摘要 高速列车运行能耗是高速铁路运营能耗的最主要来源,减少高速列车运行能耗将极大地促进高速铁路绿色低碳发展。针对与高速列车运行过程中能量传递、转化和消耗最密切的牵引供电网络(网)-牵引传动系统(车)-线路运行条件(线)三个环节,该文首先从高速铁路牵引系统架构出发,明确高速铁路网-车-线耦合关系;然后结合双向系统碳排放计量思想,定性分析再生制动能量“返送正计”和“返送不计”两种情况下的高速铁路网-车-线耦合碳排放特性;借助碳排放因子,给出结合电网、燃料、客运量计算高速列车运行碳排放的定量分析方法;进而明确高速列车节能运行优化中减少牵引能耗和利用再生制动能量两个目标;以减少牵引能耗为目标,从高速列车节能运行工况的构成出发,给出单列车节能运行策略;以利用再生制动能量为目标,分析多列车再生制动能量利用策略,设计弹性冗余时间利用方法;在此基础上,基于正余弦算法改进的深度Q网络(SCA-DQN)建立高速列车节能运行分层优化模型,并进行算例分析。结果表明:所给SCA-DQN算法高效稳定,单列车节能运行优化的列车节能降碳率达6.36%;经分层优化后,受再生制动能量补充牵引能耗的两列列车节能降碳率分别达到8.82%和7.65%。
关键词:高速铁路 高速列车 网-车-线耦合 节能优化 改进深度Q网络
铁路在服务和支撑中国式现代化建设中的地位和作用至关重要,在“双碳”目标指引下,实现高速铁路节能降碳是促进交通运输行业绿色转型的必然举措[1-2]。高速列车运行能耗在高速铁路运营能耗中占比超80%,如何减少高速列车运行能耗是实现高速铁路节能降碳的关键[3]。
通过分析高速铁路的能耗特性,将明确节能研究的重点方向。作为电气化铁路的重要形式,高速铁路的能耗分析研究多围绕牵引系统供用电环节,关注电能的耗散过程[4-7]。文献[5]设计了牵引动态负荷建模方法,提出了基于行车运行图的高铁牵引变电站负荷预测方法。然而,牵引负荷随机波动性较强,导致牵引供电系统参数变化频繁,对能耗预测结果的准确性影响较大。文献[6]搭建了牵引网-动车组系统仿真模型,求得了动车组通过长大下坡路段时产生的再生制动功率。高速运动的牵引负荷与牵引供电系统之间存在动态、灵活的耦合关系,但仿真模型不可避免地存在简化,具有一定的局限性。文献[7]针对高速铁路中牵引供电网络、牵引传动系统和轮轨驱动系统,分别应用动态潮流计算、额定功率转换和牵引计算求解了各子系统中的动态功率和能耗。基于潮流计算的牵引供电网络能耗分析方法能够较为准确地得到系统电流、电压分布情况,考虑到电力系统碳排放流理论认为碳流依附于电力潮流而存在,高速铁路作为重要的电气化系统,缺少在碳视角下开展的能耗分析和节能研究。
高速列车运行能耗是高速铁路全生命周期能耗最主要的来源之一,开展高速列车节能研究能够更大程度地发挥系统节能潜力[8]。高速列车节能研究可分为三类:基础设施的节能设计[9-12]、再生制动能量利用[13-19]、列车节能运行优化[20-22]。基础设施的节能设计多从线路、车体、设备等角度入手,例如,文献[10]对列车车体轻量化设计和结构优化的研究进展进行了综述。文献[11]优化了铁路沿线牵引变电所、分区所和自耦变压器(Auto Transformer, AT)所的容量、数量及位置,以提高设备利用率,促进列车运行节能增效。然而,基础设施的设计、布置等是铁路部门在规划阶段和项目初期需考虑的问题。通过改造基础设施实现系统节能降耗的实施难度较大、投入回报比较低。
在基础设施固定的条件下,再生制动能量利用和列车节能运行优化的灵活性优势得以显现。再生制动能量利用相关研究多聚焦于能耗型、能馈型和储能型等一种或几种利用方式的组合,特别是储能型方案在近年来备受关注[13-16]。文献[15]根据高速铁路长大坡道区段再生制动能量功率分层特性,给出了最佳的混合储能系统配置方案。进一步地,考虑光伏绿电接入场景,结合再生制动能量高效利用目标,对长大坡道混合储能系统进行了优化配置[16]。针对新能源和储能接入牵引供电系统后的能量管控问题,文献[17]在“网-源-储-车”协同供电架构下,制定了基于“规则+优化”的实时能量管控策略,提升了系统的低碳经济性和电能质量。文献[18]设计了计及光伏和储能接入的牵引供电系统能量管理策略,在电力市场背景下,通过日前联合调控、日内滚动调节和实时优化,降低了系统运行成本,保障了系统稳定运行。文献[19]归纳了光伏和储能植入铁路的拓扑架构,从能量层和变流层两个角度系统阐述了光伏与储能植入铁路牵引供电系统的控制策略。由于储能型再生制动能量利用方案的成本问题不容忽视,利用优化手段实现再生制动能量利用同样值得关注。文献[20]利用列车始发站发车时刻及停车站停站时间的可控性,构建了列车节能运行图编制模型,实现了再生制动能量最大化利用目标。文献[21]从运营组织和列车节能运行相结合的角度优化了高速铁路列车节能运行图,通过上坡牵引工况列车直接利用下坡再生制动工况列车的再生制动能量,显著降低了系统能耗。这些研究均以更加高效利用再生制动能量为目标,然而,再生制动能量的产生和利用与列车运行工况密切相关,若将更加节能的运行工况与再生制动能量利用相结合,可更大程度地降低系统能耗。
列车操纵策略决定其工况转换,进而影响列车牵引能耗,针对列车操纵序列或速度曲线优化的研究起步较早[22],在地铁、城轨等直流牵引系统中,相关研究较为丰富。针对地铁列车节能控制问题,文献[23]设计了基于直流牵引供电系统模型和列车节能控制相结合的多列车协同节能驾驶集成优化方法,求解了地铁列车的节能速度曲线。文献[24]建立了牵引链路非线性损耗模型,构建了地铁列车节能运行最优控制模型,并设计了一种满足运行约束条件的节能优化算法,进而进行求解。考虑到乘客的实际需求,文献[25]综合考虑地铁列车节能和减少乘客等待时间目标,建立了基于速度曲线和时刻表优化的双目标优化模型,设计了一种基于深度Q网络-第二代非支配排序遗传算法(Deep Q Network- Non-dominated Sorting Genetic Algorithm Ⅱ, DQN- NSGA-Ⅱ)的分层求解算法。相关研究思路为高速列车节能优化提供了重要参考。然而,高速铁路在供电制式、牵引网结构、运行特点、线路条件等方面与地铁存在显著差异,部分高速列车节能运行优化研究中更加关注过电分相、追踪运行等。例如,文献[26]建立了以列车过电分相为典型场景的区间运行模型,提出了考虑电分相与限速耦合的列车多相位速度曲线节能优化方法和考虑电分相分布的多列车再生制动协同节能优化方法。文献[27]通过构建列车群体运行多目标优化模型,设计了编队列车追踪速度控制合作演化策略与延误场景下的运行调整策略,提升了编队列车运输效率,并降低了运行能耗,减少了延误及其传播影响。从既有系统出发,在高速列车节能运行优化中,如何综合考虑牵引供电网络特性和复杂线路运行条件,给出计及多个子系统耦合下的列车节能运行优化研究思路,是一个值得关注的问题。
综上所述,本文综合考虑高速铁路系统能量流动过程,重点关注决定和影响能量传递、转化和消耗的关键环节——牵引供电网络(网)、牵引传动系统(车)和线路运行条件(线),基于网-车-线耦合开展高速列车节能运行优化研究。首先,围绕牵引系统能量流动关键环节,明确高速铁路网-车-线耦合关系;然后,分析高速铁路网-车-线耦合的碳排放特性,确定将减少牵引能耗和利用再生制动能量作为高速列车节能运行优化目标;进一步地,设计单列车节能运行策略和多列车再生制动能量利用策略,构建高速列车节能运行分层优化模型,利用正余弦算法(Sine Cosine Algorithm, SCA)改进的深度Q网络(Deep Q Network, DQN)求解;最后,对所设计的节能运行优化方法进行算例分析,验证了其减少列车牵引能耗和利用再生制动能量以促进系统节能降碳的效果。
