摘要 由于等效气隙小、聚磁能力强的特性,切向励磁型磁场调制(SA-FMPM)电机具有高转矩密度的优势,在低速直驱领域极具应用潜力。然而研究发现,SA-FMPM电机中存在“磁障效应”,即磁路经过反向励磁的永磁体时,会被迫进入气隙,造成磁路磁阻增加、反电动势降低。此时,铁磁极磁位波动引入了附加磁动势,削弱了磁场调制效果,限制了SA-FMPM电机的转矩性能。针对上述现象,该文首先探讨了SA-FMPM电机中“附加磁动势”的产生机理,建立了磁位波动的分析模型及其定量解析方法,并分析了附加磁动势对电机性能产生的不利影响;其次,归纳了附加磁动势抑制思路及衍生的新型拓扑结构,并总结了各类拓扑的优缺点;再次,从转子侧、定子侧和谐波综合优化设计三个层面分类讨论了现有的电机高性能设计技术与附加磁动势之间的联系,进一步阐述了可有效抑制附加磁动势的各类设计方法;然后,梳理了其他永磁体嵌入式电机拓扑中存在的附加磁动势现象;最后,对附加磁动势理论发展和从其角度指导嵌入式永磁电机的拓扑设计与创新进行了总结与展望。
关键词:附加磁动势 切向励磁型磁场调制电机 磁位波动 转矩性能
近年来,随着磁场调制理论的建立与持续发 展[1-3],各种新型电机如磁通反向电机[4]、双机电端口电机[5]、无刷双馈电机[6-7]、游标永磁电机[8]及衍生的复合电机[9-10]等被统一为含“励磁-调制-电枢”三单元的磁场调制电机族。受益于高转矩密度、低转矩脉动等优势,磁场调制电机在新能源发电、高端装备制造、新能源汽车等领域有着广阔的应用前景。
学者们从三单元[11]的角度出发,提出了一系列高性能磁场调制电机拓扑。从励磁单元出发,励磁增强型拓扑通过改进励磁结构,如交替极[12-13]、海尔贝克阵列[14]、切向励磁[15]等,提高了励磁磁场强度,实现了转矩密度提升。相比于表贴式永磁结构,切向励磁型可以减小等效气隙长度,通过聚磁效应增强了空载气隙磁通密度。根据永磁体放置位置的不同,分为开关磁链永磁电机[16]和切向励磁型游标永磁电机[17]。然而,研究发现高极比下切向励磁型磁场调制(Spoke-Array Flux Modulation Permanent Magnet, SA-FMPM)电机无法发挥出其理论上的性能优势。SA-FMPM电机空载磁力线分布如图1所示,由于永磁体磁导率接近空气,嵌入铁心中的磁钢对于低极数工作磁场的长磁路具有“隔断”的效果,这种现象被定义为一种“磁障效应”[18]。此外,随着定转子磁导轴线相对位置的不断变化,每一块转子铁心的磁位也在随之波动,会产生对初始励磁磁动势有削弱作用的附加磁动势,降低电机气隙工作磁通密度谐波的幅值。
由于“磁障效应”带来的附加磁动势成为了限制SA-FMPM电机转矩性能提升的技术瓶颈,如何突破磁障效应限制以及从抑制附加磁动势的角度为SA-FMPM电机结构设计提供理论指导,成为了近年来磁场调制永磁电机领域研究的热点。本文首先从铁磁极磁位波动与工作磁场磁路两种角度介绍了SA-FMPM电机中“附加磁动势”现象的产生机理,以及磁动势-磁导模型、等效磁路模型、转子磁动势模型等定量解析计算方法,附加磁动势对电机的主要工作磁场谐波存在削弱作用,对电机的反电动势、平均转矩及转矩脉动均有不利影响。其次,从降低磁位波动、磁障/磁桥设计以及磁钢排布优化的角度对附加磁动势抑制思路进行了梳理,并归纳总结了基于上述思路所提出的典型拓扑以及各自的优缺点,从磁场调制三单元的角度,分析了上述三种附加磁动势抑制思路的独立性与关联性。再次,从转子侧设计、定子侧设计和谐波综合优化设计三个层面,结合电机关键参数设计,对现有的电机转矩性能提升技术与附加磁动势之间的关联进行了阐述,分析了为有效抑制附加磁动势可采用的优化设计方法。然后,讨论了附加磁动势现象在其他永磁体嵌入式电机拓扑,如内置式永磁体和交替极永磁体结构中存在的普适性。最后,对附加磁动势理论发展及其后续研究方向进行了展望。
图1 SA-FMPM电机空载磁力线分布[18]
Fig.1 No-load flux lines distribution of SA-FMPM machines[18]
从磁场调制的角度分析附加磁动势的产生机理,当忽略铁心中产生的磁压降时,普遍认为励磁磁动势仅等于永磁体相应位置处磁位的变化,这对于表贴式永磁励磁结构来说是成立的,因为此时等效气隙长度均匀,定转子铁心磁位相等。而对于切向励磁型永磁结构来说,每一块转子铁磁极被磁钢隔断,导致彼此之间磁位不等,且会随着定转子齿槽间的相对位置发生波动,其具体表现为:当磁钢轴线与定子齿轴线对齐时,整体磁导最大,永磁体内部磁压降最大,对应于转子铁磁极表面磁位最小;相反地,当磁钢轴线与定子槽轴线对齐时,整体磁导最小,永磁体内部磁压降最小,对应于转子铁磁极表面磁位最大。因此,转子铁心磁位不等于定子铁心磁位,处于不断波动的状态,励磁磁动势等于永磁体产生的初始磁动势再叠加一个“附加磁动势”,磁位波动示意图如图2所示,附加磁动势会对工作磁场谐波起到严重的削弱作用[19]。
图2 磁位波动示意图[19]
Fig.2 Schematic diagram of magnetic potential fluctuation[19]
附加磁动势对于电机转矩性能的负面影响会随着极比的增大而更加明显。根据磁场调制理论,极比被定义为转子极对数与电枢绕组极对数之比,且转矩放大系数与极比成正比。理论上极比越大,SA-FMPM电机的输出转矩就越大,而实际情况却并非如此。文献[20]对比了不同极比表贴式与切向励磁型磁场调制电机的常规磁场谐波分量与调制磁场谐波分量对转矩的放大效果,结果表明,高极比下SA-FMPM电机的调制磁场和输出转矩反而被削弱,甚至不如表贴式,如图3所示。其中,磁场谐波常规分量系数kconv和调制分量系数kver表达式[20]为
(1)
式中,pr和ps分别为转子极对数和电枢绕组极对数;Bconv和Bmodu分别为极对数是pr的气隙磁场谐波常规分量和极对数是ps的气隙磁场谐波调制分量。
从磁路的角度解释此种现象,由图1可以看出,少极工作磁场磁路长,磁力线穿过反向励磁的永磁体时会被迫绕过磁钢进入气隙,导致低次工作谐波磁路的磁阻增大。极比越大,转子经过反向励磁的磁钢数量越多,磁力线在气隙之间来回穿梭的次数越多,整体磁阻就越大,同时铁磁极磁位波动会进一步增强,引入更大的附加磁动势。
图3 不同极比SA-FMPM电机谐波调制分量系数kver与常规分量系数kconv对比[20]
Fig.3 kver and kconv comparison between different pole ratios SA-FMPM machines[20]
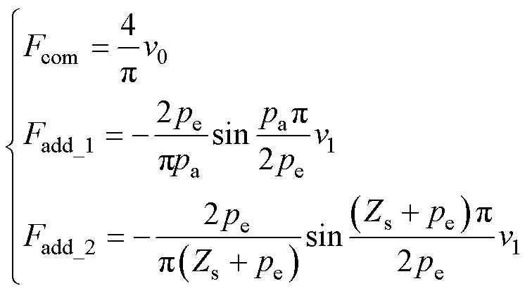
作为SA-FMPM电机的两种典型拓扑,切向励磁型游标永磁电机和开关磁链永磁电机的基本拓扑结构如图4所示,两者均基于磁场调制原理工作,利用调制单元实现“磁场变极”效果。永磁体沿圆周切向方向交替磁化并内嵌于转子铁心中,气隙为双凸极结构。假设仅考虑主要工作磁场谐波,SA- FMPM电机的励磁磁动势Fe(qs, t)表达式[21]为
(2)
其中
(3)
式中,Fcom、Fadd_1和Fadd_2分别为极对数是永磁体极对数pe、电枢绕组极对数pa(pa=Zs-pe)和极对数为Zs+pe的励磁磁动势谐波幅值;we为转子电角速度;qs为该空间位置与定子初始轴线的相对位置;Zs为定子槽数;v0和v1分别为铁磁极磁位常数项和基波项。
图4 SA-FMPM电机基本拓扑结构
Fig.4 Basic topology of SA-FMPM machines
对式(2)分析可知,励磁磁动势存在两部分:第一部分是仅与转子位置相关的常量Fcom;第二部分是随着定转子相对位置变化的振荡分量Fadd_1和Fadd_2,即附加磁动势。由式(3)可知,磁动势常量Fcom符号为正,振荡分量Fadd_1和Fadd_2符号为负,因此该附加成分对主要工作磁场谐波有抑制作用,同时Fadd_1的绝对值随着极比的增大而增加,进一步说明了附加磁动势会限制SA-FMPM电机的磁场调制效果。在表贴式永磁体结构的电机中,其励磁磁动势不包含有振荡分量,即附加磁动势分量一般存在于嵌入式永磁体结构中。
为了进一步定量分析附加磁动势,研究人员提出三种解析建模方法:①磁动势-磁导模型[21-22]; ②等效磁路法[23-24];③转子磁动势模型[25]。
1.2.1 磁动势-磁导模型
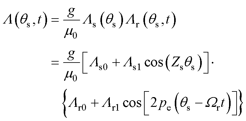
文献[21-22]基于磁动势-磁导模型,表征出了励磁磁动势中存在的振荡分量,并明确了该振荡分量对磁通密度常规分量与调制分量均起到削弱作用,且极比越高,附加磁动势对于调制谐波的削弱效果越明显,转矩会显著降低。SA-FMPM电机具有双凸极气隙结构,假设只考虑磁导函数的常数项与基波项,此时气隙磁导L(qs, t)表达式[22]为
(4)
式中,m0为真空磁导率;g为气隙长度;Ls和Lr分别为定、转子气隙磁导函数;Ls0和Ls1分别为定子气隙磁导函数的常数项和基波项幅值;Lr0和Lr1分别为转子气隙磁导函数的常数项和基波项幅值;Wr为转子机械转速。
