摘要 高压太阳电池阵在低地球轨道(LEO)等离子体环境中极易发生一次放电,影响其绝缘性能和正常工作,威胁航天器的安全运行。该文首先基于电流平衡方程,采用粒子云网格(PIC)法,对航天器在低地球轨道等离子体环境中的表面充电效应进行仿真,得到了阴影区和光照区等不同工况下表面电位分布及等离子体鞘层厚度,并利用有限元法计算了三结合处宏观电场分布。然后,基于尖端场致发射效应,建立了一次放电诱发微观模型,探究诱发微观过程,获得了不同偏压的诱发规律、尖端变化及局部微观粒子分布,并分析了该模型忽略空间电荷效应的合理性。最后,通过地面模拟实验系统测得一次放电偏压阈值和电流波形,分析了仿真与实验结果存在差异性的原因。该研究对揭示空间高压太阳电池阵一次放电微观机理及风险评估具有重要的理论指导意义。
关键词:高压太阳电池阵 等离子体 表面充电效应 一次放电 尖端场致发射
随着空间站和卫星技术的不断发展,对航天器电源系统的需求不断提高,100 kW以上超大功率电源系统成为下一代航天器能源系统的发展趋势。为满足大功率需求,可通过高电压和大电流实现传输,但大电流传输会带来庞大功率电缆质量以及欧姆损耗等问题,因此高电压和低电流的高压太阳电池阵成为必然选择[1-3]。然而,高压太阳电池阵大面积暴露在空间等离子体中,会发生表面-等离子体相互作用,在玻璃盖片、互连片和基板(又称“三结合处”)之间形成反向电位梯度,诱发静电放电(Electrostatic Discharge, ESD),又称一次放电[4-6]。放电会对表面材料造成物理损伤,甚至引起破坏性持续电弧而短路和烧毁,严重威胁航天器的安全寿命。
表面充电效应模拟可以有效地获得航天器在不同空间环境中的表面带电规律,并进一步对其放电的可能性进行分析。文献[7]提出了空间站在出地影瞬间快速带电的物理模型,分析了异常带电特征,结果表明,在出地影瞬间太阳电池阵收集的空间电子电流来不及被玻璃盖片的表面电动势堵塞,从而造成结构体瞬间处于较高的悬浮负电位以满足电流平衡。文献[8]使用粒子云网格(Particle in Cell, PIC)法对航天器在低轨不同光照区的表面充电效应进行仿真分析,结果表明,在极光电子沉降区表面不等量电位差超过了500 V,在光照区表面电位差约为几十V,且随着偏置电位的增加而变大。文献[9]对航天器在太阳风中的表面充电效应进行仿真分析,结果表明,在向阳面时光电子和二次电子对表面充电电位起主导作用,背阳面时则主要受尾迹效应影响。文献[10]提出了一种基于反向传播神经网络的反演模型,通过探测器在相同充电环境中的电位可快速推导出非探测区域的表面充电电位。上述研究仅对表面充电宏观电位分布特征进行分析,缺乏对三结合处一次放电的诱发微观过程进行研究。
根据真空预击穿理论,金属表面场发射是高电场击穿的主要因素[11-12]。由于毛刺尖端和划痕等微观几何的不规则性,造成局部电场严重畸变,电子通过隧道效应从金属表面逃逸,形成击穿放电的初级电子[13-15]。文献[16]研究了真空间隙尖端在预放电加热过程中场效应电流的变化规律,发现击穿开始于1~10 ns量级时间内的尖端爆炸,电流密度高达1013 A/m2,尖端处电场达到1010 V/m,且尖端越细长,爆炸的可能性越大。文献[17]考虑诺廷汉效应和空间电荷效应,模拟分析了阴极尖端爆炸电子发射的热效应,并给出了不同材料阴极爆炸电子发射的延迟时间。文献[18]建立了一维平板真空二极管物理模型,模拟发现在场致发射作用下,爆炸电子发射初期阴极表面电场呈现振荡衰减并趋于稳定的现象。文献[19]建立了微米间隙击穿的二维模型,仿真发现,在5 mm间隙内,阴极尖端场发射电流占阳极电流的95%以上,成为气隙击穿的主要机制之一,且尖端曲率半径小于5 mm时对电场畸变的影响较大。上述研究从微观粒子、电场畸变及尖端场发射电流等方面对尖端击穿机制进行了深入研究,但空间太阳电池阵处于复杂的等离子体环境中,三结合处的放电诱发微观过程无法使用理想的尖端击穿机制,还需考虑不同工况下的表面-等离子体相互作用。
为此,本文采用PIC方法,首先,建立了航天器三维表面充电效应模型,考虑空间太阳电池阵工作过程中的三个典型电位点,获得不同工况下的表面充电电位分布特征及周围等离子体鞘层分布情况,并利用有限元方法模拟得到三结合处的宏观电场分布规律。然后,将表面充电效应与真空尖端击穿机制相结合,建立了一次放电诱发微观模型,探究了不同偏压下的场致发射电流变化、尖端变化特性及微观粒子分布,与一次放电诱发微观过程分析保持一致。最后,通过模拟实验测得了太阳电池阵一次放电的偏压阈值及电流波形,比较了不同玻璃盖片厚度对一次偏压阈值的影响,验证了该模型的有效性。
在低地球轨道(Low Earth Orbit, LEO)等离子体环境中,电子与离子的密度和能量接近,由于离子质量比电子质量大几个数量级,电子运动速度远大于离子运动速度,因此入射到航天器表面的电子电流比离子电流大得多,表面积累负电荷,形成的电场排斥电子、吸引离子,形成等离子体鞘层,最终达到一种动态平衡状态。航天器表面与空间等离子体相互作用示意图如图1所示。当达到动态平衡时,表面静电流为0,电流平衡方程可表示为
(1)
