0.688)0.788重载正常 42(0.803, 0.793, 0.83)0.812正常重载

该组实验可得如下结论:①考虑配变热点温升约束时,严重的三相不平衡现象将导致配变载荷能力低于额定容量,实际重过载预警阈值与传统方法相比降低,如表5中t=39时刻,传统方法发生漏警;②当三相不平衡现象缓解时,配变载荷能力可能高于额定容量,实际重过载预警阈值与传统方法相比升高,如表5中t=11、t=42时刻,传统方法发生虚警;③由表4、表5可知,基于本文刻画的配变动态安全负载域,可准确评估热点温升约束下配变的极限负载能力,最终实现计及三相不平衡工况的配变重过载精准预警,预警效果优于传统方法。

5 结论

本文提出一种考虑三相负荷时空特性和配变动态安全负载域的配变周前分相重过载预警方法,使用中国南部某供电局配变实测数据进行算例验证,主要结论如下:

1)配变三相负荷时空特性集中体现为季节性差异化相关性,其动态变化过程呈现多周期性特征。基于此,本文所提周前分相负荷预测方法,通过充分捕捉相间负荷相关性与负荷多周期性特征,全年平均RMSE预测误差分别降至基准模型的81.25%和80.95%,MAPE预测误差分别降至基准模型的80.14%和72.58%,具备显著预测精度优势。

2)本文所提DWH损失函数,通过提高模型在轻载及重过载工况样本中的注意力分配,使轻载及重过载工况下RMSE预测误差分别降至基准模型的58.68%和78.99%,MAPE预测误差分别降至基准模型的59.42%和69.74%,有效地保障了模型在轻载及重过载工况下的精度。

3)基于配变动态安全负载域的配变分相重过载预警方法,可充分考虑三相不平衡工况对配变载荷能力的影响,准确界定在安全运行时限内满足热点温升约束的配变极限载荷空间,实现配变重过载精准预警。与传统方法对比,可避免虚警、漏警问题。

附 录

width=398.45,height=8.25
width=397.25,height=292.15

附图1 1号变压器春季分相负荷预测曲线

App.Fig.1 The phase-separated load forecasting curves for transformer No. 1 in spring

width=398.45,height=8.25
width=395.85,height=285

附图2 1号变压器夏季分相负荷预测曲线

App.Fig.2 The phase-separated load forecasting curves for transformer No. 1 in summer

width=398.45,height=8.25
width=395.85,height=285.95

附图3 1号变压器秋季分相负荷预测曲线

App.Fig.3 The phase-separated load forecasting curves for transformer No. 1 in autumn

width=398.45,height=8.25
width=398.45,height=288.4

附图4 1号变压器冬季分相负荷预测曲线

App.Fig.4 The phase-separated load forecasting curves for transformer No. 1 in winter

width=398.45,height=9
width=395.85,height=282.95

附图5 2号变压器春季分相负荷预测曲线

App.Fig.5 The phase-separated load forecasting curves for transformer No. 2 in spring

width=398.45,height=8.25
width=395.85,height=282.95

附图6 2号变压器夏季分相负荷预测曲线

App.Fig.6 The phase-separated load forecasting curves for transformer No. 2 in summer

width=398.45,height=8.25
width=395.85,height=282.95

附图7 2号变压器秋季分相负荷预测曲线

App.Fig.7 The phase-separated load forecasting curves for transformer No. 2 in autumn

width=398.45,height=8.25
width=395.85,height=282.95

附图8 2号变压器冬季分相负荷预测曲线

App.Fig.8 The phase-separated load forecasting curves for transformer No. 2 in winter

参考文献

[1] 赵飞龙, 咸日常, 荣庆玉, 等. 三相不平衡工况下配电变压器温升特性及绝缘损失分析[J]. 高电压技术, 2023, 49(10): 4364-4372.

Zhao Feilong, Xian Richang, Rong Qingyu, et al. Analysis of temperature rise characteristics and insulation loss of distribution transformer under three-phase unbalanced condition[J]. High Voltage Engineering, 2023, 49(10): 4364-4372.

[2] 李元, 刘宁, 梁钰, 等. 基于温升特性的油浸式变压器负荷能力评估模型[J]. 中国电机工程学报, 2018, 38(22): 6737-6746.

