新型电力系统灵活性资源成本回收机制分析及挑战

冯艺萱1 边晓燕1 陈 雯2 周 波1 贾恺翔1

(1. 上海电力大学电气工程学院 上海 200090 2. 云南电网有限责任公司电网规划建设研究中心 昆明 650041)

摘要 我国现有的灵活性资源成本回收机制无法适应未来新能源高占比新型电力系统带来的灵活性挑战。完善的灵活性资源成本回收机制是保障灵活性资源长期盈利,激励灵活性资源建设,提升系统灵活性的重要基础。该文首先系统地分析了源网荷储各侧灵活性资源的成本构成,提出边际及非边际灵活性资源的概念,探讨灵活性资源可能面临的收入和市场缺失问题;然后调研了国外电力市场成熟国家的灵活性资源成本回收机制,并从两部制电价、容量补偿机制在重点省份的实践情况等方面分析了我国目前成本回收机制的现状和挑战;最后,基于我国经济社会发展总体规划和电力市场建设现状,按照系统规划、逐步推进、由简入繁的原则,提出我国灵活性资源市场“三步走”的建设路径。

关键词:灵活性资源成本分析 灵活性资源成本回收 两部制电价 电力市场 容量补偿机制

0 引言

我国能源行业绿色低碳转型持续推进,国家能源局发布的《2023年度全国可再生能源电力发展监测评价报告》显示[1],2023年我国可再生能源发电量占比超过三分之一,光伏发电、风力发电跃升为我国的第二、三大电源,成为电力装机的主体。新能源发电具有波动性、随机性等特点,高比例新能源接入电力系统可能产生弃风弃光、失负荷等情况,给电网可靠运行带了挑战。为平抑风电、光伏等新能源接入对电力系统运行产生的影响,需要充分挖掘源网荷储各侧的灵活性资源,参与电网调节。在传统电力系统中,灵活性资源主要以可调节电源和抽水蓄能为主,新型电力系统灵活性资源日益多元化,需求侧响应、新型储能等将更高频地参与电力系统调节。除灵活性资源的各项技术特性外,合理的灵活性资源成本回收机制与相关政策的设计也是激励灵活性资源建设、增强系统灵活性的关键所在。抽水蓄能、新型储能等灵活性资源的建造成本较高,而现行电价机制大多执行的是单一制电能量价格,现货市场出清大多采用边际定价机制[2],使得灵活性资源投资回收逐渐遇到障碍。若缺乏长期可预见的盈利模式和合理的电价机制,将影响灵活性资源建设的积极性,不能满足高比例新能源接入下电力系统的灵活性需求,长此以往会造成电力系统整体灵活性下降,可再生能源消纳能力下降,最终影响可再生能源的持续健康发展。

为保障灵活性资源长期盈利、激励灵活性资源投资建设,当前国际对于建立合理的灵活性资源成本回收机制具有共识,英国、美国、德国等国已建立相对成熟的电力市场机制,电力市场成熟国家通常实行变动竞价及全市场交易相结合的成本回收机制,具备较为完善的辅助服务市场、现货市场及中长期市场体系。我国电力市场建设尚处于初级阶段,当前的灵活性资源回收机制不完善,无法及时传递价格信号。因此,我国亟须建立符合我国国情和经济发展水平的灵活性资源成本回收机制,完善容量电价机制,实行两部制电价政策,逐步引入市场竞争,回收灵活性资源成本。这既是近年来我国新能源快速发展的现实需要,也是推动新型电力系统建设的必然要求。

目前国内对灵活性资源成本回收机制的研究主要分为以下三类:①研究某类灵活性资源的成本及盈利模式,文献[3]分析了火电机组灵活性改造的技术经济评价指标;文献[4]研究了抽水蓄能电站的成本模型和成本疏导路径;文献[5]介绍了储能市场基本盈利模式。②研究国外容量成本回收机制的改革进程、运行机制等,分析其对中国建立容量成本回收机制的启发,文献[6]介绍了美国PJM容量市场建设过程、交易机制,文献[7]分析了英国电力容量市场设计原则及对中国电力市场改革的启示。③研究国内外灵活性资源通过现货、辅助服务市场等回收成本的市场模式,文献[8]分析了国外辅助服务市场应用现状及先进经验,文献[9]介绍了国外电力市场发展模式及对中国的启示,文献[10]分析了国外典型辅助服务市场产品。

