考虑弧根转移和开断电流的微型断路器电寿命评估方法

何志鹏 赵 虎 李伟林

(西北工业大学自动化学院 西安 710129)

摘要 微型断路器(MCB)是低压配电系统中一类重要的保护开关,其健康状态影响配电系统的电气安全。然而,现有的电寿命评估方法没有考虑弧根转移和开断电流等因素,造成评估精度低和鲁棒性差。该文基于微型断路器开断过程中的弧根转移现象及电流大小对触头烧蚀的影响,提出一种电寿命评估方法。首先,搭建微型断路器电寿命实验平台,通过高速相机观察不同实验条件下的电弧运动过程,分析讨论起弧相位和开断电流对弧根转移的影响规律。然后,从电弧电压和电弧电流中提取电弧烧蚀触头的时间和电弧电量,并通过数据拟合确定开断电流和触头烧蚀因子的关系。最后,构建一个以电弧电量和触头烧蚀因子为输入、以触头厚度减少量为输出的微型断路器电寿命评估模型。经过实验验证,该方法的平均预测误差小于其他方法的预测误差,且在预测误差为8.14%的前提下,该方法适用于不同电流大小的场景,相关工作对智能断路器研发具有一定的参考价值。

关键词:微型断路器 电寿命评估 弧根转移 开断电流 触头烧蚀

0 引言

随着电力物联网技术的发展,智能断路器应运而生,它们在传统断路器的基础上增加了许多其他功能,如远程控制、电能计量、电弧检测等[1-3]。智能断路器不仅具备传统断路器的短路、过载、漏电保护功能,而且在智慧能源管理系统中还扮演接触器和继电器的角色,这使得它们的开断频次大幅提升[4-5]。当断路器开断电路时,触头间产生的电弧烧蚀触头材料,容易产生触头磨损,引起微型断路器(Miniature Circuit Breaker, MCB)合闸失效和熄弧困难,进而威胁配电系统的电气安全[6-7]。微型断路器的寿命分为机械寿命和电寿命,由于制造工艺成熟,微型断路器的机械寿命远大于电寿命。因此,对微型断路器的电寿命进行实时的健康监测有助于构建更加安全可靠的配电系统[8]

根据开关电器电寿命评估模型的构建原理,现有电寿命评估方法可以分为两类:一类是基于电弧烧蚀触头过程构建的物理模型:另一类是基于概率统计和人工智能方法构建的数据驱动模型。

在电弧烧蚀触头物理模型构建方面,Zhou Xue等[9]结合热传递、流体动力学和气体动力学等理论构建了一个银触头熔池蒸发模型,并确定了不同电流下的触头烧蚀率。在此基础上,Cui Xinglei等[10]通过计算触头烧蚀量构建了一个高压直流继电器的电寿命预测模型。为了更加精准地预测触头烧蚀量,韩智云等[11]和李兴文等[12]在构建电弧烧蚀触头物理模型时分别考虑了蒸发烧蚀和喷溅烧蚀。此外,李静等[13]基于磁流体动力学构建了一个电弧烧蚀触头模型,并分析了熔蚀过程对触头分断特性的影响。这些方法通过经验模型、机理模型以及半机理半经验模型等揭示了开关电器电寿命退化机制,在描述电弧烧蚀触头物理过程的基础上实现电寿命预测。但电弧烧蚀触头过程涉及热、电磁和力等多种物理过程,导致建模过程复杂且计算繁琐。另外,微型断路器内部包括引弧角、隔弧壁和外加磁铁等部件,这些因素均影响电弧烧蚀触头的过程,考虑这些因素将增加建模难度。

与第一类开关电器电寿命评估方法不同,基于数据驱动的模型无需完全了解开关电器电寿命退化机理,通过大量实验数据对预测模型进行训练,借助机器学习方法就可以得到精确的预测效果。例如,Li Kui等[14]利用触头烧蚀量反映接触器电寿命退化程度,并基于Wiener过程构建了接触器电寿命评估模型。李奎等[15]使用累积燃弧能量和合闸时间作为特征向量,通过BP神经网络预测接触器的剩余寿命。Li Bin等[16]使用经验模态分解提取接触电阻中的特征信息,通过长短期记忆神经网络重构接触电阻信号,并依据接触电阻和接触压力的关系预测继电器的电寿命。游颖敏等[17]采用快速傅里叶变换分析接触器合闸时的音频特征,运用卷积神经网络构建接触器音频特征与电寿命的关联模型。

使用机器学习方法构建开关电器电寿命预测模型需要大量的训练数据,而电寿命实验的测试周期较长,且实验成本较高。另外,使用机器学习方法训练的电寿命预测模型没有明确的物理含义,其适用性仍需进一步验证。文献[18]提出一种基于动触头回落时间的微型断路器电寿命评估方法,该方法通过观察断路器分断过程影像确定表征触头磨损的特征量,仅使用较少的实验数据完成动触头回落时间和微型断路器电寿命关系的构建。赵成晨等[19]通过研究触头质量损失和燃弧特征量的关系建立了不同电流范围内平均触头质量损失率的数学模型,进而提出不同电流应力下低压断路器剩余寿命预测方法。此外,Sun Shuguang等[20]使用触头电压和燃弧能量作为特征向量,通过线性回归构建特征向量和接触器电寿命性能退化参数的关系。郑淑梅等[21]通过研究电弧电流和触头烧蚀的关系建立了基于起弧相位的触头磨损数学模型,并基于损伤累积效应建立了交流接触器电寿命分布特征的数学模型。

