融合减碳型多能源微网的城市能源系统环境-经济协调优化模型

刘 硕1 滕 云1 陈 哲2

(1. 沈阳工业大学电气工程学院 沈阳 110870 2. 丹麦奥尔堡大学能源技术学院 奥尔堡 DK-9220)

摘要 针对城市“电-热-冷-气”多能源系统中可再生能源占比的快速增长,以及城市中环境治理设施与能源系统兼容协调要求的不断提高,该文提出一种基于减碳型多能源微网的城市多能源环境-经济协调优化模型。首先,研究高比例可再生能源供能特性与城市环境治理需求间的协调机理,提出并建立具有污水处理、垃圾处理等环境治理机能的减碳型多能源微网模型及其集群多能源协同模型;其次,考虑城市居民的能源需求与环境治理需求,研究减碳型多能源微网集群的多能源供能效益和环境治理效益间的相互影响机理,建立减碳型多能源微网的环境-经济综合效益量化模型;然后,以城市多能源节能率最大、系统污染物减排量最大和系统总运行成本最小为目标,建立了城市多能源系统能源环境综合效益优化模型及其求解算法;最后,搭建仿真模型进行验证,仿真结果表明该文所提方法有助于提升垃圾处理与污水治理效率和多能源供能收益。

关键词:减碳型多能源微网 环境治理机能 减污降碳能力 综合效益 NSGA-II算法

0 引言

随着城市化和居民生活水平的不断提高,城市居民生活产生的大量废物和多种能源的生产、消费过程,已经造成了严重的环境污染问题。根据2020年第75届联合国大会期间我国提出的争取2060年前实现“碳中和”目标[1]和2022年我国多政府部门发布的《减污降碳协同增效实施方案》[2],构建具有减污降碳能力的多能源微网或多能源系统,既能够满足城市居民电、气、热、冷等多种能源负荷需求,还能起到减少碳排放量、降低生活污染物对环境影响的环境治理作用,是未来城市能源系统发展与城市生态环境治理工作的方向之一[3-4]。因此,从城市污水、垃圾等废物可用于能源供给的可行性角度出发[5-8],研究利用生活污水和生活垃圾等污染物进行能源供给的方式,构建含垃圾、污水供能的减碳型多能源微网(Carbon-Reducing Multi-Energy Microgrids, CRMEM)的城市多能源系统,发挥CRMEM在城市能源利用、城市人居生态环境保护与治理中所能起到的作用,对于促进城市能源系统减污、降碳能力的提升有着重要的意义。

目前,关于城市多能源系统的研究主要集中于城市多能源系统规划、运行等方面。文献[9]采用多参数规划改进交替方向乘子法(Alternating Direction Method of Multipliers, ADMM),提出一种综合能源系统优化调度方法;文献[10]以新能源汽车充能站作为能源网络与交通网络的耦合节点,提出一种多能源系统综合资源配置与规划方法。同时,城市能源系统建设发展也必须考虑能源系统建设发展对城市人居生态环境的影响,文献[11-13]从经济角度和环境角度出发,分析了低碳型城市多能源系统发展模式和框架,明确了未来城市能源系统主要研究方向;文献[14]以城市能源系统为基础,从能源、经济和环境三个方面对城市多能源系统建设过程中所遇到的不确定性问题进行了建模研究;文献[15]以园区综合能源系统为研究对象,研究了一种园区综合能源系统双层优化调度方法;文献[16-17]以区域综合能源系统为研究对象,研究了多个能源系统间的能量管理博弈方法,并在此基础上提出了一种多区域能源系统低碳运行优化方法。

通过利用生活垃圾、污水等废物余能进行供能,能够起到减少城市生活废物排放、保护人居生态环境、提升城市多能源系统运行经济性的作用,并为城市大电网提供一定的可调节能力[6,8]。文献[18]通过建立分布式光伏-生物质发电-污水源热泵互补的多能源微网,实现了工业厂区能源系统的经济、节能运行;文献[19-21]通过利用污水源热泵,将污水中低品位的热能用于小区、商场空调及地铁站的供冷供热,并对整个能源系统供热供能效果、环境效果等作出评价,最终实现降低系统运行成本、节能减排的目的;文献[8]通过建立含垃圾处理与多源储能的多能源微网运行经济性模型,研究了“无废城市”中多能源微网优化运行问题;文献[22]通过建立含垃圾处理的无废充能服务区多源微网优化模型,提高了含垃圾处理的多能源微网运行经济性;文献[23]以一个含天然气、污泥、沼气、氢等资源形成的气-氢供能系统为研究对象,建立了考虑成本效益和环境友好性的气-氢供能系统多目标两阶段鲁棒模型;文献[24]通过构建含生物质沼气热电联产系统、电源热泵等在内的生态农业综合能源系统模型,研究了生态农业综合能源系统运行经济与碳减排的多目标优化调度方法。

然而,上述研究只是在能源系统中单独地将污水余能用于供热,或垃圾热解后用于供能,仍有几个问题需要解决:

1)单个污水驱动或废物驱动的多能源微网在系统容量和空间仍然有限,这对满足城市生活环境与多种能源供应之间的兼容性和协调性方面提出了挑战。

2)可以采用哪些策略来满足城市居民的能源供应和城市生态环境治理需求?具有“生态修复功能”的多能源微网是否能够满足上述要求?

本文从环境治理和生态修复的角度出发,首先研究具有一定污水治理和垃圾处理功能的减碳型多能源微网模型,建立了减碳型多能源微网能源-环境综合效益量化模型;其次提出了基于减碳型多能源微网的城市多能源供给与环境治理修复间协调优化方法,采用基于局部搜索的非支配排序遗传算法(Non-dominated Sorting Genetic Algorithms-II, NSGA-II)对所提出的方法进行求解;最后,选取东北某地区多能源系统运行数据和污水处理厂、垃圾处理厂数据,建立城市减碳型多能源微网集群仿真模型,对减碳型多能源微网的能源供给特性和其取得的环境治理修复效益进行了分析与验证。

1 具有减污降碳能力的多能源微网模型

1.1 减碳型多能源微网

CRMEM是一种具有减污降碳、环境治理机能的多能源微网系统。CRMEM利用废物处理设施(污水、垃圾处理设施)与其他多能源供能设备共同组成供能系统,并通过该系统将污水和垃圾处理、转换为可用的电、热、气能源以及中水和污泥。进一步,可以将电、热、气能源用于满足居民多种能源负荷需求,还可以将处理达标后的中水用于城市绿化用水、生活杂用水等,以及污泥用于土地堆肥(用于农业或其他用途),循环利用废物,共同起到降低污水排放量和垃圾填埋量、保护地下水的“生态保护与治理”效果,同时降低城市多能源系统运行成本。CRMEM示意图如图1所示。

width=222.75,height=110.85

图1 CRMEM示意图

Fig.1 Schematic diagram of CRMEM

根据废物处理设施类型的不同,本文主要研究污水供能-减碳型多能源微网(Sewage-Powered Carbon-Reducing Multi-Energy Microgrid, SPCRMEM)和垃圾供能-减碳型多能源微网(Waste-Powered Carbon-Reducing Multi-Energy Microgrid, WPCRMEM)。另外,对于CRMEM的范围,可以是行政划分的城市或城区范围,也可以是一个或几个居住小区、商场、工厂等范围。

总之,CRMEM是一个多能源微网系统,具有以下特点:①具有较大容量的新能源发电和多能源存储与转换设施;②具有污水、垃圾废物处理供能设施及环境治理、修复设施;③具有一定的满足居民生活能源消费与污水和垃圾处理、环境治理修复三者之间的协调能力。

1.2 污水供能-减碳型多能源微网模型

SPCRMEM的拓扑结构如图2所示,其由污水源热泵、发酵池、沼气发电机、PtG、储气装置、风电、光伏与蓄热/蓄冷设备组成,SPCRMEM同时与大电网、天然气网、热网相链接。中水与污泥处理过程如图3所示。

width=227.7,height=200.7

图2 SPCRMEM拓扑结构

Fig.2 Topology of SPCRMEM

width=227.7,height=144.75

图3 中水与污泥处理流程

Fig.3 Treatment processing of reclaimed water and sludge

城市原生污水首先经过格栅过滤、沉淀等环节的处理后,得到平均温度在12~16℃以上的中水[19-20],再将其输送至热泵提取其中的热量,并使排放水温低于5℃。然后,热泵将提取的热量通过管网输送至居民生活区,满足城市居民用冷、用热需求,也可存储于蓄热/蓄冷设备,或输送至发酵池,用于污泥发酵制沼气。另外,污水处理过程中过滤、沉淀所得到的污泥输送至发酵池,并保持发酵池温度在20~45℃,以进行厌氧发酵制沼气[25],产生的沼气经脱硫后可直接满足用气需求,也可储存于储气设备,或供给沼气发电机发电,产生的电能输送给污水处理厂用于污水处理或直接满足居民用电需求;沼气发电机发电过程产生的热量可通过余热回收装置回收利用,用于保持发酵池发酵温度恒定[26]。最后,供热/供冷结束后的中水,经管道输送用作城市绿化用水、生活杂用水或者工业冷却用水等;污泥经发酵后,可经过浓缩、脱水等过程,外运作为建筑材料等原材料;由于发酵后的污泥富含的大量微生物,有利于促进植物生长,污泥也可以进行土地堆肥,加速城市周围土壤环境生态发展。城市居民产生的SPCRMEM处理、供能,充分利用污水中的可再用余能,实现城市污水、污泥无害、资源化利用和污水减量排放,提高污水处理能力,保护地下水。

考虑污水处理厂的日污水处理能力和系统供暖/供冷管网供回水温差,计算系统中污水源热泵能够提供的热/冷功率,具体为

width=133.05,height=28 (1)