本文重点关注高速铁路牵引系统中网、车、线三部分,高速铁路牵引系统架构如图1所示。牵引工况时,高速列车从牵引供电网络取流,经牵引传动系统转换,传递给牵引电机驱动列车前行;制动工况时,高速列车优先采用再生制动方式,牵引电机转换为发电机运行,产生再生制动能量,经牵引传动系统变换并反馈至牵引供电网络;运行于线路轨道上的高速列车,因线路运行条件变化而产生牵引/制动工况转换,对应于能耗/能馈过程的发生。由此可见,高速列车运行所涉及的能量传递、转换、消耗与网、车、线三个环节密切相关,三者存在一定的耦合关系。
图1 高速铁路牵引系统架构
Fig.1 Architecture of high-speed railway traction system
从能量传递角度看,牵引能量传输路径为网→车,制动能量传输路径为车→网,若同一供电区间内存在其他牵引工况列车,此部分能量可进一步在网内传递,从而实现网→车,间接地车→车;从能量转化角度看,网-车之间存在电能与机械能的双向转化过程;从能量消耗角度看,线通过施加附加阻力并决定列车操纵工况,直接影响车的运行,引起能耗动态变化。由此可得:网-车-线耦合本质上是能量耦合,网-车能量双向交互,线影响交互过程。
利用均质棒模型对线路附加阻力进行统一折算,借助牵引计算理论表征车-线动力学耦合关系,基于功/能转换关系量化车-网电气耦合关系,可得高速铁路网-车-线耦合关系如图2所示。详细推导过程见附录,网-车-线耦合关系反映了高速列车在运行过程中从网侧获取和反馈功率的情况,可进一步求得高速列车运行能耗。
图2 高速铁路网-车-线耦合关系
Fig.2 Network-train-line coupling relationship in high-speed railway
在新型电力系统背景下,能源电力领域绿色节能研究亟须从传统的“电视角”向“碳视角”转 变[28]。作为重要的电气化系统,亦可考虑在碳视角下开展高速铁路能耗分析和列车节能研究。通过牵引系统能量流动特性确定碳排放流特性,识别系统中最主要的碳排放来源,明确高速列车节能运行优化的重点对象。
通过仿真分析,测量不同线路条件和运行工况下外部电网、牵引变电所、牵引供电线路等关键环节运行能耗,获得高速铁路牵引系统能耗分布情况,如图3所示。
图3 高速铁路牵引系统能耗分布
Fig.3 Energy consumption distribution of high-speed railway traction system
由能耗分布可见,约80%的电能传输给牵引电机,用于驱动列车前进;牵引传动系统中各变流环节因耗散而损失的能量多于牵引供电网络的电能传输的损耗;制动工况下列车产生的再生制动能量占比约10%;实际系统中,再生制动能量若未被有效利用,将返送回外部电网,不仅造成能源浪费,还可能引起牵引网压抬升和负序、谐波等电能质量问题,对电网的安全稳定运行造成威胁。
在获得高速铁路网-车-线耦合能耗特性的基础上,分析其碳排放特性,总结面向节能降碳的列车运行优化目标。
2.2.1 定性分析
高速铁路牵引系统作为双向系统,传统单向系统在稳态潮流下的碳排放核算方法难以适用[29-30]。牵引系统的双向性表现在网-车之间牵引能量和再生制动能量流动路径相反。针对高速铁路牵引负荷,文献[31]提出了一种基于政策的碳排放流模型。
从高速铁路牵引负荷产生的再生制动能量在既有电力系统中的角色定位出发,存在两种政策角度:
(1)外部电网对再生制动能量“返送正计”,即将高速铁路回馈给外部电网的再生制动能量算作消耗的电能进行计费。此时,正向和反向流动能量都承担碳排放责任。
(2)外部电网对再生制动能量“返送不计”,即对高速铁路回馈给外部电网的再生制动能量不进行计量和计费。此时,正向流动的能量承担碳排放责任,反向流动的能量不承担碳排放责任。
分别在上述两种角度下定性分析高速铁路网-车-线耦合碳排放流,如图4、图5所示。
如图4所示,对再生制动能量“返送正计”时,网-车-线耦合双向系统中能量流动可视为单向,即将再生制动能量视为系统消耗的能量。碳排放核算原则遵循双向系统正反向流动能量都承担碳排放责任。此时,系统的碳排放主要来源于牵引能量和再生制动能量。
图4 再生制动能量“返送正计”下的碳排放流桑基图
Fig.4 Sankey diagram of carbon emission flows under “backward transmission forward calculation” of regenerative braking energy
图5 再生制动能量“返送不计”下的碳排放流桑基图
Fig.5 Sankey diagram of carbon emission flows under “backward transmission without calculation” of regenerative braking energy
如图5所示,对再生制动能量“返送不计”时,网-车-线耦合双向系统忽略了导致其双向特性的再生制动能量返送行为,可视为单向系统。碳排放核算原则遵循正向流动的牵引能量承担碳排放责任,反向流动的再生制动能量不承担碳排放责任。此时,系统的碳排放主要来源于牵引能量。
2.2.2 定量分析
高速铁路常被视为较为低碳的交通运输方式,但考虑到能源供给结构,电力牵引的高速列车产生的间接碳排放量不容忽视。既有铁路碳排放研究多从全生命周期角度出发,综合考虑铁路规划、建设、运营等多个阶段,分析各阶段能耗及碳排放活动[32-34]。
本文重点关注运营阶段中列车运行产生的CO2排放,目的是明确节能优化的碳减排潜力。列车运行碳排放量的计算需借助碳排放因子,依据场景的不同,可结合电网、燃料、客运量等进行计算。
1)结合电网进行计算
(1)
式中,
为牵引用电量;
为牵引供电损耗;ei为电力CO2排放因子,根据牵引变电所连接电网的所属区域选取;k为牵引变电所数量。
2)结合燃料进行计算
(2)
式中,
为每kW·h标准煤耗;
为发电端燃料折标准煤系数;
为发电端燃料CO2排放因子;
为燃料利用效率;m为发电端燃料种类。
3)结合客运量进行计算
(3)
式中,sk为旅客平均运距;Tk为列车满载能力;lk为列车客座率;EP为高速铁路每人千米耗电量;ek,d为电力CO2排放因子;n为列车数量;r为牵引变电所连接电网的所属区域。
式(1)~式(3)本质上都是从耗电量出发计算高速列车运行CO2排放量。可见,在列车节能运行优化中,减少碳排放量是节约能耗的必然结果;在优化模型中,降碳程度可作为衡量节能性的一个重要指标。
从节能角度,高速列车运行能耗的影响因素可归纳为列车属性、线路属性、运行状态和其他因素四类,高速列车能耗主要影响因素如图6所示,能耗影响因素既有确定性的,也存在不确定性。在确定性因素中,基于网-车-线耦合的分析思路从列车属性和线路属性入手,以运行状态为重点开展高速列车节能运行优化研究。
图6 高速列车能耗主要影响因素
Fig.6 Main influencing factors of energy consumption of high-speed trains
从降碳角度,高速列车节能运行优化希望通过优化手段,从列车动态运行入手,实现节约能源消耗、减少碳排放的目的。结合上述高速铁路网-车-线耦合碳排放特性分析,可以看出牵引能量和再生制动能量作为牵引系统电能耗散的两个主要对象,是列车节能运行优化中应当重点关注的。
牵引能耗是列车运行产生的,无法避免,但可通过更节能的运行策略有效减少;再生制动能量可用于补充列车牵引能耗,既避免了资源浪费,又减少了因返送至电网导致的安全隐患。综合考虑系统节能和降碳需求,可以得出高速列车节能运行优化目标一:减少牵引能耗;目标二:利用再生制动能量。