Li Yuan, Liu Ning, Liang Yu, et al. A model of load capacity assessment for oil-immersed transformer by using temperature rise characteristics[J]. Proceedings of the CSEE, 2018, 38(22): 6737-6746.

[3] 张智刚, 康重庆. 碳中和目标下构建新型电力系统的挑战与展望[J]. 中国电机工程学报, 2022, 42(8): 2806-2819.

Zhang Zhigang, Kang Chongqing. Challenges and prospects for constructing the new-type power system towards a carbon neutrality future[J]. Proceedings of the CSEE, 2022, 42(8): 2806-2819.

[4] 贺建章, 王海波, 季知祥, 等. 面向智能电网的配电变压器重过载影响因素分析[J]. 电网技术, 2017, 41(1): 279-284.

He Jianzhang, Wang Haibo, Ji Zhixiang, et al. Analysis of factors affecting distribution transformer overload in smart grid[J]. Power System Technology, 2017, 41(1): 279-284.

[5] 贺建章, 王海波, 季知祥, 等. 基于随机森林理论的配电变压器重过载预测[J]. 电网技术, 2017, 41(8): 2593-2597.

He Jianzhang, Wang Haibo, Ji Zhixiang, et al. Heavy overload forecasting of distribution transformers based on random forest theory[J]. Power System Technology, 2017, 41(8): 2593-2597.

[6] 张海峰, 任洲洋, 冯健冰, 等. 基于内驱进化预测模型和载荷能力动态评估的变压器周前重过载预警方法[J]. 电网技术, 2024, 48(10): 4349-4357, I0124.

Zhang Haifeng, Ren Zhouyang, Feng Jianbing, et al. A week-ahead heavy and overload warning strategy based on an endogenous evolutionary forecasting model and a transformer rating dynamic evaluation method[J]. Power System Technology, 2024, 48(10): 4349-4357, I0124.

[7] 杨智宇, 刘俊勇, 刘友波, 等. 基于自适应深度信念网络的变电站负荷预测[J]. 中国电机工程学报, 2019, 39(14): 4049-4061.

Yang Zhiyu, Liu Junyong, Liu Youbo, et al. Transformer load forecasting based on adaptive deep belief network[J]. Proceedings of the CSEE, 2019, 39(14): 4049-4061.

[8] 赵洋, 王瀚墨, 康丽, 等. 基于时间卷积网络的短期电力负荷预测[J]. 电工技术学报, 2022, 37(5): 1242-1251.

Zhao Yang, Wang Hanmo, Kang Li, et al. Temporal convolution network-based short-term electrical load forecasting[J]. Transactions of China Electrotechnical Society, 2022, 37(5): 1242-1251.

[9] Zheng Kedi, Chen Qixin, Wang Yi, et al. A novel combined data-driven approach for electricity theft detection[J]. IEEE Transactions on Industrial Informatics, 2019, 15(3): 1809-1819.

[10] 潘超, 陈祥, 蔡国伟, 等. 基于电磁–机械耦合原理的变压器三相不平衡运行绕组振动模–态特征[J]. 中国电机工程学报, 2020, 40(14): 4695-4707, 4747.

Pan Chao, Chen Xiang, Cai Guowei, et al. Mode-state characteristics of three-phase unbalanced operation winding vibration of transformer based on electromagnetic mechanical coupling principle[J]. Proceedings of the CSEE, 2020, 40(14): 4695-4707, 4747.

[11] 韩富佳, 王晓辉, 乔骥, 等. 基于人工智能技术的新型电力系统负荷预测研究综述[J]. 中国电机工程学报, 2023, 43(22): 8569-8592.

Han Fujia, Wang Xiaohui, Qiao Ji, et al. Review on artificial intelligence based load forecasting research for the new-type power system[J]. Proceedings of the CSEE, 2023, 43(22): 8569-8592.

[12] 赵洪山, 吴雨晨, 温开云, 等. 基于时空注意力机制的台区多用户短期负荷预测[J]. 电工技术学报, 2024, 39(7): 2104-2115.

