考虑电-水耦合灵活性的数据中心与城市配电-水网协同规划研究

曾 博 孟自帅 董嘉路 徐心竹 马浩天

(新能源电力系统全国重点实验室(华北电力大学) 北京 102206)

摘要 作为高耗能与高耗水用户,互联网数据中心(IDC)成为耦合城市电力与供水系统的新兴负荷节点。如何实现IDC与城市配电-水网的有机协调发展,在满足数据服务需求的前提下,利用其负荷灵活性促进城市配电配水系统高效运行,已成为未来城市规划面临的重要课题。为此,该文深入考虑IDC用电-耗水耦合及其带来的需求侧灵活性,提出一种计及不确定性的IDC与城市配电-水网协同规划方法。从电-水耦合视角对IDC数据处理-耗电-冷却-耗水过程进行建模,以系统投资运维总成本最小化为目标,综合考虑配电-水网扩容、IDC服务器容量配置和系统运行,建立计及多元不确定性的IDC与城市配电-水网协同规划鲁棒优化模型。根据该模型特点,采用嵌套列和约束生成算法实现模型高效求解。最后,以修改的IEEE 33节点配电网和13节点配水网耦合系统为例,验证了所提方法的有效性。

关键词:数据中心 城市配电网 电-水耦合系统 需求响应 配水网

0 引言

电能和水资源是维持社会可持续发展的两大基本要素,两者之间有深度耦合关系。随着能源互联网和区域综合能源系统的发展,配电网和配水网之间的耦合关系得到广泛关注,从综合能源系统的角度审视水-能关系,提出电-水耦合系统概念[1],围绕电-水耦合系统展开电能和水资源供需平衡、水足迹、水循环过程能耗、协同调度规划等研究。

与此同时,随着云计算、人工智能物联网等信息技术快速发展,互联网数据中心(Internet Data Center, IDC)作为新一代信息处理的算力载体,呈现高速发展态势[2]。“东数西算”政策统筹引导大型数据中心建设,当前,全国八大枢纽节点投资占80%,新建90%是大型及以上数据中心。从整体来看,中国超大型数据中心增速快,机架占比超40%。然而,伴随着大型数据中心的激增,预计到2025年,全国数据中心用电量占全社会用电量的比例将提升至5%。此外,数据中心作为耗电大户的同时,由于数据中心全年供冷,其年耗水量也居高不下,其能耗产生的碳排放及水资源消耗严重制约社会可持续发展[3]。因此,降低大型数据中心能耗和碳排放,优化数据中心耗水量,是当前研究的重要课题。

在实际工程中,数据中心的选址定容和内部设备的科学选型是数据中心规划问题的基础。对于数据中心的规划建设问题国内外学者进行了大量研究。文献[4]提出了一种基于多目标的选址优化和配置选择方法,降低了IDC的成本及碳排放。文献[5]提出了一种双层云数据中心分配规划模型,显著提高了系统的服务质量、经济性和可靠性。然而,上述研究仅考虑IDC作为电负荷灵活性资源进行规划,并未考虑数据中心水负荷可调节性对规划运行带来的潜在作用。

近年来,随着综合能源系统的快速发展,国内外学者围绕电-水耦合系统开展了大量研究。文献[6]考虑配电网、配气网和配水网之间多种耦合设备与耦合方式,改进了电-气-水混合潮流模型及计算方法。文献[7]提出了一种计及虚拟储能的配电网-配水网联合优化调度方法,有效地降低了系统运行成本,提升了分布式电源消纳水平。现有研究中,电-水耦合元件多数考虑电力驱动水泵,并未考虑数据中心负荷在电-水联合系统中的耦合作用。大型数据中心不仅是电能的“产消者”,也是配水网中不可忽略的用水大户。目前研究忽略了数据中心作为典型的电-水耦合元件在系统规划中的潜在影响。

IDC是为电子信息设备提供运行环境的场所,其内部IT设备和电子器件对环境温度非常敏感,对可靠性要求较高的数据中心需要不间断供冷。由于数据中心的冷负荷大,冷却系统耗电占整体耗电的40%[8],现有研究多针对数据中心冷却问题进行优化。例如文献[9]以丹麦为例,通过优化数据中心的灵活冷却和废热设备组合,降低了大型数据中心的投资成本及运行排放量。文献[10]介绍了一种用于数据中心的高性能露点冷却技术,在数据中心冷却方面达到了显著的节能减碳效果。但上述研究仅对冷却系统本身进行优化,并未对数据中心数据负荷-耗电-冷却-耗水耦合过程进行详细建模。

实际上,大型数据中心的投资规划及运行优化过程中存在不确定性因素。目前已有部分数据中心不确定性研究成果。例如,文献[11]提出了一种考虑风电不确定性的数据中心区域一体化电热系统优化规划方法,降低经济成本,提高系统灵活性。文献[12]提出了一种基于计算资源共享模式的托管式数据中心群两阶段鲁棒优化模型处理负荷削减时的不确定性,提高了数据中心运营商的整体收益。文献[13]提出了一种利用城镇中水的数据中心冷却系统,有效地降低了数据中心能耗和冷却塔水耗。文献[14]开发了区间模糊可信度约束双层规划模型,优化分配水资源。使用区间值和模糊集来处理不确定信息,此外,由于IDC数据处理的特殊性,其数据负荷和用电负荷及用水负荷不确定性之间存在相关性。但是现有研究不确定性多集中在新能源出力及数据中心负荷的不确定性,并未在规划阶段综合考虑数据中心水负荷的不确定性及相关性。

针对上述研究问题,本文以IDC促进电-水综合系统高效互动为目标,提出一种电-水耦合背景下计及不确定性的IDC与城市配电-水网协同规划方法。首先,深入分析IDC与配电网、配水网交互机理,从电-水耦合视角进行IDC灵活性建模。然后,综合考虑服务器、冷却系统建设、配电网扩容、配水网投建以及综合供能系统和IDC交互运行策略,同时计及多元不确定性及相关性,建立电-水-IDC两阶段鲁棒优化模型。算例分析结果验证了本文所提方法的有效性。

1 电-水-数据中心协同规划框架

本文在数据中心规模化建设和城市配电网背景下,以配置可再生能源和水冷冷却系统的数据中心为研究对象,重点展示了城市(Integrated Electricity- Water Service, IEWS)和IDC设备构成以及配电网-配水网-IDC电力流/水力流/信息流三者之间的相互耦合关系。城市电-水联合系统IEWS与数据中心的电-水耦合系统架构如图1所示。

width=227.4,height=166.8

图1 电-水-IDC基本架构

Fig.1 The basic architecture of IEWS with IDCs

城市IEWS由城市电-水综合能源供应商(Inte- grated Electricity-Water Service Provider, IEWSP)负责运行管理[15]。IEWSP负责从上级电网购电、管理新能源发电、从水库和水厂购水。通过城市配电网、配水网向城市电负荷、城市水负荷、数据中心供电、供水。其中,水泵在保证配水网水压稳定的同时消耗大量电能,IDC是电能和水能的巨大消耗者,两者是系统中主要的电-水耦合元件。

IDC由数据中心运营商负责投资建设及运行管理。在确定IDC规划方案时,为实现IDC节能减排、降低能耗的运行效果,一方面,通过优化IDC设备配置及调节服务器运行频率、水冷冷却系统温度等控制策略,提高系统能效;另一方面,IDC耗电量、耗水量与IDC处理数据负荷量强相关,通过优化IDC蓄电池、蓄水池容量及充放电、蓄水池购水策略,可实现IDC与配电网、配水网的需求响应(Demand Response, DR)服务交互。以充分调动IDC运行的灵活性。因此,IDC规划方案不仅受限于物理域设备容量配置,同时需考虑信息域数据负荷的调度以及能源域碳排放、耗水量等多域资源规划问题。如何根据IDC运行特性,考虑配电网、配水网等多方面耦合影响,提出兼顾各方面的调度策略和耦合优化模型,是本文IDC规划决策的关键。