针对减少牵引能耗目标问题,以单个列车为研究对象,优化其工况转换序列是实现节能的有效手段。针对利用再生制动能量目标问题,在减少单列车牵引能耗的基础上,探索多列车间再生制动能量利用方法,将制动列车产生的再生制动能量用于补充牵引列车能源消耗,能够进一步发挥高速铁路系统节能降碳潜力。
从固定区间内单列车和多列车的运行状态出发,分别探讨单列车节能运行策略和多列车再生制动能量利用策略。
3.1.1 单列车节能运行策略
实现单列车牵引能耗节约需重点关注列车的工况转换过程,列车区间节能运行工况包括最大牵引、惰行、部分制动和最大制动,对应节能速度曲线包括最大加速—巡航—惰行—最大减速四个阶段,如图7所示。
图7 列车四阶段节能速度曲线
Fig.7 Train four-stage energy-saving speed profile
由于列车在运行区间内存在多个工况转换点,由此产生了不同的工况转换序列,最节能的运行策略被包含在内。因此,单列车节能运行策略即寻找到尽可能节约牵引能耗的工况转换序列,得到节能速度曲线。
3.1.2 多列车再生制动能量利用策略
1)可行性分析
高速铁路牵引系统采用分段换相供电方式,各供电区间之间存在分相区,在同一供电区间内,制动列车与接触网、回流线、牵引列车构成闭合回路,在此条件下,牵引列车可直接利用再生制动能量补充自身牵引能耗,再生制动能量直接利用原理如图8所示。
图8 再生制动能量直接利用原理
Fig.8 Principle of direct utilization of regenerative braking energy
高速列车的制动行为由线路条件、站间运行时间、列车操纵策略等诸多因素决定,这些因素也共同影响了再生制动能量的产生。列车运行图是高速铁路运输工作的综合计划和行车组织工作的基础,优化列车运行图可实现再生制动能量直接利用,如图9所示[20]。列车运行图以时刻表形式向社会公布,列车运行图优化也可称为时刻表优化。
图9 优化列车运行图实现再生制动能量直接利用
Fig.9 Optimization of train timetable for direct utilization of regenerative braking energy
优化列车运行图(时刻表)实现再生制动能量直接利用的基本思路,就是创造条件使不同列车的牵引行为和制动行为在同一时间发生在同一供电区间内,并尽可能延长牵引工况与制动工况的重叠时间,实现再生制动能量传递,用于补充牵引能耗。
2)假设条件
高速列车制动行为一般发生在进站停车和限速区间控制车速时,再生制动能量瞬时功率大,具有强冲击特性。因此,忽略可能影响研究的次要因素,对高速铁路多列车再生制动能量的直接利用作以下前提条件假设:
(1)列车制动产生的再生制动能量可即时反馈至牵引网,直接被同一供电区间内处于牵引工况的列车利用。
(2)再生制动能量反馈、传递和利用过程中,不考虑能量流动过程中的传输损耗和时间延误。
(3)再生制动能量返送不会引起保护装置误动作和绝缘受损等,多余的再生制动能量通过制动电阻以热能形式耗散。
(4)列车在区间追踪优化所得的节能速度曲线运行,由于司机操纵的不确定性而产生的再生制动能量不作考虑。
3)利用场景
由于舒适性要求,列车运行过程中会避免频繁制动,即使以下坡方向运行于坡道段时,也会采取“提前制动+惰行+补充制动”的运行策略,非长大坡道路段产生的再生制动能量有限。值得关注的是,列车进站停车时,采取最大制动策略,必然产生丰富的再生制动能量;相反,列车出站加速时,采用最大牵引策略,对应的牵引耗能需求也相对较大。
因此,多列车再生制动能量利用研究的场景聚焦于存在到达列车和出发列车的车站内。实际系统中,车站附近一般不设置电分相,保证了进/出站列车运行于同一供电区间,若在到达列车采取最大制动工况进站时恰好有出发列车采取最大牵引工况加速出站,此时进站列车产生的再生制动能量便可有效传递给出站列车消耗,减少了出站列车从外部电网获取的电能。
4)实现方式
铺画列车运行图不仅需要根据实际线路的客流情况来满足运力需求,还需要采取措施提升其抗干扰能力,如需要在列车间隔运行、车站停靠运行、列车运行线间运行过程中合理预留一些缓冲时间,称为冗余时间。冗余时间的引入,一方面可以增强运行图的鲁棒性和灵活性;另一方面,合理利用冗余时间可以有效减少列车运行能耗、降低列车运营成本。
既有列车运行图编制中并未充分考虑利用冗余时间降低系统能耗,大大削弱了列车运行图的节能效果。实现前述多列车再生制动能量利用,可考虑利用冗余时间调整列车区间运行时分,促进站内到达列车最大制动工况与出发列车最大牵引工况的重叠,如图10所示。
3.1.3 弹性冗余时间利用方法
列车在区间的运行时间由最小区间运行时间和区间冗余时间确定,车站停站时间由最小停站时间和车站冗余时间确定,即
图10 冗余时间利用实现再生制动能量传递
Fig.10 Buffer time utilization for regenerative braking energy transfer
(4)
式中,
、
分别为列车在区间的运行时间和车站停站时间;
、
分别为列车的最小区间运行时间和最小停站时间;
、
分别为列车的区间冗余时间和车站冗余时间。
为实现站内再生制动能量传递利用,需调整进/出站时间相近列车的到达/出发时刻使最大制动/牵引工况重叠,本文考虑将部分冗余时间用于调整列车到达/出发时刻,将此部分冗余时间记为弹性冗余时间,如图11所示。
图11 弹性冗余时间示意图
Fig.11 Schematic diagram of elastic buffer time
实际系统中,列车的区间运行和停站时间应满足
(5)
式中,
、
分别为列车l离开k车站和到达k+1车站的时间;
=1表示列车l在k车站停车,若不停车,则
=0;
为列车l在车站k的计划时间。
由于乘客上下车需求,列车可以提前到达或延迟出发,不能延迟到达或提前出发。提前到达或延迟出发,本质上都是压缩了列车在停站上一区间或停站下一区间的运行时间,这一过程均可通过弹性冗余时间利用实现。
相邻两列车在到达车站时,间隔时间需满足最小到达间隔时间,出站时需满足最小出发间隔时间。区间运行过程中,弹性冗余时间利用过多可能导致列车早点,若追踪运行的前车未出清进站进路,后车司机会提前减速,在紧急情况下易加大操作失误的概率,导致安全隐患。因此,本文研究不考虑同向运行的列车,重点研究上/下行列车之间进站制动停车和出站牵引加速过程的能量传递。
通过多列车弹性冗余时间利用和单列车节能运行优化,将实现牵引能耗节约和再生制动能量利用两个目标。多列车弹性冗余时间利用和单列车节能运行优化的环境及其状态满足马尔可夫性,可分别视为马尔可夫决策过程(Markov Decision Process, MDP)。由于单列车节能运行优化依赖利用多列车弹性冗余时间后的目标运行时间作为输入,故可构建分层优化模型。基于SCA-DQN的高速列车运行分层优化模型如图12所示,智能体模块均采用正余弦算法改进的深度Q网络(SCA-DQN)作为主算法。
3.2.1 上层:多列车弹性冗余时间利用MDP模型
1)状态空间
上层模型的状态空间定义为
(6)
式中,
、
分别为列车m与n到车站k的距离;
、
分别为列车m与n到车站k的平均速度。
特别地,由于高速铁路枢纽车站和非枢纽站对列车到达时刻准点性的要求程度不同,枢纽车站的列车到达时刻与列车运行图规定到达时刻一致性要求较高,因此车站k只表示非枢纽车站。
2)动作空间
动作空间是一个包括了智能体在特定状态下可以执行的所有动作的集合。上层模型动作空间定义为
(7)
式中,
、
分别为可被列车m与n利用的弹性冗余时间,且分别满足关系
(8)
(9)

图12 基于SCA-DQN的高速列车运行分层优化模型