式中,Ie为入射电子电流;Ii为入射离子电流;Isec为二次电子电流;Ibs为背散射电子电流;Iph为光电子流;
为表面电位。

图1 航天器表面与等离子体相互作用示意图
Fig.1 Schematic diagram of the interaction between spacecraft and plasma
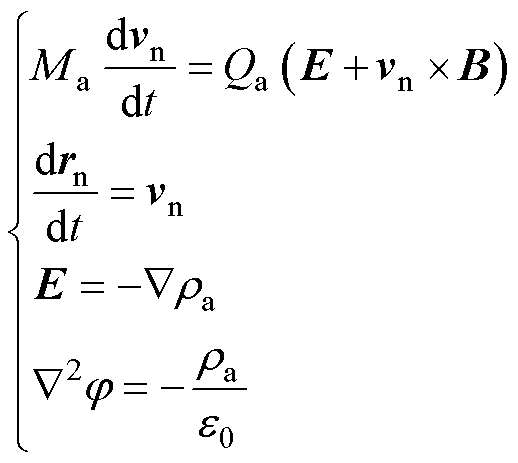
航天器等离子体相互作用软件(Spacecraft Plasma Interaction Software, SPIS)采用PIC方法,引入宏粒子来代替一群真实粒子,无需对所有粒子进行逐个计算,大大提高了计算效率。通过经典粒子运行方程来求解PIC模拟中宏粒子运动行为[20],有
(2)
式中,Ma和Qa分别为粒子云的质量和电荷量;rn和vn分别为粒子的运动位置和速度;E和B分别为粒子所处的电场强度和磁感应强度;
为空间电荷密度;
为真空介电常数。在仿真过程中为简化计算,对电子和离子分别采用Boltzmann近似处理和PIC粒子追踪,计算域外边界条件采用Neumann边界条件,内边界条件采用Dirichlet边界条件。
航天器几何结构如图2所示,主体结构尺寸为0.6 m×0.8 m×1 m,太阳电池阵几何结构尺寸为2.3 m×0.8 m×0.05 m,银互连片长为0.1 m、宽为0.08 m,为与航天器太阳电池阵真实工况保持一致,太阳电池阵左右翼分别采用三组银互连片,设置工作时的不同典型电位。
航天器各部位材料属性见表1,航天器主体表面为聚酰亚胺(Kapton)绝缘隔热材料,其中下表面设置为航天器的结构地,表面附有氧化铟锡(Indium Tin Oxide, ITO)导电膜,太阳电池阵正面为玻璃盖片(Coverglass Equipped with Reflective Surface, CERS),表面有增强透光的MgF2镀膜,太阳电池阵侧面和背面均为碳纤维复合材料(Carbon Fiber Reinforced Polymer, CFRP),银互连片位于太阳电池片之间。
图2 航天器几何结构
Fig.2 Spacecraft structure
表1 航天器各部位材料
Tab.1 The materials of spacecraft
材料名称位置电气节点 ITO航天器主体下表面Node 0 Kapton航天器主体表面Node 1 银太阳电池阵负端 (银互连片1)Node 2 银太阳电池阵U/2处 (银互连片2)Node 3 银太阳电池阵正端 (银互连片3)Node 4 CERS+MgF2太阳电池阵向光面Node 5 CFRP太阳电池阵基板Node 6
针对航天器不同部位,在对电路方程数值求解时设置对应的电节点,每种材料等效为电容与电阻的并联,在低能电子和离子作用下,向空间发射和吸收电流,直到达到动态平衡,表面静电流为0。设置Node 0为航天器结构地,初始电位为0,航天器相对于无穷远处的电容为20 nF,三组银互连片的偏置电位分别为0、U/2和U,U为太阳电池阵工作电压,太阳电池阵基板与航天器结构地之间采用37.5 kW的去耦电阻进行连接。
1.3.1 阴影区
LEO等离子体环境具有“低温稠密”的特点,电子和离子密度为1×1011 m-3,电子温度为0.2 eV,离子温度为0.1 eV。假设航天器沿Z轴方向以7.5 km/s速度运动,会经历阴影区和光照区两种工况。在阴影区时无光照,太阳电池阵工作电压为0,即Node 3和Node 4相对于Node 2的电位偏置为0。航天器表面充电电流变化如图3所示,在0.5 ms左右达到充电平衡状态,电流和为零,其中发射二次电子电流包括二次电子电流和背散射电子电流。充电平衡后的表面电位分布如图4所示,银互连片的充电电位最高为-0.85 V,太阳电池阵玻璃盖片表面最高充电电位为-0.758 V,太阳电池阵基板最低电位为-0.942 V,航天器结构地电位为-0.85 V,去耦电阻造成了二者之间0.092 V的电位差。
图3 阴影区航天器表面充电电流变化
Fig.3 Charging current on spacecraft surface in shadow
图4 阴影区航天器表面电位分布
Fig.4 Surface potential distribution of spacecraft in shadow
当航天器在运动过程中与高速等离子体相互作用,此时二者相对运动速度为7.5 km/s,离子热运动速度约为1.1 km/s,电子热运动速度为265.4 km/s,等离子体与航天器的相对运动速度远大于离子热速度而小于电子热速度,离子由于航天器的阻碍难以到达航天器背部;同时由于离子质量远大于电子质量,即电子热速度将远大于离子热速度,使得电子更容易在背面重新聚集,最终导致离子尾迹区域的形成并使其带有较高的负电位。根据图4可得航天器表面电位为负,且离子的漂移能力小于表面势能,因此离子在移动过程中会受到航天器表面的吸引,尾迹区域会内缩,形成缩减尾迹,如图5所示。离子尾迹会对空间等离子体分布及测量仪器造成一定影响,同时由于尾迹区域的高负电位对周围电子产生了一定的排斥作用,会影响并改变表面充电电位。