水冷冷却系统[16]耗能占IDC总耗能的30%左右,为主要的耗水设备。主要由冷却塔、冷水机组、精密空调、蓄水池、蓄冷罐等构成。水冷系统由蓄水池为其补充冷却水以及冷却塔蒸发水量损耗。本文假设蓄水池由城市配水网供水,通过调节蓄水池蓄水量及购水时间参与调节城市IEWS配水网需求响应。此外,蓄冷池可以参与电水削峰填谷并可作为备用冷源,提高系统整体可靠性。冷却系统耗能量及耗水量与IDC数据负荷紧密相关,可通过IDC数据负荷时空可调节特性,实现城市IEWS配电网新能源消纳及配水网流量调节。因此,为确保规划方案的有效性,电-水-IDC的规划方案需综合考虑水冷却系统、数据负荷及城市IEWS等因素。

基于上述分析,本文所规划的电-水-IDC系统是一个物理信息能源系统,主要特征为:①物理域和信息域深度耦合,信息域数据负荷需要物理域服务器、冷却系统等设备配合处理。同时,数据负荷分配策略影响物理域服务器等设备(容量、类型、数量)的规划。②物理域和能源域相互交织。IDC可使城市IEWS系统更加灵活,通过电/水能源消耗的时移和能源类型的占比以重塑能源负荷分布,支持IDC信息服务及城市IEWS合理运营。在上述过程中,两主体之间能源-物理-信息高度耦合。

为此,本文提出一种综合考虑电-水耦合灵活性的IDC与IEWS协同规划模型。电-水-数据中心协同规划框架如图2所示,模型以投资成本与运行成本之和最小化为目标函数,考虑设备配置、系统运行等方面约束条件,综合确定配电网扩容、配水网建设、IDC配置和系统运行策略,以确保IEWS与IDC之间的最优交互,实现系统综合经济效益最优。

width=218.4,height=209.85

图2 电-水-数据中心协同规划框架

Fig.2 Framework of IDC-IEWS synergisticplanning

2 电-水-数据中心建模

2.1 配电网能流模型

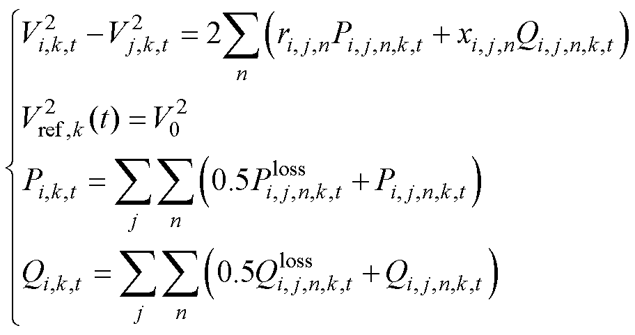
本文采用线性化Distflow[17]描述区域配电网能流模型,即

width=199,height=105(1)

式中,width=21,height=18kt时刻节点i电压幅值的二次方;width=20,height=17width=22,height=17分别为节点ij、型号为n的线路电阻、电抗;width=28,height=17width=30,height=17分别为连接节点ij、型号为n的线路有功、无功功率;V0为平衡节点电压;width=17,height=16width=18,height=16分别为节点的注入有功功率、无功功率;width=28,height=19width=30,height=19分别为线路n的有功损耗、无功损耗。

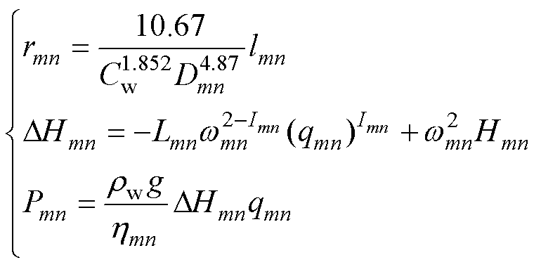
2.2 配水网模型

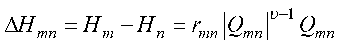
城市配水网元件主要包括输水管网、水泵、蓄水池及以数据中心为例的用水单元。配水网管道水力属性和构造属性会影响水流量和管道水头的关系表示为

width=148,height=20 (2)

式中,width=17,height=15width=16,height=15为配水网节点mn的水头;width=27,height=15mn管段压降;width=16,height=15为管道摩阻系数;width=19,height=15为管段流量;width=9,height=10为管段阻力指数。

本文选取Hazen-Williams公式[18]计算管段水头损失。取s=1.852,则有

width=168,height=83 (3)

式中,width=16,height=15为Hazen-Williams系数;Dmn为管段直径;width=15,height=15为管段长度;width=18,height=15为内阻系数;width=17,height=15为扬程指数;width=19,height=15为水泵调速比;width=18,height=15为水泵流量;width=17,height=15为水泵的耗电功率;width=16,height=15为循环水密度;g为重力加速度;width=18,height=15为水泵效率。

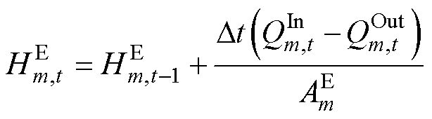
蓄水池是配水网流量调节元件,假设单一蓄水池仅有一个供水节点接入,对于接入节点m的蓄水池,水头满足

width=134,height=37 (4)

式中,上标“E”代表蓄水池的相关量;width=22,height=18为蓄水池t时刻的水头;width=20,height=18width=22,height=18分别为蓄水池进水流量、出水流量;width=15,height=17为蓄水池截面积;width=13,height=12为分时时段,本文取值为1 h。

当配水网节点m为数据中心的水冷系统供水时,水冷系统耗水量以等值水负荷表示,公式为

width=70,height=18 (5)

式中,width=18,height=18为节点mt时刻供给水流量;width=18,height=18为节点mt时刻其他水负荷流量;width=19,height=18为节点mt时刻供给IDC水冷系统的流量。

2.3 数据中心能耗模型

2.3.1 基于动态电压频率缩放(DVFS)的数据中心服务器能耗模型

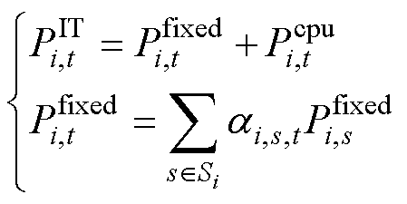
IDC的核心设备包括IT设备、制冷设备和辅助设备。IT设备中的服务器主要用于数据处理。制冷设备和电气设备与服务器的散热和优质供电密切相关,其功耗可以通过能源利用效率(Power Usage Effectiveness, PUE)指标来评估。IDC运行时通常会接收到交互性工作负载与批处理工作负载两种工作负载,前者要求立即进行处理,不具有可调性;而后者允许在一定时间范围内延迟处理。通过动态电压频率缩放(Dynamic Voltage Frequency Scaling, DVFS)技术,服务器可根据处理的工作负载强度对CPU的工作电压和工作频率进行灵活调节。

由此,IDC总功耗可表示为

width=108,height=18 (6)

式中,width=21,height=18为节点it时刻IDC功耗;width=18,height=18为IT设备功率;width=24,height=18为冷却设备功耗;width=24.95,height=18为IDC内部其他设备电能消耗。

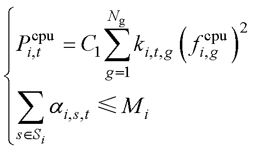
IDC中IT设备处理工作负载所消耗的功率由静态功率和动态功率两部分组成,静态功耗是指服务器空闲状态下的功耗,动态功耗为运行状态下的负载处理数量、CPU利用率、数据吞吐量、任务处理时间和任务类型,可表示为

width=98,height=49.05 (7)