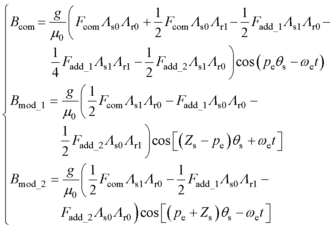
根据式(2)、式(4),空载气隙磁通密度各成分可以表示[21-22]为
(5)
式中,Bcom为永磁体极对数pe对极磁通密度幅值;Bmod_1和Bmod_2分别为调制产生的Zs-pe和Zs+pe对极磁通密度幅值。从式(5)可以看出,附加磁动势对Bcom、Bmod_1和Bmod_2均起到了削弱作用。
1.2.2 等效磁路法
文献[23-24]提出SA-FMPM电机的多节点磁路模型,即将每一块转子铁磁极等效为一个磁路节点,求解出节点磁位进而利用傅里叶级数展开式推导出转子磁动势,得到了附加磁动势的数学表征以精确量化磁位波动效应所产生的削弱效果,定量分析了“磁障效应”。SA-FMPM电机局部等效磁路模型(Equivalent Circuit Model, EMC)如图5所示。图中,Vk为第k(k=1, 2, 3,…,2pe)块转子铁磁极磁位;Fmag和Rmag分别为永磁磁动势及其等效磁阻;hmag和wmag分别为永磁体的高度和厚度;yk为第k块转子铁磁极内的总磁通;Lg_k为第k块转子铁磁极所对应气隙域内的集总磁导,集总磁导被定义为空间域中分布的磁导被集中于磁路某一位置处的磁导值,大小与其所处空间域的坐标无关。根据磁路的对称性,所有奇数号/偶数号节点的铁磁极磁位相同,两者间等值反号。在此基础上,根据磁路的基尔霍夫定律,列写出每一个节点方程便可求解出磁位分布。第k块铁磁极的集总磁导表达式[23]为
(6)
图5 SA-FMPM电机局部等效磁路模型[24]
Fig.5 Partial EMC model of SA-FMPM machines[24]
式中,qr为该空间位置与转子轴线的相对位置。
1.2.3 转子磁动势模型
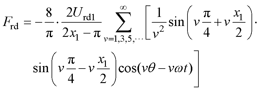
文献[25]从d轴磁场和q轴磁场的角度出发,建立了切向励磁型永磁电机相应的d轴转子磁动势模型和q轴转子磁动势(Rotor Magnetic Potential, RMP)模型,如图6所示。图6中,Urd1和Urq1为待求解的未知参数。该方法结合了磁动势法与等效磁路法,首先确定了转子表面磁动势波形的数学表征,接着利用磁路相关理论求解出磁动势表达式中的未知参数,便可得到考虑磁桥饱和及dq轴交叉耦合后的转子表面磁动势分布。
图6 d轴磁场和q轴磁场的RMP模型[25]
Fig.6 RMP model of d-axis magnetic field and q-axis magnetic field[25]
磁动势法通常用于内置式电机dq轴电感的计算[26-27],将该方法用于磁场调制电机附加磁动势分析中,主要区别在于SA-FMPM电机中不同铁磁极区域转子磁动势值不等,此时d轴转子磁动势表达式中未知数数量相应增加,等效磁路中节点数量增加。当仅考虑d轴磁场时,根据对称性可知,磁钢左右两侧表面磁动势相反,因此d轴转子磁动势波形零点位于磁桥中心处,即图6a中B点,且在B点两侧转子磁动势线性变化。通过上述分析,d轴转子磁动势分布傅里叶级数展开式[25]为
(7)
其中

式中,q为定子A相绕组轴线与转子d轴轴线的相对位置;ap为永磁体极弧系数;lro为磁桥饱和区域长度;v为谐波阶次;p为极对数。
当仅考虑q轴磁场时,由于磁力线不穿过磁钢,铁磁极区域的转子磁动势为0,磁力线在磁钢中心处分离,因此q轴转子磁动势波形在B点处达到最大值后沿两侧线性减小;通过上述分析,q轴转子磁动势分布傅里叶级数展开式[25]为
(8)
上述三种方法,磁动势-磁导模型法能量化各次气隙磁场谐波特征及比例成分,准确反映出磁场调制的物理过程,但不能考虑磁路饱和的影响;等效磁路法和转子磁动势模型法能定量求解转子铁磁极表面磁位值以精确量化附加磁动势,但无法从谐波层面体现磁场转换关系。两者均能考虑磁路饱和,转子磁动势模型法还能额外考虑dq轴交叉耦合的影响。
附加磁动势是存在于嵌入式永磁体结构中的一种特有现象。在永磁体轴线和定子齿轴线间的距离由远及近再远离的过程中,永磁体表面的附加磁动势会下降至零又继续上升至最大,接着不断循环,其基波分量的极对数为电枢绕组极对数pa,又由于其符号与初始励磁磁动势相反,即附加磁动势含有削弱调制磁场与常规磁场的谐波分量,需要对其进行抑制。附加磁动势的特征及其对电机性能的影响总结如下:
(1)“磁障效应”增大了低极对数磁路的磁阻,会降低该磁场谐波幅值,附加磁动势的引入减弱了嵌入式永磁体结构的聚磁效果。SA-FMPM电机中,转子铁磁极磁位值波动的基波项产生了振荡的附加磁动势,其表现为对主要工作磁场谐波的削弱作用。进一步地,附加磁动势会造成电机反电动势和平均转矩的降低,不利于其在低速直驱领域的推广与应用。
(2)附加磁动势与极比之间的正相关关系,进一步限制了SA-FMPM电机的磁场调制效果,使得高极比SA-FMPM电机失去了极比的转矩增益优势,甚至使其性能不如常规表贴式电机。
(3)极对数相同,旋转速度不同的永磁磁场谐波与电枢磁场谐波相互作用会产生转矩脉动。一方面,附加磁动势对于永磁磁场谐波与电枢磁场谐波均存在着削弱作用,对转矩脉动谐波(h/p±1,h为槽数Zs与极对数p的最小公倍数)也会有影响;另一方面,铁磁极磁位波动规律由定转子齿槽分布规律决定,齿槽转矩由定转子齿槽效应引起。对定转子齿槽的改进既是对齿槽转矩波形相位的改变,也是对附加磁动势波形相位的改变。若从改进齿槽结构的角度去抑制附加磁动势,也会使齿槽转矩波形的叠加作用发生变化。由此可得,附加磁动势对于转矩脉动也有一定影响,需要进一步研究附加磁动势与常用的转矩脉动抑制技术,如斜极/槽[28]、削极偏心[29-30]、改变槽极配合[31]等之间的联系,以实现同时降低附加磁动势与转矩脉动的效果。
为了解决以上问题,提升SA-FMPM电机的性能,需要对附加磁动势抑制方法进行研究。
第1节主要介绍了附加磁动势产生机理、分析模型及其对电机性能的不利影响。本节进一步介绍近年来在附加磁动势抑制思路方面的研究进展,归纳总结了附加磁动势抑制的三种技术手段。
根据极比与磁位波动的正相关性,可知高极比SA-FMPM电机的转矩性能受限于较大的附加磁动势,未能充分发挥其潜力。为了抑制或完全消除附加磁动势,国内外众多学者从降低磁位波动[32-41]、磁障/磁桥设计[42-49]、磁钢排布优化[50-61]等角度进行了深入的研究。
根据上述分析,磁位波动产生的根本原因是每块铁磁极所正对的气隙结构不同,集总磁导变化示意图如图7所示。从磁路的角度分析,每块铁磁极所面对的集总磁导不等,流经不同铁磁极中的磁通不等,导致磁位分布失去周期性和对称性,形成波动效应。降低磁位波动的原理在于强行让同极性铁磁极具有相同的磁位,或消除其在运动过程中所面对的集总磁导变化,从而增加磁位分布的周期性和对称性。
图7 集总磁导变化示意图[23]
Fig.7 Schematic diagram of lumped magnetic conductance variation[23]
有两种具体实现方法:
(1)通过增设铁轭将同极性铁磁极进行物理相连形成铁磁极对,此时所有同极性铁磁极所面对的集总磁导在转子运动过程中保持不变,铁磁极对中的磁通可以通过铁轭互相流动补偿。
(2)在铁磁极两侧设置相位相反的集总磁导,此时在转子运动过程中磁导变化被消除。
结合1.1节的机理分析,降低磁位波动思路的主要目的在于直接降低励磁磁动势中振荡分量Fadd_1和Fadd_2的幅值。
从磁场调制的角度分析,附加磁动势起到的实质效果是对电机磁场调制效应的削弱作用,那么对附加磁动势的抑制也可视为对磁场调制效果的增强。
主要可以归纳为两种设计思路:
(1)开设“内含调制效果”的磁障,其形状、尺寸和位置变化会带来对磁场调制效应不同程度的提升。
(2)永磁体的磁导率接近空气磁导率,将磁钢嵌入磁障中形成磁桥,可以引导磁力线走向,降低磁路磁阻。
结合1.1节和1.2.1节分析,磁障可视为是对磁路磁阻的设计,因此对励磁磁动势振荡分量Fadd_1、Fadd_2和磁导L(q, t)均有影响,此外磁桥设计还能在一定程度上起到提升磁动势常规分量Fcom幅值的作用。磁障/磁桥设计思路的主要目的在于降低调制过程中Fadd_1L(q, t)、Fadd_2L(q, t)乘积的值以及提升FcomL(q, t)乘积的值,从而抑制附加磁动势削弱效果,增强磁场调制效应。
假若可以进一步增强永磁体结构的“聚磁效应”,则能通过提升永磁体产生的初始励磁磁动势来减弱附加磁动势对磁场谐波的抑制效果。此外,多套磁动势源的叠加能实现“电磁复合”,励磁源之间充磁方向的配合能提升聚磁效果,改善“磁障效应”。其设计共同点是磁钢下方均存在着附加铁轭,因此磁钢排布优化也可视为是在降低磁位波动设计思路上的进一步演化,但不同点在于此处是对励磁单元与磁位波动的双重改变。结合1.1节分析,磁钢排布优化思路的主要目的在于直接降低励磁磁动势中振荡分量Fadd_1和Fadd_2的幅值以及提升磁动势常规分量Fcom的幅值。