Fig.12 SCA-DQN-based hierarchical optimization model for high-speed train operation
即列车利用弹性冗余时间后,可以提前到达或延迟出发,不能延迟到达或提前出发。
3)奖励函数
上层模型的奖励函数定义为
(10)
式中,B1为一对上/下行列车在站内实现最大牵引/制动工况重叠的奖励;B2为利用了过多弹性冗余时间导致列车与图定运行时间偏差过大的惩罚;a、b 为权重系数,分别取0.3、200。其中,将B1、B2分别定义为
(11)
式中,
为列车m最大制动工况开始的时间;
为列车n最大牵引工况开始的时间。
(12)
3.2.2 下层:单列车节能运行优化MDP模型
1)状态空间
高速列车行驶时,在当前时刻处于运行区间中的位置、速度和运行时间可以反映列车的运行状态,故定义下层模型的状态空间为
(13)
式中,xi、vi、ti分别为i时刻列车所处位置、运行速度、运行时间,并满足约束
(14)
式中,X、V、T分别为区间线路长度、线路限速、最大允许运行时间。
2)动作空间
在实际系统中,司机操纵列车牵引/制动手柄,改变牵引/制动功率,实现列车工况转换,故可将列车在当前位置下的牵引/制动控制作为动作空间。
高速列车采用再生制动和空气制动结合、再生制动为主的制动方式,当再生制动力不足时再由空气制动补充。由于空气制动不产生或消耗电能,对列车运行能耗的影响可以忽略不计,故在本文研究中,假设列车完全采用再生制动方式制动。
由于实际系统中不同型号列车的牵引/制动级(挡)位设置有所不同,为便于算法设计,依据不同车型的牵引/制动特性,选取在最大牵引/再生制动力的0%、25%、50%、75%、100%对应的牵引/再生制动力作为5个离散的牵引/制动等级。下层模型的动作空间定义为
(15)
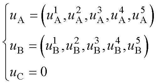
式中,uA、uB、uC分别为牵引工况、制动工况、惰行工况下的牵引/制动等级,牵引工况与制动工况均包含五个等级动作,惰行工况下无动作,即
(16)
3)奖励函数
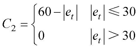
综合考虑列车运行中的节能性、准时性、舒适性、碳减排要求,设计下层模型的奖励函数为
(17)
式中,C1、C2、C3分别为对列车运行节能性、准时性、舒适性的奖励;DCE为碳排放量;m 为奖励权重,m1、m2、m3、m4分别取0.15、0.5、100、0.05。
特别地,对节能性的奖励需要计算列车在每一步状态转移过程中的能耗,设定奖励函数与能耗呈负相关,故将状态Sk转移为
的能耗奖励函数C1定义为
(18)
式中,b和d分别为能耗的折扣系数和偏移系数;Ek为状态Sk转移为
的列车运行能耗,定义为
(19)
式中,F(v)为列车牵引力函数;tk、
分别为状态Sk、
对应的列车运行时间。
列车应按照调度人员下达的指令,尽可能准点到达前方车站,准时性用列车实际到站时刻与弹性冗余时间利用后的计划运行图中到站时刻之差et表示。本文限定列车实际到站时刻与计划运行图中到站时刻偏离不超过30 s,定义准时性奖励函数C2为
(20)
列车运行加速度的变化程度为d,即列车运行加速度对运行时间的变化率,是舒适性的决定性指标,该指标也可用于量化乘客满意度。本文限定加速度变化率不超过0.5 m/s3,以保证列车乘坐舒适性,定义舒适性奖励函数C3为
(21)
由式(1)~式(3)可知,列车运行过程的碳排放量主要由牵引用电量决定。基于网-车-线耦合关系求得牵引用电量ET,依据基础资料的不同,可通过式(1)~式(3)任一式计算碳排放量。将状态Sk转移为
的能耗所对应的碳排放量DCE设为负奖励,视为碳排放惩罚。
3.2.3 SCA-DQN算法
DQN作为一种经典的深度强化学习算法,适用于列车节能运行分层优化问题中时间分配和工况切换这类离散动作场景,具有较低的计算复杂度和较高的稳定性。
为进一步提升求解效率,避免局部最优,以便于实际部署,将SCA[35]应用于DQN中,通过SCA调整目标网络权重,加速算法收敛并增强稳定性。
SCA运行时首先创建多个初始随机候选解,然后进行个体更新,得
(22)
式中,
为第t次迭代时当前解在第i维的位置;r1为控制参数;r2为[0, 2p]间的随机数;r3为[0, 2]间的随机数;r4为[0, 1]间的随机数;
为第t次迭代时最优解在第i维的位置。
随机候选解基于正弦函数和余弦函数向最优解方向波动,利用随机变量和自适应变量计算当前解所在位置,实现对空间中不同区域的搜索,有效地避免了局部最优。
利用SCA改进DQN,构成SCA-DQN算法,SCA-DQN算法中,
、
、
分别为当前目标网络、下一目标网络、最佳目标网络的权重值;函数振幅由r1随网络收敛情况自适应地调整,进一步
提高算法的适应性和收敛速度。
(23)
式中,t为当前迭代次数;Y为最大迭代次数;z为常数,z=2。
SCA-DQN算法中SCA在目标网络权重附近作局部搜索,用于优化目标网络的性能,但仍保持Q网络复制到目标网络的机制。基于SCA-DQN算法的高速列车节能运行分层优化流程如图13所示。
基于SCA-DQN算法的高速列车节能运行分层优化中上下层智能体协同作用,通过SCA优化目标网络和DQN经验回放机制相结合,增强了目标网络的稳定性和算法的全局搜索能力,加快了Q网络的收敛速度,提高了模型求解效率。
图13 分层优化流程
Fig.13 Flowchart of hierarchical optimization
使用Python3.7编程语言和PyTroch1.7.1学习架构搭建模型,以实际系统中的列车运行数据为研究对象,分别验证SCA-DQN算法性能、单列车节能运行优化的节能性以及列车节能运行分层优化的节能性。优化结果对比见表1。
表1 优化结果对比
Tab.1 Comparison of optimization results
算法训练回合运行时间/s能耗/(kW·h)碳排放量/kg SCA-DQN7 0001 369803.403558.767 DQN7 0001 367.5816.357567.776 Q学习6×1051 377.4886.261616.395 DP—1 3651 004.062698.325
算例信息见附表1[36],构建列车运行仿真环境,算法模型中深度神经网络设置为3个隐藏层,各层神经元数量分别为30、60、100,神经元激活函数采用线性整流函数(Rectified Linear Unit, ReLU),其他超参数设置见附表2。
表1中,从训练回合、运行时间和能耗数据方面进行对比,可见相较于DP、Q学习、DQN算法,SCA-DQN算法效率提升显著,其模型训练仅需Q学习训练回合数的1.2%,优化后的列车在满足规定运行时分的同时,节能降碳率分别提升19.9%、9.3%、1.6%。
奖励函数曲线如图14所示,在同为7 000训练回合次数下,SCA-DQN算法的收敛速度更快、收敛性能更好,稳定后的奖励值略高于DQN算法,证明了所提方法能更好地满足列车运行的节能性、准时性、舒适性和碳减排要求。
图14 奖励函数曲线
Fig.14 Reward function curves
在相等训练回合间隔选择SCA-DQN算法优化后的列车速度曲线,得到速度-距离-回合迭代关系如图15所示。随着训练迭代次数增加,列车速度曲线逐渐趋于平滑,验证了优化后所得列车速度曲线满足实际运行要求。
图15 列车速度曲线迭代
Fig.15 Iteration of train speed profiles
以西成高铁西安北-鄠邑区间运行的某次列车为研究对象,算例信息见附表3,构建列车运行仿真环境,利用SCA-DQN算法迭代交互优化获得列车节能速度曲线,如图16所示。基于网-车-线耦合仿真,通过追踪优化所得列车节能速度曲线,得到列车速度、运行时间和功率关系如图17所示。