综上所述,尽管现有研究对开关电器电寿命评估开展了大量工作,但主要集中在继电器和接触器上,针对微型断路器的研究相对较少。此外,现有方法在评估微型断路器电寿命时,未能综合考虑弧根转移和开断电流等关键因素。与继电器和接触器不同,微型断路器的开断过程存在弧根转移现象:当电弧从触头区域转移到跑弧道时,电弧虽继续燃烧,却不再烧蚀触头。同时,不同的开断电流对触头烧蚀的影响存在显著差异。忽略这些因素会直接降低电寿命评估模型的预测精度和鲁棒性。

为解决上述问题,本文提出一种考虑弧根转移和开断电流的微型断路器电寿命评估方法。首先,通过高速相机在微小时间尺度内观察不同实验条件下的微型断路器燃弧过程,分析总结起弧相位和开断电流对弧根转移的影响规律。然后,基于弧根转移时电弧电压变化特征提取电弧烧蚀触头的时间和电弧电量,并通过数据拟合确定开断电流和触头烧蚀因子的关系。最后,提出一种以电弧电量和触头烧蚀因子为输入、以触头厚度减少量为输出的微型断路器电寿命评估模型,并通过实验验证该模型的准确性和鲁棒性。

1 实验平台

微型断路器整体结构及其触头系统如图1所示。微型断路器的结构如图1a所示,主要由操作机构、触头系统、灭弧系统、短路和过载脱扣系统等组成[22]。当动静触头分离并产生电弧时,触头会吸收电弧能量,导致图1b中点画线标注部位发生触头烧蚀。在大电流条件(如短路电流)下,触头烧蚀以喷溅的形式为主;而在小电流条件(如额定电流)下,触头烧蚀以蒸发的形式为主[23-24]。本文主要研究额定电流下的触头烧蚀现象。

width=177.8,height=256.3

图1 微型断路器整体结构及其触头系统

Fig.1 Integrated architecture and contact mechanism of a MCB

为模拟微型断路器的电寿命退化过程,搭建了如图2所示的实验平台。该平台由实验回路、自动合分闸机构、信号采集模块、起弧相位判定模块和上位机等部分组成。

width=223.9,height=411.55

图2 微型断路器电寿命实验平台

Fig.2 Electrical life test platform for MCBs

实验回路由电压源(220 V/50 Hz)、测试微型断路器和负载依次串联组成,其主要作用是为微型断路器的电寿命实验提供一个接近真实工作环境的电气条件。自动合分闸机构由可编程逻辑控制器、微型电机、合分闸机械结构和位置传感器等组成,负责推动微型断路器手柄实现自动合闸操作。信号采集模块由数据采集卡(PCI-3361)和两个霍尔电压传感器(DVL 1000)组成,用于采集触头电压和负载电压,实现电寿命实验过程中关键数据的记录。起弧相位判定模块由微控制器、信号采样调理电路和电磁铁驱动电路等组成。信号采样调理电路将电流信号转换为可供微控制器采集的弱电信号。微控制器实时读取该信号,并根据电流瞬时值、电流最大值以及相邻数据点间的变化关系判断当前电流相位。当检测到电流相位落入预设范围内时,微控制器向电磁铁驱动电路发送脱扣信号,驱动测试微型断路器中的脱扣系统动作,从而实现分闸操作。通过该模块,可以在不同电流相位下断开电路,进而探究不同起弧相位对燃弧过程的影响。上位机是微型断路器电寿命实验平台的控制中心,它与可编程逻辑控制器、微控制器和数据采集卡进行通信,实现电寿命实验自动化进行。

微型断路器电寿命实验平台的控制步骤可以分为四步:①自动合分闸机构推动微型断路器手柄完成断路器合闸;②上位机驱动信号采集模块完成信号采集准备任务;③起弧相位判定模块检测电流相位,并在指定时刻触发脱扣机构完成断路器分闸;④上位机从数据采集卡中读取数据完成数据存储。

本文选择六只额定电流为16 A的微型断路器(FXBNLE-63)开展电寿命实验,具体的实验参数见表1。每只测试样机在其服役周期内仅开展固定电流大小和起弧相位的实验。当起弧相位在0°~180°内时,燃弧过程发生在电流正半波,静触头电位高于动触头电位。相反,当起弧相位在180°~360°内时,燃弧过程发生在电流负半波,动触头电位高于静触头电位。

表1 电寿命实验的实验参数

Tab.1 Experimental parameters of electrical life test

参数1号2号3号4号5号6号 起弧相位/(°)902709027090270 实验电流/A101621 动触头材料铜锌合金 静触头材料AgC4 分断频率/(次/h)220 信号采样频率/kHz80 高速相机帧率/(帧/s)50 000