国外一些国家已经对灵活性资源成本回收问题进行研究。文献[11]分析了电源侧灵活性资源的平准化度电成本评价指标;文献[12]介绍了灵活性资源可能产生的成本缺失问题;文献[13]分析了欧洲电力市场灵活性资源成本回收问题产生的原因。国外灵活性资源市场机制方面,容量市场机制起源于美国,美国PJM(Pennsylvania-New Jersey-Maryland interconnection)容量市场模式为可靠性定价容量市场(Reliability Pricing Model, RPM)[14],由政府制定容量需求边界,通过完全市场竞争形成单位容量价格;英国国家电网通过建设容量市场弥补单一电能量市场下灵活性资源投资激励不足的问题[15],将电力容量作为电力市场的商品,英国容量市场包含容量定额、拍卖等阶段[16],英国政府在容量定额和交付阶段进行适当引导,拍卖和交易阶段实现了完全的市场化;德国未成立容量市场,设立了市场竞价和政府补贴相结合的市场化机制,促进德国灵活性资源成本回收[17];北欧输电系统运营商(Transmission System Operators, TSO)定期开展备用容量市场,通过招标确定备用服务提供商[18]

当前灵活性资源成本回收机制的研究未全面总结源网荷储各侧灵活性资源成本构成及其差异化成本补偿需求,未结合我国经济社会发展总体规划、电力市场现状及我国灵活性资源建设路径提出灵活性资源成本回收机制发展建议。因此,本文首先总结灵活性资源成本分析方法,对比源网荷储侧灵活性资源建设成本、度电成本、边际成本等经济指标,提出边际及非边际灵活性资源的概念;其次探讨灵活性资源收入和市场缺失问题,分析现有的灵活性资源成本疏导路径和电价机制;然后调研国内外典型灵活性资源成本回收机制建设情况,最后,总结我国现有容量补偿机制现状和存在问题,结合我国灵活性资源发展规划,借鉴国内外灵活性资源市场机制建设经验,提出面向灵活性提升的我国灵活性资源成本回收机制建设“三步走”路径。

1 灵活性资源成本分析

灵活性资源是指具备灵活调节能力、维持系统动态供需平衡的各类资源[19]。本节分析新型电力系统下源网荷储各侧灵活性资源的成本构成,提出平准化度电成本和度电边际成本两个评价指标,并将灵活性资源总结为边际灵活性资源和非边际灵活性资源。

1.1 新型电力系统带来的灵活性挑战

跟随双碳目标指引,未来新型电力系统将面临向高比例新能源接入,风光发电具有随机性、波动性、间歇性等特性,同时有高比例电力电子元件接入电网,新型电力系统将面临“双高”特性,其运行的稳定性和安全性受到威胁。未来面向高比例可再生能源接入的新型电力系统需要充分挖掘源网荷储各侧灵活性资源潜力,除传统可调节电源、抽水蓄能外,需求侧响应、新型储能将更高频地参与电力系统调节,提升系统灵活性[8],图1为新型电力系统多时间尺度灵活性资源。

width=201.2,height=157.05

图1 新型电力系统多时间尺度灵活性资源

Fig.1 New power system multi-timescale flexibility resources

新型电力系统的灵活性提升措施主要分为技术灵活性和市场灵活性两类。技术灵活性主要包括在电力系统中各种设备、组件、能源来源和电网的功率和能量调节能力;市场灵活性则与电力系统各侧灵活性资源的经济成本相联系[20]。本文讨论的灵活性资源成本回收机制是提升电力系统市场灵活性措施的重要组成部分,通过电力市场机制规划和电价机制设计,提升灵活性资源潜力,激励灵活性资源建设。