图5 航天器周围离子数密度分布
Fig.5 Ion density distribution around spacecraft
1.3.2 光照区
当航天器处于光照区时,由于光电效应,光子从表面材料中激发光电子。设置光照沿X轴负方向,太阳电池阵处于发电状态,工作电压为U,设置Node 3和Node 4相对于Node 2的电位偏置分别为U/2和U。目前,航天器工作电压主要包括低压28 V、42 V和高压100 V三个等级,未来高压太阳电池阵电压等级可能达到400 V。因此,本文对28、100、200和400 V的太阳电池阵分别进行了表面充电仿真,其中100 V时表面充电仿真结果如图6所示。
根据图6可得,在充电1 ms左右达到了动态平衡状态,此时太阳电池阵表面最高充电电位为0.46 V,基板最低充电电位为-80.7 V,银互连片最低充电电位为-96.03 V,三结合处最大电位差达到了96.49 V左右。原因是在光照区表面充电时,向光面受光电子和入射电子的主导作用,表面二次电子发射系数较大,因此净吸收电子电流较小,而背面则是入射电子起主导作用,使充电电位较负。当充电达到动态平衡时,航天器处于负电位状态,周围存在一定的等离子体鞘层,垂直于航天器太阳电池阵背/向光面的截面电位分布如图7所示,等离子体鞘层包裹着整个航天器。
图6 光照区100 V航天器表面充电电位和电流变化
Fig.6 Surface potential and charging current at 100 V in illumination
图7 光照区100 V航天器周围等离子体鞘层
Fig.7 Plasma sheath around spacecraft at 100 V in illumination
分别选取从太阳电池阵向光面和背光面出发的垂直线段AB和CD,均长1.5 m,沿两个线段的电位分布如图8所示,可以看到,从表面出发,随着距离的增加,电位逐渐趋于0,且太阳电池阵的向光面和背光面的鞘层厚度分别为0.15 m和0.71 m,符合鞘层电位分布趋势。根据Child-Langmuir(C-L)定律,等离子体鞘层厚度L可近似表示[21-22]为
(3)
式中,
为鞘层边界电子德拜长度;V0为鞘层电位降;e为电子电荷量;Te为电子温度。由于太阳电池阵向光面由多块电池片组成,且受银互连片电位的影响,其表面鞘层分布不均匀,与C-L定律中的平板鞘层条件不符。不同工况下太阳电池阵背光面鞘层厚度见表2。
由表2可得,在不同工况下,太阳电池阵背面鞘层厚度与理论计算鞘层厚度的误差为10%左右,在合理的误差范围内。造成此误差的主要原因:一是太阳电池阵向阳面电位分布会对背光面鞘层产生一定的影响;二是航天器处于运动状态,虽然相对于电子热速度较小,但运动会对等离子体的分布产生一定的扰动。
图8 光照区100 V太阳电池阵背/向光面鞘层厚度
Fig.8 Sheath thickness of back-light/face-light surface at 100 V in illumination
表2 不同工况下航天器背面鞘层厚度对比结果
Tab.2 Comparison of sheath thickness on back-light surface at different conditions
工况鞘层电位降/V鞘层厚度/m误差(%) 仿真结果C-L计算 无光照0.750.0260.02218.18 28 V16.80.250.238.70 100 V86.50.710.79-10.13 200 V102.30.820.90-8.89 400 V181.21.261.37-8.03
利用有限元法建立太阳电池阵三结合处的电场分布模型,将表面充电获得的不同部位的电位导入,可获得三结合处的宏观电场分布。图9为光照100 V工作电压等级时三结合处宏观电场分布截面,在玻璃盖片侧面和银互连片之间、银互连片和底部基板之间均形成了局部宏观电场畸变,使其电场强度大大增加,最大电场强度达到了1.05×107 V/m。不同工况下的统计结果见表3。
图9 光照100 V三结合处宏观电场分布
Fig.9 The electric field distribution of the triple-junction at 100 V in illumination
表3 不同工况下航天器表面充电结果
Tab.3 The surface charging results at different conditions
工况充电平衡时间/ ms电位/V三结合处最大电场强度/ (V/m) 玻璃盖片银1银2银3基板 28 V0.55-0.34-25.66-11.662.34-16.632.36×106 100 V1.30-0.46-96.03-46.033.97-80.71.05×107 200 V1.55-0.48-99.860.14100.14-83.942.30×107 400 V3.28-0.53-196.233.77203.77-185.34.36×107