随着微型断路器开断次数累积,触头磨损质量增加,进而引起微型断路器电寿命退化。但微型断路器的动静触头与动静导杆铆接在一起,且动静导杆质量远大于动静触头质量,因此想要准确地测量动静触头磨损质量存在难度。电寿命初期和末期的触头形貌如图3所示,动静触头被电弧烧蚀,导致触头区域的厚度减少,而触头厚度变化也可以直接反映微型断路器电寿命的退化过程。相比触头质量,触头厚度更易测量,所以本文选择触头厚度减少量作为微型断路器电寿命评估指标。由于每次分断后的触头厚度减少量变化非常微弱,因此每间隔1 000次操作后,使用游标卡尺测量一次触头厚度。为减少测量误差,将反复测量10次的平均值作为最终测量值。

width=224,height=78.45

图3 电寿命初期和末期的触头形貌

Fig.3 Contact morphology in initial and final electrical life stages

2 触头烧蚀的影响因素分析

图4给出了微型断路器在55°电流相位下开断16 A电流时的燃弧过程,图5给出了与该燃弧过程对应的电弧电压波形。为了避免电路噪声干扰,图5中的电弧电压经过平均滤波(每10个采样点滑动平均)处理。由图4和图5可以看出,弧柱在0~1.68 ms内随动触头向分闸方向运动而拉长,电弧电压随之增大。在1.68~3.02 ms内,弧柱随动触头回落而缩短,电弧电压随之减小。在3.02~7.1 ms内,弧柱随动触头向分闸方向再次运动而拉长,且电弧电压也随之增大。在t=7.1 ms时,弧柱随回路电流过零而熄灭,电弧电压随后跟随电源电压变化。

width=196.3,height=115.45

图4 断路器在55°相位下开断16 A电流的燃弧过程

Fig.4 Arcing process during MCB interruption at 55° phase angle with 16 A current

width=185.05,height=145.1

图5 断路器在55°相位下开断16 A电流的电弧电压

Fig.5 Arc voltage during MCB interruption at 55° phase angle with 16 A current

图6给出了微型断路器在20°电流相位下开断16 A电流时的燃弧过程,图7给出了与该燃弧过程对应的电弧电压(经过平均滤波处理)。如图6和图7所示,静触头位置的弧根在t=6.26 ms时从触头区域转移到跑弧道,电弧电压随之发生跌落。此后,虽然电弧继续燃烧,但不再烧蚀触头材料。与图4中的燃弧过程相比,图6中的燃弧过程出现了弧根转移,且后者的起弧相位比前者的起弧相位小。

width=196.3,height=114

图6 断路器在20°相位下开断16 A电流的燃弧过程

Fig.6 Arcing process during MCB interruption at 20° phase angle with 16 A current

width=187.1,height=145.45

图7 断路器在20°相位下开断16 A电流的电弧电压

Fig.7 Arc voltage during MCB interruption at 20° phase angle with 16 A current

图8给出了不同起弧相位下的电弧电压。可以看出,燃弧时间随起弧相位增大而减小。在较小的起弧相位下,动触头回落至最低位置时有剧烈的燃弧过程,容易发生弧根转移。相反,在较大的起弧相位下,动触头回落至最低位置时有微弱的燃弧过程,发生弧根转移的概率较低。

图9给出了微型断路器在55°电流相位下开断32 A电流时的燃弧过程,图10给出了与该燃弧过程对应的电弧电压(经过平均滤波处理)。由图9和图10可以看出,在t=3.1 ms时,静触头位置的弧根从触头区域转移到跑弧道,电弧电压随之跌落。此后,电弧继续燃烧直至回路电流过零。对比图4和图9中的燃弧过程,前者与后者的起弧相位相似,差别在于开断电流不同。当开断电流增大时,弧柱受到的电磁力增大,弧根更容易发生转移。

width=187.1,height=144.95

图8 不同起弧相位下的电弧电压波形

Fig.8 Waveforms of arc voltage under different arcing phase angles

width=196.2,height=114

图9 断路器在55°相位下开断32 A电流的燃弧过程

Fig.9 Arcing process during MCB interruption at 55° phase angle with 32 A current

width=185.05,height=145.7

图10 断路器在55°相位下开断32 A电流的电弧电压

Fig.10 Arc voltage during MCB interruption at 55° phase angle with 32 A current

综上所述,微型断路器在开断过程中存在弧根转移现象。起弧相位和开断电流是影响弧根转移的两个重要因素:当微型断路器在较小的电流相位下开断电路,或在开断较大电流时,发生弧根转移的概率会增加。弧根转移与否决定了电弧烧蚀触头的时间,进而影响触头的烧蚀程度。

3 电寿命评估模型

触头磨损随开断次数的增加而累积,但触头的磨损质量和厚度减少量等物理参数在线测量困难,无法直接应用于微型断路器电寿命评估。触头磨损因电弧能量注入触头材料所致,注入触头的电弧能量数量间接反映了触头磨损程度。图11为构建微型断路器电寿命评估模型的过程框图。首先,依据实验数据确定触头烧蚀因子与开断电流的关系;然后,从电弧电压和电弧电流中提取电弧烧蚀触头的时间和电弧电量;最后,依据电弧电量和触头烧蚀因子计算触头厚度减少量,进而实现微型断路器电寿命评估。

width=228.1,height=81.95

图11 微型断路器电寿命评估模型构建过程框图

Fig.11 The block diagram for constructing the electrical life evaluation model of MCBs

3.1 计算电弧电量

在现有研究中,通常使用电弧能量、电弧焦耳积分和电弧电量中的某一种参量来表征电弧在开关电器开断过程中注入触头材料的能量。这三种参量的定义分别为:在电弧烧蚀触头期间,电弧电流与电弧电压乘积对时间的积分、电弧电流二次方对时间的积分及电弧电流对时间的积分[19, 21, 25]。由于电弧电量的计算相对简单,且能够有效表征电弧注入触头材料的能量,本文采用电弧电量作为表征参量,其计算方法为

width=67.95,height=27 (1)