式中,width=24.95,height=18为静态功率;width=21,height=18为动态功率;Si为服务器运行状态集合;width=22,height=16为数据中心i中处于s状态的服务器数量。

动态功率可以在不同的CPU电压和频率下动态变化,依据DVFS技术,将服务器的两种状态(on-off)扩展为多种状态,提高了数据中心的灵活性。需要注意的是,width=24.95,height=19只能在技术手册[19]给出的几个频率中进行选择和调节。服务器的动态功率与CPU的工作频率可表示为

width=113.1,height=67.2 (8)

式中,width=22,height=17为服务器动态系数;width=22,height=19为服务器工作频率;width=13,height=15为运行系数;Ng为服务器频率挡位数;width=15,height=15为数据中心i中服务器数量。

2.3.2 冷却系统耗能模型

冷却系统耗能是降低数据中心总能耗及PUE指标的关键之一。建模过程涉及水泵、板式换热器、冷水机组、冷却塔、末端空调等设备,且运行状况受数据中心数据负荷、温度环境等外部因素的影响。数据中心水冷冷却结构如图3所示。

width=227.75,height=120.5

图3 数据中心水冷冷却结构

Fig.3 Water-cooled cooling structure for data centers

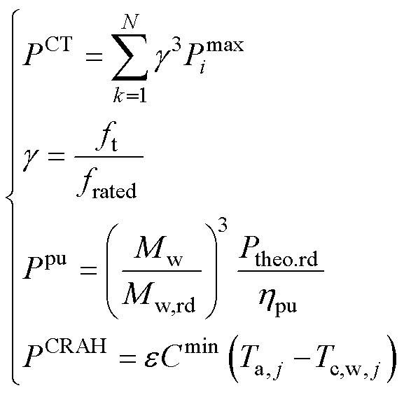
水冷冷水机组为IDC提供冷源,冷水机组的运行工况下制冷量和冷水机组功耗计算式为

width=130,height=49 (9)

式中,width=23,height=17为冷水机组制冷量;width=23,height=15为冷冻水质量流量;width=28,height=16width=30,height=16分别为冷冻水进水温度、冷冻水供水设定温度;width=29,height=13.95为冷水机组功耗;FF为满 负荷功率因素;COPCap为冷水机组参数。

冷却塔的耗能部件可以用风机相似律进行计算。水泵均采用变频变流量(Variable Water Volume, VWV)技术。精密空调(Computer Room Air Handle, CRAH)是数据中心机房用的最多的末端换热器,参考水-空气换热器的e-NTU模型[20]

width=126,height=123 (10)
width=148,height=13.95 (11)

式中,width=23,height=17为第i个冷却塔冷却单元的最大能耗;width=9,height=12为冷却风机相对转速;ft为冷却风机运行频率;width=23,height=15为冷却风机额定频率;width=26,height=16为介质的额定质量流量;width=19,height=15为介质的质量流量;width=29,height=15为水泵额定理论功率;width=16,height=17为水泵总效率;width=9,height=10为空调工况参数;width=15,height=17为空气进口温度;width=24,height=17为冷冻水进口温度;width=20,height=13.95width=18,height=13.95width=30,height=13.95分别为冷却塔耗能、冷却水泵耗能、精密空调耗能。

2.3.3 辅助设备能耗模型

配电系统的能耗模型定义为

width=82,height=19 (12)

式中,width=23,height=18为配电系统所产生的能耗;width=16,height=16为启用的服务器数量;width=17,height=17为传输的工作负载量;width=9,height=15为单台服务器对应配电系统的能耗系数;width=10,height=15为负载与网络设备之间的能耗系数。

2.4 数据中心耗水模型

本文采用数据中心水利用效率(Water Use Efficiency, WUE)衡量数据中心水资源的利用性能,其计算公式为

width=92,height=47 (13)

式中,width=13,height=12为数据中心全年总的耗水量;width=18,height=13.95为数据中心IT设备全年总能耗;width=17,height=15为冷却塔补水量;width=18,height=15为新风系统加湿耗水量;width=18,height=15为数据中心日常耗水量。

目前使用开式冷却塔的国内数据中心,设计补水量一般按系统循环水量的1.5%考虑。开式冷却塔的补水量可以按以下方法计算:

width=110,height=33 (14)

式中,width=11,height=15为数据中心冷却塔i运行系数;width=16,height=17width=20,height=17为冷却塔i冷却水供水、回水温度;width=12,height=15为冷却塔i循环冷却水量。

假设数据中心IT设备的热量损失系数width=20,height=15恒定,且IT设备发热量能够全部被冷却系统吸收。可以得到数据中心冷却水回水温度width=20.1,height=17与IT设备功耗的关系,可表示为

width=109.1,height=34.05 (15)

式中,width=20,height=15为IT设备的热量损失系数;width=26.1,height=17.05为冷水机组运行参数;width=11,height=12为冷冻水密度;width=13.05,height=15为冷却系统t时段循环冷却水量。

为保证IDC机房内的相对湿度,新风系统加湿耗水量可以按以下方法计算。

width=125,height=33 (16)

式中,width=17,height=15为室内空气设计状态点含湿量;width=17,height=17为逐时室外空气含湿量;width=13,height=15为数据中心i的新风量;width=12,height=15为加湿效率。

IDC耗水包括冷却塔补水和加湿耗水,表示为

width=184.2,height=71.15 (17)

间接耗水量width=11,height=15为IDC运行而间接产生的耗水量,可表示为

width=64,height=51 (18)

式中,width=23,height=15k类型燃料的发电量;width=12,height=15k类型燃料的单位耗水量。

IDC总耗水量可表示为

width=140.25,height=21.15 (19)

式中,width=23,height=17为能源利用率;width=24.95,height=17为新能源发电量。

3 电-水-IDC协同规划模型

3.1 目标函数

本文建立的电-水耦合系统下数据中心水-能协同规划模型以规划年限内系统投资成本与运行成本之和综合最小为目标,即

width=123.2,height=21.1 (20)

式中,width=42.2,height=17为系统综合成本;width=21,height=15为系统运营成本;width=20,height=15为系统投资成本。

3.1.1 投资成本

本系统投资成本由配电网扩容成本、配水网扩建成本、数据中心建设成本(服务器、电储能、蓄水池、可再生能源、冷却设备)构成,即

width=137,height=21 (21)
width=206.15,height=57(22)
width=222.95,height=28(23)
width=183,height=15 (24)

式中,width=19,height=15为将资产生命周期内的总成本转换为日常成本的系数;width=23,height=15width=27,height=15width=21,height=15分别为配电网扩容成本、配水网建设成本、数据中心建设成本;width=23,height=15width=19,height=15width=21,height=15width=21,height=15width=22,height=15width=22,height=15分别为配电网线路、新增节点集合、变压器备选节点集合、分布式电源安装节点集合、配水网线路、水泵安装节点集合;width=16,height=15width=15,height=15width=17,height=15width=11,height=12width=21,height=15、分别width=21,height=15为新建线路、扩容线路、变压器类型、分布式电源、水管、水泵选型集合;width=21,height=19width=21,height=19width=19,height=18width=18,height=18width=24.95,height=19width=24,height=18分别为新建线路、扩容线路、变压器、分布式电源、水网线路、水泵的0-1选型变量;width=13.95,height=17width=13.95,height=17width=15,height=17width=16,height=17为所选(新建线路、扩容线路、变压器、分布式电源类型)的单位线路成本、变压器和分布式电源投资成本;width=18,height=16为节点width=6.95,height=12安装分布式电源容量;width=19,height=17width=19,height=17为所选(水管、水泵)的单位水管和水泵投资成本;width=17,height=15width=17,height=15width=16,height=15width=21,height=15为服务器、电储能、风电机组、制冷设备单位安装成本;width=18.1,height=15width=19,height=13.95width=21,height=13.95width=19,height=13.95为服务器数量、电池储能、风电机组、制冷系统的配置容量。