根据表3,随着工作电压等级的提高,太阳电池阵表面充电电位更负,且达到充电平衡的时间更长;主要原因是随着工作电压升高,吸引电子能力越强,电子入射电流更大,虽然同时离子入射电流和发射二次电子也会增大,但航天器的净吸收电子电流仍是增大的,因此表面附着的电子更多,即表面电位更负,从而三结合处最大电位差更大,导致最大电场强度逐步增大。在400 V工作电压时,最大电场强度达到了4.36×107 V/m。上述三结合处宏观电场的仿真分析均是基于规则几何形状和理想工艺情况下,而在实际制作工艺中,太阳电池阵几何结构往往会有几何畸变情况,在银互连片和太阳电池片侧面部位存在较多的不规则突起和尖端等情况,使局部电场增大数倍,因此放电风险大大增加。
根据表面充电效应模拟可知,太阳电池阵三结合处的宏观电场强度在107 V/m量级,不足以通过隧道效应使电子从金属表面逃逸,而在微观尺度上,导体的几何不规则性可以使电场强度显著增强。场增强机制主要有两种:一是微观不规则结构,即微米尖端;二是由于导体表面附着微米介电材料而导致场增强。
本文仅考虑尖端几何引起的场增强,通过在太阳电池阵三结合处附近的微米尺度区域上施加电场增强因子来建模。三结合处微观不规则示意图如图10所示,玻璃盖片、太阳电池片和基板之间通过室温硫化(Room Temperature Vulcanized, RTV)胶粘连,在该模型中,因为微米尖端的存在,电场在局部畸变增强,由于表面场发射效应作用,产生大量电子;电子在反向电位梯度电场作用下加速,并与盖玻片侧面发生碰撞,盖玻片二次电子发射(Secondary Electron Emission, SEE)系数大于1,在电子轰击下产生更多电子。在场发射和二次电子的综合作用下,电子电流呈指数级增长,电流的增加导致尖端熔化,通过蒸发产生中性粒子,从而进一步电离,形成一次放电的初始电流,因此该中性粒子被认为是一次放电诱发阶段的主要介质。
图10 三结合处微观不规则示意图
Fig.10 Schematic diagram of microscopic irregularity at the triple-junction
一次放电诱发模拟基于放电击穿发生在微米尖端的假设,即三结合处微米尖端电子发射机制主要是场效应发射(Field Effect Emission, FEE),电子通过隧道效应从导体中产生,电流密度JFN由Fowler- Nordheim(F-N)方程表示[23]为
(4)
式中,E为表面法向电场强度;
为金属功函数;a和b为常数。
对于太阳电池阵三结合处的金属材料,主要是银,逸出功函数约为4.7 eV,对于温度为0 K的金属,法线上的能量分散约为0.5 eV,并随着温度和电场的增加而增加,在本模型中忽略二者的影响。认为产生的电子温度是1 eV,并符合麦克斯韦分布,在受到局部电场的影响,被加速到正端介质时的能量为几百eV,处于高效二次电子发射的典型范围内[24],即产率大于1,从而激发出更多电子,形成正反馈,加剧了电场增强和场效应,诱发电子雪崩。即三结合处放电的早期电子雪崩由场发射和二次发射综合作用产生,时间尺度通常为几ns。
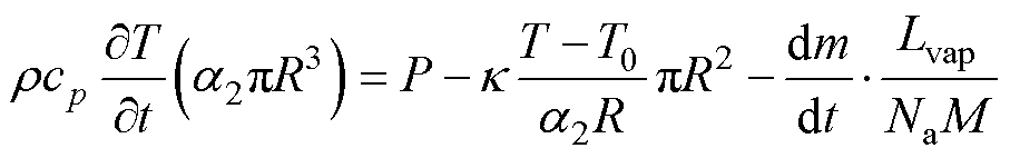
尖端模型旨在计算F-N电流与尖端行为之间的相互作用,包括尖端热模型、几何形状随温度变化以及诱发一次放电的中性粒子密度变化。为了模拟尖端热行为,将其简化为圆柱体,如图11所示。假设尖端仅在10倍半径长度上加热,基于尖端末端的热功率平衡,考虑F-N电子电流的的焦耳热、体积传导和原子蒸发,忽略诺廷汉效应和尖端尺度上的空间电荷效应,尖端温度与F-N电子电流的函数关系可表示[17]为
(5)
式中,
与尖端几何形状有关;
为尖端材料密度;cp为比热容;P为焦耳热功率,
,
为电导率;
为热导率;R为尖端半径;T为尖端处温度;T0为距离尖端
处金属温度;dm/dt为质量损失率;Lvap为汽化能;Na为阿伏伽德罗常数;M为金属原子质量。

图11 一次放电诱发模拟几何示意图
Fig.11 Schematic diagram of primary discharge induction simulation geometry
尖端长度因尖端末端蒸发造成质量损失而变化,尖端体积变化可表示为
(6)
式中,V为尖端体积,V=
R2L;Aevap为蒸发面面积;KB为玻耳兹曼常数。
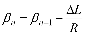
尖端长度L的变化可以通过考虑尖端半径R的守恒来推断,同时作为与尖端温度相关联的函数导致场增强因子降低,则场增强因子的变化可表示为
(7)
式中,n为计算的第n个时间步长;bn为第n个时间步长的场增强因子。
一次放电的触发概率由式(6)中尖端所蒸发的中性粒子量决定,中性粒子密度的分布与距尖端的距离有关,假设中性粒子密度为尖端距离1/r2的函数,则电离概率可表示为
(8)
式中,Seff ion为中性粒子电离的有效截面;r为距离尖端长度。当电离概率大于1时,体积中的电离足以维持自我放电,此时可判断为一次放电被诱发。
基于SPIS-ESD模块,采用上述一次放电诱发模型,进行LEO等离子体环境中太阳电池阵三结合处的一次放电诱发模拟,等离子体参数与上述表面充电效应保持一致,微观模型几何结构如图11所示,在0.04 m×0.04 m×0.006 m的长方体中构建三结合处的微观尖端计算域,其中银尖端长度为1× 10-6 m,半径为1×10-8 m,玻璃盖片厚度为1×10-4 m。