式中,Ac为微型断路器某次分断过程中产生的电弧电量;tc为电弧烧蚀触头的时间;i(t)为t时刻的电弧电流。

由式(1)可知,在计算电弧电量之前,首先必须确定电弧烧蚀触头的时间。然而,不同于继电器和接触器的开断过程,微型断路器的开断过程可能会出现弧根转移现象。因此,在微型断路器开断过程中,燃弧时间不一定等于电弧烧蚀触头的时间。图12对比了微型断路器开断过程中有无弧根转移现象时的电弧电压,可以看出,电弧电压在弧根转移时会发生跌落,跌落幅值超过3 V,持续时间超过0.1 ms。相比动触头回落导致的电压跌落,弧根转移导致的电压跌落出现时刻更滞后。因此,这些特点(跌落幅值、持续时间和出现时刻)可用于确定弧根转移时刻,从而进一步计算出电弧烧蚀触头的时间。

width=233.5,height=104.25

图12 开断过程有无弧根转移时的电弧电压

Fig.12 Waveforms of arc voltage with and without arc root transfer during breaking process

图13给出了计算电弧烧蚀触头时间的算法流程。首先,依据电弧电压在起弧时刻从零开始增大的特点确定起弧时刻。其次,依据电弧电流在熄弧时刻从非零值减小到零的特点确定熄弧时刻。然后,统计电弧电压在起弧时刻与熄弧时刻这段时间内发生的跌落次数。如果电弧电压跌落次数在两次以上,则说明开断过程存在弧根转移,且电弧电压第二次跌落的时刻为弧根转移时刻;否则开断过程没有发生弧根转移。最后,依据开断过程是否发生弧根转移确定电弧烧蚀触头的时间。如果开断过程发生弧根转移,则电弧烧蚀触头的时间为起弧时刻与弧根转移时刻的时间差;否则,电弧烧蚀触头的时间为起弧时刻与熄弧时刻的时间差。

图13中,确定起弧时刻、熄弧时刻和弧根转移时刻时,涉及三个阈值的选取。下面将详细介绍每个阈值的选取依据。

(1)阈值1:当动静触头分离时,电弧电压从0瞬时增至15 V左右,并随着电弧拉长持续增大。根据安全裕度设计原则和实测效果,本文以电弧电压是否持续0.1 ms超过7.5 V(实测值15 V的1/2倍)作为起弧时刻的判断依据,阈值1选取为7.5 V。

(2)阈值2:当电弧熄灭时,微型断路器完成分闸操作,电路处于断开状态,电流持续为0。尽管电路导通时电流存在过零点,但其持续时间较短。此外,考虑电路噪声,空载时采集的电流信号幅值小于0.2 A。根据安全裕度设计原则和实测效果,本文以电流是否持续0.1 ms低于0.4 A(实测值0.2 A的2倍)作为熄弧时刻的判断依据,阈值2选取为0.4 A。

width=226.9,height=454.45

图13 计算电弧烧蚀触头时间的算法流程

Fig.13 The flow chart for calculating the time of arc ablating contact

(3)阈值3:当微型断路器在分闸过程中发生弧根转移时,电弧电压会出现幅值超过3 V的跌落,且持续时间超过0.1 ms。按照30 V/ms的电压跌落速度和12.5 ms的采样时间间隔计算,相邻两个采样点间的电压差值为0.375 V。根据安全裕度设计原则和实测效果,本文以前后两个采样点间的电压差值是否持续0.1 ms低于-0.037 5 V(计算值-0.375 V的0.1倍)作为电压跌落时刻的判断依据,阈值3选取为-0.037 5 V。

累积电弧电量的定义为连读多次分断过程中产生的电弧电量之和,其值能够间接反映动静触头的累积磨损程度,具体计算方法为

width=67.95,height=35 (2)

式中,Ac,m为截止第m次开断时产生的累积电弧电量;m为微型断路器的开断次数;Ac(j)为微型断路器在第j次开断过程中产生的电弧电量。

利用式(2)计算不同样机在其服役周期内的累积电弧电量,具体数值见表2。

表2 不同样机在其服役周期内的累积电弧电量

Tab.2 Accumulated arc charge of different prototypes during their service life (单位: A∙s)

开断次数累积电弧电量 1号2号3号4号5号6号 0000000 2 00072.277.897.5101.6151.1154 4 000146.9155.4199.8204.9307.6306.5 6 000221.4231.7309.8308.1466.1464.7 8 000293.2309.5418.1409.3626.2618.7 10 000367.9390.8527.4510.5789.6764.1 12 000443.3472.9634.7610.2952.8917.5 14 000518.1555.3741.7701.61 117.21 062.5 15 000554.7596.5795743.8—1 136.1

3.2 计算触头烧蚀因子

由于每个实验样机的动静触头初始状态存在微小差别,不能直接使用触头厚度对每个样机的触头烧蚀程度进行对比。因此,本文选择触头厚度减少量作为触头磨损的评估指标,计算方法为

width=60.95,height=16 (3)

式中,dr,m为截止第m次开断时产生的触头厚度减少量;d0为初始状态的触头厚度;dm为第m次开断后的触头厚度。

图14给出了不同开断电流下累积电弧电量和触头厚度减少量的关系。可以看出,不管是正半波燃弧还是负半波燃弧,在相同的累积电弧电量下,触头厚度减少量均随开断电流增加而减小。由高速相机拍摄的燃弧过程可知,弧根在触头区域的移动速度与开断电流大小有关。当开断电流增大时,弧根在触头区域的移动速度加快,其相当于电弧能量更加均匀地注入触头材料,由此导致触头磨损随之减小。

width=190.9,height=334.4

图14 累积电弧电量与触头厚度减少量的关系

Fig.14 Relationship between the cumulative arc charge and the contact thickness loss under different breaking current levels