1.2 灵活性资源成本分析

1.2.1 度电成本及度电边际成本理论

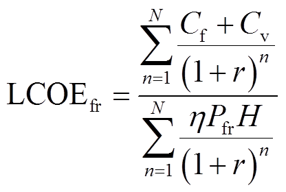
平准化度电成本(Levelized Cost of Energy, LCOE),用于计算各灵活性资源生命周期内的度电成本,包含投资成本、运维成本等部分,是目前国际上最通用的评价度电成本的指标[21]。LCOE是对灵活性资源生命周期内的成本和发电量进行平准化后相除得到的度电成本,净现值测算被美国、智利等电力市场广泛采用[2],其计算公式为

width=90.75,height=61.2(1)

式中,width=12.9,height=15为固定投资总成本;width=13.3,height=15为可变成本;r为折现率;η为电能转换效率;n为灵活性资源使用年份;N为灵活性资源生命周期;width=12.9,height=15为各灵活性资源功率;H为灵活性资源生命周期内利用小时数。

参考LCOE,度电边际成本(Marginal Cost of Energy, MCOE)是指各灵活性资源每度电的生产成本,将其定义为,在一定时期内,灵活性资源最后增加一个单位产量所需支付的成本[22],其计算公式为

width=79.9,height=29.95 (2)

1.2.2 源网荷储侧灵活性资源成本分析

1)火电灵活性改造

火电灵活性改造主要包括快速启停/升降负荷、降低最小出力[23],其中降低最小出力即增加火电机组调峰能力是目前最为广泛和主要的改造目标[24]。火电灵活性改造投资及运行成本可分为固定成本和可变成本。固定成本方面,包括灵活性改造投资成本;可变成本会随着电力产量的改变而改变,主要包括机组调峰运行少发电的收益损失、机组损耗成本、深度调峰附加燃料成本和低负荷运行的投油助燃成本[25]。火电灵活性改造调峰能力及成本构成如图2所示。

我国火电灵活性改造成本为500~1 500元/ kW[26],可变成本机组调峰运行新增度电成本、损耗成本、附加煤耗成本和助燃成本[27]。其中,调峰运行新增度电成本中枢为0.057、0.084元/(kW·h),其他可变费用取0.010~0.013元/(kW·h)测算。可变成本为0.010~0.013元/(kW·h),深度调峰运行模式下年利用小时数3 000 h,火电机组灵活性改造度电成本为0.520~0.529元/(kW·h),度电边际成本为0.491~0.499元/(kW·h);深度调峰运行模式下年利用小时数3 000 h,火电机组灵活性改造度电成本为0.466~0.476元/(kW·h),度电边际成本为0.440~0.448元/(kW·h)。

width=192,height=84.75

图2 火电灵活性改造调峰能力及成本构成

Fig.2 Thermal power flexibility transforms peak regulation capacity and cost structure

2)气电

灵活气电可通过直接调节燃料来调节负荷,为新能源提供调峰服务,缓解风光出力不稳定、瞬时变化大对电网产生的冲击,保障电网的安全稳定运行。气电投资及运行成本可分为固定成本和可变成本。固定成本方面,参考广东、浙江等气电大省的项目造价参数,9H级联合循环机组动态单位造价为2 400~2 430元/kW。可变成本主要包括燃料费和其他可变费用,燃料成本是天然气发电的主要成本。按单位发电耗气量0.182 m3/(kW·h)、气价2.4元/m3、其他可变费用取0.008 9元/(kW·h)测算,云南气电度电边际成本约0.445 7元/(kW·h)。全投资税前内部收益率取6%,气电调峰、调峰兼顾保供等不同年利用小时数场景下考虑合理投资回报率的度电成本为0.559 1~0.609 4元/(kW·h)[27]

3)抽水蓄能

抽水蓄能电站具有削峰和填谷双重作用,调峰能力为其装机容量的2倍。抽蓄投资及运行成本可分为固定成本和可变成本,其单位投资成本为6 200~7 000元/kW,运维成本一般按照初始投资的1.5%~2.5%测算,抽水蓄能电站的电能的转换效率为75%左右,即抽四发三[28],在不考虑充电电价、折现率为7%情况下,不同年利用小时数抽水蓄能电站度电成本为0.397 2~0.794 4元/(kW·h)。