进一步地,表1总结了本节所提及三种附加磁动势抑制思路的独立性与相关性。
表1 附加磁动势抑制思路对比
Tab.1 Comparison of additional magnetic motive force suppression methods
附加磁动势抑制思路独立性三种思路的相关性与思路Ⅰ相关性与思路Ⅱ相关性与思路Ⅲ相关性 Ⅰ:降低磁位波动思路Ⅰ仅是对磁导单元的改进,不涉及对励磁、电枢单元的构造。该思路下形成的部分结构设计可以使磁位波动降至零,效果显著。(1)三种思路都是对励磁单元和磁导单元的改进,而与电枢单元无关;这符合附加磁动势的产生原因是集总磁导变化和铁磁极磁位不等,而与绕组具体构造方式无关。(2)三种思路下形成的拓扑在结构特点方面的交集在于:在磁钢下方会增设附加铁轭将一半或所有铁磁极相连。——— Ⅱ:磁障/磁桥设计(1)合理的磁障设计能提升磁导L(q, t)对磁场的调制效果,思路Ⅱ能有效地降低附加磁动势,但无法降低为零,工作磁场谐波含量仍会降低,通过复合励磁单元(磁桥设计)产生更高的磁动势常规分量Fcom幅值以进行补偿。磁桥设计中辅助永磁体的放置与尺寸受磁障的形状与尺寸限制。(2)思路Ⅱ是对励磁单元和磁导单元的共同设计,相比思路Ⅰ和Ⅲ,对于磁场谐波的组成与含量会产生更大的影响。思路Ⅱ、Ⅲ均可视为是在思路Ⅰ基础上的进一步演化,均能直接降低励磁磁动势中振荡分量Fadd_1和Fadd_2幅值(即降低磁位波动)。思路Ⅱ、Ⅲ下形成的新型励磁结构都有一部分基于“电磁复合”理论演化,因此均能提升磁动势常规分量Fcom幅值。 Ⅲ:磁钢排布优化思路Ⅲ主要是对励磁单元的设计,目的在于对磁动势常规分量Fcom幅值的提升,且该思路下的部分励磁结构会向着内置式永磁体结构演变。
本小节分别对基于上述附加磁动势抑制思路所衍生的新型拓扑展开介绍,并分析了现有的电机高性能优化设计技术与附加磁动势之间有无直接联系,更全面地对附加磁动势抑制方法展开研究。
3.1.1 磁位波动抑制拓扑
基于降低磁位波动的思想,可以形成的新型拓扑有连接桥型SA-FMPM电机[32-37]、双定子SA- FMPM电机[38-41]。
连接桥的作用在于为少极工作磁场构建了完整的通路,即消除了其所连接铁磁极的磁位波动,也就消除了附加磁动势产生的根源。理论上连接桥的设计形式有三种:①将所有铁磁极相连。但由于受到转子内径向空间的限制,连接桥的宽度较窄、容易饱和,同时过多的连接桥也相应地增加了转子漏磁,应用较少,本文对此不做讨论;②将一半同极性的铁磁极相连。形成单连接桥型拓扑,交替的连接桥消除了一半铁磁极的“磁位波动”;③在电机的轴向两侧分别将同极性的铁磁极相连。形成双连接桥型拓扑,所有铁磁极的“磁位波动”被消除。相应的新型拓扑如下。
1)单连接桥型SA-FMPM电机
文献[32]利用等效磁路法分析了单连接桥设计能显著降低总体附加磁动势的机理,单连接桥型切向励磁型游标永磁电机(Spoke-Array Permanent Magnet Vernier Machine, SA-PMVM)电机结构及局部等效磁路如图8所示。相比于传统SA-FMPM电机,研究表明,采用单连接桥设计的样机少极工作磁场幅值增强,转矩密度提升了近20%。在此基础上,文献[33]研究了阶梯式交错转子设计以解决单连接桥型SA-FMPM电机端轴的单极性漏磁问题。文献[34]对双调制游标永磁电机定转子均采用单连接桥设计,进一步提升电机的转矩密度,其拓扑结构如图9所示。
图8 连接桥型SA-PMVM电机[32]
Fig.8 SA-PMVM with flux bridges[32]
图9 连接桥型双调制游标永磁电机[34]
Fig.9 Dual flux modulation vernier PM machine with flux bridges[34]
2)爪极SA-FMPM电机
为了进一步降低附加磁动势,消除另一半“悬空”铁磁极的磁位波动并给连接桥的设计与调整留有一定的优化空间,文献[36]提出了如图10a所示的爪极SA-FMPM电机拓扑结构,所有N极和S极铁磁极通过转子轴向两侧的爪盘分别相连。解析与有限元计算表明,此时励磁磁动势中完全没有附加项,所有铁磁极磁位始终保持不变。该电机转矩密度可达30.5 kN·m/m3,并进一步协同优化了连接桥大齿长度以及磁钢空间偏移角度[37],改善了连接桥饱和情况,优化后的转子结构如图10b所示。
图10 爪极SA-PMVM[37]
Fig.10 Claw-pole SA-PMVM[37]
3)双定子切向励磁型
文献[38]提出了一种24槽44极双定子切向励磁型游标永磁电机,如图11a所示,双定子结构的特殊之处在于外定子齿轴线与内定子槽轴线对齐,此时内外磁阻并联且合成后总磁阻为一个常数,不存在附加磁动势。研究表明,相比于传统单边游标永磁电机,该电机平均转矩可以提高1.73倍,且功率因数可由0.66提升到0.91。在此基础上,文献[39]给出了详细的设计制造流程,相应的样机实物如图11b所示。文献[40-41]设计了一台10 MW双定子切向励磁型游标永磁风力发电机,如图12所示,转速为10 r/min,相比于永磁同步、超导同步和双定子超导游标磁阻三台同功率风力发电机,其在总质量、总成本、损耗效率、安全及可靠性上具有优势。
图11 24s/44p双定子切向励磁型游标永磁电机[39]
Fig.11 24s/44p double stator SA-PMVM[39]
图12 10 MW双定子切向励磁型游标永磁风力发电机[40]
Fig.12 10 MW double stator spoke-type vernier permanent magnet wind generator[40]
3.1.2 不同磁障/磁桥设计的拓扑
根据2.2节分析,磁路磁阻变化能在一定程度上抑制附加磁动势,在此基础上磁桥(磁障内嵌入磁钢)设计则是对励磁单元与磁导单元的双重改变,如H型[42-43]、C型[44]和U型[45-46]磁桥等。一方面,磁障或磁桥设计相当于扩大了连接桥的宽度,减小了漏磁,从而提升了气隙磁通密度幅值;另一方面,合理的磁障/磁桥设计有利于改善转子运动过程中磁位分布的对称性与周期性,以降低磁位波动。
一般来说,磁障设计往往作为内置式永磁电机常采取的隔磁措施[47]或用于同步磁阻电机增大凸极率,其磁障设计方式通常可以概括为以下几种思路:①对称磁障与不对称磁障;②单层磁障与多层磁障;③轴线偏移磁障设计;④磁障形状、位置与尺寸的多目标优化设计。以上磁障设计方法均可以借鉴,但在不考虑将提升磁阻转矩分量作为重点的前提下,本文仅讨论磁障/磁桥形状设计及具体尺寸和位置优化[48-49]两方面对SA-FMPM电机转矩性能的影响。
具体地,文献[42]介绍了一种采用H型磁桥设计的开关磁链永磁电机,其定子轭和磁桥共同为主要工作磁场提供了通路,从而降低了低阶次工作谐波磁路的磁阻,与高极比下传统开关磁链电机相比,所提出结构的磁场调制效果、反电动势和输出转矩可以显著提升。文献[43]在此基础上提出了在槽开口处额外放置切向充磁永磁体的方案,研究表明,在定子铜耗相同的情况下,该结构具有更大的平均转矩与效率。文献[44]分析了C型磁障设计以及裂比、磁障宽度等参数对开关磁链电机转矩性能的影响。文献[45]提出了一种具有U型磁桥结构的SA- FMPM电机,研究并比较了传统SA-FMPM电机、U型磁桥SA-FMPM电机和单连接桥型SA-FMPM电机在不同极比时的谐波成分特性和性能。仿真分析发现,U型磁桥设计可以提升17.4%的工作次谐波幅值,并降低36%的非工作次谐波幅值。电机拓扑如图13所示。
文献[48]对切向励磁型永磁电机在三种非对称转子结构下的电磁性能进行了对比研究,如图14所示。结果表明,采用不对称弧形磁障设计、V型磁障设计以及三角形开槽设计可以提升电机转矩密度、功率和效率。文献[49]研究了转子磁障位置对永磁磁动势以及调制效果的影响,实现了SA-FMPM电机满足高转矩密度、高效轻质需求的分层优化设计,优化后的结构具有更好的调制效果。
图13 不同磁障/磁桥设计的SA-FMPM电机
Fig.13 SA-FMPM machine with different flux barrier/magnet bridge design
图14 三种非对称转子磁障设计[48]
Fig.14 Threeasymmetric rotor flux barriers design[48]
3.1.3 不同永磁体结构的拓扑
1)聚磁增强型
从励磁单元角度考虑开发出更多聚磁增强型励磁结构,如交替极V型[50-52]、梯型[53-54]、倒T型[22]、海尔贝克-切向励磁型[55-57]等。在提升励磁磁动势的同时,还能抑制磁位波动,由于其聚磁效应的增强或辅助永磁体的设置可以引导低次谐波磁路避免走磁阻大的气隙,提升了调制磁场幅值。
具体地,文献[50]综合对比了交替极V型、U型、双定子切向励磁、交替极四种不同转子结构游标永磁电机的性能。研究表明,交替极V型和U型永磁结构的游标永磁电机具有最优的转矩密度,可以达到15 N·m/L,同时具备自起动能力。文献[22, 53-54]分别给出了采用倒T型和梯型永磁体阵列的SA-FMPM电机设计,如图15所示。