另外,从图14也可以看出:累积电弧电量与触头厚度减少量呈正相关关系。研究人员指出触头质量磨损量与累积燃弧能量之间的关系可以用线性关系表示[19, 21]。虽然电弧对触头的烧蚀在每次开断过程中并非均匀分布,但是随着开断次数累积,触头各位置的磨损分布较为均匀,且测量误差会相互抵消。因此,触头厚度减少量和累积电弧电量之间的关系可以表示为

width=56,height=16 (4)

式中,ca为触头烧蚀因子(mm/C),表示单位累积电弧电量引起的触头厚度减少量。

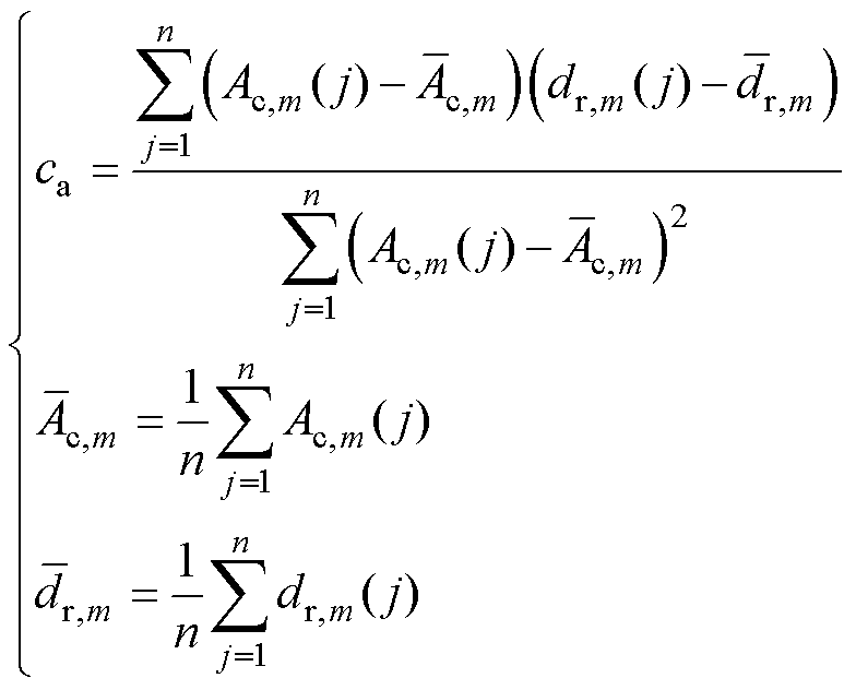
本文使用最小二乘法计算式(4)中的触头烧蚀因子,具体计算方法为

width=171,height=138 (5)

式中,n为数据组的数量。

利用式(5)计算不同实验条件下的触头烧蚀因子,具体数值见表3。由表3可以看出,触头烧蚀因子与开断电流呈负相关关系。文献[10]指出,在小电流范围内,触头烧蚀因子与开断电流的关系可以近似呈线性关系。因此,本文使用式(6)表示触头烧蚀因子与开断电流的关系。

表3 不同实验条件下的触头烧蚀因子

Tab.3 Contact erosion factor under different experimental conditions

开断电流/A起弧相位/(°)触头烧蚀因子/(mm/C) 10901.71 2701.73 16901.56 2701.59 21901.37 2701.33

width=53,height=15 (6)

式中,I为开断电流的有效值;k1k2为拟合参数,在将表3中的数据代入式(6)后,得到k1k2的值分别为-3.33×10-5和2.07×10-3

由表3也可以看出:在同一开断电流下,90°起弧相位和270°起弧相位对应的触头烧蚀因子存在微小差异。90°起弧和270°起弧的主要区别在于燃弧极性不同:90°起弧发生在电流正半波,动触头弧根比静触头弧根燃烧更剧烈;270°起弧发生在电流负半波,静触头弧根比动触头弧根燃烧更剧烈。本文测试的微型断路器动触头材料为铜锌合金,静触头材料为AgC4,两种材料的耐烧蚀性能存在差异。此外,在测量触头厚度的过程中,由于人为读数误差和游标卡尺的精度限制,测量结果与真实结果存在微小差别。这些因素共同作用导致90°起弧相位和270°起弧相位对应的触头烧蚀因子存在微小差异。根据表3中的数据,开断电流对触头烧蚀因子的影响大于燃弧极性(90°和270°起弧相位)对触头烧蚀因子的影响,其值相差10倍左右。因此,本文着重考虑开断电流对触头烧蚀因子的影响。

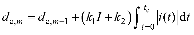
综上所述,考虑弧根转移和开断电流的微型断路器电寿命评估模型可以表示为

width=148,height=27 (7)

式中,dc,m-1dc,m分别为微型断路器在开断m-1和m次后的触头厚度减少量。

4 实验验证与对比分析

4.1 实验验证

为了验证构建的电寿命评估模型的准确性,本文使用三个样机(7号、8号、9号)开展微型断路器电寿命实验。这三个样机与第1节中使用的六个样机属于同一批次产品。与第1节中的实验不同,本次实验的三个样机均在额定电流(16 A)下进行电寿命实验,且每次分断过程的起弧相位在0°~360°内随机分布。与第1节中的实验步骤相似,首先采集每个样机在每次分断过程中的电弧电压和电弧电流波形;然后每间隔500次分合闸操作测量一次触头厚度,并将10次测量结果的平均值作为最终测量值;最后通过式(3)获得每个样机实际的触头厚度减少量,通过式(7)获得电寿命评估模型计算的触头厚度减少量。