4)集中式新型储能

新型储能主要包括电化学储能、压缩空气储能、飞轮储能等[29],其中电化学储能以能量密度高、使用寿命长、自放电小等特点成为目前使用最普遍的储能技术[30]。新型储能投资及运行成本包括初次投资成本、维护运营成本、替换成本、充电成本和后续的回收成本[31]。在上述成本中,除初次投资成本为一次性投入成本外,其余各项成本均为按年发生的成本,要以储能电站投运时刻作为折算起点进行折算。全国新型储能平均投资造价水平在4 000~4 200元/kW。在不考虑充电电价、折现率为8%的情况下,压缩空气储能的度电成本为0.422元/ (kW·h);磷酸铁锂的度电成本为1.042元/(kW·h);钠离子电池的度电成本为1.193元/(kW·h)。

5)需求侧响应

随着技术的不断进步和发展,电力系统运营方和消费方能够实现信息的实时、双向交流,从传统“荷随源动”的模式发展为“源随荷动”的新型模式。因此,需求侧响应在灵活性资源发展规划中的优先级也逐渐上升[32]。尤其是能够灵活参与需求侧响应的灵活性资源,如电动汽车、智能恒温控制设备等。需求侧响应前期平台建设、设备更换等固定成本投入为200~400元/kW,可变成本包含运行维护成本,中断、转移生产的机会成本。电动汽车建设固定成本为充电桩2 000~6 000元,其他成本约70元/m2,可变成本主要包括运行维护成本。

1.2.3 边际及非边际灵活性资源

通过分析1.2.2节灵活性资源的成本构成,参考边际及非边际机组的定义方式,将各类灵活性资源定义为边际和非边际灵活性资源[33]。火电灵活性改造、气电需要投入燃煤、燃气费进行调峰运行,产生度电边际成本,定义其为边际灵活性资源;抽水蓄能、新型储能及需求侧响应无需燃料费即可提供灵活调节作用,产生度电成本,定义其为非边际灵活性资源。各灵活性资源具有明显不同的成本结构[34],通常情况下,抽水蓄能、新型储能等非边际灵活性资源固定成本投资占比远高于气电等边际灵活性资源,所以,非边际灵活性资源的度电成本一般高于边际灵活性资源,如图3所示。

在灵活性市场中,边际和非边际灵活性资源具有不同的灵活性资源成本回收方式。当前主流的灵活性资源成本疏导方式为边际成本定价机制,对于边际灵活性资源,在理想情况下,出清电价即为边际成本,仅能回收灵活性资源运行成本,固定成本无法回收;对于非边际灵活性资源,一般通过两部制电价机制回收成本,只可以回收灵活性资源的部分固定成本,但不能保障回收全部固定成本。因此,灵活性资源成本疏导机制需要充分考虑其成本构成,通过制定合理的成本回收政策,对灵活性资源施加差异化的投资信号。

width=192,height=204.75

图3 边际及非边际灵活性资源成本分析

Fig.3 Analysis of the cost of marginal and non-marginal flexibility resources

2 灵活性资源成本回收机制

边际及非边际灵活性资源有不同的定价和市场出清方式,但其固定成本均无法全部回收。在不同市场环境下,灵活性资源对提供服务的选择自由度不同,成本疏导方式贯彻“谁受益,谁承担”的总体原则[3]。灵活性资源产生的可变成本通过电量电费疏导,电量电费一般可通过核定电价或通过现货市场参与竞价等方式核算,固定成本通过容量补偿或容量电价疏导,其提供的调频、调压、备用等辅助服务通过补偿、参与辅助服务市场等市场交易或签订中长期合同获得收益。本节将分析建立灵活性资源成本回收机制的必要性;研究不同市场化程度下灵活性资源成本回收机制四个发展阶段。