式中,QSSHP为污水源热泵提供的热/冷功率;C为污水比热容,此处近似取C=4.2×103J/(kg·℃);M为处理后中水流量;width=12,height=15为污水源热泵冷凝器的换热系数,取0.98;COP为污水源热泵能效比;DT为中水经换热后的温降。

蓄热/蓄冷设备可将污水源热泵产生的多余热/冷能进行存储或者释放,所以忽略设备内部其他复杂过程的影响,且只考虑蓄能设备的进出水温度和流量,计算其蓄热/蓄冷功率为

width=110,height=19 (2)

式中,Qxu为蓄热/蓄冷设备的蓄热/蓄冷功率;ρxu为设备内部蓄能媒介的密度;vxu为蓄能媒介的流速;Sxu为蓄能媒介的管流面积;Cxu为蓄能媒介的比热容;TjTc分别为设备进、出水温度。

城市污水经处理后剩余的污泥输送至发酵池产生沼气,其可发酵的污泥量[27]与发酵产生的沼气功率为

width=181.55,height=31 (3)
width=51.5,height=15 (4)

式中,QFP为发酵池进行发酵的污泥量;λc为输送进沉淀池的污水悬浮物浓度;α为污泥含水率;ρ1为沉淀池污泥密度;hc为沉淀池沉淀效率;Y为污泥产率系数;Kd为温度Th时污泥中微生物衰减系数[25],其值受到微生物种类、环境温度的影响,20℃时Kd取为0.04~0.075;width=13.5,height=18为温度系数,取值范围为1.02~1.06;VFP为发酵池容积;λFP为发酵池内挥发性悬浮物浓度;width=14,height=15为发酵制沼气的功率;width=15.5,height=15为发酵产气率。

对于SPCRMEM设备能耗问题,主要考虑污水源热泵中压缩机耗电和其他水泵耗电,可按式(5)计算。

width=127.5,height=30(5)

式中,PSPCRMEM为SPCRMEM设备耗电功率;hSPCRMEM为压缩机机械效率;Pother为其他水泵耗电功率。而对于沼气发电机组来说,可将其视为气-电转换单元,其等效模型为

width=54,height=15 (6)

式中,PBG为沼气发电功率;hBG为沼气发电效率;QB1为沼气发电机组的进气功率。

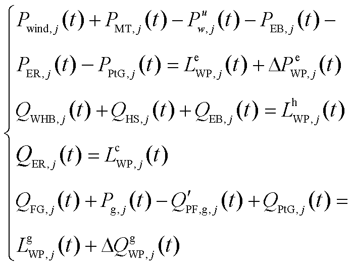
1.3 垃圾供能-减碳型多能源微网模型

WPCRMEM拓扑结构如图4所示,其由热解炉、微燃机、PtG、余热锅炉、电制冷器、电锅炉、储气、储热等多能源设备组成,并与大电网、天然气网、热网相链接,通过不同形式能源的转换与存储,为居民生活区供能。垃圾热解流程如图5所示。

width=225.2,height=198.2

图4 WPCRMEM拓扑结构

Fig.4 Topology of WPCRMEM

width=200.45,height=120.5

图5 垃圾热解流程

Fig.5 Processing of waste pyrolysis

垃圾处理厂将收集的城市人居生活垃圾进行分拣、破碎及干燥,并设定热解温度在500~650℃、过量空气系数在0.4左右的垃圾热解参数,送入垃圾热解炉进行热解气化。热解完成后,产生的可燃气体经脱硫储存后,满足居民用气需求,或用于微燃机发电,为居民生活区供电;不可燃的高温热气和微燃机产生的高温烟气经余热锅炉热量回收后,满足居民用热需求。WPCRMEM的供能过程为

width=137,height=110.45 (7)

式中,QPF,gwidth=18,height=16.5PMTwidth=19,height=16.5QWHB分别为垃圾热解产气功率、热解炉可回收余热功率、微燃机发电功率、微燃机可回收余热功率、余热锅炉供热功率;Mw为垃圾处理厂垃圾处理量;aw为垃圾可热解的比例;width=13.5,height=16.5为热解单位质量的垃圾所消耗的电功率;width=15.5,height=15为垃圾热解炉热解效率;LHVw为垃圾低热值;hPF,loss为热解炉热量损失率;width=18.5,height=15为微燃机发电效率;width=22,height=18为微燃机进气功率;HCVNG为天然气高热值;width=29,height=15.5为微燃机热量损失率;width=23,height=15为余热锅炉供热效率。

另外,WPCRMEM中的电锅炉与电制冷器,可通过电制热、电制冷方式为居民生活区进行供热供冷,PtG设备用于保证系统居民用气需求,上述模型可参考文献[8,28]。

1.4 城市减碳型多能源微网集群模型

城市减碳型多能源微网集群(Urban Carbon-Reducing Multi-Energy Microgrid Cluster, UCRMEMC)是由城市多能源系统,结合城市内部或周边全部污水处理厂、垃圾填埋场构建的SPCRMEM和WPCRMEM,共同形成的一个网络化结构的微网集群体。UCRMEMC的网络化结构示意图如图6所示。SPCRMEM和WPCRMEM可以通过采取价格激励机制,吸引城市居民在维持自身用能需求的前提下调整其多能源消费特性[28],使得SPCRMEM和WPCRMEM的多种能源输出达到多时间尺度上的集群协同调节。进一步,通过城市居民生活多种类能源供需与城市环境保护治理需求间的协调、优化,提高城市生活污水、垃圾处理能力和环境治理能力,提高城市多能源系统运行的经济性。

width=185.85,height=290.8

图6 网络化结构示意图

Fig.6 Networked structure schematic diagram

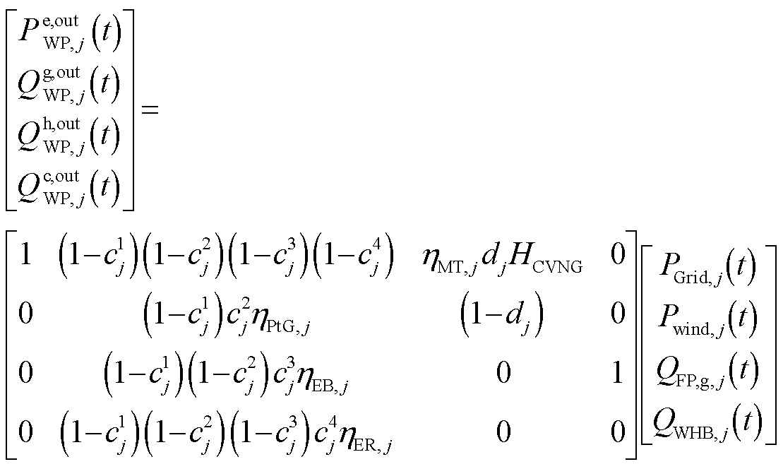
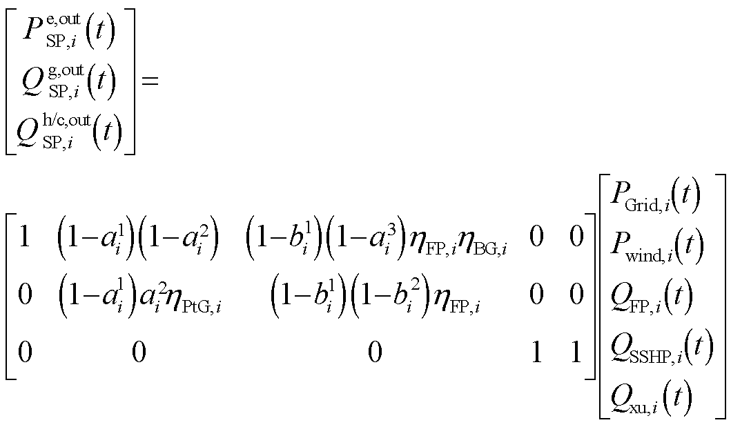
考虑污水处理厂、垃圾处理厂的实际污水与垃圾处理能力、微网系统内部设备实际运行效率的差异性,分别建立SPCRMEM和WPCRMEM的输入-输出模型。

width=231.1,height=135 (8)

式中,Pe,out SP,i(t)、Qg,out SP,i(t)、Qh/c,out SP,i(t)分别为t时刻第i个SPCRMEM的输出电功率、输出气功率、输出热/冷功率;PGird,i(t)、Pwind,i(t)、QFP,i(t)、QSSHP,i(t)、Qxu,i(t)分别为t时刻第i个SPCRMEM向外电网获取的电功率、风机光伏输出电功率、制沼气功率、污水源热泵可提供热/冷功率、蓄热/蓄冷功率;a1 ia2 ia3 i分别为t时刻第i个SPCRMEM内电网电能分配给污水处理厂、PtG及沼气发电机输出的电能分配给污水处理厂的电能分配系数;b1 ib2 i分别为t时刻供给沼气发电机的沼气量比例系数和储气量比例系数;hPtG,ihFP,ihBG,i分别为第i个SPCRMEM中PtG设备制气效率、沼气发酵产气率、沼气发电效率。

width=241.9,height=145 (9)

式中,Pe,out WP,j(t)、Qg,out WP,j(t)、Qh,out WP,j(t)、Qc,out WP,j(t)分别为t时刻第j个WPCRMEM输出电功率、输出气功率、输出热功率、输出冷功率;PGrid,j(t)、Pwind,j(t)、QFP,g,j(t)、QWHB,j(t)分别t时刻第j个WPCRMEM向外电网获取的电功率、风机光伏输出电功率、垃圾热解产气功率、余热锅炉供热功率;c1 jc2 jc3 jc4 j分别为第j个WPCRMEM中电网分配给垃圾处理厂、PtG、电锅炉、电制冷器的电能分配系数;dj为微燃机供气量比例系数;hPtG,jhEB,jhER,j分别为第j个WPCRMEM中PtG制气效率、电锅炉制热效率、电制冷器制冷效率。