3.1.2 运营成本

系统总运营成本表示为

width=129,height=19 (25)

式中,width=21,height=19为IDC运维成本;width=20,height=19为各设备运维成本;width=21,height=19为碳排放成本;width=20,height=19为弃电成本。

IDC运维成本可表示为

width=141,height=33 (26)

式中,width=22,height=17width=20,height=17分别为中水价和t时段的分时电价;width=21.1,height=15t时段IDC购电量;width=23,height=15t时段购水量;width=10,height=11为计算周期,本文取24 h;

利用IDC灵活性及内部配置可再生能源发电可促进新能源消纳,减少发电侧碳排放,同时难以避免产生新能源弃电量,碳排放成本width=21,height=19和弃风成本width=20,height=19

width=149,height=69 (27)

式中,width=17,height=15为单位碳排放成本;width=17,height=15为单位弃电成本;width=16,height=15为外部电网碳排放系数。

3.2 约束条件

3.2.1 规划约束

规划约束可确定IDC和配电/水网规划方案,即IDC服务器台数、制冷系统容量、蓄电池容量、蓄水池容量、风机容量、扩容线路型号及变压器扩容容量、水泵型号等。

服务器数量约束、电储能/蓄水池/风电约束为

width=92,height=71 (28)

式中,width=20,height=17为蓄电池功率;width=22,height=17为蓄水池流量;width=20,height=17为新能源出力。

3.2.2 运行约束

本文规划系统的运行约束条件主要考虑IDC运行约束、配电网运行约束、配水网运行约束。

1)配电网运行约束

支路功率和节点电压满足运行约束为

width=75,height=56 (29)

式中,width=18,height=17width=17,height=18分别为线路ij有功下限和上限;width=18,height=17width=18,height=18分别为线路ij无功下限和上限;width=13,height=17width=11,height=16分别为节点i电压幅值下限和上限。

2)配水网运行约束

节点水头及管道流量满足运行约束为

width=80,height=33 (30)

水泵运行满足约束为

width=112,height=53 (31)

蓄水池运行满足约束为

width=96,height=85 (32)

式中,width=19,height=15width=19,height=15分别为水泵运行频率上限和上限;width=16,height=16为蓄水池m的最大进/出水流量;width=86.05,height=21.05为本调度周期结束时,蓄水池水位不应低于初始水位。

此外,配水网还需满足节点流量平衡约束,即

width=220,height=29(33)

式中,width=45,height=17width=45,height=17为流入和流出节点m的支路集合(管道和水泵支路);width=29,height=18width=20,height=18width=18,height=18width=24,height=18分别为节点m处水源、流入、流出和水负荷的流量。

3)配电网运行约束

系统功率平衡约束为

width=199,height=18.05(34)

式中,width=27,height=18width=26,height=18分别为蓄电池放电和充电功率。

可再生能源出力约束为

width=82,height=18 (35)

式中,width=20,height=18width=33,height=18分别为风电实际和预测出力。

为降低模型求解复杂度,本文假设IDC中服务器类型单一。为满足IDC数据服务质量,采用M/M/1排队模型对时间段内排队延迟进行约束,表示为

width=81,height=18 (36)
width=83,height=48 (37)
width=49.95,height=30 (38)

式中,width=21,height=18width=21,height=18width=23,height=13.95分别为数据排队时间、数据处理时间和数据最大可延迟时间;width=19,height=17为单台服务器的服务率;width=26,height=18t时刻i服务器的实际数据负载;width=17,height=18为开机服务器数量。

4 计及不确定性的电-水-IDC鲁棒规划模型

4.1 电-水-IDC耦合系统不确定性

电-水耦合背景下IDC在实际运行中面临诸多不确定性因素,直接使用式(20)所示的确定性模型进行求解所得的优化方案与实际偏差较大。本文考虑的不确定性参数为t时刻可再生能源、电负荷、水负荷、IDC数据负荷不确定度,建立计及不确定性的电-水-IDC鲁棒优化模型。建立如下不确定集合:

width=132.35,height=131.4 (39)

式中,符号“^”表示不确定量的预测值;width=29.15,height=18width=28.15,height=18.05width=29.15,height=18.05width=31.2,height=18.05为风机出力、电力负荷、水负荷、数据中心功率允许的最大偏差量;width=22.2,height=18.05width=22.2,height=18.05width=23.15,height=18.05width=25.1,height=18.05为考虑不确定性风机出力、电力负荷、水负荷、数据中心t时段内的功率值;width=24.05,height=16.05width=19.05,height=16.05width=19.05,height=18.05width=26.05,height=16.05为二进制变量,取值为1时表示该时段不确定变量取值为区间边界值;width=21,height=15width=16,height=15width=18,height=17width=21,height=15为不确定性调节参数,取值越小表示所得方案越冒险,可用于调节最优解的保守性。

4.2 模型重构

相比随机优化、确定性优化、区间优化等不确定性处理方法,两阶段鲁棒优化模型能够有效地应对不确定性和变化性,确保在最坏情况下也能获得一个可行且合理的解[21],依据模型特点和数据中心规划问题的实际情况,本文选择两阶段鲁棒优化进行处理。

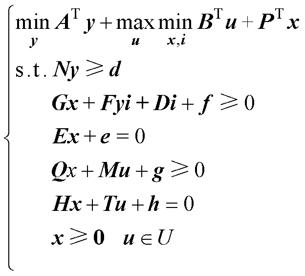
考虑系统可再生能源、电力负荷、水负荷、IDC数据负荷等不确定因素后,建立电-水-IDC鲁棒优化模型,结合电-水-IDC系统不确定性集,式(20)表示的目标函数可转化为

width=118,height=23.05 (40)

式中,YUF分别为规划阶段连续变量集合、不确定变量集合、运行阶段变量集合;y为规划阶段各单元运行的连续变量;u为不确定场景;x为运行阶段各单元运行的连续变量;i为运行阶段0-1变量,表示各单元运行状态。

将上述目标函数及约束条件进行矩阵化处理

width=136.15,height=123 (41)

式中,ABP为目标函数中系数矩阵;EHT为等式约束系数矩阵;he为等式约束常数列向量;NDFG为不等式约束系数矩阵;dgf为不等式约束常数列向量。

4.3 模型求解

计及不确定性的两阶段鲁棒规划模型为混合整数非线性规划问题,无法直接求解,且模型第二阶段存在整数变量。首先基于二阶锥松弛及分段线性化对配电网、配水网、水泵等进行线性化处理[22]。随后采用嵌套列和约束生成(Nested Column-And- Constraint Generation, NC&CG)算法[23]对模型进行处理,转换为可利用YALMIP/ GUROBI求解器进行求解的形式。

外层C&CG循环将式(41)分解为第一阶段min主问题(Master Problem, MP)和第二阶段max- min子问题(Sub Problem, SP)。MP以给定的不确定变量u进行求解,并将计算得到的原问题最优解下界赋值给width=19,height=15;将MP解得的第一阶段变量y代入SP进行求解,并将计算得的原问题最优解上界赋值给width=20,height=15;将SP求解得到的不确定变量u返回MP,并增加决策变量和新的约束。交替求解MP和SPwidth=18,height=15次直至width=20,height=15width=19,height=15差值小于给定的收敛阈值width=18,height=15