图15 倒T型和梯型SA-FMPM电机
Fig.15 Inverted T-type and trapezoidal SA-FMPM machine
此外,利用“励磁单元复合”理论[9],在切向励磁型永磁体结构的基础上新增另一组独立的励磁源以形成聚磁增强型永磁体结构,可以大大减少漏磁,降低了“磁障效应”。文献[55]将表贴式海尔贝克永磁体结构与切向励磁型永磁体结构相结合,如图16所示,两者可协同提升励磁磁场以减少附加磁动势对初始励磁磁动势的削弱作用,对励磁单元的改进是最直接有效的手段,因为附加磁动势的削弱效果是直接作用于初始励磁磁场上而非调制过程中的。
图16 内置式永磁电机新型聚磁转子结构[55]
Fig.16 Interior PM machine with new flux-concentrating rotor structure[55]
同样地,文献[56-57]分别在开关磁链永磁电机辅助齿内嵌放径向充磁永磁体阵列以及定子槽口处放置Halbach永磁体阵列,两种复合方式如图17所示,新型结构相较于传统开关磁链电机显现出更优的转矩性能,但另一方面,这两种结构更易于饱和。
图17 两种不同磁动势复合方式
Fig.17 Two different magnetomotive force composite type
2)内置式永磁结构
另外,磁钢排布向各种内置式永磁结构演变也是抑制附加磁动势的有效方法之一,虽然内置式电机中也存在着明显的附加磁动势效应,理论上永磁体极对数大时亦难以具备高转矩密度优势,但其等效气隙小,且存在凸极效应引起了电枢磁场能量的变化,会产生磁阻转矩分量。即通过叠加磁阻转矩来减弱附加磁动势对转矩的削弱效果,主要有两种设计思路:①采用多层磁钢[59]、隔磁桥[60]等方式来增大凸极比;②利用各类不对称转子拓扑的磁场偏移效应[61],使最大永磁转矩和最大磁阻转矩所对应的电流角更接近。
具体地,文献[58]在切向励磁型永磁体阵列之间铁心的两个不同位置处嵌入径向充磁永磁体,如图18所示。用等效磁路法分析了d轴电感增大的原因,其输出转矩较原结构在额定相电流下可提高7%,在峰值转速下可提高4%,同时具有更强的弱磁能力。文献[60]对比分析了单层/双层永磁体和有无隔磁桥对V型转子结构电机产生磁阻转矩大小的影响。文献[61]系统性地归纳了各种不对称永磁体结构、不对称转子铁心几何形状的特点、磁场偏移效应对转矩性能的影响机理。
3.1.4 不同附加磁动势抑制拓扑总结与比较
前面分类归纳了目前几种有效地抑制附加磁动势的拓扑结构,包括连接桥型、双定子切向励磁型、设置磁障/磁桥型、聚磁增强型等,这些结构的选择对于附加磁动势的抑制效果不同,进而会影响电机的性能、成本、加工难度与精度等。文献[23]在相同尺寸下对比分析了传统SA-FMPM电机、单连接桥型SA-FMPM电机、爪极SA-FMPM电机及双定子SA-FMPM电机的性能,对于单连接桥型SA-FMPM电机来说,其缺点在于未被连接的铁磁极磁位仍在波动,不对称磁位分布会进一步引入偶次谐波。
图18 两种不同切向励磁型永磁体阵列的轮毂电机[58]
Fig.18 Two different spoke-type PM arrays in-wheel motors[58]
对于爪极SA-FMPM电机来说,其缺点在于必须使用软磁性复合材料或实心钢,对于加工工艺和精度有着更高的要求,涡流损耗和漏磁也相对较大。二者的性能提升都受到连接桥饱和效应的限制。对于双定子SA-FMPM电机来说,其缺点在于双层气隙使机械支持结构相对复杂。设置磁障/磁桥的拓扑和向内置式永磁结构演变的拓扑两者共同的缺点在于不能完全消除附加磁动势,且会面临齿槽转矩增大[62]、平均转矩和转矩脉动协同提升的问题,加工相对复杂。聚磁增强型SA-FMPM电机的缺点在于磁动势源的复合会使得非工作次气隙磁通密度谐波含量更为丰富,导致空载反电动势畸变,同时电机带载能力较差。本节所提及各类拓扑性能对比见表2。
表2 附加磁动势抑制拓扑性能对比
Tab.2 Performance comparison of additional magnetic motive force suppression topologies
电机拓扑磁位波动过载能力转矩永磁用量比电机加工适用场合 传统SA-FMPM双边磁位波动强低简单中低速直驱 单连接桥型单边磁位波动普通较高普通中低速直驱 爪极无磁位波动弱高复杂轻载低速直驱 双定子无磁位波动强高简单低速直驱 磁障/磁桥双边磁位波动强较高复杂中低速直驱 聚磁增强型双边磁位波动强较高普通中低速直驱
以上是从新型电磁拓扑的角度进行附加磁动势的抑制。本节将结合电机关键参数设计,分别从转子侧[63-69]、定子侧[70-72]和谐波综合优化[73, 75-79]这三个角度,进一步梳理和归纳有效抑制附加磁动势可采用的设计方法。从附加磁动势抑制角度阐述优化设计方法对SA-FMPM电机转矩性能的影响规律。
3.2.1 基于转子侧设计
1)转子优化设计
转子优化设计[63-65]可通过改变转子铁心细节参数、永磁体形状等方式,优化气隙磁导函数,增强SA-FMPM电机磁场调制效应,减小附加磁动势幅值,从而提升输出转矩。文献[63]优化了SA-FMPM电机的转子槽开口与永磁体形状,将开口槽、半闭口槽和闭口槽以及梯型、倒梯型永磁体进行对比分析,结果表明,转子开口槽和梯型永磁体设计能提升磁场调制效果,增大了主要阶次工作谐波贡献的转矩分量,如图19所示。结合第2节的思路分析,对永磁体形状的优化是对励磁单元的直接改变,可以提升磁动势常规分量Fcom的幅值,对转子槽开口的优化则直接影响磁导函数L(q, t),因此通过提升FcomL(q, t)乘积实现了对附加磁动势的抑制。
图19 SA-FMPM电机转子设计[63]
Fig.19 Rotor design of SA-FMPM machines[63]
对于常规切向励磁型永磁电机,转子优化设计则通过降低磁位波动的方式来减小附加磁动势。文献[64]也研究了转子内侧桥、外侧桥和内外双侧桥对24槽20极连接桥型常规切向励磁型永磁电机转矩性能的影响,如图20所示。仿真分析发现,内侧桥设计能够进一步提升10次磁场谐波含量,增大输出转矩。文献[65]对模块化SA-FMPM电机的磁化方式做了相应研究。从连接桥设计的角度看,能直接降低励磁磁动势中振荡分量Fadd_1和Fadd_2的幅值,对磁钢磁化方式的设计同样是为了提升Fcom的幅值,在第2节中已经展开了详细介绍,此处不再作过多讨论。转子优化设计可以被认为是一种抑制附加磁动势的有效手段。
图20 不同转子连接桥设计[64]
Fig.20 Different rotor bridges design[64]
2)转子辅助槽
转子辅助槽[66-69]通过对转子铁磁极形状的构造,改变转子铁磁极的轴线位置,直接对转子磁位波动规律产生影响,从而改变附加磁动势波形的幅值与相位。辅助槽设计一般用于改变齿槽转矩相位,使齿槽转矩的波峰与波谷相互对应叠加抵消,从而降低转矩脉动。
文献[66-67]阐明了辅助槽的不等与轴线偏移设计对切向励磁型永磁电机转矩脉动的抑制机理,推导了相邻凸极的极弧比和轴线偏移角与转矩脉动之间的解析关系,并由此确定了合理的取值,分别消除了二阶和一阶转矩脉动谐波。文献[68]将辅助槽设计应用于开关磁链永磁电机的定子或转子齿顶处以优化齿槽转矩,如图21所示。此外,文献[69]基于一台48槽8极电动汽车用内置式永磁同步电机提出组合式T型辅助槽的设计打破了基波与齿谐波绕组系数之间的固化关系,能够在不降低基波幅值的情况下抑制齿谐波,如图22所示。可见,电机的工作谐波成分含量会受到辅助槽设计的影响,如果能应用于SA-FMPM电机中,则还有利于改变调制效果,即改变磁导函数L(q, t)的调制作用。结合第2节的思路分析,辅助槽设计影响铁磁极磁位波动规律,会降低励磁磁动势中振荡分量Fadd_1和Fadd_2的幅值,此外还存在对附加磁动势分量相位的影响,即改变附加磁动势对励磁磁动势与电枢磁动势的叠加削弱效果。可以进一步考虑借助于1.2.2节介绍的等效磁路法解析转子磁位来探究辅助槽形状、关键参数设计与附加磁动势之间的对应规律。
图21 辅助槽设计示意图[68]
Fig.21 Schematic diagram of notching schemes[68]
图22 组合式T型槽[69]
Fig.22 Composed T-shaped notch[69]
3.2.2 基于定子侧设计