单个SPCRMEM,或者WPCRMEM在集群调度过程中所具有的调节能力为

width=133.45,height=51.5(10)

式中,Dk(t)为t时刻第k个CRMEM所具有的调节能力;Xe k(t)、Yg k(t)分别为t时刻第k个CRMEM的电、气调节能力决策变量;Le kLg k分别为第k个CRMEM供能区域居民电负荷功率、气负荷功率;Pe,out kQg,out k分别为第k个CRMEM可提供电功率和气功率。

决策变量Xe kYg k可用于判断第k个CRMEM的输出电能、气能是否满足该微网供能区域居民负荷需求。若无法满足负荷需求,则第k个CRMEM对应的决策变量值取0,说明该微网无法参与UCRMEMC调节;否则取1,说明该微网能够参与UCRMEMC调节。width=15,height=15.5width=14,height=15.5可表示为

width=120,height=73.5 (11)

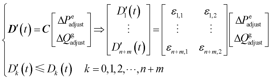
形成UCRMEMC后,当城市中某一时刻下某一区域负荷供应不足,或者此时系统需要对风电、光伏进行消纳时,通过CRMEM间的协调调节,或CRMEM集群与城市多能源系统之间的协调调节,能够满足此时系统负荷供给需求或者风光消纳需求。相关函数模型可表示为

width=236.45,height=70 (12)

式中,DPeadjust、DQgadjust分别为UCRMEMC需要调整的不平衡电功率和不平衡气功率;C为功率调节分配系数矩阵的逆矩阵;width=24,height=15.5为集群系统中各微网实际提供的调节能力矩阵;e为功率调节分配系数逆矩阵中的元素。

建立UCRMEMC能量协调模型为

width=220,height=35 (13)
width=207,height=208
width=229,height=67.45
width=199.6,height=67.45(15)
width=200,height=135

式中,L*为城市居民多种类型负荷功率矩阵;RSPCRMEMRWPCRMEM分别为SPCRMEM、WPCRMEM的储能设备充能功率矩阵;PSPCRMEMPWPCRMEM分别为SPCRMEM、WPCRMEM的输出功率矩阵;AB分别为SPCRMEM、WPCRMEM的能量耦合矩阵;CSPCRMEMCWPCRMEM分别为SPCRMEM、WPCRMEM的储能设备放能功率矩阵;kili分别为第i个SPCRMEM内的热泵供热、供冷决策变量,ki=0且li=1表示热泵用于供冷,ki=1且li=0表示热泵用于供热。

2 城市减碳型多能源微网集群综合效益量化模型

CRMEM在供能的同时,又可利用环境治理修复设施对产生的污染物进行处理或再利用,减少城市污水的排放量和垃圾填满量,有利于城市周边土壤资源和水源的生态发展,在一定程度上满足了城市居民能源需求与环境治理需求。这表明CRMEM能够分别在多能源供给和环境治理修复方面取得部分效益。因此,建立UCRMEMC综合效益量化模型,具体如下。

2.1 多能源供给效益量化模型

为了方便分析,首先设定一个常规城市能源供给方案,作为CRMEM的多能源供给效益对比场景。其中,常规城市能源供给方案:电能完全由外电网购得,天然气由天然气网购得,热负荷采用燃气锅炉进行集中供热,冷负荷由常规冷水机组和空调机组提供。另外,假定集中供热系统中,从热源至用户端,整个供热网络的热能损失为8%,集中供热系统的能效比为0.92,供电、供气系统的部分数据及系统能效可以参考文献[28]。

1)一次能源节能效率

CRMEM利用多种设备开发和利用污水、垃圾“废物”余能进行供能,可减少从外电网购入的电能和从天然气网购入的天然气。相比于常规城市能源供给方案,等同于节约了部分一次能源的购入。所以,集群系统的一次能源节能率为

width=97.55,height=31(17)

式中,m1为系统一次能源节能率;Qsp为常规城市能源供给系统的一次能源总消耗量;QNEC为UCRMEMC购入的电能、天然气总量。

2)可再生能源利用率

CRMEM的可再生能源利用率是指系统可再生能源利用总量与系统能源消耗总量之间的比值,即

width=68.5,height=28 (18)

式中,m2为系统可再生能源利用率;width=15,height=15为系统可再生能源利用总量;width=13,height=15为系统能源消耗总量。

3)系统供热/供冷时单位面积能源消耗量

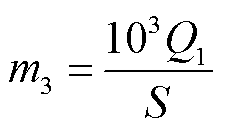
UCRMEMC的系统供热/供冷单位面积能源消耗量是指CRMEM或常规城市能源供给系统为居民进行供热、供冷时,单位面积所需消耗的能源量。计算式为

width=49,height=28 (19)

式中,m3为系统供热/供冷时单位面积能源消耗量;Q1为系统总的供热/供冷量;S为系统供能区域面积。

2.2 环境治理修复效益量化模型

1)污染物减排量

在能源供给过程中,能源的转换与利用会产生COx、SOx、NOx等污染物,其排放量的多少会直接影响城市居民环境空气质量的高低。所以,选定系统COx、SOx、NOx污染物的减排量[29],对UCRMEMC和常规城市能源供给系统的污染物排放情况进行分析,量化各自具有的污染物减排能力。污染物减排量的计算式为

width=234.45,height=59 (20)

式中,m4为系统COx、SOx、NOx污染物减排量;Fsp为常规城市能源供给系统COx、SOx、NOx污染物排放量;Fa(Pi,t)为UCRMEMC的第a种污染物排放量;a为污染物种类,a∈{COx、SOx、NOx};width=24,height=15.5width=22,height=15.5width=24,height=15.5分别为沼气发电机、微燃机、热解炉的污染物单位排放量。污染物排放系数见表1[30-31]

表1 污染物排放系数

Tab.1 Pollutant emission parameters (单位:g/MJ)

排放系数沼气发电机微燃机热解炉 COx140.56176.673.75 SOx6.124.472.33 NOx0.1410.29190.15

2)污水减排率

污水减排率用于分析CRMEM在污水处理方面所能具有的效益。污水减排率值越大,则表明CRMEM所具有的污水处理能力越强,对城市环境治理修复起到的支撑作用越强。计算式为

width=92,height=30 (21)

式中,m5为污水减排率;M3为城市污水总量;M4为经微网集群系统供能、再利用后的排放污水总量。

3)垃圾填埋比例

垃圾填埋比例是指城市生活垃圾填满量占整个生活垃圾总量的比例。如果垃圾填埋比例越小,表明CRMEM所具有的垃圾处理能力越强,垃圾填满后对城市生态环境的影响越低[32]。计算式为

width=92,height=30 (22)

式中,m6为垃圾填埋比例;M5为城市生活垃圾总量;M6为WPCRMEM中热解炉热解垃圾总量。

4)水体污染物浓度

污水经过处理后,排放至城市周边的河道或水库水体中。虽然在一定程度上降低了水中重金属等污染物的比例,但一段时间后仍可能会对周围生态环境产生影响。可采用水体中污染物浓度值量化CRMEM在污水处理与中水再利用方面的环境治理修复效益。水体中污染物浓度值越低,微网具有的环境治理修复效益越高[33]。计算污水排放后水体中污染物浓度时,做如下假定:①城市中处理后的污水经过管道排放至同一个水库;②污水排入水库后,污染物扩散至整个水库面;③出入水库的水流量保持稳定,且不计入某一时间段内水库水量的损失。

城市污水经过处理后排放入水库水体,一定时间段后的水体污染物浓度为

width=211,height=33.5 (23)

式中,m7为水体污染物浓度;c4为处理后污水的污染物浓度;M4为经微网集群系统供能、再利用后的排放污水总量;c0为水库原有污染物浓度,该值可利用仪器测得;ML为水库出流量;K为污染物在水库中的综合降解速度;V为水库设计条件下的容积;width=8,height=15为计算时长。

5)土壤有机质含量

土壤有机质是土壤养分的主要来源,包含植物生长所需的各种养分,可以提供氮、磷、钾等微量元素,同样也是土壤微生物所需的能量和养分的来源。此外,土壤有机质能够促进团聚体的形成,提高土壤的透气性和持水保肥能力,改良土壤的理化性质[34]。所以,土壤有机质含量的多少能够直接反映城市土壤生态质量的程度。

CRMEM可以将发酵后的污泥进行土地堆肥,提高原有堆肥区域土壤的有机质含量,对城市环境治理修复起到一定的作用。因此,通过计算堆肥区域土壤有机质含量的变化情况,研究CRMEM对城市周边土壤环境治理修复的影响。此处计算时假定发酵后的污泥用于堆肥在同一片土壤区域,且污泥堆肥一次后间隔一定时间段可再次进行堆肥。土壤有机质含量为

width=150.95,height=28 (24)

式中,m8为土壤有机质含量;M8为污泥堆肥区域土壤量;width=16,height=15为堆肥污泥比例;width=16.5,height=15为微网内发酵完成后的污泥量;φ为进行堆肥时污泥与原区域土壤的混合系数;width=9,height=10.5为堆肥区域植物与农作物消耗土壤中有机质含量的比例;β为堆肥区域土壤中有机质的降解、消散率。

3 城市多能源系统“能源-环境”综合效益优化模型

本文以系统一次能源节能率最大、系统污染物减排量最大和系统总运行成本最小为优化目标,建立城市多能源系统能源-环境综合效益优化模型。该优化模型的本质是在处理城市居民生活污水和生活垃圾的基础上,利用废物处理设施及供能设施,实现UCRMEC能源供给能力与环境治理能力的协调、融合发展。

3.1 目标函数

优化目标

width=66.55,height=15(25)
width=68,height=15 (26)
width=218.55,height=19 (27)