SP内层min问题中存在0-1变量,无法直接使用Karush-Kuhn-Tucker(KKT)进行处理,需将子问题进一步分解成MPs和SPs。首先,MPs给定0-1变量width=6.95,height=12,进而可通过KKT条件转换为单层max问题进行求解,并将计算得的SP最优解上界赋值给width=17,height=15;将MPs解得的不确定变量width=9,height=10代入SPs进行求解,并将计算得的SP最优解下界赋值给width=15,height=15;将SPs求解得到的0-1变量width=6.95,height=12返回MPs并增加决策变量和新的约束。交替求解MPs和SPswidth=13.95,height=15次直至width=17,height=15width=15,height=15差值小于给定的收敛阈值width=13.95,height=15,由此构成内层C&CG循环。

综上所述,本文所提模型的求解流程如图4所示。

width=233.45,height=300.75

图4 求解流程

Fig.4 Procedures of the proposed algorithm

5 仿真算例

5.1 参数设置

为验证本文所提规划方法的有效性,采用修改的IEEE 33节点配电网和W-13节点配水网构成的水-能耦合系统作为算例进行分析,详细数据参见文献[24]。算例系统结构如图5所示,配电网根节点通过两台变压器与外电网连接,单台变压器额定容量为5 MV·A。配水网节点W11为水源。规划区风力资源丰富且计划建设一个大型数据中心。基于系统的负荷和拓扑特征,筛选出四个IDC待建节点{6, 12, 15, 30},本文为静态规划且假设规划年限为10年,算例仿真周期为一个典型日24 h。

width=226.55,height=108

图5 算例系统结构

Fig.5 The topology of testing system

配电网变压器单位扩容成本设定为60万元/ (MV·A),单位运维成本为2.2万元/(MV·A)。配水网和IDC相关设备技术经济参数见表1,设备折现率设为8%。风机预测出力、常规电力负荷及IDC数据负荷预测值参照文献[25]。单位弃风成本设为0.3元/(kW·h)[26]

表1 系统参数设置

Tab.1 System parameter settings

设 备参 数数 值 服务器技术工作频率/GHz1.2/1.6/2.4/2.83.2/3.6/4.0 运行系数0.73 服务器数量/台18 000 最大可延迟时间/h4/6/8 经济服务器单价/(元/台)23 500 运维成本/(元/台)210 制冷设备技术制冷系数4,9 冷冻水比热容4.178 最大功率/kW12 000 经济制冷设备单价/(元/kW)860 运维成本/(元/kW)8.5 电储能技术充放电效率0.93 最大功率/kW4 000 经济蓄电池单价/[元/kW·h]1 700 运维成本/[元/(kW·h)]17

(续)

设 备参 数数 值 水泵技术水泵效率0.87 水泵调速比0.5~0.8 水泵流量/(m3/h)1.14 水泵最大功率/kW15 水泵扬程/m7.6 经济水泵单价/(元/台)3 200 运维成本/(元/台)30 风电机组技术最大功率/kW10 000 经济风电机组单价/(元/kW)6 000 运维成本/(元/kW)80

5.2 仿真结果

为验证本文所提的电-水耦合系统下数据中心水-能协同规划方法的价值及有效性,本文根据现有研究设计四种场景,并对不同场景典型日下所得规划方案和经济效益进行对比分析。

场景Ⅰ:传统的IDC和配电网独立规划。本场景下IDC位置基于人为经验给定,内部服务器设备及冷却系统依据最大需求量规划,进而根据IDC年最大负荷进行配电网扩容。此外,未考虑耗水及配水网规划。

场景Ⅱ:IDC和配电网与协同规划,发挥IDC自身灵活性,为配电网提供DR服务,但未考虑配水网规划。所得规划方案反映了不考虑配水网耦合情况下的规划效益。

场景Ⅲ:IDC和配电网及配水网协同规划。本场景考虑了IDC的耗水特性。该情景反映了未考虑IDC的水DR服务情况下的规划效益。

场景Ⅳ:本文所提的规划模型。充分考虑IDC与配电网和配水网的交互策略,发挥IDC本身的灵活性为配电网/配水网提供电/水DR服务。

各场景的调度策略对比见表2,场景Ⅰ为独立规划模式[27],IDC运营商和配电网独立进行调度决策,双方仅有电价等简单的信息交互;场景Ⅱ为IDC与配电网协同规划[28],IDC运营商根据需求响应服务量与配电网进行调度计划的互动;场景Ⅲ和场景Ⅳ为IDC和配电网、配水网协同规划[29],其中场景Ⅳ同时考虑了IDC本身可提供电/水DR服务。协同调度的本质在于DCO和IEWSP日前调度计划的互动。以此实现双方的良性互动,在降低IDC运行成本的同时,提升城市IEWS的经济性和灵活性。

表2 不同场景下的调度策略对比分析

Tab.2 Comparative analysis of scheduling strategies under different cases

场景规划范式是否考虑配水网规划是否考虑IDC电DR服务是否考虑IDC水DR服务 Ⅰ独立规划 Ⅱ协同规划√ Ⅲ协同规划√√ Ⅳ协同规划√√√

各个场景的最优规划方案和规划运行成本结果见表3和表4。为进一步解释规划方案带来的经济性及新能源消纳效益提升,本文针对不同场景规划方案的系统运行结果进行详细对比。

表3 不同场景下的最优规划方案

Tab.3 Optimal planning schemes under different cases

场景配电网规划配水网规划IDC投建 线路(支路编号以末节点编号表示)变压器扩容/(MV·A)水泵/kW蓄水池/m3服务器/台风机/kW储能系统/kW冷却设备/kW蓄冷容量/m3 线型1线型2线型3 Ⅰ18-203-9,11-231-23.4811.063411 3627 5833 9566 231182 Ⅱ19-214-6,11-16,231-23.6711.058710 2567 7623 6425 264165 Ⅲ18-213-8,13-1512.357.55319 6638 2343 0654 635146 Ⅳ18-223-6,8-1512.147.54868 6348 5612 7514 286138

表4 不同场景下的规划及运行成本

Tab.4 Planning and operating costs under different cases

场景投资成本/万元维护成本/万元运行成本/万元总成本/万元 配电网规划成本配水网规划成本IDC规划成本购电成本购水成本弃风成本 线路变压器水泵蓄水池服务器风机储能冷却 Ⅰ836.5131.763.52148.3626 132.64 549.8672.52535.872 477.059 397.28118.34963.2145 866.82 Ⅱ745.3733.493.52137.3423 588.84 657.2619.14452.712 062.108 963.74116.12915.3542 294.88 Ⅲ598.6621.432.40124.2522 224.94 940.4521.05398.611 838.598 545.41111.98864.3840 192.06 Ⅳ485.3119.532.40113.7219 858.25 136.6467.67368.601 644.728 248.24107.89837.8637 290.74

首先,根据场景Ⅰ和场景Ⅱ的规划结果对比可知,IDC和配电网协同规划可显著降低规划成本,经济性指标和新能源消纳均有所提升。相较于场景Ⅰ规划结果,场景Ⅱ线路规划成本和总成本分别下降91.14、3 571.94万元。原因在于IDC建设位置不合理会加剧配电网运行阻塞,线路规划成本将提高。当采用协同规划方案时,降低了配电网规划成本,从而提高了系统整体经济性。为保障IDC正常运行,按照最大用水量进行配水网建设,这也进一步提高了总规划成本。

据场景Ⅱ和场景Ⅲ的规划结果对比可知,考虑IDC和配电网及配水网协同规划,配电网规划成本、配水网规划成本、IDC规划成本和总成本分别降低了158.77、14.21、1232.89、2 102.82万元。由于考虑IDC数据处理的时空可调节性,降低了IDC内部服务器及冷却设备的规划成本。