图16 列车节能速度曲线
Fig.16 Optimized energy-efficient speed profile of the train
图17 速度-时间-功率关系
Fig.17 Optimized speed-time-power relationship
利用牵引计算软件进行列车运行模拟,求得列车运行能耗和碳排放量。对比结果见表2,可见优化后列车实现节能降碳运行目标,节能降碳率达6.36%。
表2 优化结果对比
Tab.2 Comparison of optimization results
数据来源运行时间/s能耗/(kW·h)碳排放量/kg节能降碳率(%) 本算例优化1 032687.3503.26.36 运行模拟1 040734537.4
1)仿真数据
算例所选线路数据来源于宝兰高铁兰州西-天水南区间,见附表4。宝兰高铁兰州西-天水南区间各站间的最小运行时间、图定运行时间和冗余时间信息见附表5[37]。选择某日宝兰高铁兰州西-天水南区间实际运行的部分列车车次与出发/到达站点时间信息见附表6。
上层多车弹性冗余时间利用和下层单车节能运行优化的两个智能体模块结构相同,均设置为3个隐藏层,各层神经元数量分别为30、60、100,神经元激活函数采用ReLU。下层单车节能运行优化中SCA-DQN算法超参数设置同附表2,上层多车弹性冗余时间利用中的算法超参数设置见附表7。
2)仿真结果
分别计算宝兰高铁定西北站D8916与D2665、D2718与G429两对上/下行列车在各自运行区间的运行时间,利用SCA-DQN算法进行高速铁路多列车节能运行分层优化中的上层优化,实现多列车间的弹性冗余时间利用,优化后结果见表3。
表3 多列车弹性冗余时间优化利用结果
Tab.3 Results of optimal utilization of elastic buffer time
车次运行区间调整时间车站到站/发车状态原区间运行时间/s弹性冗余时间/s调整后运行时间/s到/发车时间 D8916定西北-通渭定西北发车1 800831 714204423 D2665天水南-定西北到站3 0001042 896204516 D2718定西北-天水南发车3 120663 054210306 G429秦安-定西北到站2 340152 325210345
对D8916与D2665、D2718与G429两对上/下行列车在定西北站进行弹性冗余时间利用后,各车次的运行时间和到/发车时间对应改变。需要注意的是,表3中的弹性冗余时间不应超过附表5规定的冗余时间,若运行区间跨越了附表5所示的多个区间,则弹性冗余时间不应超过所跨越运行区间各段冗余时间的总和。
经过上层优化过程,在对宝兰高铁D8916与D2665、D2718与G429两对上/下行列车进行弹性冗余时间利用的基础上,将调整后运行时间设置为目标运行时间,再次对各车次进行下层优化,即单列车节能运行优化,得到各车次的节能速度曲线,优化后的运行能耗和碳排放数据见表4。
以D8916与D2665次上/下行列车节能运行分层优化为例,上层优化中SCA-DQN算法的奖励函数收敛情况如图18所示,可见经过约400回合,奖励值趋于收敛。由于上、下层算法优化过程可视为各自独立进行,上、下层算法的收敛精度和训练速度互不影响。
表4 多列车弹性冗余时间优化利用后单列车节能运行优化结果
Tab.4 Energy-efficient optimization results after optimal utilization of elastic buffer time
车次目标运行时间/s仿真运行时间/s模拟能耗/ (kW·h)模拟碳排放量/kg优化后能耗/ (kW·h)优化后碳排放量/kg节能降碳率 (%) D89161 7141 7121 6021 172.91 524.11 115.84.86 D26652 8962 8953 9672 911.63 617.22 648.28.82 D27183 0543 0543 8892 847.23 664.22 682.75.78 G4292 3252 3271 9671 440.11 816.61 329.97.65
图18 奖励函曲线
Fig.18 Reward function curve
为便于反映D8916与D2665次上/下行列车的工况重叠时间,将下层优化所得的速度-距离曲线转化为速度-时间曲线,如图19所示,可见D8916次列车采用最大牵引工况出站,大约同一时间,D2665次列车采用最大制动工况进站,两车最大牵引/制动工况重叠时间约53 s。
图19 优化后两车速度-时间曲线
Fig.19 Speed-time curves of the two trains after optimization
基于网-车-线耦合仿真,通过目标速度曲线追踪得到D8916与D2665次上/下行列车速度、运行时间和功率关系如图20所示,可见两车再生制动功率与牵引功率在一定程度上实现互补,证明了再生制动能量存在传递、交互与利用过程。
图20 优化后两车速度-时间-功率关系
Fig.20 Optimized speed-time-power relationship between the two trains
本文针对与高速列车运行最密切相关的网、车、线三个环节,从各自的运行特点及其之间的耦合关系出发,从碳视角下分析了高速列车节能运行优化目标,基于SCA-DQN算法进行了高速列车节能运行分层优化,主要结论如下:
1)基于高速铁路牵引系统的能耗分布,结合双向系统碳排放核算思路和碳排放因子法,给出了网-车-线耦合碳排放的定性和定量分析方法,总结了高速列车节能运行优化的两个目标:减少牵引能耗和利用再生制动能量。
2)在明确单列车节能运行策略的基础上,从多列车间再生制动能量直接利用的角度出发,探究了多列车再生制动能量利用策略,为实现上/下行列车之间再生制动能量的传递利用,设计了弹性冗余时间利用方法。
3)基于SCA-DQN算法,建立了包含多列车弹性冗余时间利用和单列车节能运行优化的高速列车节能运行分层优化模型,所给优化方法实现了多列车间的再生制动能量传递利用和单列车的牵引能耗最低运行。
4)通过算例分析,验证了所给SCA-DQN算法效率提升显著,相较于DP、Q学习、DQN算法,单列车节能运行优化的列车节能降碳率分别提升19.9%、9.3%、1.6%;通过对实际线路运行的列车进行优化,单列车节能运行优化后的列车节能降碳率达到6.36%,受再生制动能量补充牵引能耗的两列列车节能降碳率分别达到8.82%和7.65%。
通过本文研究,明确了高速铁路网-车-线耦合关系,从碳视角下总结了高速列车节能运行优化目标,通过高速列车节能运行分层优化,实现了列车节能降碳运行,展示了所给方法的可行性和良好的应用前景。后续研究还可从实际系统的普遍性、特殊性和实际部署角度丰富本文研究,如面向普遍性,考虑路网条件、机车工电辆部门协同等;面向特殊性,考虑长大坡道线路、新能源和储能接入等;面向实际部署,考虑模型-数据混合驱动、在线-离线协同优化等。
附 录
1. 高速铁路网-车-线耦合关系
1)基于牵引计算的车-线动力学耦合
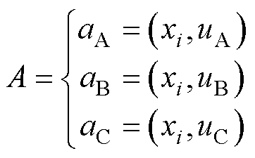
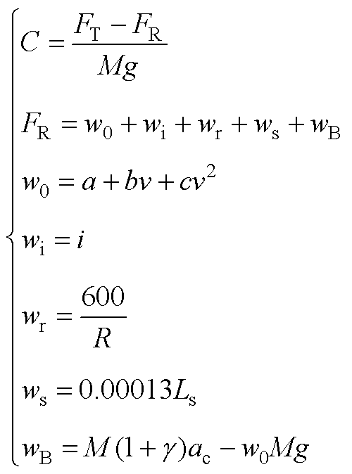
高速列车运行过程中的受力分析如附图1所示,在高速列车单质点模型中,列车在运行方向受力可表示为
(A1)