式中,F1为系统一次能源节能率;F2为系统污染物减排量;F3为系统总的运行成本;FSPCRMEMFWPCRMEM分别为SPCRMEM、WPCRMEM的运行成本;Fwater为中水、污泥再利用效益;Fwaste为垃圾处理可获得的收益;FR为CRMEM参与电网、气网调节所获得的补偿。

1)计算SPCRMEM的运行成本,除了考虑系统内部污水源热泵、沼气发电机等设备运行成本外,还应考虑微网供电、供气、供热/供冷收益。具体为

width=237,height=45 (28)

式中,T为优化周期;n为SPCRMEM的数量;C1C2C3分别为污水源热泵耗电成本、PtG运行成本及沼气发电成本;C4C5分别为t时刻蓄热/蓄冷设备的蓄热/蓄冷成本和储气设备运行成本;PPtG,i(t)为PtG耗电功率;Pg,i(t)为储气设备运行功率;C6C7C8分别为SPCRMEM供电、供气、供热/供冷单位收益。

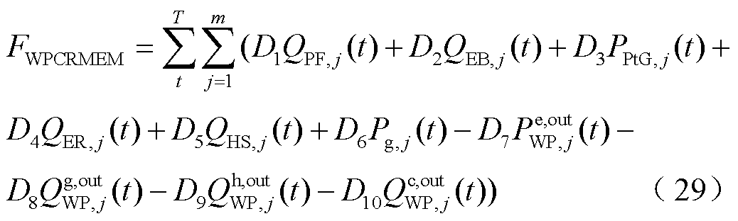
2)WPCRMEM的运行成本包括系统内部热解炉、电锅炉等设备运行成本,以及WPCRMEM供电、供气、供热、供冷收益,即

width=226.45,height=68

式中,m为WPCRMEM的数量;D1D2D3D4分别为热解炉运行成本、电锅炉制热成本、PtG运行成本、电制冷器制冷成本;D5D6分别为储热设备运行成本和储气设备运行成本;PEB,j(t)、PER,j(t)、PPtG,j(t)、QHS,j(t)、Pg,j(t)分别为WPCRMEM中电锅炉、电制冷器、PtG、储热设备及储气设备运行功率;D7D8D9D10分别为WPCRMEM供电、供气、供热、供冷单位收益。

3)中水、污泥再利用收益

SPCRMEM中,处理后的中水和发酵后的污泥再利用,会获得部分收益,有

width=157.45,height=28 (30)

式中,Qwater SP,i(t)、Qslduge SP,i(t)分别为供能后的中水总量、发酵完成后的污泥总量;α1α2分别为中水、污泥的再利用收益系数。其中,中水再利用的收益系数α1受中水质量和中水利用水平的影响,其关系为

width=81,height=51.5 (31)

式中,Z为政府为保护水资源、提高水资源利用率所采取的政策;ph为再利用中水的质量,如再利用中水的BOD、COD等指标;R(Z)为城市居民对再利用中水的接受度;X为中水再利用水平,不仅与中水质量ph有关,且与达到可再利用时的中水质量所消耗的资源成本Y(ph)有关。

当考虑城市居民环境需求后,采取相应的支持政策及保护政策,促进具有减污降碳能力的多能源微网发展,可再利用中水的质量水平和城市居民对可再利用中水的接受度也会相应提高,中水的利用水率增加,污水排放量降低,同时中水再利用获得一定收益。

4)垃圾处理收益

WPCRMEM处理城市生活垃圾会获得一定收益,其主要与热解炉热解垃圾量有关,即

width=112.55,height=30 (32)

式中,αw,j为可热解垃圾比例;Mw,j(t)为WPCRMEM的垃圾处理量;α3为热解炉处理垃圾的收益系数。

5)调节补偿

CRMEM除了满足城市居民多种能源负荷需求外,所形成的集群系统又可参与大电网、气网的响应调节,为其提供一定的调节能力,应获得一定的补偿。可表示为

width=81,height=28 (33)

式中,α4为第k个CRMEM参与调节所得的单位补偿;Dk(t)为t时刻第k个CRMEM具有的调节能力。

3.2 约束条件

1)SPCRMEM运行约束

(1)功率平衡约束

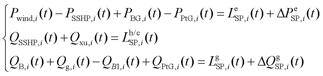
width=235,height=55.5 (34)

式中,DPe SP,i(t)、DQg SP,i(t)分别为SPCRMEM的实际可调节电功率、可调节气功率;Le SP,i(t)、Lg SP,i(t)、Lh/c SP,i(t) 分别为SPCRMEM供能区域居民负荷电功率、气功率、热/冷功率。

(2)机组出力约束

width=120,height=70 (35)

式中,Pmin wind,iPmax wind,iQmin SSHP,iQmax SSHP,iQmin B,iQmax B,iPmin BG,iPmax BG,i分别为污水处理厂的光伏风电出力、污水源热泵出力、发酵制沼气功率和沼气发电出力的最小、最大值。

width=103.55,height=37(36)

式中,DPe,max SP,iDQg,max SP,i分别为SPCRMEM参与电、气网调节的电、气可调节功率最大值。

2)WPCRMEM运行约束

(1)功率平衡约束

width=152,height=114.95 (37)

式中,DPe WP,j(t)、DQg WP,j(t) 分别为WPCRMEM的实际可调节电功率、可调节气功率;Le WP,j(t)、Lg WP,j(t)、Lh WP,j(t)、Lc WP,j(t) 分别为WPCRMEM供能区域居民负荷电、气、热、冷功率;PEB,j(t)、PER,j(t)分别为电锅炉、电制冷器的耗电功率;width=38,height=18为微燃机进气功率。

(2)设备出力约束

width=112.55,height=107 (38)

式中,Pmin wind,jPmax wind,jQmin FG,jQmax FG,jPmin MT,jPmax MT,jQmin EB,jQmax EB,jQmin ER,jQmax ER,j分别为WPCRMEM中风电光伏出力、热解炉产气功率、微燃机发电功率、电锅炉和电制冷器运行功率的最小、最大值。

(3)可调功率约束

width=107,height=38.5 (39)

式中,DPe,max WP,jDQg,max WP,j分别为WPCRMEM参与电、气网调节的电、气可调节功率最大值。

3)储能设备运行约束及PtG设备运行约束

(1)储能设备运行约束

width=95,height=38.5 (40)

式中,Pmaxg,k为储气设备的最大储气功率;pg,k(t)为储气设备的运行压力;width=20,height=17.5width=20.5,height=16分别为储气设备的运行压力最小、最大值。

width=85.5,height=37(41)

式中,Qmax xu,i为蓄热/蓄冷设备的最大蓄热/蓄冷功率;Exu,i(t)为蓄热/蓄冷设备的容量;Emaxxu,i为蓄热/蓄冷设备的容量最大值。

width=88.45,height=38.5 (42)

式中,Qmax HS,j为储热设备的最大储热功率;EHS,j(t)为储热设备容量;Emax HS,j为储热设备容量最大值。

(2)PtG设备能量转换关系

PtG设备的转换关系及约束为

width=103.55,height=51.5(43)

式中,QPtG,k(t)为第k台PtG设备的天然气输出功率;PPtG,k(t)为第k台PtG设备的耗电功率;Pmax PtG,k为第k台PtG设备的耗电功率最大值;width=29,height=15为天然气体的高热值。

4)系统气网管网流量动态约束

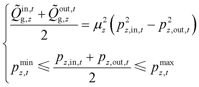
width=138.55,height=60.5 (44)

式中,width=20,height=18.5width=23,height=18.5分别为管道z进、出口天然气的平均流量;μz为管道z的物理特性常数;pz,in,tpz,out,t分别为管道z进、出口压力值;width=20,height=18width=20.5,height=18为管道z压力的最小、最大值。

3.3 基于局部搜索的NSGA-II算法求解

针对本文研究的UCRMEMC综合效益优化问题,求解时除了要考虑系统运行的经济性,还要保证城市居民的环境治理需求。同时,优化过程中的控制变量相互制约,优化目标函数较为复杂,运算数据量较大。NSGA-II[35-36]作为一种启发式优化算法,能够较好地处理上述优化求解过程中遇到的求解参数繁多、求解过程复杂的问题,但NSGA-II算法存在求解收敛速度较慢的缺点。为此,本文采用局部搜索的思想,确定NSGA-II算法求解过程中的搜索区域及区域中心,并对满足搜索区域范围的寻优种群个体进行优化,以提高迭代种群向最优解集收敛的速度,实现快速求解UCRMEMC综合效益优化问题的最优解的目标。

1)区域中心

采用局部搜索算法优化NSGA-II算法求解过程,首先需要确定局部搜索区域的区域中心,具体如下:

假定当前迭代至第x代,此时UCRMEMC系统的输出功率矩阵种群为Px,优化目标函数为y

(1)对于输出功率矩阵种群Px中的每个输出功率个体Px,i,另设定PZi和ZSi,PZi表示为被输出功率个体Px,i支配的输出功率矩阵种群个体集合,ZSi为支配个体Px,i的输出功率矩阵种群个体规模。进一步地,将所有ZSi=0的输出功率矩阵种群个体所组成的集合记为width=14,height=16,并称为1级非支配解集。

(2)对输出功率矩阵种群Px进行非支配排序、拥挤度排序,此时1级非支配解集为当前输出功率矩阵种群的非支配解集。

(3)依据输出功率矩阵种群Px的拥挤距离排序结果,局部搜索区域交界点的数量为优化目标函数个数Num,非支配集Px1中前Num个输出功率个体为交界点,第Num+1个输出功率个体为稀疏点,对应Num个局部搜索区域交界区域的中心和稀疏区域的中心。

NSGA-II算法求解过程中,设定以局部搜索区域交界区域交界点和稀疏点为中心进行局部搜索。

2)局部搜索

确定了局部搜索区域中心之后,进行NSGA-II算法求解过程中的局部搜索步骤。过程如下:

假定算法当前求解迭代至第x代输出功率矩阵种群Px,种群内输出功率个体为(Px,1,Px,2,…,Px,i,…, Px,N),N为输出功率矩阵种群个体规模。同时,确定局部搜索区域中心解为P* x=(P* x,1, P* x,2, …, P* x,i, …, P* x,num),num为优化目标函数中决策变量的数量。进行局部搜索,生成局部搜索解的个数为[0.2N]。局部搜索过程为

width=178.45,height=18 (45)
width=148.55,height=18 (46)

式中,width=18,height=18为局部搜索生成的解;width=20,height=15为局部搜索区域范围约束参数;width=49,height=15为区间(-φtime,φtime)内的随机数;pmin,ipmax,i分别为优化目标函数决策变量的最小值、最大值。

3)搜索范围动态调整

为了能够更好地优化局部搜索算法的求解能力,对NSGA-II算法求解过程的局部搜索范围进行动态调整,过程为

width=132,height=35 (47)

式中,time为NSGA-II算法的执行时长;Top,max为优化模型求解的最长优化时间,time∈[0,Top,max]。

综上所述,基于局部搜索的NSGA-II算法求解本文优化模型的流程如图7所示。详细流程步骤见附录中第2节。

4 算例仿真

4.1 算例说明

本文选取东北某地区多能源系统实际运行数据,以及当地各污水处理厂污水处理量数据、垃圾处理厂垃圾处理量数据,搭建UCRMEMC系统仿真模型,进行基于CRMEM的城市多能源供给与环境治理修复效益仿真验证,并根据仿真结果对CRMEM多能源供能效益和环境治理修复效益进行分析并优化。

width=214.05,height=345.15

图7 求解流程

Fig.7 Flow chart of solution

图8为所选取的东北某地区实际地理位置示意图和该地区所对应的多能源系统拓扑。其中,各类型供能区域网格边界节点及其电、热、气网供能节点数据见表2、表3,其包含16个住宅区供能区域网格(H1~H16)、5个商务区供能区域网格(B1~B5)、5个办公区供能区域网格(W1~W5)和7个工业区供能区域网格(G1~G7)。另外,分别在供能区域网格边界节点6、17、28、39处设置SPCRMEM,节点8、30、32处设置WPCRMEM。各垃圾处理厂、污水处理厂相关数据见表4、表5,相关设备的效率参数见表6。CRMEM的其他技术和成本参数见表7。

width=228.95,height=211.95

图8 地区地理位置示意图及对应多能源系统拓扑

Fig.8 Schematic diagram of the region geographical location and corresponding topology of multi-energy system

表2 供能区域网格边界节点

Tab.2 Grid boundary nodes of energy supply areas

供能区域网格边界节点电网供能节点热网供能节点气网供能节点供能区域网格边界节点电网供能节点热网供能节点气网供能节点供能区域网格边界节点电网供能节点热网供能节点气网供能节点 H14,5,10,13,9482H1220,21,27,31271121W212,13,16,15795 H23,4,9583H1327,28,32,31251120W315,16,24,2317105 H33,9,12,15,8643H1428,29,34,39,33141910,11W421,28,27261119,20 H413,10,17,16264H1530,35,39211713W528,33,38,32241215 H516,17,25,2419106H1633,39,41,40,38232014,16G15,11,17,10171 H62,3,8,14,781,424B18,15,23,221255,23G211,18,25,17367 H71,2,7,69125B222,23,29,2813510,19G324,25,26,301810,17,188 H86,7,14,1910222,23B319,22,28,21283,519G426,25,35,302017,189 H914,8,22,1911523B434,30,39151811G531,32,37,363213,1418 H106,19,21,2029322B539,35,42,41221612G632,38,37301516 H1123,24,30,34,29161810W19,13,12338,9,43G737,38,40311517

表3 各类型供能区域网格面积

Tab.3 Grid area of each type of energy supply area

供能区域网格网格面积/(104m2)供能区域网格网格面积/(104m2)供能区域网格网格面积/(104m2) H140.1H1237.0W242.1 H229.34H1344.8W341.1 H348.7H1446.7W427.9 H441.3H1541.5W543.6 H542.4H1653.8G142.3 H652.1B141.8G251.9 H739.7B238.7G338.7 H837.6B340.2G438.9 H941.9B421.9G545.1 H1036.9B565.3G629.6 H1139.9W126.4G730.3

表4 垃圾处理厂相关数据

Tab.4 Relevant data of waste treatment plants

编号垃圾处理厂所在位置(边界节点)设计垃圾处理能力/(104t/d)接入供能节点 电网节点热网节点气网节点 1WPCRMEM182008424 2WPCRMEM23018016189 3WPCRMEM332240301316

表5 污水处理厂相关数据

Tab.5 Relevant data of sewage treatment plants

编号污水处理厂所在位置(边界节点)污水处理规模/(104t/d)污泥预计产量/(t/d)污水温度/℃理论可提取热量/(MW/h)①理论供热面积/(104m2)②接入供能节点 冬季夏季电网节点热网节点气网节点 1SPCRMEM11710076818~2025~26187.30421.42266 2SPCRMEM26604611421~-22112.38252.8510222 3SPCRMEM3284030713~1722103.02231.78141219 4SPCRMEM4393023013~-172274.92168.57231911

注:①理论可提取热量计算公式中,经换热后中水的温降DT=5℃计算;②可供热面积按地区冬季室内温度达18℃时供暖热负荷为40 W/m2计算。

表6 相关设备效率参数

Tab.6 Efficiency parameters of related equipment

设备参数微网类型 SPCRMEM1SPCRMEM2SPCRMEM3SPCRMEM4WPCRMEM1WPCRMEM2WPCRMEM3 污水源热泵能效比4.684.684.684.68——— 沼气发电机发电效率0.350.350.350.3——— PtG0.60.50.50.50.60.60.6 沼气发酵产气率7.867.547.547.54——— 压缩机机械效率0.90.90.90.9——— 其他水泵耗电功率/kW66.5458.0459.6047.30——— 垃圾热解炉热解效率————0.750.80.8 微燃机发电效率————0.350.350.35 余热锅炉供热效率————0.750.80.8 电锅炉制热效率————2.62.62.6 电制冷器制冷效率————4.04.04.0

表7 其他技术和成本参数

Tab.7 Other technical and cost parameters

参数数值参数数值 C1/[元/(MW×h)]180D4/[元/(MW×h)]613 C2/[元/(MW×h)]60D5/[元/(MW×h)]140 C3/[元/(MW×h)]430D6/[元/(MW×h)]120 C4/[元/(MW×h)]160D7/[元/(MW×h)]430 C5/[元/(MW×h)]120D8/[元/(MW×h)]280 C6/[元/(MW×h)]480D9/[元/(MW×h)]198 C7/[元/(MW×h)]260D10/[元/(MW×h)]276 C8/[元/(MW×h)]206α1/(元/t)1.26 D1/[元/(MW×h)]320α2/(元/t)45 D2/[元/(MW×h)]550α3/(元/t)80 D3/[元/(MW×h)]60α4/[元/(MW×h)]140

图9为所选取地区多能源系统中可再生能源输出功率曲线,图10为所选取地区多能源系统典型日的电、气、热、冷负荷变化曲线。进行仿真优化时,选择1 h为一个运行优化时段时长,进行24 h的优化仿真分析。

width=193.05,height=156

图9 可再生能源变化曲线

Fig.9 Variation curves of renewable energy

width=195,height=282.15

图10 典型日负荷变化曲线

Fig.10 Variation curves of load in typical days

另外,设定两种情景,供后文对UCRMEMC系统的综合效益进行分析:情景1为该地区采用可再生能源和常规城市能源供给系统,满足该地区居民的电、气、热、冷负荷;情景2为该地区采用本文建立的UCRMEMC系统的电、气、热、冷多种能源供能方式,且多能源供需与环境治理修复协调参与系统运行优化。

4.2 减碳型多能源微网集群供能优化结果

选取一典型日(24 h),对本文研究的含污水供能和垃圾供能的UCRMEMC系统进行多能源供给与环境治理修复效益协调优化仿真验证。场景2下UCRMEMC中各微网的电能、天然气、热能、冷能的优化效果如图11所示,两个场景下系统运行成本优化结果见表8。

由图11结果可知,夜间电负荷低谷时段(0:00—7:00和23:00—24:00)用户电能需求较低,CRMEM通过调整出力和购入低价电能来满足需求,以此缓解各家CRMEM电能输出的不足。以WPCRMEM1、SPCRMEM1为例(附图1、附图5),可以发现,夜间电负荷低谷时段用户用热需求较高,电锅炉和污水热泵制热耗电增加,微燃机和沼气发电机维持高电能输出;富余电能储存于电池,用于高峰时段(10:00—19:00)放电,减少集群外购电需求。在电负荷峰值时段(11:00—15:00和19:00—21:00),集群系统增加CRMEM的电能输出,满足用电需求,部分电负荷转移至8:00—10:00和22:00—23:00时段,降低了系统峰谷差。此外,11:00—17:00时段,集群系统向大电网外售富余的电能。以WPCRMEM1、SPCRMEM1为例(附图1、附图5),微燃机与沼气发电机均处于较大的电能输出状态,且白天温度较高,系统制热耗电相对减少、制冷耗电增加,电池储能装置将存储的电能释放,弥补电能缺额,降低向大电网的电能需求,为大电网提供一定的响应调节能力。

width=213.6,height=638.55

图11 典型日内场景2下的电、气、热、冷负荷变化曲线

Fig.11 Variation curves of electricity, gas, heat and cold load in typical days

表8 成本优化结果

Tab.8 Cost optimization results (单元:万元)