一次放电诱发模拟流程如图12所示,在每个时间步长中,均需进行材料表面-等离子体相互作用,对表面电位分布、势垒和热功率平衡进行计算,并根据尖端体积变化对场增强因子进行修正,当诱发一次放电或达到该偏压下的持续时间阈值时,进入下一个偏压阈值进行模拟。由于航天器穿过极光区的时间多变,以典型光照区的表面充电效应结果为参考,设置偏压最大值为-220 V,初始偏压设置为-60 V,首先以-10 V/步长降低到-100 V,之后以-30 V/步长进行降低,每个偏压步长下最大持续时间为8 s,电场增强因子初值取800。
图12 一次放电诱发模拟流程
Fig.12 Simulation process of primary discharge induction
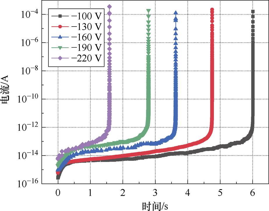
当场增强因子初始值设置为800时,在每个偏压步长8 s持续时间内,发现在-100 V及更低偏压会发生一次放电,不同偏压下的尖端场致发射电流IF-N如图13所示。可以看出,在不同偏压作用下,初始时刻尖端场致发射电流IF-N约为10-15 A,与式(4)理论计算结果保持一致。随着三结合处电位的演变,IF-N逐渐增大,且偏压越大,IF-N增加越快,导致发生一次放电击穿所需时间越少,依次为6.02、4.76、3.63、2.79和1.59 s。可计算出发生一次放电击穿时的尖端场致发射电流密度约为1012 A/m2,与W. P. Dyke等在场发射管中高电场击穿实验结果保持一致[25],说明了本模拟结果的准确性和有效性。
图13 不同偏压下的尖端场致发射电流变化
Fig.13 Tip field emission current at different bias voltages
偏压为-160 V时的玻璃盖片和银互连片表面电流变化如图14所示,在初始时刻吸收电流和发射电流变化较大,发生表面充电效应,随后逐渐趋于动态平衡状态,但是由于尖端场致发射电流的存在,难以达到稳定状态,处于一种“弱平衡态”。在发生一次放电击穿瞬间,在二次电子和场致发射的作用下,“弱平衡”状态被打破,玻璃盖片和银互连片的吸收和发射电流同时剧增。
图14 偏压-160 V玻璃盖片和银互连片表面电流变化
Fig.14 Surface current of coverglass and silver at -160 V
结合图13和图14,初始时刻玻璃盖片和银互连片吸收电流变化较大,导致二者之间的差分电位变化较大,尖端场致发射电流IF-N增加较快,随后进入“弱平衡态”,IF-N增加较为缓慢;随着三结合处电子不断增多,加剧了电场增强和场效应作用,最后诱发电子雪崩,导致IF-N骤增。
偏压-160 V尖端温度和蒸发中性粒子数密度变化如图15所示。根据图15,发生一次放电击穿时,尖端蒸发的中性粒子数密度和温度骤增。在1 240 K时,中性粒子数密度骤增至1014 m-3,此时达到了银的熔点,逐渐开始发生熔化蒸发过程,尖端长度减少,直到电离概率大于1,认为发生一次放电击穿,尖端处的中性粒子数密度达到了1025 m-3数量级。偏压越大,中性粒子数密度越高,对应的发生一次放电击穿时场增强因子越低,分别为798.92、796.24、795.01、793.53和791.25,主要原因是偏压越大,尖端场致发射电流IF-N的变化越陡,蒸发的中性粒子越多,导致尖端缩短越多,一次放电击穿时场增强因子越低。
图15 偏压-160 V尖端温度和蒸发中性粒子数密度变化
Fig.15 Tip temperature and evaporation neutral particle number density at -160 V
图16为发生一次放电击穿时场致发射电子数密度分布,与图14中尖端场致发射电流IF-N骤增时刻对应,可以看到三结合处的F-N电子密度达到了1017 m-3数量级,但并未快速填充到整个计算体积中。由于F-N电子的增多,玻璃盖片二次电子发射系数大于1,因此激发出更多的二次电子。图17为三结合处的二次电子数密度分布,可见在玻璃盖片侧面二次电子明显增多,达到了1016 m-3数量级,与上述一次放电诱发微观过程分析保持一致,此时形成正向反馈,加剧电场增强和场效应,诱发电子雪崩。
图16 偏压-160 V放电击穿时场致发射电子数密度分布
Fig.16 Distribution of field emission electron number density during discharge breakdown at -160 V
图17 偏压-160 V放电击穿时二次电子数密度分布
Fig.17 Distribution of secondary electron number density during discharge breakdown at -160 V