式中,C为高速列车所受单位合力;FT为高速列车受到的牵引力;FR为高速列车受到的阻力;M为高速列车质量;g为重力加速度;w0为列车单位基本阻力;a、b、c为基本运行阻力相关系数;wi为单位坡道附加阻力;i为坡道千分数;wr为单位曲线附加阻力;R为曲线半径;ws为单位隧道附加阻力;Ls为隧道长度;wB为车速v时施加n级常用制动时对应的综合制动力;ac为车速v时施加n级常用制动时对应的制动减速值;
为等效回转质量系数。

附图1 高速列车运行过程中的受力分析
App.Fig.1 Analysis of forces during high-speed train operation
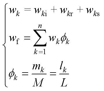
2)基于均质棒模型的线路附加阻力折算
高速列车均质棒模型如附图2所示,高速列车均质棒模型将列车视为刚体,其牵引力、制动力和基本阻力均可由单质点模型计算,附加阻力表示为
附图2 高速列车均质棒模型
App.Fig.2 Uniform particle rod model of high-speed train
(A2)
式中,wk为第k段车体受到的单位附加阻力;wki、wkr、wks分别为第k段车体受到的单位坡道附加阻力、单位曲线附加阻力、单位隧道附加阻力;wf为整车所受单位附加阻力;n为列车运行时所占用的附加阻力区段数;
为第k段车体质量占全列车总质量的比重;mk为第k段车体质量;lk为第k段车体长度;L为列车全长。
3)基于功/能转化的车-网电气耦合
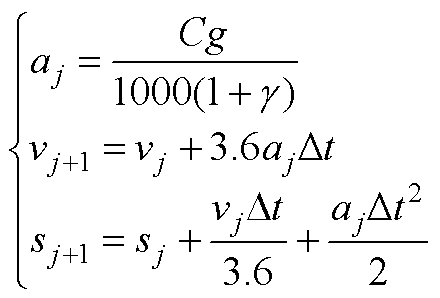
根据动能定律,高速列车单位合力、加速度、速度和位移之间的关系为
(A3)
式中,aj为第j步时列车的加速度;vj为第j步时列车的速度;sj为第j步时列车的位移;j为计算步数;Dt为计算时间步长。
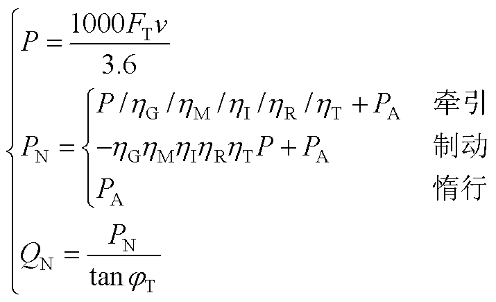
附图3所示为高速列车运行过程中的功率流向示意图,hT、hR、hI、hM、hG分别为高速列车的车载变压器、脉冲整流器、三相逆变器、牵引电机、变速箱的有功传输效率;PN、PT、PR、PI、PM、PA、P分别为牵引网侧、车载牵引变压器、脉冲整流器、三相逆变器、牵引电机、辅助供电系统、轮对输出的牵引功率。轮对输出的牵引功率、牵引网侧有功功率和无功功率为
(A4)
式中,v为高速列车的瞬时速度;QN为牵引网侧无功功率;jT为车载牵引变压器的功率因数角。

附图3 高速列车功率流向示意图
App.Fig.3 Schematic diagram of power flow of high-speed train
2. 算例相关参数
附表1 4.1节算例仿真环境信息
App.Tab.1 Simulation environment information
项 目信 息 线路京沈高铁黑山北—阜新区间 车型CR400BF 最高限速/(m/s)76 线路全长/km56 运行时分/s1 370
附表2 下层优化中SAC-DQN算法模型超参数设置
.Tab.2 Model hyperparameter setting for SCA-DQN algorithm in lower layer optimization
参 数数 值 学习率a0.001 折扣因子g0.75 经验池容量N12 000
(续)
参 数数 值 回访缓存容量n40 网络参数复制间隔C200 探索率e0.1
附表3 4.2节算例仿真环境信息
App.Tab.3 Simulation environment information
项 目信 息 线路西成高铁西安北—鄠邑区间 车型CRH380B 最高限速/(m/s)56 线路全长/km45 运行时分/s1 030
附表4 宝兰高铁兰州西-天水南区间线路信息
App.Tab.4 Baoji-Lanzhou high-speed railway Lanzhouxi-Tianshuinan section line information
区间兰州西-定西北定西北-秦安秦安-天水南 线路长度/km9413540 最大上坡坡度(‰)2517.623 最大下坡坡度(‰)-25-22-17.5 最大曲线半径/m11 004.610 004.611 004.6
附表5 兰州西-天水南区间各站间运行时间信息
App.Tab.5 Lanzhouxi-Tianshuinan section information of running time between stations (单位: s)
站间名称最短运行时间图定运行时间冗余时间 兰州西-定西北1 6071 800193 定西北-秦安2 2222 340118 秦安-天水南800900100
附表6 某日宝兰高铁兰州西-天水南区间运行部分列车时刻表
App.Tab.6 Baoji-Lanzhou high-speed railway Lanzhouxi-Tianshuinan district running part of the train schedule on a certain date
站名上行下行 D8916D2718D2665G429 开点到点停留/min开点到点停留/min开点到点停留/min开点到点停留/min 兰州西1958—出发202420186—2123到达—2136到达 榆中201820162204420422—————— 定西北204320349210221002205320476210621042 通渭211621133————————— 秦安214221348——————202520223 天水南—2157到达215721543195719525200720052
附表7 上层优化中SCA-DQN算法模型超参数设置
App.Tab.7 Model hyperparameter setting for SCA-DQN algorithm in upper layer optimization
参 数数 值 学习率a0.001 折扣因子g0.9 经验池容量N8 000 回放缓存容量n20 网络参数复制间隔D100 探索率e0.05
参考文献
[1] 陈冲, 贾利民, 赵天宇, 等. 去碳化导向的轨道交通与新能源融合发展: 形态模式、解决方案和使/赋能技术[J]. 电工技术学报, 2023, 38(12): 3321-3337.
Chen Chong, Jia Limin, Zhao Tianyu, et al. Decarbonization-oriented rail transportation and renewable energy integration development: con- figurations, solutions, and enabling/empowering technologies[J]. Transactions of China Electro- technical Society, 2023, 38(12): 3321-3337.
[2] Li Xin, Zhu Chengkun, Liu Yingzhi. Traction power supply system of China high-speed railway under low-carbon target: form evolution and operation control[J]. Electric Power Systems Research, 2023, 223: 109682.
[3] 张雷, 李明, 司志强, 等. 高速列车多目标均衡综合节能技术[M]. 北京: 中国铁道出版社, 2022.
[4] 李昱. 京沪高速铁路牵引供电系统能耗分析[J]. 电气化铁道, 2020, 31(2): 14-17.