2.1 灵活性资源收入缺失及市场缺失问题

目前,边际定价机制被主流电力市场采用[35],边际定价机制的出清方式是,由各灵活性资源主体向交易中心上报交易电量及报价,按报价从低到高的顺序形成供给曲线,供给曲线与需求曲线的交点所对应的价格为出清电价[36]。在理想情况下,各灵活性资源按照边际成本报价,系统出清电价为边际灵活性资源的运行成本。对于火电、气电等边际灵活性资源,仅能回收灵活性资源运行成本,灵活性资源固定成本无法回收。对于储能、需求侧响应等非边际灵活性资源,只可以回收灵活性资源部分固定成本,但不能保障回收全部固定成本,由此而产生成本无法回收的部分称为收入缺失。

哈佛大学著名电力市场专家H. William教授最早总结提出边际成本定价机制导致的收入缺失问题[2],剑桥大学N. David教授将其归纳为收入缺失(missing money)问题,并提出了市场缺失(missing market)的概念[12],单一电能量市场已无法支持灵活性资源回收全部成本,因此,有必要建立现货市场、辅助服务市场、容量市场及配套机制有机衔接的灵活性资源成本回收机制。

2.2 不同市场阶段灵活性资源电价机制

合理的电价机制可以传递灵活性资源价值信号。随着电力市场机制的不断成熟和完善,电价形成过程的市场参与度逐渐提高,经历了“内部结算不核算”“两部制电价”“固定收入+部分竞价”和“全市场交易”四个发展阶段,如图4所示。

width=224.25,height=258

图4 灵活性资源成本疏导机制四阶段

Fig.4 Flexibility resource cost mitigation mechanism in four phases

2.2.1 内部结算不核算

日本、法国等国家采用该电价机制,即在国家电网内部直接进行结算,不单独进行核算。此机制难以及时传递灵活性资源成本变化情况和灵活反映灵活性资源的价格信号,适用于租赁制或电网独资国家。

2.2.2 两部制电价

我国电力市场正处于建设初期,部分灵活性资源目前采用混合作用的电价方式,即政府调控和市场机制并存。在这种市场发展初期的机制下,发电厂和其他电力企业的固定成本和可变成本分别通过容量电价和电量电价来弥补,以确保基本盈利并回收部分固定成本。然而,两部制电价机制无法直接参与市场竞争,盈利能力相对较弱,灵活性不足。

2.2.3 固定收入+变动竞价

针对基本健全的电力市场,采取“固定收入+变动竞价”的机制,即通过固定收入在保障电力企业的基本收益的前提下,允许企业的剩余容量直接参与市场竞价,由市场供需关系决定电价。此机制鼓励电力企业积极融入市场,通过灵活调节能力和容量价值实现额外收益。

2.2.4 全市场竞价

在美国、英国等国家,电力市场采用全市场竞价方式。随着市场发展日渐成熟,电力市场规则逐渐完善,包括电力现货市场、辅助服务市场等交易品种。这使得电力企业能够充分参与市场竞争,通过供求双方的博弈形成电力价格。不同类型的企业可以根据需求参与不同时间维度的服务市场,以获取更高收益。然而,相较于固定收入成分的市场机制,全市场交易机制无法保证稳定收益,波动性较大,甚至可能出现负电价现象,对市场交易环境要求更高。

3 国内外灵活性资源成本回收机制现状分析

3.1 国外灵活性资源成本回收机制分析

北欧、英国、美国、德国等已建立相对成熟的电力市场,并且大力推进灵活性资源参与的相关市场机制的设计,但由于电源组成、市场开展模式、灵活性资源占比等差异,各国在具体机制设计上仍存在较大差异,对比分析见表1。

表1 北欧与美国灵活性资源成本回收机制对比

Tab.1 Comparison of flexible resource cost recovery mechanisms in Northern Europe and United States