类别场景1场景2 购电成本2 773.689 1112.053 2 购气成本285.017 4104.679 5 购热成本387.619 157.981 7 供电收益—-1 141.397 6 供气收益—-1 405.655 2 供热收益—-325.318 9 供冷收益—-82.607 5 售电收益—-14.538 3 售气收益—-1.001 3 中水再利用效益-77.1401-118.958 0 污泥再利用效益—-33.309 3 垃圾处理补贴和收益—-306.578 2 设备运行成本50.49742 404.628 2 总运行成本3 419.682 9-750.021 7

对于天然气子系统,沼气发酵池与垃圾热解炉的出口均直接连接储气装置,可以灵活调节输出的气能。其中,在8:00—22:00时间段,外网购入的天然气急剧增加,这主要是由于该时间段内集群系统用电负荷的增加,SPCRMEM、WPCRMEM分别利用沼气发电、微燃机发电,消耗了大量的天然气,且CRMEM自身所产生的天然气无法完全满足用户用气需求。由附图2、附图6还可以看出,晚间热解炉产生的天然气除了满足微燃机用气需求、气负荷需求外,富余的天然气存储于储气装置,用于在气能供应不足时进行供气,还可为其他CRMEM提供部分天然气;沼气发酵池产生的沼气量,则受到环境温度的影响变化较大,白天气温高时产生大量的沼气、夜间温度低时产气量较低,因此储气装置存储的气体量较少,储气装置更多是起到灵活调节热解炉气能输出的作用。

对于WPCRMEM的热力子系统来说(附图3、附图7),白天时段由于热解炉、微燃机处于较高的电能输出状态,其垃圾热解和燃烧发电的同时产生了大量的热能,并利用通过余热锅炉进行供热,而白天时段电价相对较高,电锅炉的制热量相对减少,微网向热网的购热量增加,富余的热能则进行存储;夜晚时段温度相对较低,WPCRMEM通过储热装置放热、余热锅炉供热和利用价格便宜的电能进行电锅炉制热的方式满足用户热负荷需求。对于SPCRMEM的热力子系统,污水源热泵所提取的热量受到处理后中水温度高低的影响较大,白天温度相对较高时,提取的热量明显高于夜间的产热量,所以系统将白天富余的热能存储下来用于夜间供热,满足热负荷需求。对于集群系统的供冷子系统来说(附图4、附图8),各CRMEM分别利用电制冷器或污水热源泵进行制冷,满足系统用冷需求,其制冷量受各时刻用户用冷需求的变化而发生改变。

4.3 减碳型多能源微网综合效益优化结果

两种场景下,集群系统中SPCRMEM的污水处理量情况与WPCRMEM的垃圾处理量情况如图12所示。图13为整个系统两个场景下的系统产生的总的环境治理修复效益对比结果。

可以看出,SPCRMEM中污水源热泵承担着主要的热能、冷能供给,因此,场景2中SPCRMEM的污水处理量比例明显较场景1有显著提升,降低了城市居民生活污水经污水处理后的达标污水排放量,且CRMEM将部分处理后的中水经过管道输送、用于城市绿化用水、生活杂用水或者工业冷却用水,获得了一定的再利用收益,其结果如表8中“中水再利用效益”一栏对比所示。另一部分中水则在污水源热泵中供热、供冷完毕后,再次经过滤后送入供热管网,作为管网中热量传递介质,在提高中水利用率的同时获取了一定的经济补贴。

width=216.55,height=141.7
width=225.8,height=264.8

图12 污水处理与垃圾处理情况

Fig.12 Sewage treatment and waste management situation

width=212.85,height=119.45

图13 环境治理修复效益对比

Fig.13 Comparison of the environmental management and remediation benefits

此外,结合图12a和附图7、附图8,白天SPCRMEM的污水处理量相对增加,除了由于白天时段居民生活污水量较大、需提高污水处理量外,也主要因为白天SPCRMEM可将产生的热量部分存储,减少向热网购入的热能,并于夜间供热不足时进行放热。且污水经过处理后获得的大量污泥用于厌氧发酵,产生沼气用于供气,满足用气需求取得一定经济效果,干燥后的污泥也通过资源再利用,获得了一定收益。虽然上述过程中需要消耗部分电能,增加白天电网运行调节压力,但充分利用可再用中水所获得的经济收益远高于成本,同时又可达到城市污水减排和污泥无害化处理的目标。

进一步分析CRMEM污水减排和垃圾填满量降低后,能够对城市环境治理修复起到的作用。按照建立的CRMEM环境治理修复效益模型,仿真计算一定时间后水中污染物浓度和土壤有机质含量的变化情况,结果如图14所示。由图14可知,在场景2下,城市生活污水经过CRMEM处理、供能后,中水排放进水库后水体中污染物的浓度明显低于场景1。虽然污水处理后中水比例有所增加,但中水再利用比例要明显高于场景1(作为绿化用水、生活杂用水或者工业冷却用水等),总体使得场景2下中水排放量明显低于场景1,同时也通过中水再利用获得了一定的再利用收益。另外,污泥用于堆肥后,土壤中有机质含量明显增加,更有利于土壤环境的保护,更有利于堆肥区域农作物或植物的种植、生长,起到生态环境保护作用。

width=207.9,height=126.9

图14 水库水体污染物浓度与堆肥区域土壤有机质含量变化

Fig.14 Variation of pollutant concentration in reservoir water and soil organic matter content

对于场景2中WPCRMEM的热解垃圾处理量来说,对比场景1中生活垃圾经过垃圾场处理后直接进行掩埋、降解等措施(本质上并没有实现垃圾减量,且会带来环境污染问题)下的垃圾处理量,场景2中WPCRMEM由于热解炉的存在,对生活垃圾进行大量处理,降低垃圾掩埋量,用其产生能量满足居民生活用能。虽然,垃圾热解炉在运行过程中,垃圾的热解、气化消耗部分电能,产生一些污染物排放,但相较于生活垃圾直接掩埋所带来的长期危害影响,其环境治理修复效果可观,且可通过增加垃圾热解污染物排放处理过程的技术、设备投资,避免因该问题带来的影响。

最后,依据建立的UCRMEMC综合效益量化模型,对UCRMEMC系统的能源消耗量、污染物减排量等进行分析计算,其结果见表9。

表9 综合效益结果

Tab.9 Comprehensive benefit results

类别场景1场景2 一次能源节能效率m1(%)—37.96 可再生能源利用率m2(%)2535.62 系统供热时单位面积能源消耗量m3/(W/m2)21.213.860 5 污染物减排量m4/kg—11 734.259 污水减排率m5(%)57.8989.28 垃圾填埋比例m6(%)64.2627.01

由表9可知,与常规城市能源供给系统相比,CRMEM一次能源节能率为37.96%,单位面积可替代标煤量为4.985 kg/m2,且供热时单位面积能源消耗量为13.860 5 W/m2,该项耗热量指标远小于场景1集中供热方式的耗热量指标(21.2 W/m2),这表明CRMEM具有较高的能源利用能力和能源节约能力。另外,从对比结果还可以看出,场景2中PCRMEM的污染物减排量、污水减排率以及减少垃圾填满量较场景1明显减少,CRMEM具有显著的污染物减排的能力。

5 结论

为了能够在满足居民多种能源消费需求的同时,满足居民对绿色、低碳生活环境的需求,本文建立了一种含污水供能、垃圾供能的减碳型多能源微网的城市多能源系统“能源-环境”效益协调优化模型,并通过理论分析及算例仿真,可以得出以下结论:

1)污水供能-减碳型多能源微网与垃圾供能-减碳型多能源微网可以利用部分能源转换设备提取污水、垃圾中可用的“余能”,满足不同时段内城市居民用电、用气、用热、用冷需求,同时处理城市居民自身产生的生活污水和生活垃圾,具有城市居民生活环境治理修复的能力。

2)通过将多个不同类型的减碳型多能源微网进行链接,协调优化了整个城市多能源系统能源供给,为能源外网提供了一定的调节能力。

3)污水供能-减碳型多能源微网与垃圾供能-减碳型多能源微网在提供优质的能源供给的同时,还可将处理后的中水、污泥进行再利用,获得了一定收益,进一步降低了减碳型多能源微网供能与减排的成本,提高了城市能源系统的运行经济性。

附 录

1. WPCRMEM1和SPCRMEM1的供能情况

width=216.55,height=155.55

附图1 WPCRMEM1电能曲线

App.Fig.1 Electric energy curve in WPCRMEM1

width=212.85,height=150.85

附图2 WPCRMEM1天然气曲线

App.Fig.2 Gas energy curve in WPCRMEM1

width=224,height=142.95

附图3 WPCRMEM1热能曲线

App.Fig.3 Heat energy curve in WPCRMEM1

2. 算法流程

基于局部搜索的NSGA-II算法求解流程步骤如下:

1)输入城市多能源系统运行参数、CRMEM中各系统的运行参数及其运行约束条件,以及NSGA-II算法参数。

2)设迭代次数x=0及最大迭代次数K

3)根据UCRMEMC系统的居民多种能源负荷需求、风电光伏出力、污水处理厂处理能力和垃圾处理厂处理能力数据,在目标范围内随机生成种群规模为N的UCRMEMC系统输出功率矩阵父代种群P={P1, P2,width=12,height=7,Pk,width=12,height=7,PN},Pk=(width=99,height=18),num为优化目标函数决策变量的数量。其中,第k个CRMEM的输出矩阵中的第s个输出功率生成过程为

width=214.1,height=150.05

附图4 WPCRMEM1冷能曲线

App.Fig.4 Cold energy curve in WPCRMEM1

width=214.1,height=162.05

附图5 SPCRMEM1电能曲线

App.Fig.5 Electric energy curve in SPCRMEM1

width=210.4,height=144.35

附图6 SPCRMEM1天然气曲线

App.Fig.6 Gas energy curve in SPCRMEM

width=140.45,height=18.5 (A1)