在图13中,尖端场致发射最大电流可达0.54 mA,对应最大电流密度约为8.6×1011 A/m2,在必须考虑空间电荷效应的阈值1012 A/m2附近[17]。根据图16可以看出,F-N电子数密度在三结合处的梯度较大,并未快速填充到整个计算体积并到达介质表面,空间电荷未快速达到稳定状态。然而模拟中随着时间步长的减小,在发生一次放电击穿时,时间步长小于10-9 s,因此电流密度在1012 A/m2附近仅发生在非常短的ns级时间内。同时根据图14,最大吸收电流约为0.29 mA,是尖端最大场致发射电流的1/2左右,因此在该时间尺度下,空间电荷限制的影响较小。文献[26]建立了从场致发射电流到空间电荷限制电流的转变动态模型,提出一种瞬态机制,其中场致发射电流可以超过空间电荷限制电流,因此在该模型中,忽略空间电荷限制较为合理。后续可从纳米级尺度尖端模拟对时间的依赖性来明确论证空间电荷限制的影响。
模拟实验系统及电路如图18所示,将太阳电池样件固定于真空罐内支架上,通过法兰盘与外电路连接,等离子体源采用电子回旋共振型,罐内压强为5×10-3 Pa,等离子体密度为1×1011 m-3左右,电子温度为2 eV,使用探针实时监测罐内等离子体密度。样件使用的是3串2并型三结砷化镓太阳电池样件,左右串间距为2 mm,太阳电池片之间通过银互连片相连,并通过RTV胶固定于铝蜂窝基板上,四组样件的玻璃盖片厚度分别为0.09、0.1、0.2和0.3 mm。将太阳电池样件的PN两端和基板均接到偏压上,通过偏压+等离子体环境方法模拟反向电位梯度,并逐步调节偏压电位以探究诱发一次放电的偏压值。R1为模拟太阳电池阵基板与航天器结构地之间电阻,取37.5 kW,Rb为限流电阻,取10 MW,Cb为补充电容,取20 nF。偏压选取-50 V作为起始电压,等待1 h,监测CP1支路电流,若发生一次放电,则实验结束;否则,将偏压降低5 V,继续监测1 h。重复上述实验步骤,直至发生一次放电。
图18 实验系统及电路
Fig.18 Test system and circuit
对于玻璃盖片厚度为0.1 mm的样件,当偏压为-115 V时,发生一次放电,测得电流波形如图19所示。放电电流上升到峰值的5%仅需0.38 ms左右,在合理的时间范围内;通过电流方向,可以判断出一次放电过程是银互连片向空间发射电子,可推断出银互连片作为放电阴极提供了诱发放电的初级电子,与上述一次放电诱发过程分析保持一致。
不同玻璃盖片厚度样件的一次放电偏压阈值仿真和实验结果如图20所示。可以看出,随着玻璃盖片厚度增加,偏压阈值绝对值呈减小趋势,主要原因是,随着厚度增加,三结合处的玻璃盖片侧面积增加,在空间等离子体和F-N电子作用下,二次电子效应增强,导致三结合处电位差和电子密度增加,加剧电子雪崩的发生。但实验与仿真结果存在一定差异,主要原因有两点:一是上述一次放电诱发模拟仅考虑了尖端场致发射效应,并未考虑热发射效应;二是模拟采用的是三结合处局部微观模拟,与实验中样件存在一定差异,包括尖端形状、大小、数量和位置等。
图19 一次放电电流波形
Fig.19 Primary discharge current waveform
图20 一次放电偏压阈值
Fig.20 The bias voltage threshold of primary discharge
为探究航天器高压太阳电池阵一次放电诱发微观过程,本文基于表面充电效应与尖端场发射效应,建立了三结合处一次放电诱发微观模型,采用PIC方法对表面充电特性和放电诱发微观过程进行仿真分析,具体结论如下:
1)随着空间高压太阳电池阵工作电压等级的提高,表面充电电位更负,达到平衡时间更长,且易形成离子缩减尾迹现象,增加尾迹区域的局部电位差。在不同工况下,三结合处的玻璃盖片侧面和银互连片之间、银互连片和底部基板之间易形成局部宏观电场畸变,达到107 V/m等级。
2)在三结合处局部微观诱发放电中,尖端诱发放电偏压为-100 V左右,且随着偏压的降低,诱发一次放电击穿所需时间更短。放电击穿时尖端场致发射电流密度约为1012 A/m2,局部F-N电子密度达到了1017 m-3数量级,且玻璃盖片侧面二次电子明显增多,形成正向反馈,加剧电场增强和场效应,与一次放电诱发微观过程分析保持一致。
3)通过地面模拟实验测得玻璃盖片厚度为0.09、0.1、0.2和0.3 mm四组样件的一次放电偏压阈值分别为-115、-115、-110和-95 V,仿真与实验结果存在一定差异性,但趋势保持一致,随着玻璃盖片厚度的增加,偏压阈值绝对值呈减小趋势。
4)该一次放电诱发微观模型仅考虑了尖端场致发射效应和二次电子作用,后续研究可增加热场致发射电子与局部碰撞电离,实现表面充电-放电诱发-放电初级电流整个一次放电初始过程的探究分析。同时在放电诱发阶段,可从纳米级尺度尖端模拟对时间的依赖性来明确论证空间电荷效应的影响。除此之外,可在实验中增加非接触式静电电位计,对样件表面充电电位分布进行监测。
参考文献
[1] 陈琦, 刘治钢, 张晓峰, 等. 航天器电源技术[M]. 北京: 北京理工大学出版社, 2018.
[2] 侯欣宾, 王立, 李庆民, 等. 空间太阳能电站高压大功率电力传输关键技术综述[J]. 电工技术学报, 2018, 33(14): 3385-3395.