Zhao Hongshan, Wu Yuchen, Wen Kaiyun, et al. Short-term load forecasting for multiple customers in a station area based on spatial-temporal attention mechanism[J]. Transactions of China Electrotechnical Society, 2024, 39(7): 2104-2115.

[13] 李延珍, 王海鑫, 杨子豪, 等. 基于非侵入式负荷分解的家庭负荷两阶段超短期负荷预测模型[J]. 电工技术学报, 2024, 39(11): 3379-3391.

Li Yanzhen, Wang Haixin, Yang Zihao, et al. Two-stage ultra-short-term load forecasting model of household appliances based on non-intrusive load disaggregation[J]. Transactions of China Electrotechnical Society, 2024, 39(11): 3379-3391.

[14] 陈轩伟. 基于BP-QR模型的负荷区间预测[J]. 电气技术, 2022, 23(4): 14-17, 24.

Chen Xuanwei. Load interval forecasting based on BP-QR model[J]. Electrical Engineering, 2022, 23(4): 14-17, 24.

[15] 李丹, 孙光帆, 缪书唯, 等. 基于多维时序信息融合的短期电力负荷预测方法[J]. 中国电机工程学报, 2023, 43(增刊1): 94-106.

Li Dan, Sun Guangfan, Miao Shuwei, et al. Short-term power load forecasting method based on multidimensional time series information fusion[J]. Proceedings of the CSEE, 2023, 43(S1): 94-106.

[16] Liu Yanzhu, Dutta S, Kong A W K, et al. An image inpainting approach to short-term load forecasting[J]. IEEE Transactions on Power Systems, 2022, 38(1): 177-187.

[17] 李云松, 张智晟. 考虑综合需求响应的Transformer-图神经网络综合能源系统多元负荷短期预测[J]. 电工技术学报, 2024, 39(19): 6119-6128.

Li Yunsong, Zhang Zhisheng. Transformer based multi load short-term forecasting of integrated energy system considering integrated demand response[J]. Transactions of China Electrotechnical Society, 2024, 39(19): 6119-6128.

[18] 国家质量监督检验检疫总局, 中国国家标准化管理委员会. 电力变压器第7部分:油浸式电力变压器负载导则: GB/T 1094.7—2008[S]. 北京: 中国标准出版社, 2009.

[19] 董旭柱, 张琛, 阮江军, 等. 油浸式电力变压器动态载荷评估技术研究与应用[J]. 高电压技术, 2021, 47(6): 1959-1968.

Dong Xuzhu, Zhang Chen, Ruan Jiangjun, et al. Research and practices of dynamic thermal rating for oil-immersed power transformer[J]. High Voltage Engineering, 2021, 47(6): 1959-1968.

[20] 张琛, 董旭柱, 阮江军, 等. 面向典型负荷曲线的油浸式电力变压器动态载荷能力评估方法[J]. 电网技术, 2024, 48(8): 3515-3524.

Zhang Chen, Dong Xuzhu, Ruan Jiangjun, et al. Dynamic thermal rating assessment method of oil-immersed power transformers based on typical load profiles[J]. Power System Technology, 2024, 48(8): 3515-3524.

[21] Rubasinghe O, Zhang Xinan, Chau T K, et al. A novel sequence to sequence data modelling based CNN-LSTM algorithm for three years ahead monthly peak load forecasting[J]. IEEE Transactions on Power Systems, 2024, 39(1): 1932-1947.

[22] Mousavi A, Baraniuk R G. Uniform partitioning of data grid for association detection[J]. IEEE Transactions on Pattern Analysis and Machine Intelligence, 2022, 44(2): 1098-1107.

[23] Tang Song, Li Chuang, Zhang Pu, et al. SwinLSTM: improving spatiotemporal prediction accuracy using swin transformer and LSTM[C]//2023 IEEE/CVF International Conference on Computer Vision (ICCV), Paris, France, 2023: 13424-13433.

[24] Guo Yixiu, Li Yong, Qiao Xuebo, et al. BiLSTM multitask learning-based combined load forecasting considering the loads coupling relationship for multienergy system[J]. IEEE Transactions on Smart Grid, 2022, 13(5): 3481-3492.