式中,width=19,height=16.5width=19,height=16.5分别为第k个CRMEM的输出功率矩阵中的第s个输出功率的最小、最大值;rand(0,1)为0~1之间的随机数;k∈[1,N]。

width=209.15,height=141.05

附图7 SPCRMEM1热能曲线

App.Fig.7 Heat energy curve in SPCRMEM1

width=204.1,height=136.15

附图8 SPCRMEM1冷能曲线

App.Fig.8 Cold energy curve in SPCRMEM1

4)对生成的输出功率矩阵父代种群P,进行非支配排序、拥挤度排序,并将当前输出功率矩阵父代种群P中的非支配解集记为PZ,确定局部搜索区域中心。

5)依据局部搜索区域中心和搜索区域范围,进行局部搜索,生成的局部搜索解集记为PJ。

6)对生成的输出功率矩阵父代种群P执行变异操作,形成新的输出功率种群width=70.5,height=16.5,即

width=142.55,height=16.5 (A2)

式中,width=27,height=15为输出功率矩阵父代种群中第k个输出功率矩阵第x次变异操作后的结果;width=28,height=15width=30,height=15width=30,height=15为从输出功率矩阵种群中随机选择的s1、s2和s3个输出功率,且s1≠s2≠s3;width=9,height=12为变异率。

7)根据步骤6)的结果,对新输出功率矩阵种群执行交叉操作,即将P(x)和width=24,height=16.5交换一些元素,生成新的输出功率种群width=121.95,height=16.5,具体过程为

width=163,height=33.5 (A3)

式中,s=ss表示随机选取的输出功率width=28,height=16.5保持不变,其他元素进行交叉操作。

8)根据步骤7)的结果,按照式(25)~式(33),分别计算P(x)和width=25.5,height=16.5的目标函数值,并对结果进行非占优排序,即,将所有种群中的输出功率矩阵个体目标函数计算结果逐个进行非占优排序,占优结果采取保留。将占优结果与P(x)、width=25.5,height=16.5、PJ进行合并,对合并后解集中的所有解进行非支配排序、拥挤度排序,选取N个最优解组成下一代输出功率种群P(x+1),记P=P(x+1)。

9)判断进化迭代次数x是否大于最大迭代次数K,或者是否达到优化模型求解的最长优化时间。若小于则转到步骤4)继续执行,否则循环停止。将所有下一代输出功率矩阵种群组成Pareto解集。

10)输出此时满足条件的输出功率矩阵种群,再按式(8)~式(16),计算集群系统中各CRMEM的输入功率和污水、垃圾处理量,得到满足优化条件的UCRMEMC协调优化方案。

参考文献

[1] 习近平. 在第七十五届联合国大会一般性辩论上的讲话[N]. 人民日报, 2020-09-23(003).

[2] 生态环境部. 关于印发《减污降碳协同增效实施方案》的通知[EB/OL]. https://www.mee.gov.cn/ xxgk2018/xxgk/xxgk03/202206/t20220617_985879.html, 2020-06-13.

[3] 滕云, 张铁岩, 陈哲. 多能源互联系统优化运行与控制技术研究现状与前景展望[J]. 可再生能源, 2018, 36(3): 467-474.

Teng Yun, Zhang Tieyan, Chen Zhe. Review of operation optimization and control of multi-energy interconnection system based on micro-grid[J]. Renewable Energy Resources, 2018, 36(3): 467-474.

[4] 张建华, 曾博, 董军, 等. 环境友好型城网规划双层决策模型及其协调局势算法[J]. 中国电机工程学报, 2012, 32(10): 9, 56-9, 64.

Zhang Jianhua, Zeng Bo, Dong Jun, et al. Bilevel decision-making model and coordination situation algorithm for environment-friendly urban network planning[J]. Proceedings of the CSEE, 2012, 32(10): 9, 56-9, 64.

[5] Bartolucci L, Cordiner S, Mulone V, et al. Design and management strategies for low emission building-scale Multi Energy Systems[J]. Energy, 2022, 239: 122160.

[6] 杜麟. 城市污水厂污水源热泵区域供热、供冷可行性研究[D]. 西安: 长安大学, 2015.

Du Lin. Feasibility study on district heating and cooling of sewage source heat pump in urban sewage plant[D]. Xi’an: Changan University, 2015.

[7] Kang Y Q, Zhang R X. Research on sewage source heat pump air conditioning system in sewage treatment plant [J]. Fresenius Environmental Bulletin, 2020, 29(06): 4607-4611.

[8] 滕云, 吴磊, 冷欧阳, 等. 考虑垃圾处理与多源储能协调的多能源微网优化运行模型[J]. 电工技术学报, 2020, 35(19): 4120-4130.

Teng Yun, Wu Lei, Leng Ouyang, et al. Multi-energy microgrid optimization operation model considering waste disposal and multi-source coordinated energy storage[J]. Transactions of China Electrotechnical Society, 2020, 35(19): 4120-4130.

[9] 罗清局, 朱继忠. 基于改进交替方向乘子法的电-气综合能源系统优化调度[J]. 电工技术学报, 2024, 39(9): 2797-2809.

Luo Qingju, Zhu Jizhong. Distributed optimal dispatch of linear integrated electricity and gassystem based on multi-parameter programming modified ADMM[J]. Transactions of China Electrotechnical Society, 2024, 39(9): 2797-2809.

[10] 王雨晴, 王文诗, 徐心竹, 等. 面向低碳交通的含新能源汽车共享站电-氢微能源网区间-随机混合规划方法[J]. 电工技术学报, 2023, 38(23): 6373-6390.

Wang Yuqing, Wang Wenshi, Xu Xinzhu, et al. Hybrid interval/stochastic planning method for new energy vehicle sharing station-based electro-hydrogen micro-energy system for low-carbon transportation[J]. Transactions of China Electrotechnical Society, 2023, 38(23): 6373-6390.

[11] 程耀华, 张宁, 康重庆, 等. 低碳多能源系统的研究框架及展望[J]. 中国电机工程学报, 2017, 37(14): 4060-4069, 4285.

Cheng Yaohua, Zhang Ning, Kang Chongqing, et al. Research framework and prospects of low-carbon multiple energy systems[J]. Proceedings of the CSEE, 2017, 37(14): 4060-4069, 4285.

[12] 滕越, 赵骞, 袁铁江, 等. 绿电-氢能-多域应用耦合网络关键技术现状及展望[J]. 发电技术, 2023, 44(3): 318-330.

Teng Yue, Zhao Qian, Yuan Tiejiang, et al. Key technology status and outlook for green electricity-hydrogen energy-multi-domain applications coupled network[J]. Power Generation Technology, 2023, 44(3): 318-330.

[13] 别朝红, 任彦哲, 李更丰, 等. “双碳”目标下城市能源系统的形态结构和发展路径[J]. 电力系统自动化, 2022, 46(17): 3-15.

Bie Zhaohong, Ren Yanzhe, Li Gengfeng, et al. Morphological structure and development path of urban energy system for carbon emission peak and carbon neutrality[J]. Automation of Electric Power Systems, 2022, 46(17): 3-15.

[14] 雷杨, 赵纪峰, 丁石川, 等. 考虑双重不确定性的区域综合能源系统多阶段滚动随机规划[J]. 电力系统自动化, 2023, 47(20): 53-63.

Lei Yang, Zhao Jifeng, Ding Shichuan, et al. Multi-stage rolling stochastic planning of regional integrated energy system considering dual-uncertainty[J]. Automation of Electric Power Systems, 2023, 47(20): 53-63.

[15] 孔令国, 史立昊, 石振宇, 等. 基于交替方向乘子法的园区电-氢-热系统低碳优化调度[J]. 电工技术学报, 2023, 38(11): 2932-2944.

Kong Lingguo, Shi Lihao, Shi Zhenyu, et al. Low-carbon optimal dispatch of electric-hydrogen-heat system in park based on alternating direction method of multipliers[J]. Transactions of China Electrotechnical Society, 2023, 38(11): 2932-2944.

[16] 于仲安, 马静瑶. 含风电耦合制氢的主从博弈多区域综合能源系统协调调度策略[J]. 电气技术, 2023, 24(7): 1-10.

Yu Zhongan, Ma Jingyao. The collaborative scheduling strategy of multi regional integrated energy system with wind power coupled hydrogen production based on master-slave game[J]. Electrical Engineering, 2023, 24(7): 1-10.

[17] Wu Lizhen, Wang Cuicui, Chen Wei, et al. Research on the bi-layer low carbon optimization strategy of integrated energy system based on Stackelberg master slave game[J]. Global Energy Interconnection, 2023, 6(4): 389-402.

[18] 孙振宇, 沈明忠. 基于工业厂区的多能互补系统在微能源网的应用[J]. 华电技术, 2019, 41(11): 46-48.

Sun Zhenyu, Shen Mingzhong. Application of multi-energy complementary system in micro-energy network of an industrial plant[J]. Huadian Technology, 2019, 41(11): 46-48.

[19] 曹正霞. 济南市某小区污水源热泵供热系统的实例分析与评价[D]. 哈尔滨: 哈尔滨工业大学, 2016.

Cao Zhengxia. Case analysis and evaluation of sewage source heat pump heating system in a residential area of Jinan city[D]. Harbin: Harbin Institute of Technology, 2016.

[20] 苟文诗. 成都市某商业建筑污水源热泵空调系统的应用分析[D]. 成都: 西华大学, 2016.

Gou Wenshi. Application analysis of sewage source heat pump air conditioning system in a commercial building in Chengdu[D]. Chengdu: Xihua University, 2016.

[21] 宋明璐. 基于DeST地铁站公共区空调系统应用污水源热泵的研究[D]. 太原: 中北大学, 2017.

Song Minglu. Study on application of sewage source heat pump in air conditioning system of public area of DeST subway station[D]. Taiyuan: North University of China, 2017.