北欧美国PJM美国(得州)ERCOT 电源结构特征水电为主,风电占比稳步提升气电为主,传统煤电进一步缩减,光伏大幅度增长气电为主,光伏占比大幅度提升 新能源占比提升带来的挑战区域协同能力不足、调峰调压火电灵活性改造成本高、爬坡/滑坡能力不足调频、区域能源种类单一、考虑天然气存量

(续)

北欧美国PJM美国(得州)ERCOT 灵活性调节产品联络线、储能、调频调压和其他灵活性燃煤燃气机组、储能和需求响应灵活性燃煤燃气机组、储能和需求响应 新能源消纳机制跨国互联、财政补贴风电自报价、多个结算系统生产税收抵扣、投资税收抵扣 灵活性资源相关市场机制市场分割模式、对销交易模式容量市场双边合同、容量市场

3.1.1 美国

至2030年,美国光伏发电量占比将超过风电,风光发电将贡献主要发电量。为应对高比例新能源的接入,美国提供了气电、抽水蓄能、新型储能、需求侧响应等种类丰富的灵活性资源。其中,气电为美国的主要调峰电源,在2022年的夏季用电高峰期,美国加州气电的供应量甚至一度达到80%[37];美国的抽水蓄能装机容量达19.288 GW,位居全球第三[38],根据美国能源部的数据,美国18个州都在利用抽水蓄能项目,其约占美国已装机储能容量的81%[39]。抽水蓄能等灵活性资源的造价较高。

美国电力系统划分为三大区域电网:东部网、西部网和得州网[40],售电量占比分别为63%、19%和8%,主要由私立和公营电力公司根据自身负荷和电源分布组成的一个个独立电网构成,包括宾夕法尼亚州—新泽西州—马里兰州互联区域电网[41],美国得州电力可靠性委员会(Electric Reliability Council of Texas, ERCOT)同步电网,加州电网独立运营商CASIO等,出台了系列容量补偿政策,并通过加强现货及辅助服务市场的建设来加强价格信号的传递,以此激励灵活性资源投资建设。

美国具有较为成熟的容量成本回收机制,可分为稀缺电价机制、容量补偿和容量市场。稀缺电价机制是将投资信号体现在电力稀缺情况下的电能量价格[42]或备用价格上;容量补偿机制是政府根据电源结构、需求预测制定补偿标准,按装机或有效容量补偿,电源收入预期稳定,电价的影响可控,机制建设难度小,适用于市场初期;容量市场则是事先根据可靠性需求、机组净成本等制定需求曲线,市场形成容量价格,其中美国PJM区域电力市场已经建立了较为完善的容量市场机制[14],PJM市场利用价格信号引导发电商,以确保其拥有必要的机组容量。这些容量可以是发电商自有的,或是通过每年五月举行的容量竞拍购买,以获得三年后所需的容量。为了给市场参与者提供充足的规划时间,PJM市场建立了电子容量市场,允许市场参与者在每天6:00—9:00,根据自身次日的容量义务进行容量信用的买卖。市场将根据标价从最低价的卖出标书开始进行交易配对,在提交买入和卖出标书后。成功配对的卖出标价将确定市场清算价格,所有成功的容量信用交易都将以此价格结算。这种措施使PJM容量市场提前三年满足电力用户的需求,促进了灵活性资源的充足投资和成本的回收,以保障未来的灵活性资源需求。

3.1.2 北欧

2023年北欧能源发电结构以水电、核能、风电和生物质能为主,其中水力发电高达35%,是重要的发电来源之一[43]。北欧地区由瑞典、挪威、芬兰、冰岛和丹麦5个国家组成,除冰岛外,其他4个国家已实现电网互联[24]。北欧地区,波兰和瑞典以传统火电机组作为灵活性资源,而芬兰和挪威除了发电机组外还有抽水蓄能电站及储能。

北欧建设了协同互联的灵活性资源市场机制,北欧四国根据各国的电力系统特性与灵活性需求建立了完备的跨国电力交换网络系统[41],首先将芬兰的火电机组和挪威的蓄能水电站投入互联电网中充当灵活性电源,针对电网的供需进行实时调节,此举不但避免了非必要的调峰电源的建设,还可以缓和丹麦风力发电对系统产生的冲击,提升互联系统对可再生能源的消纳能力。因此统一的电力市场保证了清洁能源电力的互补,保障了电力市场稳定且低价的运行[44]