定子齿形设计[70-72]通过改变定子调制齿形状,改变自身轴线位置和定子磁导函数,间接地影响转子铁磁极磁位波动的规律,从而抑制附加磁动势,提升转矩密度。文献[70]在V型开关磁链永磁电机中应用了非均匀定子分裂齿结构,如图23所示,首先均匀定子分裂齿设计相较于常规开关磁链电机的转矩密度已得到了提升,但同时也引入了较大的转矩脉动。非均匀齿设计在此基础上能进一步提升7.10%的平均转矩,且转矩脉动显著降低。相比于均匀定子分裂齿和常规开关磁链电机,该结构下基波幅值分别提升了19.2%和51.9%。为了提高永磁体利用率和转矩性能,文献[71-72]分别介绍了E型定子和多齿定子结构,均具有多工作谐波。结合第2节分析,齿形设计的目的是从改变磁导单元调制效果入手实现对附加磁动势的抑制,即改变磁导函数L(q, t),提升FcomL(q, t)乘积,也与连接桥设计的原理有共通之处,均为低次工作谐波提供了额外通路,具有可行性,但普遍是在现有齿形结构基础上进行的迭代优化。
图23 非均匀定子调制齿聚磁式交替极永磁电机[70]
Fig.23 Fig.23 Flux concentrated stator consequent-pole permanent magnet machine with nonuniform stator modulation teeth design[70]
3.2.3 谐波综合优化设计
1)定向设计
定向设计被认为是一种有效地提升电机磁场调制效应的方法,虽然其机理在于在磁场调制过程中最大化有效工作磁导谐波含量,构造出空间最优磁导函数L(q, t),而不是直接作用于初始励磁磁场;但由于永磁体表面附加磁动势的波动是随着磁导轴线与磁钢中心线的相对位置关系变化而变化,其规律可以考虑通过磁导定向设计实现改变,从而对附加磁动势产生抑制作用。文献[73]提出了一种磁导定向构造的方法,从多谐波协同定向调控的角度,最大化磁场调制电机的转矩密度。磁导定向构造方法能有效地增强调制效果以抑制附加磁动势,即提升FcomL(q, t)乘积,但铁磁极磁位波动也许会随着磁场调制效应的增强而逐渐提升,附加磁动势与磁导定向设计之间的定量关系有待进一步研究。在SA-FMPM电机中,同时存在着同步调制和异步调制行为[74],同步调制被认为仅改变初始励磁磁动势幅值,而不影响谐波成分变化。从同步调制的角度出发进行磁导定向构造也能有效提升磁场调制效果。文献[75]验证了开关磁链永磁电机的定子磁导定向构造可使原先贡献负转矩的谐波相位改变180°转而贡献正转矩,开关磁链永磁电机定子磁导定向设计如图24所示。但结构尺寸参数与附加磁动势形成直接关联的定向设计方法尚未明确,有待深入 研究。
2)谐波协同优化设计
附加磁动势的作用对象是磁场谐波,也是谐波协同优化方法的设计目标,因此通过优化特定阶次谐波群的含量可以减弱附加磁动势对转矩的削弱效果。谐波协同优化方法[76]能够统筹协调,对永磁和电枢磁场谐波同时进行优化,兼顾了励磁单元和电枢单元对不同优化目标的交互作用。在此基础上,文献[77]提出一种基于气隙磁通密度谐波的多目标优化设计方法,选取对平均转矩或转矩脉动贡献最大的谐波作为子目标,SA-FMPM电机谐波优化设计的帕累托前沿如图25所示,改善了倒T型永磁体SA-FMPM电机的转矩性能。
图24 开关磁链永磁电机定子磁导定向设计[75]
Fig.24 Directional stator permeance design of flux-switching permanent magnet machine[75]
图25 SA-FMPM电机谐波优化设计的帕累托前沿[77]
Fig.25 Pareto front of the harmonic optimization design for SA-FMPM machine[77]
基于磁场调制理论,文献[78]通过非对称磁动势单元和非对称磁导单元构造实现了开关磁链电机齿槽转矩的有效抑制。文献[79]进一步地从气隙磁场谐波的角度解释了不同齿槽转矩抑制技术的抑制机理及效果差异。对比来看,附加磁动势既受励磁单元也受磁导单元的影响,谐波优化设计对象如果换成励磁单元与磁导单元的具体结构参数,或从磁场调制角度分析附加磁动势,将其与具体阶次的谐波构造相关联,理论上也能对附加磁动势产生影响。结合第2节分析,谐波优化子目标既可以是最大化磁动势常规分量Fcom的幅值,也可以是最小化振荡分量Fadd_1和Fadd_2的幅值,还可以是磁导函数L(q, t)中的最优工作磁导谐波含量。
励磁单元的选择,除切向励磁型结构之外,交替极和Halbach也常被用来进一步增强励磁磁动势。根据上述分析可知,对于永磁体嵌入式结构,双边开槽效应导致气隙两侧磁位差的存在与波动,引入了较大的附加磁动势,削弱了工作次谐波。
文献[80]指出交替极结构的气隙磁动势不再满足等于永磁体产生的初始磁动势,定转子磁位不等,必须叠加附加的磁动势分量以抵消由于单极性永磁体所产生的恒定磁通项。这说明附加磁动势现象在交替极结构中同样存在。然而,与切向励磁型结构的不同之处在于,其转子铁磁极相连,互相之间不存在磁位波动。在确定的电机尺寸和极比下,交替极游标永磁电机比切向励磁型游标永磁电机附加磁动势更小,其气隙磁通密度谐波调制分量更大,永磁体利用率更高,能够产生更大的反电动势和转矩[81]。
交替极结构中附加磁动势出现的根本原因在于定子磁位与转子磁位不等,反映在数学表征上,即比磁导不能仅视作定子或转子单边开槽结构时的比磁导乘积,还需要附加比磁导耦合项。对于Halbach和表贴式结构来说,磁路磁阻交变同样会导致磁体表面磁位波动,且相反极性永磁体会增强气隙两侧的磁位差。因此,Halbach和表贴式结构具有比切向励磁型结构更大的附加磁动势,但反而高极比下切向励磁型游标永磁电机的转矩性能更差,这是因为随着极比提升,转子铁心间的磁位值波动进一步增强,此时主要贡献附加磁动势的来源不是定转子磁位差变化,而是铁磁极磁位带来的波动。因此,相比切向励磁型、Halbach和表贴式结构,交替极可视为抑制了起反作用的磁位波动实现了性能提升。
常规内置式永磁电机中也存在着开槽效应所导致的附加磁动势。但其在一个圆周内铁磁极所面对的集总磁导波动相比SA-FMPM电机变化不大。另一方面,在常规内置式永磁电机中不存在附加磁动势对谐波调制分量的削弱作用,以及极比对磁位波动幅值的提升作用,因此抑制附加磁动势对常规内置式永磁电机的性能影响较小。
第3节中所提及的其他V型、U型、T型等内置式结构由于增强的聚磁效应能在一定程度上实现对附加磁动势的抑制,但其他方法在常规内置式永磁电机中往往达不到良好的应用效果。实质上,切向励磁型结构可视为最简单的内置式结构。通常,多目标优化设计[82-83]或采用辅助永磁体[84]常用于切向励磁型永磁电机的性能提升。文献[83]对带辅助凸极的常规切向励磁型永磁电机进行了考虑确定性和稳健性能的多目标综合优化设计。文献[84]提出了如图26所示的磁通辅助式切向励磁型永磁电机,该新型结构具有更宽的恒功率运行范围和减少的永磁体用量。
图26 磁通辅助式交替极切向励磁型永磁同步电机[84]
Fig.26 Flux-assisted consequent pole spoke-type permanent magnet synchronous torque motor[84]
本文系统性地介绍了SA-FMPM电机中附加磁动势现象的产生机理和分析模型、对电机性能产生的负面影响、抑制方法和衍变拓扑、与现有的电机性能优化设计技术之间的关联等,重点分析了附加磁动势的抑制思路、新型SA-FMPM电机拓扑的分类和优缺点、可考虑实施的各类优化设计方法、附加磁动势在其他电机类型中的解读等。总体而言,抑制附加磁动势可以采取降低磁位波动、磁障/磁桥设计、磁钢排布优化等手段,可以考虑实施的性能优化设计方法包括转子优化设计、定子齿形设计、定向设计、谐波协同优化设计等。通过削弱“磁障效应”,提升SA-FMPM电机中工作磁场谐波含量,使其在新能源发电、混合动力船舶、矿业牵引等低速直驱领域具有较强的应用潜力。但从附加磁动势角度分析与指导嵌入式永磁体结构电机的设计与创新鲜有报道,仍有一些基础性问题及关键理论技术有待研究,主要包括:
1)励磁单元、磁导单元与附加磁动势之间的定量解析关系。从现有文献看,附加磁动势主要通过等效磁路法求解磁位值来表征,难以与磁动势谐波或磁导谐波建立联系,因此无法精确地通过定向设计磁钢或凸极等结构的具体尺寸参数来调控附加磁动势幅值,有必要进行深入研究。
2)附加磁动势与初始磁动势之间的关系。从现有文献看,初始磁动势幅值的提升或调制效果的增强虽然能实现对附加磁动势削弱作用的减弱,但并不代表此时铁磁极磁位波动一定降低,附加磁动势幅值有可能协同增大,相关研究鲜少报道,对研究开发新型SA-FMPM电机拓扑的指导性不足。
3)工业应用。目前,SA-FMPM电机缺少成熟的工业产品,其附加磁动势现象会限制磁场调制效果且仍处于理论探索阶段,解决“磁障效应”、过载能力差、功率因数低等方面的问题,有助于该类电机在低速大转矩装备中的推广应用。
参考文献
[1] Li Dawei, Qu Ronghai, Li Jian. Topologies and analysis of flux-modulation machines[C]//2015 IEEE Energy Conversion Congress and Exposition (ECCE), Montreal, QC, Canada, 2015: 2153-2160.