[22] 滕云, 闫佳佳, 回茜, 等. “无废”电–氢充能服务区多源微网优化运行模型[J]. 中国电机工程学报, 2021, 41(6): 2074-2088.

Teng Yun, Yan Jiajia, Hui Qian, et al. Optimization operation model of “zero-waste” electricity-hydrogen charging service area multi-energy microgrid[J]. Proceedings of the CSEE, 2021, 41(6): 2074-2088.

[23] Hwangbo S, Nam K, Han J, et al. Integrated hydrogen supply networks for waste biogas upgrading and hybrid carbon-hydrogen pinch analysis under hydrogen demand uncertainty[J]. Applied Thermal Engineering, 2018, 140: 386-397.

[24] 姜飞, 肖昌麟, 易子木, 等. 含光伏与生物质能的生态农业综合能源系统多能协同及低碳运行策略[J]. 中国电机工程学报, 2024, 44(4): 1352-1364.

Jiang Fei, Xiao Changlin, Yi Zimu, et al. Multi-energy cooperation and low-carbon operation strategy of eco-agricultural integrated energy system containing photovoltaic and biomass energy[J]. Proceedings of the CSEE, 2024, 44(4): 1352-1364.

[25] 刘铭彦, 王春海, 孟睿. 利用污水处理厂污泥生产沼气可行性研究[J]. 辽宁化工, 2014, 43(6): 725-726, 731.

Liu Mingyan, Wang Chunhai, Meng Rui. Research on the feasibility of producing methane from municipal wastewater plant sludge[J]. Liaoning Chemical Industry, 2014, 43(6): 725-726, 731.

[26] 李淑夏. 基于污泥厌氧发酵多能互补热电联产系统研究[D]. 青岛: 青岛理工大学, 2016.

Li Shuxia. Study on multi-energy complementary cogeneration system based on sludge anaerobic fermentation[D]. Qingdao: Qingdao University of Technology, 2016.

[27] 吴帆, 程晓如. 城市污水处理厂污泥量计算方法[J]. 武汉大学学报(工学版), 2009, 42(2): 244-247.

Wu Fan, Cheng Xiaoru. Calculation methods of sludge volume in municipal sewage treatment plant[J]. Engineering Journal of Wuhan University, 2009, 42(2): 244-247.

[28] 滕云, 刘硕, 回茜, 等. 考虑区域多能源系统集群协同优化的联合需求侧响应模型[J]. 中国电机工程学报, 2020, 40(22): 7282-7296.

Teng Yun, Liu Shuo, Hui Qian, et al. Integrated demand side response model considering collaborative optimization of regional multi-energy system clusters [J]. Proceedings of the CSEE, 2020, 40(22): 7282-7296.

[29] 谢依麟, 徐英, 仪忠凯, 等. 考虑大气污染物时空分布的综合能源系统环境经济调度策略[J/OL]. 电力系统自动化, 2025: 1-19. (2025-02-07). https://kns. cnki.net/kcms/detail/32.1180.TP.20250207.1139.002.html.

Xie Yilin, Xu Ying, Yi Zhongkai, et al. Environmental and economic dispatching strategy of integrated energy system considering spatial and temporal distribution of air pollutants[J/OL]. Automation of Electric Power Systems, 2025: 1-19. (2025-02-07). https://kns.cnki.net/kcms/detail/32.1180.TP.20250207.1139.002.html.

[30] Wang Fei, Zhou Lidong, Ren Hui, et al. Multi-objective optimization model of source–load–storage synergetic dispatch for a building energy management system based on TOU price demand response[J]. IEEE Transactions on Industry Applications, 2018, 54(2): 1017-1028.

[31] 李大中, 唐影. 垃圾焚烧发电污染物排放过程建模与优化[J]. 可再生能源, 2015, 33(1): 118-123.

Li Dazhong, Tang Ying. Modeling and optimization of pollutants emission of waste incineration[J]. Renewable Energy Resources, 2015, 33(1): 118-123.

[32] 董仁君. 《生活垃圾填埋场生态修复技术标准》编制及案例研究[D]. 武汉: 华中科技大学, 2019.

Dong Renjun. Compilation and case study of technical standard for ecological restoration of domestic waste landfill sites[D]. Wuhan: Huazhong University of Science and Technology, 2019.

[33] 付意成. 流域治理修复型水生态补偿研究[D]. 北京: 中国水利水电科学研究院, 2013.

Fu Yicheng. Study on water ecological compensation for watershed management and restoration[D]. Beijing: China Institute of Water Resources and Hydropower Research, 2013.

[34] 周平. 昆明主城市政污泥泥质分析及其利用于磷矿山生态修复前景[D]. 昆明: 昆明理工大学, 2020.

Zhou Ping. Muddy analysis of municipal sludge in Kunming main city and its application prospect in ecological restoration of phosphorus mines[D]. Kunming: Kunming University of Science and Technology, 2020.

[35] 崔志华, 张茂清, 常宇, 等. 基于平均距离聚类的NSGA-Ⅱ[J]. 自动化学报, 2021, 47(5): 1171-1182.

Cui Zhihua, Zhang Maoqing, Chang Yu, et al. NSGA-Ⅱwith average distance clustering[J]. Acta Automatica Sinica, 2021, 47(5): 1171-1182.

[36] 李文, 卜凡鹏, 张潇桐, 等. 基于典型商业运营模式的含电-氢混合储能微电网系统优化运行方法[J]. 发电技术, 2024, 45(6): 1186-1200.

Li Wen, Bu Fanpeng, Zhang Xiaotong, et al. Optimal operation method of electric-hydrogen hybrid energy storage microgrid system based on typical commercial operation mode[J]. Power Generation Technology, 2024, 45(6): 1186-1200.

An Environment-Economic Coordination Optimization Model for Urban Energy Systems Integrating Carbon-Reducing Multi-Energy Microgrids

Liu Shuo1 Teng Yun1 Chen Zhe2

(1.School of Electrical Engineering Shenyang University of Technology Shenyang 110870 China 2. Department of Energy Technology Aalborg University Aalborg DK-9220 Denmark)

Abstract As urbanization progresses, the significant amount of waste generated by urban residents, as well as the production and consumption processes of various types of energy, has led to severe environmental pollution. Moreover, the compatibility and coordination requirements between environmental protection facilities and energy systems in cities are also continuously increasing. Therefore, it is particularly important to establish a multi-energy microgrid or multi-energy system with the capability of pollution reduction and carbon emission reduction. Such systems are required to meet the needs of urban residents, including electricity, gas, heat, and cold, and to reduce carbon emissions and mitigate the environmental impact of pollutants. This paper explores the feasibility of using urban sewage and waste as energy sources, investigates how to utilize pollutants such as domestic sewage and waste for energy supply, and constructs a carbon-reducing multi-energy microgrid (CRMEM) incorporating waste and sewage energy supply.

Firstly, the coordination characteristics between the energy supply of multi-energy microgrids equipped with waste pyrolysis furnaces, sewage-source heat pumps, and other devices, and the urban environmental protection needs are studied. A model of the CRMEM incorporating sewage and waste energy supply, along with its topological structure, is established. A cluster model of urban CRMEM is further established. Then, to analyze the effects of CRMEM in multi-energy supply and environmental restoration, a comprehensive energy-environment benefit quantification model for CRMEM is established. Quantitative analysis is carried out from eight aspects of the cluster system: primary energy saving efficiency, renewable energy utilization rate, energy consumption per unit area during heating/cooling, pollutant reduction, sewage reduction rate, landfill ratio, pollutant concentration in water, and soil organic matter content. Then, with the objectives of maximizing primary energy saving rate, maximizing pollutant reduction, and minimizing total system operating cost, the comprehensive energy-environment benefits optimization model of the urban multi-energy system is established. The proposed method is solved using an NSGA-II algorithm with local search. Finally, based on actual operational data from a multi-energy system in a northeastern region, as well as data from sewage and waste treatment plants, a coordinated simulation model for urban CRMEM cluster is established. The supply and demand balance of electricity, natural gas, heat, and cold in each microgrid in CRMEM cluster is simulated and analyzed, and the environmental governance and restoration benefits of urban multi-energy system are evaluated. The analysis reveals that while meeting the energy needs of residents, the primary energy saving rate of CRMEM is 37.96 %, the amount of alternative standard coal per unit area is 4.985 kg/m², and the energy consumption per unit area during heating is 13.8605 W/m². CRMEM has a significant ability to reduce pollutant.

The following conclusions are drawn: (1) Compared with conventional urban energy supply systems, CRMEM has higher energy utilization and energy saving capabilities. (2) CRMEM can utilize energy conversion devices to extract 'residual energy' from sewage and waste, meeting the electricity, gas, heat, and cold needs of urban residents while simultaneously treating domestic sewage and waste generated by residents, thereby contributing to the restoration of urban living environments. (3) CRMEM can reuse treated reclaimed water and sludge, generating revenue and optimizing the costs of energy supply and emission reduction in the CRMEM.

keywords:Carbon-reducing multi-energy microgrid, environmental governance function, pollution and carbon reduction capacity, comprehensive benefits, NSGA-II algorithm

中图分类号:TM732

DOI: 10.19595/j.cnki.1000-6753.tces.242075

国家重点研发计划项目(2017YFB0902100)和辽宁省科学技术计划“揭榜挂帅(技术攻关类)”项目(2023JH1/10400050)资助。

收稿日期 2024-11-19

改稿日期 2025-02-19

作者简介

刘 硕 男,1996年生,博士研究生,研究方向为电力系统、多能源系统运行优化。E-mail:dream20372@163.com

滕 云 男,1973年生,教授,博士生导师,研究方向为可再生能源发电、多能源系统运行优化、新型电力系统等。E-mail:tengyun@sut.edu.cn(通信作者)

(编辑 赫 蕾)