Li Yu. Analysis of energy consumption of traction power supply system for Beijing-Shanghai high speed railway[J]. Electric Railway, 2020, 31(2): 14-17.
[5] 魏波, 胡海涛, 王科, 等. 基于实测数据和行车运行图的高铁牵引变电站负荷预测方法[J]. 电工技术学报, 2020, 35(1): 179-188.
Wei Bo, Hu Haitao, Wang Ke, et al. Research on traction load forecasting method for high-speed railway traction substation based on measured data and train timetable[J]. Transactions of China Elec- trotechnical Society, 2020, 35(1): 179-188.
[6] 章叶心, 邓云川, 刘志刚, 等. 一种长大下坡路段高速铁路再生制动能量的分析方法[J]. 电气传动, 2022, 52(17): 18-26.
Zhang Yexin, Deng Yunchuan, Liu Zhigang, et al. An analysis method for regenerative braking energy of high-speed railway under long downslope route[J]. Electric Drive, 2022, 52(17): 18-26.
[7] Wang Ke, Hu Haitao, Chen Junyu, et al. System-level dynamic energy consumption evaluation for high- speed railway[J]. IEEE Transactions on Trans- portation Electrification, 2019, 5(3): 745-757.
[8] 冯晓云, 黄德青, 王青元, 等. 轨道交通列车综合节能研究综述[J]. 铁道学报, 2023, 45(2): 22-34.
Feng Xiaoyun, Huang Deqing, Wang Qingyuan, et al. Overview on comprehensive energy saving schemes for rail transit train operation system[J]. Journal of the China Railway Society, 2023, 45(2): 22-34.
[9] 陈进杰, 吕希奎. 高速铁路区间节能坡设计方法研究[J]. 铁道学报, 2013, 35(12): 83-89.
Chen Jinjie, Lü Xikui. Research on method of energy saving gradient design for high-speed railway sections[J]. Journal of the China Railway Society, 2013, 35(12): 83-89.
[10] 张磊, 许帅康, 陈洁, 等. 列车车体轻量化设计研究进展[J]. 机械工程学报, 2023, 59(24): 177-196.
Zhang Lei, Xu Shuaikang, Chen Jie, et al. Research progress in lightweight design of train body[J]. Journal of Mechanical Engineering, 2023, 59(24): 177-196.
[11] 聂泉存. 基于改进粒子群算法的牵引变电所的数量及位置优化研究[D]. 兰州: 兰州交通大学, 2022.
Nie Quancun. Optimization of the number and location of traction substations based on improved particle swarm algorithm[D]. Lanzhou: Lanzhou Jiaotong University, 2022.
[12] 程卫军. 基于变压器新技术的高速铁路牵引变电所节能与标准化布置[J]. 电气技术, 2021, 22(1): 58-62.
Cheng Weijun. Energy saving and standardized layout of high-speed railway traction substation based on new technology of transformer[J]. Electrical Engin- eering, 2021, 22(1): 58-62.
[13] 胡海涛, 陈俊宇, 葛银波, 等. 高速铁路再生制动能量储存与利用技术研究[J]. 中国电机工程学报, 2020, 40(1): 246-256, 391.
Hu Haitao, Chen Junyu, Ge Yinbo, et al. Research on regenerative braking energy storage and utilization technology for high-speed railways[J]. Proceedings of the CSEE, 2020, 40(1): 246-256, 391.
[14] 袁佳歆, 曲锴, 郑先锋, 等. 高速铁路混合储能系统容量优化研究[J]. 电工技术学报, 2021, 36(19): 4161-4169, 4182.
Yuan Jiaxin, Qu Kai, Zheng Xianfeng, et al. Optimizing research on hybrid energy storage system of high speed railway[J]. Transactions of China Electrotechnical Society, 2021, 36(19): 4161-4169, 4182.
[15] 李欣, 卢景涛, 肖林润, 等. 高速铁路列车长大坡道混合储能系统容量优化配置[J]. 电工技术学报, 2023, 38(20): 5645-5660.
Li Xin, Lu Jingtao, Xiao Linrun, et al. Capacity optimization configuration of hybrid energy storage system for long steep slope of high-speed railway[J]. Transactions of China Electrotechnical Society, 2023, 38(20): 5645-5660.
[16] 李欣, 卢景涛, 黄文勋. 绿电牵引场景下高速铁路长大坡道混合储能系统容量优化配置[J/OL]. 中国电机工程学报, 2024, https://doi.org/10.13334/j. 0258-8013.pcsee.232070.
Li Xin, Lu Jingtao, Huang Wenxun. Capacity optimization of hybrid energy storage system for long steep slope of high-speed railway under green electric traction scenarios[J/OL]. Proceedings of the CSEE, 2024, https://doi.org/10.13334/j.0258-8013.pcsee.232070.
[17] 李俊豪, 涂春鸣, 王鑫, 等. 基于“规则+优化”的电气化铁路站点实时能量管控策略[J]. 电工技术学报, 2024, 39(11): 3339-3352.
Li Junhao, Tu Chunming, Wang Xin, et al. Real-time energy management strategy for electrified railroad stations based on “rules+optimization”[J]. Transa- ctions of China Electrotechnical Society, 2024, 39(11):3339-3352.
[18] 高锋阳, 宋志翔, 高建宁, 等. 计及光伏和储能接入的牵引供电系统能量管理策略[J]. 电工技术学报, 2024, 39(3): 745-757.
Gao Fengyang, Song Zhixiang, Gaojianning, et al. Energy management strategies for traction power systems with PV and energy storage access[J]. Transactions of China Electrotechnical Society, 2024, 39(3): 745-757.
[19] 陈冲, 贾利民, 赵天宇, 等. 光伏和储能植入铁路牵引供电系统的拓扑架构与控制策略研究综述[J]. 电工技术学报, 2024, 39(24): 7874-7901.
Chen Chong, Jia Limin, Zhao Tianyu, et al. Research review on topology and control strategy of PV and energy storage connected to railway traction power supply systems[J]. Transactions of China Electro- technical Society, 2024, 39(24): 7874-7901.
[20] 革新, 张玉召, 黄志鹏. 基于再生制动能利用的高铁列车运行图优化[J]. 深圳大学学报(理工版), 2023, 40(5): 539-545.
Ge Xin, Zhang Yuzhao, Huang Zhipeng. Optimization of high-speed train timetable based on regenerative braking energy utilization[J]. Journal of Shenzhen University (Science and Engineering), 2023, 40(5): 539-545.
[21] 章鹏. 超长大坡道条件下西成高铁节能优化研究[D]. 成都: 西南交通大学, 2020.
Zhang Peng. Study on energy saving optimization of Xi’an-Chengdu high speed railway under the con- dition of super long ramp[D]. Chengdu: Southwest Jiaotong University, 2020.
[22] Zhu Chengkun, Lu Jingtao, Li Xin. Review of studies on energy-efficient train operation in high-speed railways[J]. IEEJ Transactions on Electrical and Electronic Engineering, 2023, 18(3): 451-462.
[23] Chen Mo, Feng Xiaoyun, Wang Qingyuan, et al. Cooperative eco-driving of multi-train under DC traction net-work[J]. IEEE Transactions on Trans- portation Electrification, 2021, 7(3): 1805-1821.
[24] 肖壮, 冯晓云, 王青元, 等. 考虑电力牵引链路非线性损耗的列车节能驾驶方法[J]. 铁道学报, 2022, 44(10): 33-39.
Xiao Zhuang, Feng Xiaoyun, Wang Qingyuan, et al. Eco-driving for train considering nonlinear power loss of electric traction chain[J]. Journal of the China Railway Society, 2022, 44(10): 33-39.
[25] Sun Zheng, He Deqiang, He Yan, et al. A bi-objective optimization model of metro trains considering energy conservation and passenger waiting time[J]. Journal of Cleaner Production, 2024, 437: 140427.