实际测量结果与计算结果的对比如图15所示,可以看出,三个样机触头厚度减少量的计算值与测量值非常接近。本文通过式(8)计算电寿命评估模型的预测误差,其平均误差为8.14%。

width=187.15,height=505.6

图15 触头厚度减少量的计算值与测量值

Fig.15 The measured and calculated values of the contact thickness loss of different test MCBs

width=96.95,height=35 (8)

参考其他电气设备健康状态的评价规则和开关电器生产厂家对微型断路器触头磨损的判断标准,本文将微型断路器的电寿命状态划分为优(Ⅰ)、良(Ⅱ)、中(Ⅲ)、差(Ⅳ)四个等级。每个评估状态对应的触头厚度减少量分别为0~0.4 mm、0.4~0.8 mm、0.8~1.2 mm和大于或等于1.2 mm。当触头厚度减少量超过1.2 mm时,认定微型断路器的电寿命即将终结,需要进行检查维护。

4.2 对比分析与讨论

从工程应用的角度出发,评价开关电器电寿命评估模型优劣的指标有预测误差、适用范围和计算复杂度。本节从上述三个维度对比本文方法与现有方法,对比和讨论结果如下所示:

在预测误差方面,文献[16-17, 19-20]提出的方法分别有7.1%、10%、15%和8.97%的预测误差,而本文方法的预测误差为8.14%。相比后三种方法,本文方法的预测误差较小。

在适用范围方面,文献[16-17, 20]仅在额定电流下开展了电寿命实验,文献[19]在额定电流和短路电流下开展了电寿命实验,而本文在低于额定电流、额定电流和高于额定电流三种实验条件下均开展了电寿命实验,更符合实际应用工况。本文方法通过触头烧蚀因子考虑不同电流等级对触头烧蚀的影响,而上述文献未讨论不同电流等级对电寿命评估模型的影响。综上所述,本文方法可以适用不同开断电流下的工况。

此外,需要说明的是,虽然本文仅针对特定型号的微型断路器开展了电寿命实验,但是本文方法对其他型号的微型断路器进行电寿命评估具有一定的适用性和借鉴意义。不同型号的微型断路器可能具有不同的触头系统、灭弧系统、额定电流和制造工艺。然而,它们都有三个共性特征:①触头电磨损源于电弧能量注入;②开断过程中存在弧根转移现象;③不同电流等级对触头材料的侵蚀程度不同。因此,通过考虑弧根转移现象和不同电流大小对触头烧蚀的影响程度,可以更准确地评估微型断路器的电寿命。唯一的局限性在于,针对其他触头材料,需要重新开展电寿命实验以校准式(7)中的参数k1k2。这是因为不同的触头材料对电弧的耐烧蚀性能存在显著差异,而k1k2的取值与触头材料的物理特性密切相关。因此,在实际应用中,若触头材料发生变化,需通过实验重新确定k1k2的值,以确保电寿命评估的准确性。

在计算复杂度方面,文献[16-17, 20]通过复杂的信号处理方法、特征提取方法和模型拟合方法预测开关电器的电寿命。相比之下,本文方法不需要特殊的信号处理和模型拟合步骤,计算过程较为 简单。

5 结论

针对微型断路器服役期间的可靠性问题,本文提出了一种电寿命评估方法,该方法综合考虑了弧根转移现象和不同电流等级对触头烧蚀的影响,主要结论如下:

1)通过高速相机在微小时间尺度内观察微型断路器的开断过程,对比分析了不同起弧相位和开断电流下的燃弧特点。实验结果表明,较小的起弧相位和较大的开断电流会显著增加弧根转移的发生概率。弧根转移进一步导致电弧向触头注入的能量减少,从而影响电寿命评估结果的准确性。

2)通过分析弧根转移和电弧电压的关系,提取了电弧烧蚀触头的时间。在此基础上,使用累积电弧电量有效表征了电弧烧蚀触头期间注入触头材料的电弧能量。通过使用最小二乘法拟合触头烧蚀因子和开断电流的关系,考虑了不同电流等级对触头烧蚀影响程度的差异。

3)依据电弧烧蚀触头期间的电弧电量和触头烧蚀因子,构建了一个以触头厚度减少量为输出的微型断路器电寿命评估模型。相比其他方法,本文方法具有较低的预测误差(8.14%)和较高的鲁棒性,且计算过程较为简单。

本文方法并未考虑燃弧极性和短路电流对微型断路器电寿命评估模型的影响,未来将进一步研究这些因素对触头烧蚀的影响。

参考文献

[1] Li Chunlei, Wei Dong, Zhang Bing, et al. On novel methods for characterizing the arc/contact movement and its relation with the current/voltage in low- voltage circuit breaker[J]. IEEE Transactions on Plasma Science, 2017, 45(5): 882-888.

[2] Bizzarri F, Ghezzi L, Maglio M, et al. Simulations of three-phase current interruptions through a black-box model of miniature circuit breakers[J]. IEEE Trans- actions on Power Delivery, 2020, 35(2): 937-945.

[3] He Zhipeng, Xu Zixiao, Zhao Hu, et al. Detecting series arc faults using high-frequency components of branch voltage coupling signal[J]. IEEE Transactions on Instrumentation and Measurement, 2024, 73: 3528413.

[4] Xiao Yu, Wen He, Xiong Dezhi, et al. Research on key technology of bluetooth miniature circuit breaker for electric energy meter[C]//2021 IEEE 4th Inter- national Electrical and Energy Conference (CIEEC), Wuhan, China, 2021: 1-5.