[2] 程明, 马钲洲, 花为, 等. 电机气隙磁场调制统一理论研究进展与展望[J]. 中国电机工程学报, 2025, 45(4): 1220-1237.
Cheng Ming, Ma Zhengzhou, Hua Wei, et al. Research progresses and prospects of general airgap field modulation theory for electrical machines[J]. Proceedings of the CSEE, 2025, 45(4): 1220-1237.
[3] Zhu Xuhui, Lee C H T, Chan C C, et al. Overview of flux-modulation machines based on flux-modulation principle: topology, theory, and development pro- spects[J]. IEEE Transactions on Transportation Electrification, 2020, 6(2): 612-624.
[4] 苏鹏, 申怡, 花为, 等. 轴向模块化磁通反向电机运行机理研究[J]. 中国电机工程学报, 2022, 42(23): 8718-8729.
Su Peng, Shen Yi, Hua Wei, et al. Analysis of operation principle for an axial modular flux reversal permanent magnet machine[J]. Proceedings of the CSEE, 2022, 42(23): 8718-8729.
[5] 梁子漪, 曲荣海, 陈智, 等. 双机电端口电机系统综述与发展展望[J]. 电工技术学报, 2022, 37(19): 4923-4937.
Liang Ziyi, Qu Ronghai, Chen Zhi, et al. Overview of dual-electrical-port dual-mechanical-port machine system and their development[J]. Transactions of China Electrotechnical Society, 2022, 37(19): 4923- 4937.
[6] 卢浩, 杜怿, 刘新波, 等. 磁场调制型双馈无刷混合励磁电机及其静态性能分析[J]. 电工技术学报, 2020, 35(14): 2969-2978.
Lu Hao, Du Yi, Liu Xinbo, et al. Static performance analysis of magnetic field-modulated doubly-fed brushless hybrid excitation motor[J]. Transactions of China Electrotechnical Society, 2020, 35(14): 2969- 2978.
[7] 于克训, 陈曦, 谢贤飞, 等. 无刷双馈电机研究综述与展望[J]. 电工技术学报, 2024, 39(2): 397-422.
Yu Kexun, Chen Xi, Xie Xianfei, et al. Overview and prospect of the brushless doubly-fed machine research[J]. Transactions of China Electrotechnical Society, 2024, 39(2): 397-422.
[8] Wu Fan, M El-Refaie A. Permanent magnet vernier machine: a review[J]. IET Electric Power Appli- cations, 2019, 13(2): 127-137.
[9] 谢康福. 基于电磁复合的永磁电机理论与拓扑研究[D]. 武汉: 华中科技大学, 2020.
Xie Kangfu. Permanent magnet machines theory and topology study based on electromagnetic superimpo- sition[D]. Wuhan: Huazhong University of Science and Technology, 2020.
[10] 黄海林, 李大伟, 曲荣海, 等. 磁齿轮复合永磁电机拓扑及应用综述[J]. 电工技术学报, 2022, 37(6): 1381-1397.
Huang Hailin, Li Dawei, Qu Ronghai, et al. A review of magnetic geared machines: topologies and appli- cations[J]. Transactions of China Electrotechnical Society, 2022, 37(6): 1381-1397.
[11] 曲荣海, 李大伟, 赵钰. 磁场调制电机的由来、发展与挑战[J]. 中国电机工程学报, 2024, 44(18): 7361- 7381.
Qu Ronghai, Li Dawei, Zhao Yu. The origin, development and challenge of flux modulation machine[J]. Proceedings of the CSEE, 2024, 44(18): 7361-7381.
[12] 樊英, 陈秋蒴, 陈俊磊, 等. 基于无人配送车辆运行工况的交替极游标轮毂电机优化设计[J]. 电工技术学报, 2023, 38(19): 5141-5151.
Fan Ying, Chen Qiushuo, Chen Junlei, et al. Opti- mization design of consequent pole vernier wheel motor based on operating conditions of unmanned delivery vehicles[J]. Transactions of China Electro- technical Society, 2023, 38(19): 5141-5151.
[13] 李亚, 周庆林, 丁石川, 等. 表嵌式交替极永磁电机拓扑演化及气隙磁场调制效应研究[J]. 电工技术学报, 2023, 38(12): 3188-3198.
Li Ya, Zhou Qinglin, Ding Shichuan, et al. Investi- gation of topologies evolution and air-gap field modulation effect on surface-inset consequent-pole PM machines[J]. Transactions of China Electro- technical Society, 2023, 38(12): 3188-3198.
[14] Xie Kangfu, Li Dawei, Qu Ronghai, et al. A novel permanent magnet vernier machine with halbach array magnets in stator slot opening[J]. IEEE Transactions on Magnetics, 2017, 53(6): 7207005.
[15] Kim B, Lipo T A. Analysis of a PM vernier motor with spoke structure[C]//2014 IEEE Energy Con- version Congress and Exposition (ECCE), Pittsburgh, PA, USA, 2014: 2358-2365.
[16] Pu Yun, Xiang Zixuan, Jiang Min, et al. Investigation on electromagnetic torque of a flux-switching per- manent magnet motor from perspective of flux density harmonic reduction ratio[J]. IEEE Transa- ctions on Magnetics, 2022, 58(2): 8101706.
[17] Mushenya J, Khan A. Performance analysis and mechanical assembly considerations for a spoke-type permanent magnet vernier machine with an inner salient pole core on the rotor[C]//2022 IEEE Energy Conversion Congress and Exposition (ECCE), Detroit, MI, USA, 2022: 1-8.
[18] 梁子漪, 曲荣海, 李大伟, 等. 一种交替极切向励磁游标永磁电机的分析与设计[J]. 电工技术学报, 2020, 35(15): 3173-3181.
Liang Ziyi, Qu Ronghai, Li Dawei, et al. Analysis of a consequent-pole spoke-array vernier permanent mag- net machine[J]. Transactions of China Electro- technical Society, 2020, 35(15): 3173-3181.
[19] 曲荣海, 李大伟, 任翔. 磁场调制电机[M]. 北京: 科学出版社, 2022.
[20] Zou Tianjie, Li Dawei, Qu Ronghai, et al. Per- formance comparison of surface and spoke-type flux-modulation machines with different pole ratios[J]. IEEE Transactions on Magnetics, 2017, 53(6): 7402605.
[21] Liu Yang, Song Bao, Tang Xiaoqi. Additional magneto motive force of spoke-type vernier permanent-magnet machines[J]. IEEE Transactions on Magnetics, 2023, 59(11): 8104006.
[22] 徐高红, 陈健, 陈前. 一种新型倒T型连续极高转矩密度永磁游标电机[J]. 电气工程学报, 2025, 20(2): 157-164.
Xu Gaohong, Chen Jian, Chen Qian. A novel inverted T-type consequent high torque density permanent magnet vernier motor[J]. Journal of Electrical Engineering, 2025, 20(2): 157-164.
[23] 张远志. 切向励磁型游标永磁直驱风力发电机技术研究[D]. 武汉: 华中科技大学, 2022.
Zhang Yuanzhi. Research on spoke-type vernier permanent magnet direct-drive wind turbine gen- erator[D]. Wuhan: Huazhong University of Science and Technology, 2022.
[24] 刘洋, 宋宝, 周向东, 等. 轮辐式游标永磁电机分析与多目标优化设计[J]. 电机与控制学报, 2023, 27(9): 1-9.
Liu Yang, Song Bao, Zhou Xiangdong, et al. Analysis and multi-objective optimization of spoke type vernier permanent-magnet machine[J]. Electric Machines and Control, 2023, 27(9): 1-9.
[25] Wu Shuang, Guo Liyan, Wang Huimin, et al. Analytical calculation for magnetic field in spoke- type permanent magnet machines based on a rotor magnetic potential model[J]. IEEE Transactions on Magnetics, 2022, 58(2): 8103605.
[26] Chen Hong, Li Dawei, Qu Ronghai, et al. An improved analytical model for inductance calculation of interior permanent magnet machines[J]. IEEE Transactions on Magnetics, 2014, 50(6): 7027108.
[27] Wu Shuang, Guo Liyan, Wang Huimin, et al. Inductance calculation of interior permanent magnet machines considering asymmetrical saturation of the bridge[J]. IEEE Transactions on Magnetics, 2019, 55(11): 8107511.
[28] Zhao W, Lipo T A, Kwon B. Torque pulsation mini- mization in spoke-type interior permanent magnet motors with skewing and sinusoidal permanent magnet configurations[J]. IEEE Transactions on Mag- netics, 2015, 51(11): 1-4.