[26] 盛昭. 考虑电分相的高速列车节能优化方法研究[D]. 北京: 北京交通大学, 2022.
Sheng Zhao. Energy-saving optimization method for high-speed trains considering neutral sections[D]. Beijing: Beijing Jiaotong University, 2022.
[27] 上官伟, 敦旖晨, 蔡伯根, 等. 基于群体合作演化的高速列车编队运行多目标优化[J]. 铁道学报, 2023, 45(8): 99-109.
Shangguan Wei, Dun Yichen, Cai Baigen, et al. Multi-objective optimization for high-speed train operation in platoon based on swarm cooperation evolution[J]. Journal of the China Railway Society, 2023, 45(8): 99-109.
[28] 康重庆, 杜尔顺, 李姚旺, 等. 新型电力系统的“碳视角”: 科学问题与研究框架[J]. 电网技术, 2022, 46(3): 821-833.
Kang Chongqing, Du Ershun, Li Yaowang, et al. Key sci-entific problems and research framework for carbon perspective research of new power systems[J]. Power System Technology, 2022, 46(3): 821-833.
[29] 孙菁阳, 孔祥玉, 陈一, 等. 电力系统全环节碳排放核算方法综述[J/OL]. 电力系统自动化, 2024, http://kns.cnki.net/kcms/detail/32.1180.TP.20240410.1325.002.html.
Sun Jingyang, Kong Xiangyu, Chen Yi, et al. Review of carbon emission accounting methods for power system[J/OL]. Automation of Electric Power Systems, 2024, http://kns.cnki.net/kcms/detail/32.1180.TP. 20240410.1325.002.html.
[30] Yang Chao, Liu Jinjie, Liao Huanxin, et al. An improved carbon emission flow method for the power grid with prosumers[J]. Energy Reports, 2023, 9: 114-121.
[31] 包维瀚, 李姚旺, 季节, 等. 储能系统与双向电力负荷的碳排放核算方法[J]. 电网技术, 2023, 47(8): 3049-3058.
Bao Weihan, Li Yaowang, Ji Jie, et al. Carbon emission accounting method for energy storage system and bidirectional power load[J]. Power System Technology, 2023, 47(8): 3049-3058.
[32] 陈进杰, 王兴举, 王祥琴, 等. 高速铁路全生命周期碳排放计算[J]. 铁道学报, 2016, 38(12): 47-55.
Chen Jinjie, Wang Xingju, Wang Xiangqin, et al. Calculation of carbon dioxide emissions in the life cycle of high-speed railway[J]. Journal of the China Railway Society, 2016, 38(12): 47-55.
[33] 曹猛, 袁振洲, 杨洋, 等. 京雄城际铁路全生命周期能耗及碳排放研究[J]. 交通运输系统工程与信息, 2024, 24(5): 37-44, 55.
Cao Meng, Yuan Zhenzhou, Yang Yang, et al. Research on energy consumption and carbon emissions in the whole life cycle of Beijing-Xiong’an intercity rail-way[J]. Journal of Transportation Systems Engineering and Information Technology, 2024, 24(5): 37-44, 55.
[34] 毛保华, 赵义馨, 李宁海, 等. 我国高速铁路与民航客运碳排放因子及其影响因素研究[J]. 北京交通大学学报, 2024, 48(4): 11-21.
Mao Baohua, Zhao Yixin, Li Ninghai, et al. Study on carbon emission factors and their influencing factors in high-speed railway and civil aviation passenger transport in China[J]. Journal of Beijing Jiaotong University, 2024, 48(4): 11-21.
[35] Mirjalili S. SCA: a sine cosine algorithm for solving optimization problems[J]. Knowledge-Based Systems, 2016, 96: 120-133.
[36] 张淼, 张琦, 张梓轩. 基于Q学习算法的高速铁路列车节能优化研究[J]. 铁道运输与经济, 2019, 41(12): 111-117.
Zhang Miao, Zhang Qi, Zhang Zixuan. A study on energy-saving optimization for high-speed railways train based on Q-learning algorithm[J]. Railway Transport and Economy, 2019, 41(12): 111-117.
[37] 李旭阳. 面向节能的高速列车运行分析与优化研究[D]. 兰州: 兰州交通大学, 2020.
Li Xuyang. Research on operation analysis and optimization for energy-saving operations of high- speed train[D]. Lanzhou: Lanzhou Jiaotong University, 2020.
Abstract The increasing operational mileage of high-speed railways brings significant energy consumption challenges. High-speed train operation energy consumption is the primary contributor to overall energy consumption in high-speed railway operations. During high-speed train operation, the traction power supply network (network), traction drive system (train), and line operating conditions (line) comprehensively affect train energy consumption through the external power grid’s energy supply, the conversion of electrical/mechanical energy driving train motion, and changes in additional resistance. Reducing high-speed train operational energy consumption will promote energy efficiency, green, low-carbon development, and high-quality development of high-speed railways.
First, starting from the architecture of the high-speed railway traction system, the coupling relationship among the network, train, and line during energy transfer, conversion, and consumption processes is clarified. Next, combining the bi-directional system carbon emission measurement concept, the coupled carbon emission characteristics of the network-train-line system are qualitatively analyzed under two scenarios: “accounting for regenerative braking energy feedback” and “non-accounting for regenerative braking energy feedback.” Using the carbon emission factor method, a quantitative analysis method is proposed for calculating high-speed train operational carbon emissions, integrating factors such as the power grid, fuel, and passenger volume. Considering energy savings and carbon reduction, two key objectives for optimizing energy-saving train operation are defined: reducing traction energy consumption and utilizing regenerative braking energy. A single-train operation strategy is presented based on the composition of energy-saving operating conditions. In contrast, a multi-train regenerative braking energy utilization strategy is designed, incorporating an elastic buffer time utilization method. Finally, a hierarchical optimization model for energy-efficient train operation is established. Its upper layer focuses on utilizing multi-train elastic buffer time, and the lower layer addresses optimizing single-train energy-saving operation. The sine-cosine algorithm (SCA) is used to improve the deep Q network (DQN), and the SCA-DQN algorithm is proposed. Simulation analysis is conducted using data from real-world high-speed railway systems.
Simulation results show that compared with the DP, Q-learning, and DQN algorithms, the SCA-DQN algorithm improves efficiency and energy savings, achieving energy-saving and carbon reduction rates of 19.9%, 9.3%, and 1.6%, respectively. For a train running on the Xi’anbei-Huyi section of the Xi’an-Chengdu high-speed railway, the optimized energy-saving and carbon reduction rate reaches 6.36%. For trains running on the Lanzhouxi-Tianshuinan section of the Baoji-Lanzhou high-speed railway, the energy-saving and carbon reduction rates of two trains supplemented by regenerative braking energy reach 8.82% and 7.65%, respectively.
keywords:High-speed railway, high-speed train, network-train-line coupling, energy-efficient optimization, improved deep Q network
DOI: 10.19595/j.cnki.1000-6753.tces.241808
中图分类号:U264
国家自然科学基金项目(51767015)、甘肃省自然科学基金重点项目(22JR5RA317)和甘肃省科技计划项目(24JRRA853)资助。
收稿日期 2024-10-16
改稿日期 2025-01-03
李 欣 男,1978年生,教授,博士生导师,研究方向为新能源接入轨道交通供配电系统协同规划与运行优化、双向动态无线电能传输系统建模与控制、高速公路路域绿色能源自洽供给与高效利用、高性能电机驱动与控制等。E-mail: lxfp167@163.com(通信作者)
朱成琨 男,1998年生,博士研究生,研究方向为轨道交通系统能量管理与优化。E-mail: zck928@163.com
(编辑 陈 诚)