[5] Yin Jianning, Lang Xiaojian, Xu Haotian, et al. High- performance breaking and intelligent of miniature circuit breakers[J]. Sensors, 2022, 22(16): 5990- 6000.

[6] 李奎, 王鹏, 胡博凯, 等. 基于机械特性的微型断路器服役状态辨识方法[J]. 电工技术学报, 2025, 40(14): 4642-4654.

Li Kui, Wang Peng, Hu Bokai, et al. Service status identification method of miniature circuit breaker based on mechanical characteristics[J]. Transactions of China Electrotechnical Society, 2025, 40(14): 4642-4654.

[7] Yao Yu, Wang Nan. Fault diagnosis model of adaptive miniature circuit breaker based on fractal theory and probabilistic neural network[J]. Mecha- nical Systems and Signal Processing, 2020, 142: 106772.

[8] 韩翔宇, 纽春萍, 何海龙, 等. 电磁式断路器状态监测与智能评估技术综述[J]. 电工技术学报, 2023, 38(8): 2191-2210.

Han Xiangyu, Niu Chunping, He Hailong, et al. Review of condition monitoring and intelligent assessment of electromagnetic circuit breaker[J]. Transactions of China Electrotechnical Society, 2023, 38(8): 2191-2210.

[9] Zhou Xue, Cui Xinglei, Chen Mo, et al. Evaporation erosion of contacts under static arc by gas dynamics and molten pool simulation[J]. IEEE Transactions on Plasma Science, 2015, 43(12): 4149-4160.

[10] Cui Xinglei, Zhou Xue, Zhai Guofu, et al. Electrical lifespan prediction of HVDC relay based on the accumulated arc erosion mass[J]. IEEE Transactions on Components, Packaging and Manufacturing Tech- nology, 2018, 8(3): 356-363.

[11] 韩智云, 王梦溪, 任瀚文, 等. 石墨烯/铜钨合金触头电弧烧蚀的固-液相变动力学模拟与烧蚀程度微观表征[J]. 中国电机工程学报, 2023, 43(21): 8490- 8502.

Han Zhiyun, Wang Mengxi, Ren Hanwen, et al. Kinetic simulation of the solid-liquid phase transition and the microscopic characterization of the electric arc ablation of graphene/copper-tungsten alloy contacts[J]. Proceedings of the CSEE, 2023, 43(21): 8490- 8502.

[12] 李兴文, 吕启深, 田甜, 等. 直流空气电弧作用下触头烧蚀特性[J]. 高电压技术, 2020, 46(6): 1970- 1977.

Li Xingwen, Lü Qishen, Tian Tian, et al. Contact erosion characteristics under direct current air arc[J]. High Voltage Engineering, 2020, 46(6): 1970-1977.

[13] 李静, 关明旭, 刘树鑫, 等. 直流空气电弧作用下触头熔蚀过程及其对开断特性影响[J]. 高电压技术, 2022, 48(4): 1531-1541.

Li Jing, Guan Mingxu, Liu Shuxin, et al. Process of contact erosion and influence on breaking characte- ristics under DC air arc[J]. High Voltage Engineering, 2022, 48(4): 1531-1541.

[14] Li Kui, Zhao Chengchen, Niu Feng, et al. Electrical performance degradation model and residual elec- trical life prediction for AC contactor[J]. IEEE Transactions on Components, Packaging and Manufacturing Technology, 2020, 10(3): 400-417.

[15] 李奎, 李晓倍, 郑淑梅, 等. 基于BP神经网络的交流接触器剩余电寿命预测[J]. 电工技术学报, 2017, 32(15): 120-127.

Li Kui, Li Xiaobei, Zheng Shumei, et al. Residual electrical life prediction for AC contactor based on BP neural network[J]. Transactions of China Elec- trotechnical Society, 2017, 32(15): 120-127.

[16] Li Bin, Bian Zhiqiang, Wang Zhiyong. Research on the electric life prediction of relay contact based on Harris hawk optimized[J]. IEEE Transactions on Instrumentation and Measurement, 2021, 71: 3502210.

[17] 游颖敏, 王景芹, 舒亮, 等. 基于音频特征的交流接触器电寿命预测方法[J]. 电工技术学报, 2021, 36(9): 1986-1998.

You Yingmin, Wang Jingqin, Shu Liang, et al. The method of electrical life prediction considering the audio characteristics of AC contactor[J]. Transactions of China Electrotechnical Society, 2021, 36(9): 1986- 1998.

[18] 何志鹏, 赵虎. 微型断路器电寿命评估[J]. 电工技术学报, 2022, 37(4): 1031-1040.

He Zhipeng, Zhao Hu. Electrical lifespan evaluation of miniature circuit breakers[J]. Transactions of China Electrotechnical Society, 2022, 37(4): 1031- 1040.

[19] 赵成晨, 李奎, 胡博凯, 等. 变应力条件下低压断路器剩余电寿命预测[J]. 中国电机工程学报, 2022, 42(21): 8004-8016.

Zhao Chengchen, Li Kui, Hu Bokai, et al. Residual electrical life prediction of low-voltage circuit breakers under varied stress[J]. Proceedings of the CSEE, 2022, 42(21): 8004-8016.

[20] Sun Shuguang, Wang Qiufu, Du Taihang, et al. Quantitative evaluation of electrical life of AC contactor based on initial characteristic parameters[J]. IEEE Transactions on Instrumentation and Measure- ment, 2020, 70: 3503510.