[29] Evans S A. Salient pole shoe shapes of interior permanent magnet synchronous machines[C]//The XIX International Conference on Electrical Machines- ICEM 2010, Rome, Italy, 2010: 1-6.
[30] Pang Yong, Zhu Z Q, Feng Z J. Cogging torque in cost-effective surface-mounted permanent-magnet machines[J]. IEEE Transactions on Magnetics, 2011, 47(9): 2269-2276.
[31] Muteba M. Effect of combination between stator-slot and rotor-pole numbers on the performance of multi- phase spoke-type PM motors for vehicle traction applications[C]//2021 7th International Conference on Electrical, Electronics and Information Engineering (ICEEIE), Malang, Indonesia, 2021: 90-95.
[32] Ren Xiang, Li Dawei, Qu Ronghai, et al. Investigation of spoke array permanent magnet vernier machine with alternate flux bridges[J]. IEEE Transactions on Energy Conversion, 2018, 33(4): 2112-2121.
[33] Ge Xiao, Zhu Z Q, Li Jiebao, et al. A spoke-type IPM machine with novel alternate airspace barriers and reduction of unipolar leakage flux by step-staggered rotor[J]. IEEE Transactions on Industry Applications, 2016, 52(6): 4789-4797.
[34] Liang Ziyi, Gao Yuting, Li Dawei, et al. Design of a novel dual flux modulation machine with consequent- pole spoke-array permanent magnets in both stator and rotor[J]. CES Transactions on Electrical Machines and Systems, 2018, 2(1): 73-81.
[35] Liu Wenbo, Lipo T A. Analysis of consequent pole spoke type vernier permanent magnet machine with alternating flux barrier design[J]. IEEE Transactions on Industry Applications, 2018, 54(6): 5918-5929.
[36] Zhang Yuanzhi, Li Dawei, Yan Peng, et al. A high torque density claw-pole permanent-magnets vernier machine[J]. IEEE Journal of Emerging and Selected Topics in Power Electronics, 2022, 10(2): 1756- 1765.
[37] Zhang Yuanzhi, Li Dawei, Fang Li, et al. Design and manufacture of a high-torque-density permanent magnet traction motor for light-duty electric vehicles[J]. IEEE Transactions on Transportation Electrification, 2024, 10(1): 379-391.
[38] Li Dawei, Qu Ronghai, Lipo T A. High-power-factor vernier permanent-magnet machines[J]. IEEE Transa- ctions on Industry Applications, 2014, 50(6): 3664- 3674.
[39] Li Dawei, Qu Ronghai, Xu Wei, et al. Design pro- cedure of dual-stator spoke-array vernier permanent- magnet machines[J]. IEEE Transactions on Industry Applications, 2015, 51(4): 2972-2983.
[40] Cheng Yi, Zhang Yuanzhi, Qu Ronghai, et al. Design and analysis of 10 MW HTS double-stator flux- modulation generator for wind turbine[J]. IEEE Transactions on Applied Superconductivity, 2021, 31(5): 5201408.
[41] Cheng Yi, Qu Ronghai, Gao Yuting, et al. Com- parison of electromagnetic performance of 10-MW HTS double-stator flux modulation wind generators with different topologies[J]. IEEE Transactions on Applied Superconductivity, 2020, 30(4): 5202307.
[42] Gao Yuting, Li Dawei, Qu Ronghai, et al. Analysis of a novel consequent-pole flux switching permanent magnet machine with flux bridges in stator core[J]. IEEE Transactions on Energy Conversion, 2018, 33(4): 2153-2162.
[43] Qiao Zhenyang, Zhang Yunpeng, Luo Jian, et al. Design and analysis of a consequent-pole flux switching permanent magnet machine with flux- concentrated magnet for torque enhancement[J]. IEEE Transactions on Energy Conversion, 2024, 39(4): 2468-2479.
[44] Liang Ziyi, Gao Yuting, Li Dawei, et al. Investigate of a flux switching permanent magnet machine with alternative flux bridges[C]//2019 IEEE Energy Con- version Congress and Exposition (ECCE), Baltimore, MD, USA, 2019: 6548-6554.
[45] Zhang Yuwei, Zhao Yu, Li Dawei, et al. A novel high torque density spoke-array permanent magnets vernier machine with magnets bridge[C]//2023 26th Inter- national Conference on Electrical Machines and Systems (ICEMS), Zhuhai, China, 2023: 1746-1751.
[46] Yang Hui, Li Ya, Lin Heyun, et al. Principle investi- gation and performance comparison of consequent- pole switched flux PM machines[J]. IEEE Transa- ctions on Transportation Electrification, 2021, 7(2): 766-778.
[47] 隋嘉庆, 冯桂宏, 张炳义. 基于不等磁极组合的外转子内置式永磁同步电机转矩脉动抑制研究[J]. 电机与控制应用, 2022, 49(3): 61-67.
Sui Jiaqing, Feng Guihong, Zhang Bingyi. Research on torque ripple suppression of interior permanent magnet synchronous motor with outer rotor based on unequal magnetic pole combination[J]. Electric Machines & Control Application, 2022, 49(3): 61-67.
[48] Cao Chi, Zhao Wenliang, Liu Yan, et al. Performance improvement of spoke-type interior permanent mag- net motors with asymmetric rotor structures[C]//2021 24th International Conference on Electrical Machines and Systems (ICEMS), Gyeongju, South Korea, 2021: 1326-1330.
[49] 项子旋, 卢子润, 朱孝勇, 等. 轮辐式永磁轮毂电机高效轻质设计与优化研究[J]. 中国电机工程学报, 2021, 41(24): 8283-8295.
Xiang Zixuan, Lu Zirun, Zhu Xiaoyong, et al. High- efficiency and lightweight design and optimization of spoke-type permanent magnet in-wheel motor[J]. Proceedings of the CSEE, 2021, 41(24): 8283-8295.
[50] Zhao Yu, Li Dawei, Lin Mengxuan, et al. Investi- gation of line-start permanent magnet vernier machine with different rotor topologies[J]. IEEE Journal of Emerging and Selected Topics in Power Electronics, 2022, 10(3): 2859-2870.
[51] Chen Yiqiang, Zhu Xiaoyong, Quan Li, et al. A V-shaped PM vernier motor with enhanced flux- modulated effect and low torque ripple[J]. IEEE Transactions on Magnetics, 2018, 54(11): 8203804.
[52] 周健荣, 樊德阳, 项子旋, 等. V型游标永磁电机功率因数内在机理及其提升方法[J]. 电工技术学报, 2023, 38(14): 3789-3799.
Zhou Jianrong, Fan Deyang, Xiang Zixuan, et al. Production mechanism of power factor of V-type vernier permanent magnet machine and improvement method[J]. Transactions of China Electrotechnical Society, 2023, 38(14): 3789-3799.
[53] Liang Peixin, Chai Feng, Yu Yanjun, et al. Analytical model of a spoke-type permanent magnet synchronous in-wheel motor with trapezoid magnet accounting for tooth saturation[J]. IEEE Transactions on Industrial Electronics, 2019, 66(2): 1162-1171.
[54] Huang Hailin, Li Dawei, Qu Ronghai, et al. Design and analysis of T-shaped consequent pole dual PM vernier machines with differential magnetic network method[J]. IEEE Journal of Emerging and Selected Topics in Power Electronics, 2022, 10(4): 4546-4555.
[55] Wang Jing, Geng Weiwei, Li Qiang, et al. A new flux-concentrating rotor of permanent magnet motor for electric vehicle application[J]. IEEE Transactions on Industrial Electronics, 2022, 69(11): 10882-10892.
[56] Chen Canruo, Ren Xiang, Li Dawei, et al. Torque performance enhancement of flux-switching permanent magnet machines with dual sets of magnet arrange- ments[J]. IEEE Transactions on Transportation Elec- trification, 2021, 7(4): 2623-2634.
[57] Bi Yanding, Fu Weinong, Niu Shuangxia, et al. Torque enhancement of a dual-PM flux-switching machine with improved multiple high-order working harmonics[J]. IEEE Transactions on Transportation Electrification, 2024, 10(2): 2830-2843.
[58] Hua Yuntao, Wang Chen, Liu Ye, et al. Comparative study of high torque density spoke-type PM in-wheel motors for special vehicle traction applications[J]. IEEE Transactions on Industry Applications, 2022, 58(2): 1952-1962.
[59] 刘细平, 刘章麒, 李亚, 等. 电动汽车用双层永磁体IPMSM优化分析[J]. 电机与控制学报, 2017, 21(10): 30-39.
Liu Xiping, Liu Zhangqi, Li Ya, et al. Optimization and analysis of IPMSM with double-layer permanent magnet used in electric vehicle[J]. Electric Machines and Control, 2017, 21(10): 30-39.
[60] 李吉程, 王爱元, 王成敏, 等. 内置式永磁同步电机不同转子拓扑结构对电机性能的影响分析[J]. 电机与控制应用, 2024, 51(2): 103-112.
Li Jicheng, Wang Aiyuan, Wang Chengmin, et al. Analysis of the influence of different rotor topology structures on the performance of interior permanent magnet synchronous motors[J]. Electric Machines & Control Application, 2024, 51(2): 103-112.
[61] Zhu Ziqiang, Xiao Yang. Novel magnetic-field- shifting techniques in asymmetric rotor pole interior PM machines with enhanced torque density[J]. IEEE Transactions on Magnetics, 2022, 58(2): 8100610.
[62] 王力新, 王晓远, 高鹏, 等. 电动汽车用内置式永磁同步电机转矩脉动分析及抑制[J]. 电工技术学报, 2024, 39(20): 6386-6396.