相较于前三个场景,场景Ⅳ全面地考虑到IDC与配电网和配水网协同规划,并且充分发挥IDC本身的灵活性,为配电网和配水网提供DR服务,由规划结果可知,总成本较场景Ⅲ降低了2 901.32万元。在该场景下灵活性资源实现了配电网和配水网电力负荷及水负荷的时空转移,在提高了配电网对可再生能源消纳能力的同时,达到了合理利用水资源的效益。

为进一步揭示IDC灵活性对配电网及配水网规划和电-水-IDC系统运行效益提升的作用机理。图6给出了场景Ⅰ~Ⅳ各典型日线路负载率;图7给出了各个场景典型日系统设备的运行功率和水流量。可见,从场景Ⅰ~Ⅳ电-水-IDC系统规划成本及运行成本逐渐降低,其中线路负载率及购电量购水量显著降低,新能源消纳能力呈现逐步上升的趋势。

width=314.05,height=145.7
width=322.5,height=155.3

图6 不同场景线路负载率

Fig.6 Line load factor under different cases

width=218.55,height=474.9
width=230.4,height=174.25

图7 不同场景下电-水-IDC系统运行情况

Fig.7 Scheduling of electricity-water-IDC system under different cases

场景Ⅰ中IDC及新能源接入点基于人为经验确定。由图6可知,大型电负荷的接入导致配电网线路4-9、17-20、28、31出现严重过载现象,增加了线路扩容需求,使得配电网规划成本增高。由图7可见,该场景并未考虑IDC灵活性提供的DR服务,系统数据负载及电/水负载有着较大的峰谷差,造成服务器、制冷系统、电储能、蓄水池等存在大量冗余。场景Ⅱ中,IDC和新能源接入点根据配电网潮流分布决定,其线路负载率显著降低,使得配电网规划成本显著降低。IDC与配电网协同规划,同时利用IDC自身灵活性为配电网提供DR服务,IDC在数据负载高峰时段(11:00—16:00)对数据负荷进行合理削减时移,系统设备容量规划更加合理,降低投资成本。在场景Ⅲ中,不同于场景Ⅰ和Ⅱ为满足系统运行最大需求进行配水网规划,本场景根据IDC数据负载量及运行时段中负载时空迁移情况进行水泵和蓄水池容量规划,提高了系统经济效益。场景Ⅳ中进一步考虑IDC灵活性为配水网提供DR服务,通过数据负荷“削峰填谷”实现电-水-IDC系统耗电用水优化,同时也有效改善了电负荷尖峰现象,改善了电力线路运行过载问题,降低了系统运行风险及总体成本。

图8为各场景下可再生能源出力情况,可见相较于风电预测出力,场景Ⅰ~Ⅳ在夜晚(0:00—6:00)风力资源较为丰富的时段存在较大的弃风。场景Ⅱ~Ⅳ风电出力曲线与IDC数据负荷趋势相近,通过减少夜间时段的弃风功率,可有效提升新能源消纳能力。场景Ⅳ风电出力与风电预测出力最为相近,通过调整蓄电池充电功率和IDC数据负荷时移,减少夜间时段弃风。在时段19:00—6:00期间,将部分可时移负荷交由此段处理,并调整蓄电池充放电策略,使得系统整体新能源消纳能力显著提升;而在时段7:00—18:00期间,风电出力较低,但与预测出力更为相近,这是因为白天风力资源较为匮乏,且该时段IDC数据负荷较多,耗电需求较大,因此新能源利用率高。综上所述,利用IDC自身灵活性及运行策略调整,可有效促进可再生能源消纳利用并降低系统整理规划运行成本。

width=233.15,height=194.3

图8 不同场景下可再生能源出力

Fig.8 Renewable generation output under different cases

5.3 讨论

5.3.1 耗水影响因素分析

由本文建立的电-水-数据中心模型可知,数据中心中冷却系统是耗水的主要来源,为揭示冷却系统冷却水供/回水温度、冷冻水供/回水设定温度和水泵流速设定对冷却系统耗水和耗电的影响。本节对不同温度设定和水泵挡位下冷却系统耗电及耗水量进行对比分析。

IDC冷冻水参考设定温度为7~12℃,冷却水参考设定温度为31~36℃,挡位根据流量设定。对应的日耗电及耗水量见表5。可见。冷冻水和冷却水供/ 回水温度降低时,耗水量有所降低,但冷水机组耗电量逐步增加。当冷冻水温度不变、冷却水供/回水温度升高时,为满足制冷需求,水泵流速需提高,进而耗水量和耗电量也会随之增高。

表5 日耗电及耗水量

Tab.5 Electricity and water consumption

冷冻水供/回水温度/℃冷却水供/回水温度/℃水泵流速挡位耗电量/(kW·h)耗水量/m3 6/1130/351466 5783 025 7/1231/362425 3103 358 7/1232/372437 2563 263 8/1331/362412 5433 452 8/1332/373405 2683 524

5.3.2 不确定性因素分析

鲁棒规划模型的经济性很大程度上受偏差系数Du和保守度参数width=12,height=11设定的影响,通过选取不同的偏差系数和保守度参数来分析对系统规划结果和耗电/水量的影响。不同鲁棒性下的日耗电及耗水量见表6。

表6 不同鲁棒性下的日耗电及耗水量

Tab.6 Power and water consumption under different settings of robustness level

参数设置偏差系数(%)保守度参数耗电量/(kW·h)耗水量/m3总成本/万元 100356 4892 64831 598.25 256385 9422 98533 258.56 3106437 2563 26336 290.74 41012452 6873 39237 561.53

由表6可见,在保守度参数一定的情况下,偏差系数越大,系统日耗电量、耗水量和总成本均有所提升,情景3较情景2提升幅度为13.30%、9.30%和9.12%。此外,保持偏差系数一定,保守度参数越大,系统日耗电量、耗水量和总成本也均提高,情景4较情景3提升幅度分别为3.53%、3.95%和3.50%。分析表明保守度参数和鲁棒特性相关,保守度参数和偏差系数越大,系统鲁棒特性越好,同时系统日耗电量、耗水量和总成本均升高;反之,保守度参数和偏差系数越小,系统鲁棒特性越差;当保守度参数和偏差系数为0时,系统为确定性模型,此时系统鲁棒性最差、经济性最好。因此,在规划过程中需要调节保守度参数和偏差系数实现鲁棒性和经济性之间的平衡。

5.3.3 鲁棒优化方法有效性分析

本文采用鲁棒优化方法处理模型中的不确定因素。为验证该方法的优势,对比分析不同优化方法下规划方案的效益指标,认为三种方法下优化模型的各参数设置与5.1节相同。为模拟实际运行中不确定性因素的作用,假设不确定性变量符合预测值±20%波动范围的均匀分布,并以此利用蒙特卡洛模拟法随机生成不确定性变量的样本序列。在实际工程中,决策者可依据主观经验,假设不确定性参数符合其他分布类型,该处理并不会影响本分析过程。基于上述样本序列,可得到不同优化方法下所得系统规划方案在实际运行环境下的预期成本与效益情况,见表7。

表7 不同优化方法下规划方案效益对比

Tab.7 Comparison of planning benefits under different optimization methods

优化方案服务器数量/台规划成本/万元弃风成本/万元购电成本/万元总成本/万元 鲁棒优化11 03226 452.03837.868 248.2437 290.74 确定优化9 86323 865.861 136.389 652.3238 174.26 随机优化10 23724 357.53985.648 944.5938 469.53