Hou Xinbin, Wang Li, Li Qingmin, et al. Review of key technologies for high-voltage and high-power transmission in space solar power station[J]. Transa- ctions of China Electrotechnical Society, 2018, 33(14): 3385-3395.
[3] Cho M, Masui H, Iwai S, et al. Three hundred fifty volt photovoltaic power generation in low earth orbit[J]. Journal of Spacecraft and Rockets, 2013, 51(1): 379-381.
[4] Wei Dejie, Zhu Liying. Study on plasma expansion model of primary discharge on spacecraft solar array[J]. Plasma Science and Technology, 2024, 26(11): 115301.
[5] Zhu Liying, Liu Zhigang, Zhang Xiaofeng, et al. Study on volt-ampere characteristics of solar array arcs in LEO spacecraft[J]. Plasma Science and Technology, 2019, 21(2): 025302.
[6] 周荔丹, 闫朝鑫, 姚钢, 等. 空间辐射环境对航天器分布式电力系统关键部件的影响及应对策略[J]. 电工技术学报, 2022, 37(6): 1365-1380.
Zhou Lidan, Yan Chaoxin, Yao Gang, et al. Influence of space radiation environment on critical components of spacecraft distributed power system and counter- measures[J]. Transactions of China Electrotechnical Society, 2022, 37(6): 1365-1380.
[7] 黄建国, 易忠, 孟立飞, 等. 空间站快速充电事件的机理研究[J]. 物理学报, 2013, 62(9): 574-581.
Huang Jianguo, Yi Zhong, Meng Lifei, et al. Mechanism of rapid-charging events for international space station[J]. Acta Physica Sinica, 2013, 62(9): 574-581.
[8] 赵呈选, 李得天, 杨生胜, 等. 低地球轨道航天器表面充电及其环境影响因素[J]. 高电压技术, 2017, 43(5): 1438-1444.
Zhao Chengxuan, Li Detian, Yang Shengsheng, et al. Surface charging and its environment influencing factors for low earth orbit spacecraft[J]. High Voltage Engineering, 2017, 43(5): 1438-1444.
[9] 郝建红, 黄赛, 赵强, 等. 太阳风作用下航天器表面充电效应分析[J]. 国防科技大学学报, 2022, 44(3): 131-138.
Hao Jianhong, Huang Sai, Zhao Qiang, et al. Analysis of charging effect on spacecraft surface under solar wind[J]. Journal of National University of Defense Technology, 2022, 44(3): 131-138.
[10] Quan Ronghui, Zhang Chengyue, Zhang Haicheng. An inversion model to obtain spacecraft surface potential based on neural network[J]. IEEE Transa- ctions on Plasma Science, 2023, 51(4): 1181-1187.
[11] 成永红, 孟国栋, 董承业. 微纳尺度电气击穿特性和放电规律研究综述[J]. 电工技术学报, 2017, 32(2): 13-23.
Cheng Yonghong, Meng Guodong, Dong Chengye. Review on the breakdown characteristics and discharge behaviors at the micro & nano scale[J]. Transactions of China Electrotechnical Society, 2017, 32(2): 13-23.
[12] 蒋原, 马速良, 武建文, 等. 中频真空电弧边缘击穿现象及仿真研究[J]. 电工技术学报, 2024, 39(9): 2887-2895.
Jiang Yuan, Ma Suliang, Wu Jianwen, et al. Experiment and simulation for edge breakdown in intermediate frequency vacuum arc[J]. Transactions of China Electrotechnical Society, 2024, 39(9): 2887-2895.
[13] 程显, 刘赛, 葛国伟, 等. ±400 kV直流穿墙套管用环保气体的绝缘特性[J]. 电工技术学报, 2025, 40(3): 900-912.
Cheng Xian, Liu Sai, Ge Guowei, et al. Insulation characterization of environmentally friendly gases for ±400 kV DC wall bushing[J]. Transactions of China Electrotechnical Society, 2025, 40(3): 900-912.
[14] 杨帆, 张玉琛, 王鹏博, 等. 电容屏破损缺陷局部放电过程规律特征及仿真分析[J]. 电工技术学报, 2024, 39(9): 2860-2872.
Yang Fan, Zhang Yuchen, Wang Pengbo, et al. Characteristics and simulation analysis of partial discharge process of condenser foil layer defect[J]. Transactions of China Electrotechnical Society, 2024, 39(9): 2860-2872.
[15] 王党树, 邓翾, 刘树林, 等. 甲烷/空气混合气体在针板电极下的微间隙放电特性[J]. 电工技术学报, 2023, 38(13): 3388-3399.
Wang Dangshu, Deng Xuan, Liu Shulin, et al. Microgap discharge characteristics of methane/air under the needle plate electrode[J]. Transactions of China Electrotechnical Society, 2023, 38(13): 3388- 3399.
[16] Rossetti P, Paganucci F, Andrenucci M. Numerical model of thermoelectric phenomena leading to cathode-spot ignition[J]. IEEE Transactions on Plasma Science, 2002, 30(4): 1561-1567.
[17] Sun Jun, Liu Guozhi. Numerical modeling of thermal response of thermofield electron emission leading to explosive electron emission[J]. IEEE Transactions on Plasma Science, 2005, 33(5): 1487-1490.
[18] 左应红, 王建国, 朱金辉, 等. 爆炸电子发射初期阴极表面电场的研究[J]. 物理学报, 2012, 61(17): 525-531.