[21] 郑淑梅, 李奎, 刘政君, 等. 基于触头电弧侵蚀的交流接触器电寿命分布特征研究[J]. 中国电机工程学报, 2017, 37(22): 6730-6739, 6786.

Zheng Shumei, Li Kui, Liu Zhengjun, et al. Research on distributional characteristic of electrical endurance of AC contactor based on arc erosion[J]. Proceedings of the CSEE, 2017, 37(22): 6730-6739, 6786.

[22] Nan Yin, Wang Lichang, Zhu Jinbao, et al. Analysis of interruption characteristics of DC miniature circuit breaker with different structures[C]//2019 IEEE Holm Conference on Electrical Contacts, Milwaukee, WI, USA, 2019: 122-127.

[23] 赵书涛, 黄伟杰, 刘会兰, 等. 高压断路器触头烧蚀及电寿命评估研究综述[J]. 高电压技术, 2024, 50(2): 489-502.

Zhao Shutao, Huang Weijie, Liu Huilan, et al. Review of research on contact ablation and electrical life assessment of high-voltage circuit breakers[J]. High Voltage Engineering, 2024, 50(2): 489-502.

[24] 李静, 钱宇, 王奥飞, 等. 磁吹直流空气断路器弧根跃迁及对开断特性的影响研究[J]. 中国电机工程学报, 2023, 43(4): 1651-1661.

Li Jing, Qian Yu, Wang Aofei, et al. Research on arc root transition of magnetic DC air circuit breaker and its influence on breaking characteristics[J]. Pro- ceedings of the CSEE, 2023, 43(4): 1651-1661.

[25] 李奎, 马典良, 赵成晨, 等. 基于Bayes推断的交流接触器剩余电寿命预测[J]. 仪器仪表学报, 2024, 45(1): 34-45.

Li Kui, Ma Dianliang, Zhao Chengchen, et al. Residual electrical life prediction of AC contactor based on Bayesian inference[J]. Chinese Journal of Scienstific Instrument, 2024, 45(1): 34-45.

Electrical Life Evaluation of Miniature Circuit Breakers Considering Arc Root Transfer and Breaking Current

He Zhipeng Zhao Hu Li Weilin

(School of Automation Northwestern Polytechnical University Xi’an 710129 China)

Abstract Miniature circuit breakers (MCBs) are essential protective apparatuses in the low-voltage distribution network. They are designed to interrupt fault circuits promptly and function as control switches for opening and closing normal circuits. During circuit interruption, an electric arc occurs between the moving and stationary contacts, ablating the contact material and leading to electrical life degradation. However, existing evaluation methods often overlook factors such as arc root transfer and breaking current, resulting in inaccurate electrical life evaluation and poor robustness. This paper proposes a novel electrical life evaluation method that incorporates the arc root transfer phenomenon during the breaking process and accounts for the impact of varying current levels on contact erosion.

First, an electrical life testing platform consisting of an experimental circuit, a signal acquisition module, an automated contact opening and closing mechanism, an arcing phase angle judgment module, an electromagnet driving module, and a host computer was developed. The mechanism precisely controls the handle to perform closing operations, and the host computer synchronously activates the signal acquisition module for real-time data collection. The arcing phase angle judgment module continuously monitors current phase characteristics and triggers the electromagnet driving module at predefined phase angles to execute controlled opening operations. Electrical life tests were conducted on six prototype devices under different current levels and arcing phase angles. The signal acquisition module automatically captured arc voltage and current waveforms during each breaking operation, while contact thickness measurements were manually recorded at intervals of every 1000 operations.

Second, the arc motion process under different arcing phase angles and currents was observed using a high-speed camera. The influence of arcing phase angle and breaking current on arc root transfer was analyzed. Experimental results demonstrate that smaller arcing phase angles and higher breaking currents significantly increase the probability of arc root transfer. This phenomenon reduces the energy transferred to the contact material during the breaking process, thereby impacting the accuracy of electrical life evaluation models.

Third, the moment of arc root transfer was precisely identified through characteristic analysis of arc voltage variations during the transfer process. The time and arc charge associated with contact ablation were extracted by synchronizing arc voltage and current waveforms. This step effectively quantifies the arc energy injected into the contact material, providing a foundation for constructing a more accurate electrical life evaluation model. The relationship between accumulated arc charge and contact thickness loss was established using the contact erosion factor, which exhibits an inverse proportionality to breaking current magnitude. Experimental data fit the relationship between the breaking current and the contact erosion factor.

Finally, a method for evaluating the electrical life of MCBs is proposed, which uses arc charge and contact erosion factor as input variables and contact thickness loss as the output variable. Experimental verification under random arcing phase angle shows that the prediction error of the proposed method is 8.14%. The proposed method demonstrates low prediction error, robustness, and reduced computational complexity. This work provides a valuable reference for the development of intelligent MCBs.

keywords:Miniature circuit breaker (MCB), electrical life evaluation, arc root transfer, breaking current, contact erosion

DOI: 10.19595/j.cnki.1000-6753.tces.241683

中图分类号:TM561.1

收稿日期 2024-09-26

改稿日期 2025-02-13

作者简介

何志鹏 男,1996年生,博士研究生,研究方向为低压交流配电系统可靠性保障、电弧故障检测技术。E-mail: zphe@mail.nwpu.edu.cn

赵 虎 男,1986年生,博士,副教授,研究方向为低压开关电器智能化、电器设备状态检测技术。E-mail: hzhao@nwpu.edu.cn(通信作者)

(编辑 崔文静)