由于输电线路传输容量的限制,在灵活性资源调度时可能产生阻塞问题,由此产生灵活性调度阻塞成本。针对调度灵活性资源时联络线的阻塞的问题[45],北欧各国采取市场分割(market splitting)和对销交易机制相结合的策略,若出清时考虑联络线传输功率上限的问题,当发生阻塞时,进行市场分割后的不同区域会产生不同的出清价格。

3.1.3 德国

据IEA数据统计,2023年德国可再生能源占比约为40%[46],其中风电发电量占比超过 17.2%,太阳能发电量占比为 7.1%,灵活调节电源与可再生能源发电装机的配比为48%。德国火电机组和抽水蓄能是电源侧主要的灵活性来源,德国储能设施主要包括抽水蓄能、电池储能、压缩空气储能等[47]。其中抽水蓄能仍然是德国目前装机容量最大、经济性最好的储能设施;随着技术的发展和成本降低,电池储能也开始进入到大型商业化应用阶段。德国电力市场出台了系列政策以解决抽水蓄能、电池储能的高造价带来的成本回收问题。

德国的各类灵活性资源可以通过平衡市场、现货市场、电网阻塞管理及平衡单元内部平衡等方式参与灵活性市场[48]。根据灵活性需求的不同,在德国输电网运营商TSO通过拍卖的形式确定提供服务的灵活性资源。一级备用通常在系统频率出现较小波动时自动作出响应;二级备用则用于系统频率会出现较大波动的非可预见事件;分钟备用则可在大型或长期停电事件中发挥作用,例如核电厂出现强制停机。由于一级备用和二级备用对响应速度的要求较高,通常由火电机组、抽水蓄能电站、大型工业生产企业以及少量电池储能参与;分钟备用则可以接纳更多样的灵活性资源,例如压缩空气储能和通过虚拟电厂集成的小型电力用户等。

3.2 我国灵活性资源成本回收机制分析

灵活性资源成本回收机制以我国电力市场改革为出发点,2002年国务院通过的《电力体制改革方案》,核心是实现“厂网分离、竞价上网”,内部结算不核算的定价机制被打破,电力市场化改革初见雏形[41]。2015年,中国国家能源局发布了《关于印发电力市场化改革实施方案的通知》[49],明确了电力市场化改革的目标,即到2020年基本构建起以市场为主导的电力体系。同年,《关于进一步深化电力体制改革的若干意见》(中发[2015]9号)文件的发布[50],宣告着新一轮电改正式启动。

各省依据本省实际,积极响应国家政策号召,有序推进和制定了促进新能源消纳和对保障灵活性资源的经济性和成本合理疏导的灵活性资源成本回收相关政策,重点调研了山东、浙江等第一批现货市场试点省份,其灵活性资源成本回收机制市场建设情况见表2。

表2 中国现货市场试点省份灵活性资源成本回收机制市场建设

Tab.2 China spot market pilot provinces flexibility resources cost recovery mechanism market building

省份现货市场辅助服务市场中长期市场其他特色机制 四川日前、日内省内辅助服务市场电量按照差价合约结算建立省间市场、水量空间划分 山西日前、日内调频辅助服务市场“以用定发”的匹配原则深度调峰市场、发电权交易

(续)

浙江日前、实时调频备用辅助服务市场中期市场合约市场、绿色证书交易 福建日前、实时调频辅助服务市场按照差价合约方式结算无 广东日前、实时调频辅助服务市场—外购电计划、发电权交易 甘肃日前、实时跨省调峰辅助服务市场电量按差价合约执行电量库交易、自备电厂发电权交易 山东日前、实时调频辅助服务市场—消纳情况分区出清、容量补偿电价