由表7可见,确定性优化下规划方案服务器数量和规划成本最低,但此规划方案由规划模型参数为确定值情况下得出,未考虑各类不确定性因素的影响,当实际运行参数偏离预测值时,其购电成本和弃风成本相对较高,实际工程中该方案适用性较差。随机优化方法下规划方案考虑了不确定性因素的影响,其规划成本低于鲁棒优化方案,但是方案的鲁棒性较差,当不确定性因素波动较大时,系统需花费高额的购电成本来补偿不确定性带来的供需功率不平衡,因此运行成本和总成本都较鲁棒优化方案高。而鲁棒优化方案由于在决策时便充分考虑了不确定性波动的影响,虽然初始投资成本稍高,但当其应用于含不确定性运行环境时,由于弃风成本和购电成本大幅降低,使得系统总体运行成本较低。因此本文规划方案相较其他方案具有更好的抗风险能力和总体经济性。

6 结论

本文基于电-水耦合视角,建立计及灵活性的IDC与城市配电-水网协同规划模型,详细分析了IDC耗电及耗水特性,利用两阶段鲁棒优化计及了不确定因素的影响。通过算例分析得到结论如下:

1)本文所提规划模型考虑IDC耗水与配水网规划的协同规划,充分挖掘IDC的电/水灵活性价值,显著提高系统的经济性和环境效益,促进可再生能源的消纳和水资源利用。

2)开发IDC水资源需求响应潜力受到冷却系统冷却水供/回水温度、冷冻水供/回水设定温度和水泵流速设定的综合影响,且与蓄水池容量及购水策略密切相关。

3)不确定性因素偏差系数和保守度参数的设定对系统规划结果有深刻的影响,更高的鲁棒性导致更昂贵的经济成本,因此需要调整偏差系数和保守度参数以实现规划模型鲁棒性和经济性之间的平衡。

后续研究将进一步研究水/电DR服务的定价机制对耦合系统交互的影响,同时考虑系统故障导致非正常运行的处理问题以及季节性温度对冷却系统温度参数设定及IDC耗水特性的影响等。

参考文献

[1] Kiziltan M. Water-energy nexus of Turkey’s munici- palities: evidence from spatial panel data analysis[J]. Energy, 2021, 226: 120347.

[2] 吕佳炜, 张沈习, 程浩忠, 等. 集成数据中心的综合能源系统能量流-数据流协同规划综述及展望[J]. 中国电机工程学报, 2021, 41(16): 5500-5521.

Lü Jiawei, Zhang Shenxi, Cheng Haozhong, et al. Review and prospect on coordinated planning of energy flow and workload flow in the integrated energy system containing data centers[J]. Proceedings of the CSEE, 2021, 41(16): 5500-5521.

[3] 殷平. 数据中心研究(8): 水资源利用[J]. 暖通空调, 2018, 48(3): 1-7.

Yin Ping. Research on data centers(8): water resource utilization[J]. Heating Ventilating & Air Conditioning, 2018, 48(3): 1-7.

[4] 张玉莹, 曾博, 周吟雨,等.碳减排驱动下的数据中心与配电网交互式集成规划研究[J]. 电工技术学报, 2023, 38(23): 6433-6450.

Zhang Yuying, Zeng Bo, Zhou Yinyu, et al. Research on interactive integration planning of data centers and distribution network driven by carbon emission reduction[J]. Transactions of China Electrotechnical Society, 2023, 38(23): 6433-6450.

[5] Zeng Bo, Zhou Yinyu, Xu Xinzhu, et al. Bi-level planning approach for incorporating the demand-side flexibility of cloud data centers under electricity- carbon markets[J]. Applied Energy, 2024, 357: 122406.

[6] 赵霞, 谭红, 孙名轶. 区域水-能耦合系统的电-气-水混合潮流模型[J]. 电网技术, 2020, 44(11): 4274-4284.

Zhao Xia, Tan Hong, Sun Mingyi. Hybrid power-gas- water flow modeling for regional water-energy nexus[J]. Power System Technology, 2020, 44(11): 4274-4284.

[7] 穆云飞, 唐志鹏, 吴志军, 等. 计及虚拟储能的电-水-热综合能源系统日前优化调度方法[J]. 电力系统自动化, 2023,47(24):11-21.

Mu Yunfei, Tang Zhipeng, Wu Zhijun, et al. Optimal day-ahead scheduling method for electricity-water- heat integrated energy system considering virtual energystorage[J]. Automation of Electric Power Systems, 2023, 47(24):11-21.

[8] 周峰, 谷文龙, 马国远, 等. 数据中心冷却系统研究及应用进展[J]. 制冷与空调, 2024, 24(2):63-71.

Zhou Feng, Gu Wenlong, Ma Guoyuan, et al. Progress on research and application of cooling system for data center[J]. Refrigeration and Air-Conditioning, 2024, 24(2): 63-71.

[9] Jerez Monsalves J, Bergaentzlé C, Keles D. Impacts of flexible-cooling and waste-heat recovery from data centres on energy systems: a Danish case study[J]. Energy, 2023, 281: 128112.

[10] Ma Xiaoli, Zeng Cheng, Zhu Zishang, et al. Real life test of a novel super performance dew point cooling system in operational live data centre[J]. Applied Energy, 2023, 348: 121483.

[11] Li Weiwei, Qian Tong, Zhang Yin, et al. Distribu- tionally robust chance-constrained planning for regional integrated electricity-heat systems with data centers considering wind power uncertainty[J]. Applied Energy, 2023, 336: 120787.

[12] 曹望璋, 李彬, 祁兵, 等. 计算资源共享模式下的托管式数据中心群两阶段鲁棒优化模型[J]. 电网技术, 2022, 46(10): 4102-4115.

Cao Wangzhang, Li Bin, Qi Bing, et al. Two-stage robust optimization model of colocation data centers cluster under computing resource sharing mode[J]. Power System Technology, 2022, 46(10): 4102-4115.

[13] 崔科, 谢若怡, 张鑫, 等. 城镇中水用于数据中心冷却系统的研究[J]. 暖通空调, 2023, 53(8): 164-170.

Cui Ke, Xie Ruoyi, Zhang Xin, et al. Research on urban reclaimed water reused for data center cooling systems[J]. Heating Ventilating & Air Conditioning, 2023, 53(8): 164-170.

[14] 李东林, 左其亭, 马军霞. 基于不确定性双层规划的水资源配置及和谐评价[J]. 北京师范大学学报(自然科学版), 2020, 56(3): 350-360.

Li Donglin, Zuo Qiting, Ma Junxia. Water resources allocation and harmony evaluation-case of uncertain bi-level planning[J]. Journal of Beijing Normal University (Natural Science), 2020, 56(3): 350-360.

[15] 孙名轶, 赵霞, 武桢寓, 等. 5G基站与区域综合能源系统的水-能耦合与协同[J]. 中国电机工程学报, 2023, 43(15): 5903-5916.

Sun Mingyi, Zhao Xia, Wu Zhenyu, et al. Water- energy nexus and coordination between 5G base stations and regional integrated energy systems[J]. Proceedings of the CSEE, 2023, 43(15): 5903-5916.

[16] 程亨达, 陈焕新, 邵双全, 等. 数据中心冷却系统的综合COP评价[J]. 制冷学报, 2020, 41(6): 77-84.

Cheng Hengda, Chen Huanxin, Shao Shuangquan, et al. Comprehensive COP evaluation system for energy efficiency of data center cooling system[J]. Journal of Refrigeration, 2020, 41(6): 77-84.

[17] Baran M E, Wu F F. Network reconfiguration in distribution systems for loss reduction and load balancing[J]. IEEE Transactions on Power Delivery, 1989, 4(2): 1401-1407.

[18] 严奕陆, 刘文霞, 石庆鑫, 等. 基于电-水跨层耦合模型的城市电网脆弱性评估[J]. 电工技术学报, 2024, 39(16): 5075-5090.

Yan Yilu, Liu Wenxia, Shi Qingxin, et al. Vulnerability assessment of urban power grid based on electricity-water cross-layer coupling model[J]. Transactions of China Electrotechnical Society, 2024, 39(16): 5075-5090.