Zuo Yinghong, Wang Jianguo, Zhu Jinhui, et al. Investigation of the cathode electric field at the initial stage of explosive electron emission[J]. Acta Physica Sinica, 2012, 61(17): 525-531.
[19] 常泽洲, 孟国栋, 应琪, 等. 阴极曲率半径对微米尺度气隙击穿的影响规律研究[J]. 电工技术学报, 2023, 38(4): 1032-1041.
Chang Zezhou, Meng Guodong, Ying Qi, et al. Study on the influence of cathode radius on the breakdown characteristics across microgaps in air[J]. Transa- ctions of China Electrotechnical Society, 2023, 38(4): 1032-1041.
[20] 许亮亮, 蔡明辉, 杨涛, 等. SMILE卫星的表面充电效应[J]. 物理学报, 2020, 69(16): 199-206.
Xu Liangliang, Cai Minghui, Yang Tao, et al. Surface charging effect of the satellite SMILE[J]. Acta Physica Sinica, 2020, 69(16): 199-206.
[21] Child C D. Discharge from hot CaO[J]. Physical Review (Series I), 1911, 32(5): 492-511.
[22] Langmuir I. The effect of space charge and residual gases on thermionic currents in high vacuum[J]. Physical Review, 1913, 2(6): 450-486.
[23] Fowler R H, Nordheim L. Electron emission in intense electric fields[J]. Proceedings of the Royal Society of London Series A, Containing Papers of a Mathematical and Physical Character, 1928, 119(781): 173-181.
[24] Nuwal N, Levin D A. Influence of secondary electron emission on plasma-surface interactions in the low earth orbit environment[J]. Plasma Sources Science and Technology, 2021, 30(3): 035015.
[25] Dyke W P, Trolan J K. Field emission: large current densities, space charge, and the vacuum arc[J]. Physical Review, 1953, 89(4): 799-808.
[26] Feng Y, Verboncoeur J P. Transition from Fowler- Nordheim field emission to space charge limited current density[J]. Physics of Plasmas, 2006, 13(7): 073105.
Abstract In the low earth orbit (LEO) plasma environment, the solar array surface interacts with the plasma to form an inverse potential gradient, and primary discharge may be induced under the significant potential difference. It affects the insulation performance and normal operation, threatening the safe operation of the spacecraft. The previous research on the surface charging effect has only analyzed the macroscopic potential distribution characteristics, without examining the induced microscopic process on the primary discharge at the triple junction. The ideal tip breakdown mechanism cannot be used to explore the microscopic process of primary discharge, and the surface-plasma interaction under different working conditions needs to be considered. Therefore, by combining the surface charging effect and the vacuum tip breakdown mechanism, the primary discharge induction microscopic model is established to reveal the microscopic process.
Firstly, based on the current balance equation, a three-dimensional surface charging effect model of the spacecraft is established by the particle in cell (PIC) method. Considering three typical potential points in the working process of spacecraft solar array, the distribution characteristics of surface charging potential and the distribution of surrounding plasma sheath under different working conditions are obtained, and the macroscopic electric field distribution at the triple junction is obtained by the finite element method. It is found that with the increase of the working voltage of the high voltage solar array, the surface charging potential is more negative, the equilibrium time is longer, and the local macroscopic electric field at the triple junction reaches 107 V/m. The ion reduced wake phenomenon is formed at the tail of the spacecraft, which increases the local potential difference in the wake region.
Secondly, based on the surface charging effect and the vacuum tip breakdown mechanism, the primary discharge induction microscopic model is established. The field emission current, tip physical characteristics, and microscopic particle distribution under different bias voltages are explored. When the thickness of the cover glass is 1mm, the bias voltage threshold for inducing primary discharge is -100 V. As the bias voltage decreases, the time required to induce discharge breakdown decreases. When the primary discharge breakdown occurs, the tip temperature and the number density of evaporated neutral particles increase sharply. The tip field emission current density is about 1012 A/m2, the local Fowler-Nordheim (F-N) electron density reaches 1017 m-3, and the secondary electron on the side of the cover glass increases significantly, forming a positive feedback, which aggravates the electric field enhancement and field effect.
Finally, the bias voltage threshold and current of primary discharge are measured by the ground simulation test system. According to the direction of the primary discharge current, the primary discharge process is that the silver interconnect emits electrons into space. It can be inferred that the silver interconnect, as the cathode, provides the primary electrons to induce primary discharge. The bias voltage thresholds of four samples with different cover glass thicknesses are -115, -115, -110, and -95 V, respectively. The simulation and experimental results are consistent. As the thickness of the cover glass increases, the absolute value of the bias voltage threshold decreases. This research has theoretical significance for revealing the microscopic mechanism and risk assessment of primary discharge on a spacecraft’s high-voltage solar array.
keywords:High voltage solar array, plasma, surface charging effect, primary discharge, tip field emission
DOI: 10.19595/j.cnki.1000-6753.tces.242237
中图分类号:TM81
国家自然科学基金资助项目(52377130)。
收稿日期 2024-12-13
改稿日期 2025-03-10
尉德杰 男,1995年生,博士研究生,研究方向为航天器电源系统空间环境效应、真空电弧理论。E-mail: wdj120225@163.com
武建文 男,1963年生,教授,博士生导师,研究方向为真空电弧理论、气体放电理论、智能电器及电力电子技术等。E-mail: wujianwen@vip.sina.com(通信作者)
(编辑 崔文静)