[25] Dong Ming, Grumbach L. A hybrid distribution feeder long-term load forecasting method based on sequence prediction[J]. IEEE Transactions on Smart Grid, 2020, 11(1): 470-482.

[26] Zhuang Wei, Fan Jili, Xia Min, et al. A multi-scale spatial–temporal graph neural network-based method of multienergy load forecasting in integrated energy system[J]. IEEE Transactions on Smart Grid, 2024, 15(3): 2652-2666.

Week-Ahead Phase-Separated Overload Warning Method for Distribution Transformers Considering the Spatiotemporal Characteristics of Three-Phase Loads and the Dynamic Safety Loading Region

He Huajin Ren Zhouyang Feng Jianbing Zhang Haifeng

(State Key Laboratory of Power Transmission Equipment Technology Chongqing University Chongqing 400044 China)

Abstract With the large-scale integration of new energy sources and diverse load profiles, three-phase imbalance conditions in distribution networks have become increasingly frequent, leading to significant issues of phase-overloaded distribution transformers. Existing pre-warning methods for transformer overloads fail to adequately reveal the spatiotemporal characteristics of three-phase loads, do not meet the accuracy requirements under light load and heavy overload conditions, and overlook the impact of three-phase imbalance on transformer load capacity. This often results in false alarms and missed warnings. To address these challenges, this paper proposes a transformer phase-overload pre-warning method for the week ahead, considering the spatiotemporal characteristics of three-phase loads and the dynamic safety loading region of the transformer.

Firstly, the spatiotemporal characteristics of three-phase loads on transformers are explored, and a feature enhancement expression method based on dynamic feature combination selection and spatial representation techniques is established. Secondly, a load forecasting model for transformer phases one week ahead is developed using SwinLSTM-D, which fully exploits the spatiotemporal characteristics of three-phase loads. To meet the high-precision prediction requirements under light load and heavy overload conditions for the pre-warning task, a dual weighted hybrid (DWH) loss function is constructed to optimize the model’s attention distribution pattern. Subsequently, the Dynamic Safety Loading Region of the transformer, which accounts for hotspot temperature rise constraints, is defined to accurately assess the transformer's limit load capacity. Finally, a pre-warning strategy based on the Dynamic Safety Loading Region is proposed to effectively pre-warn against transformer overload issues.

Case studies using measured data from a distribution transformer operated by a power supply bureau in southern China validate the proposed method. The results indicate that: (1) The proposed forecasting method exhibits significant accuracy advantages, with annual RMSE errors being 81.25% and 80.95% of the baseline model, and MAPE errors being 80.14% and 72.58% of the baseline model, respectively. Additionally, under light load and heavy overload conditions, the method demonstrates optimal adaptability, with RMSE errors at 58.68% and 78.99%, and MAPE errors at 59.42% and 69.74% of the baseline model, respectively. (2) The proposed pre-warning method achieves precise overload warnings for transformers under three-phase imbalance conditions, outperforming traditional methods.

Simulation analysis leads to the following conclusions: (1) Effectively capturing the spatiotemporal characteristics of three-phase transformer loads significantly enhances prediction accuracy. (2) By increasing the model’s attention distribution on samples under light load and heavy overload conditions, the model’s accuracy performance in these scenarios is ensured. (3) By characterizing the dynamic safety loading region of the transformer, the limit load space that meets hotspot temperature rise constraints within the safe operating timeframe is accurately defined, enabling precise pre-warning of transformer overloads.

keywords:Three-phase imbalance conditions, spatiotemporal characteristics of three-phase loads, phase-specific load forecasting, dynamic safety loading region of distribution transformers, heavy and overload warning

中图分类号:TM714

DOI: 10.19595/j.cnki.1000-6753.tces.241943

中央高校基本科研业务费资助项目(2023CDJYXTD-004)。

收稿日期 2024-10-29

改稿日期 2025-01-15

作者简介

何华锦 男,2000年生,硕士研究生,研究方向为基于深度学习的变压器重过载预警等。E-mail:orange_hhj@163.com

任洲洋 男,1986年生,教授,博士生导师,研究方向为新型电力系统的概率分析、电氢综合能源系统、电力能源系统人工智能等。E-mail:rzhouyange1108@163.com(通信作者)

(编辑 赫 蕾)