[19] Ji Haoran, Chen Sirui, Yu Hao, et al. Robust opera- tion for minimizing power consumption of data centers with flexible substation integration[J]. Energy, 2022, 248: 123599.

[20] 唐辉. 数据中心水冷自然冷却模拟研究与冷却系统参数分析[D]. 长沙: 湖南大学, 2018.

Tang Hui. Simulation and parameter analysis of water-side free cooling system in data center[D]. Changsha: Hunan University, 2018.

[21] 吴孟雪, 房方. 计及风光不确定性的电-热-氢综合能源系统分布鲁棒优化[J]. 电工技术学报, 2023, 38(13): 3473-3485.

Wu Mengxue, Fang Fang. Distributionally robust optimization of electricity-heat-hydrogen integrated energy system with wind and solar uncertainties[J]. Transactions of China Electrotechnical Society, 2023, 38(13): 3473-3485.

[22] 江岳文, 罗泽宇, 程诺. 基于线性化方法的交直流混合配电系统网架规划[J]. 电工技术学报, 2024, 39(5): 1404-1418.

Jiang Yuewen, Luo Zeyu, Cheng Nuo. Network planning of AC/DC hybrid distribution system based on linearization method[J]. Transactions of China Electrotechnical Society, 2024, 39(5): 1404-1418.

[23] Dong Yuchen, Zheng Weibo, Cao Xiaoyu, et al. Co- planning of hydrogen-based microgrids and fuel-cell bus operation centers under low-carbon and resilience considerations[J]. Applied Energy, 2023, 336: 120849.

[24] 赵霞, 武桢寓, 李欣怡, 等. 海水淡化厂与区域水-能耦合系统的协同调度[J]. 中国电机工程学报, 2024, 44(2): 573-586.

Zhao Xia, Wu Zhenyu, Li Xinyi, et al. Coordinated scheduling of seawater desalination plants and the water-energy nexus[J]. Proceedings of the CSEE, 2024, 44(2):573-586.

[25] 李鹏, 陈元峰, 周钱雨凡, 等. 电力市场环境下信息物理社会融合的电力系统优化调度[J]. 中国电机工程学报, 2023, 43(9): 3354-3366.

Li Peng, Chen Yuanfeng, Zhou Qianyufan, et al. Optimal dispatch of power system based on cyber- physical-social integration under the power market environment[J]. Proceedings of the CSEE, 2023, 43(9): 3354-3366.

[26] 林雨眠, 熊厚博, 张笑演, 等. 计及新能源机会约束与虚拟储能的电-热系统分布式多目标优化调度[J]. 电工技术学报, 2024, 39(16): 5042-5059.

Lin Yumian, Xiong Houbo, Zhang Xiaoyan, et al. Distributed multi-objective optimal scheduling of integrated electric-heat system considering chance constraint of new energy and virtual storage[J]. Transactions of China Electrotechnical Society, 2024, 39(16): 5042-5059.

[27] 曾博, 刘一贤, 张卫翔, 等. 综合考虑内外生不确定性的绿色数据中心多域资源协同规划方法[J]. 中国电机工程学报, 2024, 44(12): 4732-4748.

Zeng Bo, Liu Yixian, Zhang Weixiang, et al. A collaborative optimization approach for green data center multi-domain resource planning considering both endogenous and exogenous uncertainties[J]. Proceedings of the CSEE, 2024, 44(12): 4732-4748.

[28] 曹雨洁, 丁肇豪, 王鹏, 等. 能源互联网背景下数据中心与电力系统协同优化(二): 机遇与挑战[J]. 中国电机工程学报, 2022, 42(10): 3512-3527.

Cao Yujie, Ding Zhaohao, Wang Peng, et al. Coordina- ted operation for data center and power system in the context of energy Internet (Ⅱ): opportunities and challenges[J]. Proceedings of the CSEE, 2022, 42(10): 3512-3527.

[29] 雍维桢, 王建学, 薛霖, 等. 面向区域能源互联网的水-能协同优化: 综述与展望[J]. 电力系统自动化, 2023, 47(11): 185-199.

Yong Weizhen, Wang Jianxue, Xue Lin, et al. Water- energy collaborative optimization for regional energy Internet: review and prospect[J]. Automation of Electric Power Systems, 2023, 47(11): 185-199.

Research on Synergistic Planning of Data Center and Urban Electricity-Water Distribution Networks Considering Electricity-Water Interdependent Flexibility

Zeng Bo Meng Zishuai Dong Jialu Xu Xinzhu Ma Haotian

(State Key Laboratory of Alternate Electrical Power System with Renewable Energy Sources North China Electric Power University Beijing 102206 China)

Abstract With the rapid development of information technology such as cloud computing and artificial intelligence Internet of Things, Internet data center has become an emerging load node coupling urban power and water supply system. How to realize the organic coordinated development of IDC and urban distribution-water network has become an important topic for future urban planning. However, most of the existing studies only consider data center as a flexible resource for power load planning. However, the potential value of data center water load adjustability and water load uncertainty in system planning has not been fully tapped.

Firstly, considering the coupling of power consumption and water consumption of IDC and the flexibility of demand side, a collaborative planning method of data center and urban distribution-water network considering uncertainty is proposed. Then, the process of IDC data processing-power consumption-cooling-water consumption is modeled from the perspective of power-water coupling. With the goal of minimizing the total cost of system investment and operation, a robust optimization model of collaborative planning between IDC and urban power distribution-water network is established by considering the expansion of power distribution/water network, IDC capacity allocation and system operation, and taking into account the influence of multiple uncertainties such as renewable energy, power/water load and data load. Finally, according to the characteristics of the model, nested columns and constraint generation algorithms are used to solve the model efficiently.

Taking the modified IEEE-33-node distribution network and 13-node water distribution network coupling system as an example, the simulation analysis is carried out. In order to verify the value and effectiveness of the water-energy collaborative planning method of data center under the power-water coupling system proposed in this paper, four scenarios are designed according to the existing research, and the planning schemes and economic benefits obtained in different scenarios are compared and analyzed. It is found that the integrated planning of providing electricity/water DR service for distribution network/water distribution network should give full play to own flexibility. The absorption capacity of renewable energy in distribution network is improved, and the benefit of rational utilization of water resources is achieved. In addition, the influence factors of water consumption and uncertain factors on achieving these goals are analyzed in detail.

Through the simulation analysis, the following conclusions can be drawn: (1) Considering the collaborative planning of IDC water consumption and water distribution network planning, the system economy and environmental benefits will be significantly improved, and the consumption of renewable energy and the utilization of water resources will be promoted. (2) The development of water demand response potential is comprehensively influenced by the cooling water supply/return temperature of cooling system, the set temperature of chilled water supply/return and the setting of pump flow rate, and is closely related to the reservoir capacity and water purchase strategy. (3) The setting of uncertainty factors’ deviation coefficient and conservatism parameter has a profound influence on the system planning results, and higher robustness will lead to more expensive economic costs, so it is necessary to adjust the deviation coefficient and conservatism parameter to achieve the balance between robustness and economy of the planning model.

keywords:Data centers, urban power distribution grids, coupled electricity-water systems, demand response, water distribution networks.

中图分类号:TM715

DOI: 10.19595/j.cnki.1000-6753.tces.241930

国家自然科学基金(52177082)和北京市科技新星计划(20220484007)资助项目。

收稿日期 2024-10-28

改稿日期 2024-11-13

作者简介

曾 博 男,1987年生,副教授,博士生导师,研究方向为综合能源系统规划、电力信息物理社会系统分析与建模等。E-mail: alosecity@l26.com

孟自帅 男,2000年生,硕士研究生,研究方向为综合能源系统规划、数据中心建模等。E-mail: mengzs686@163.com(通信作者)

(编辑 郭丽军)