Wang Lixin, Wang Xiaoyuan, Gao Peng, et al. Torque ripple reduction analysis of interior permanent magnet synchronous motor for electric vehicle[J]. Transa- ctions of China Electrotechnical Society, 2024, 39(20): 6386-6396.
[63] Li Ya, Zhou Qinglin, Ding Shichuan, et al. Influences of rotor design on air-gap field modulation effect in spoke-type permanent magnet machine for traction applications[J]. IEEE Transactions on Industry Appli- cations, 2023, 59(6): 6674-6684.
[64] Liu Ye, Ma Kang, Xu Jiulong. Design optimization of rotor bridge and fixing hole for spoke-type PMSM[J]. IEEE Transactions on Magnetics, 2023, 59(11): 8102105.
[65] Zhang Hengliang, Hua Wei. The influence of mag- netization on modular spoke-type permanent-magnet machine for in-wheel traction applications[J]. IEEE Transactions on Magnetics, 2018, 54(11): 8105105.
[66] Chen Qian, Xu Gaohong, Zhai Fangfang, et al. A novel spoke-type PM motor with auxiliary salient poles for low torque pulsation[J]. IEEE Transactions on Industrial Electronics, 2020, 67(6): 4762-4773.
[67] Xu Meimei, Zhao Wenxiang, Ji Jinghua, et al. Auxiliary notching rotor design to minimize torque ripple for interior permanent magnet machines[J]. IEEE Transactions on Industrial Electronics, 2024, 71(10): 12051-12062.
[68] Wang Daohan, Wang Xiuhe, Jung S Y. Reduction on cogging torque in flux-switching permanent magnet machine by teeth notching schemes[J]. IEEE Transactions on Magnetics, 2012, 48(11): 4228-4231.
[69] Wang Bingdong, Wang Daohan, Peng Chen, et al. Interior permanent magnet synchronous machines with composed T-shaped notching rotor[J]. IEEE Transactions on Industrial Electronics, 2024, 71(6): 5519-5529.
[70] Li Ya, Zhou Qinglin, Ding Shichuan, et al. A novel flux concentrated stator consequent-pole permanent magnet machine with non-uniform stator modulation teeth[C]//2023 IEEE International Magnetic Conference- Short Papers (INTERMAG Short Papers), Sendai, Japan, 2023: 1-2.
[71] Zhao Guishu, Hua Wei. Comparative study between a novel multi-tooth and a V-shaped flux-switching permanent magnet machines[J]. IEEE Transactions on Magnetics, 2019, 55(7): 8104908.
[72] Huang Jiahui, Fu Weinong, Niu Shuangxia, et al. A novel stator dual-PM flux-switching machine with improved utilization of high-order harmonics and reduced flux leakage[C]//2023 26th International Conference on Electrical Machines and Systems (ICEMS), Zhuhai, China, 2023: 5114-5118.
[73] Fang Li, Li Dawei, Ren Xiang, et al. A quantitative air-gap construction method to maximize torque of vernier PM machines[J]. IEEE Transactions on Transportation Electrification, 2023, 9(1): 463-473.
[74] 程明, 文宏辉, 曾煜, 等. 电机气隙磁场调制行为及其转矩分析[J]. 电工技术学报, 2020, 35(5): 921- 930.
Cheng Ming, Wen Honghui, Zeng Yu, et al. Analysis of airgap field modulation behavior and torque component in electric machines[J]. Transactions of China Electrotechnical Society, 2020, 35(5): 921-930.
[75] Chen Hong, Li Dawei, Qu Ronghai, et al. Torque capacity improvement of flux-switching PM machines based on directional stator permeance design[J]. IEEE Transactions on Industrial Electronics, 2024, 71(5): 4551-4561.
[76] Xu Liang, Wu Wenjie, Zhao Wenxiang. Airgap magnetic field harmonic synergetic optimization approach for power factor improvement of PM vernier machines[J]. IEEE Transactions on Industrial Elec- tronics, 2022, 69(12): 12281-12291.
[77] Chen Qian, Liao Jihong, Qian Wei, et al. Design and optimization a new spoke-type flux-modulation machine with inverted T-shape permanent magnets[J]. IEEE Transactions on Energy Conversion, 2023, 38(1): 203-217.
[78] Zhu Xiaofeng, Hua Wei, Wu Zhongze, et al. Analytical approach for cogging torque reduction in flux-switching permanent magnet machines based on magnetomotive force-permeance model[J]. IEEE Transactions on Industrial Electronics, 2018, 65(3): 1965-1979.
[79] Zhang Zhiheng, Wang Peixin, Hua Wei, et al. Comprehensive investigation and evaluation of cogging torque suppression techniques of flux- switching permanent magnet machines[J]. IEEE Transactions on Transportation Electrification, 2023, 9(3): 3894-3907.
[80] Fang Li, Li Dawei, Zhang Yuanzhi. Analysis of consequent pole vernier PM machine based on advanced MMF-permeance model[C]//2022 IEEE 3rd China International Youth Conference on Electrical Engineering (CIYCEE), Wuhan, China, 2022: 1-6.
[81] Chen Hong. Comparative analysis of consequent-pole permanent magnet vernier machines with different rotor-types[C]//2022 IEEE 3rd China International Youth Conference on Electrical Engineering (CIYCEE), Wuhan, China, 2022: 1-7.
[82] Liao Jihong, Chen Qian, Xu Gaohong. Back-EMF optimization of a rotor permanent magnet flux- switching machine through air-gap harmonic design[C]// 2023 26th International Conference on Electrical Machines and Systems (ICEMS), Zhuhai, China, 2023: 767-772.
[83] Liu Guohai, Wang Yanyang, Chen Qian, et al. Multiobjective deterministic and robust optimization design of a new spoke-type permanent magnet machine for the improvement of torque perfor- mance[J]. IEEE Transactions on Industrial Electronics, 2020, 67(12): 10202-10212.
[84] Onsal M, Cumhur B, Demir Y, et al. Rotor design optimization of a new flux-assisted consequent pole spoke-type permanent magnet torque motor for low- speed applications[J]. IEEE Transactions on Mag- netics, 2018, 54(11): 8206005.
Abstract Due to their small equivalent airgap length and high flux-focusing capability, spoke-array flux modulation permanent magnet (SA-FMPM) machines offer the advantage of high torque density, thus having great potential in low-speed, direct-drive applications. However, the “flux barrier effect” that exists in SA-FMPM machines becomes an obstacle to enhancing the flux modulation effect and torque capacity. The key is to suppress the additional magnetic-motive-force (MMF). This paper explores the additional MMF in SA-FMPM machines, with a focus on its suppression technologies.
Firstly, this paper introduces the generation mechanism of the additional MMF from the magnetic potential drop and the magnetic circuit aspects—the additional MMF results from the fluctuating unequal magnetic potential of each rotor's ferromagnetic poles over time. The defining formulas and mathematical models are developed to quantify the magnetic potential fluctuation, and the detrimental effects of additional MMF on motor performance are analyzed. Secondly, this paper presents three types of effective additional MMF suppression strategies: weakening or eliminating magnetic potential fluctuations, designing flux barriers or flux bridges, and optimizing magnet arrangement. The interrelations and distinctions of these strategies are also analyzed. The existing spoke-array permanent magnet machine topologies and the structural innovations in suppressing additional MMF are overviewed. Their advantages and disadvantages are summarized and evaluated as follows. (1) The principle underlying the weakening/elimination of magnetic potential fluctuations lies in forcing the homopolar rotor ferromagnetic poles to have equal magnetic potential by adding an iron yoke. The other approach is to compensate for the variation in lumped magnetic conductance during rotor rotation. Specifically, the single-bridge, double-bridge, and double-stator topologies are derived. These topologies can significantly weaken the additional MMF, and some can eliminate the magnetic potential fluctuation. However, the machine’s overload capacity is poor due to its easy saturation. (2) The flux barrier/flux bridge design can lead to variations in magnetic reluctance. The core ideal is to achieve the dual change of both “magnetomotive-force unit” and “permeance unit”. The relevant designs include H-, C-, U-, and V-shaped asymmetric flux barrier/bridge structures. These topologies can improve the flux modulation effect, but are limited in suppressing additional MMF. (3) The ideal of magnet arrangement optimization utilizes the “electromagnetic superimposition” theory to improve the flux-focusing ability. Alternatively, the reluctance torque is introduced to compensate for the torque component weakened by additional MMF. The derived topologies are classified into reinforced flux-focusing magnet and spoke-array interior magnet designs. These topologies can reduce flux leakage and enhance primitive PM-excited MMF or synthetic torque, but generate non-working harmonics, thereby increasing losses.
This paper discusses the connections between additional MMF and the existing high-performance machine design techniques from rotor-side, stator-side, and harmonic synergetic optimization design perspectives. Moreover, various machine design techniques are further elaborated. The existence of additional MMF is extended to other magnet-inserted machines. Finally, this paper suggests future research directions for additional MMF phenomena.
keywords:Additional magnetic motive force, spoke-array flux modulation permanent magnet (SA-FMPM) machines, magnetic potential fluctuation, torque performance
DOI: 10.19595/j.cnki.1000-6753.tces.241905
中图分类号:TM351
国家重点研发计划项目(52337001)、国家自然科学基金重大项目(51991382, 51991381)、中国博士后科学基金面上项目(2023M741250)和博士后创新人才支持计划项目(BX20220120)资助。
收稿日期 2024-10-25
改稿日期 2024-11-14
方 颖 女,1999年生,博士,研究方向为磁场调制电机。E-mail: yingfang@hust.edu.cn
梁子漪 女,1995年生,助理研究员,研究方向为磁场调制电机。E-mail: ziyiliang@hust.edu.cn(通信作者)
(编辑 崔文静)