3.2.1 两部制电价

两部制电价被认为是推动电力市场化的一个重要手段。两部制电价是一种政府和市场机制混合作用的电价制度,作为市场初期的“过渡”机制。中国已对于煤电、抽水蓄能等灵活性资源出台相关两部制电价及容量补偿政策,其主要发展历程如图5所示。

width=209.25,height=101.25

图5 中国两部制电价改革历程

Fig.5 The process of China's two-part electricity price reform

2003年《国务院办公厅关于印发电价改革方案的通知》首次明确上网电价主要实行两部制电价,这是中国开始对于两部制电价的初步探索。2019年《国家发展和改革委员会关于深化燃煤发电上网电价形成机制改革的指导意见》(发改价格规[2019]1658号)明确[51],对于燃煤机组利用小时严重偏低的省份,可建立容量补偿机制,明确两部制电价的实施从煤电机组先行尝试。2021年4月,国家发展改革委印发《关于进一步完善抽水蓄能价格形成机制的意见》(发改价格[2021]633号),将容量电价补偿主体扩大至抽水蓄能[51]。2023年11月10日,国家发改委、能源局联合印发《关于建立煤电容量电价机制的通知》,迈出容量电价建设关键一步。决定自2024年1月1日起,现行煤电单一制电价调整为由容量电价和电量电价构成的两部制电价[52]

3.2.2 容量补偿机制

山东、广东等省份已率先试点了容量补偿机制,华北、西北地区则尝试建立了调峰容量市场,中国现行容量补偿机制见表3。

表3 中国现行容量补偿机制

Tab.3 China's current capacity compensation mechanism

地区容量成本回收机制准入范围费用分摊方式出清及结算方式 山东容量补偿电价火电机组用户侧与山东省现货市场一致 广东容量补偿电费火电机组用户侧按月结算 华北调峰容量市场火电机组未中标的火电机组、新能源企业日清月结 西北调峰、顶峰容量市场火电机组、新型储能、可调节负荷未中标的火电机组、新能源企业、用户侧日清月结

山东省是我国首个试行容量补偿电价的省份,对新型储能及参与现货市场的发电机组进行固定成本补偿。2020年4月30日,山东省鲁发改价格(2020)622号《关于电力现货市场容量补偿电价有关事项的通知》文件中就确定了容量补偿电价政策的实施[53],并且提出在保持容量补偿费用总体水平基本稳定的基础上,根据山东电力系统用电负荷或净负荷特性变化,参考现货电能量市场分时电价信号,研究探索基于峰荷责任法的容量补偿电价收取方式,引导电力用户削峰填谷、错峰用电,初步尝试了分时容量补偿电价的方案。

2023年10月27日,广东省发改委、国家能源局南方监管局印发《南方(以广东起步)电力现货市场建设实施方案(试行)》[54]。文件提出,为促进储能电站等固定成本有效回收,研究建立容量补偿机制。容量补偿费用标准根据机组(电站)投资建设成本及市场运行情况进行测算,后续研究建立容量市场机制[55]。11月30日,广东省能源局、国家能源局南方监管局发布关于征求《广东电力市场容量补偿管理办法(试行,征求意见稿)》[56],按照容量度电分摊标准按月向售电公司(含直接参与批发市场的大用户)收取容量电费,并根据市场机组有效容量占市场机组总有效容量比例补偿给各机组容量补偿的对象为参与广东电力市场化交易并获得与用户侧直接交易资格的省级及以上调度机构调管的燃煤、燃气发电机组。燃煤、燃气机组有效容量测算式为

width=110.7,height=33.3 (3)

式中,width=13.3,height=16.25为机组有效容量;width=17.9,height=16.25为机组装机容量;width=13.3,height=16.25为机组等效停机容量;width=18.75,height=16.25为当月最高统调负荷;width=10.8,height=15为运行备用要求;width=15,height=16.25为市场机组初始有效容量;width=15,height=16.25为外购电出力;width=13.3,height=16.25为A类机组出力[55]

机组容量补偿费用计算式为

width=64.9,height=31.2(4)

式中,width=12.9,height=15k月该机组容量补偿金额;width=18.75,height=15为售电公司容量电费;width=13.3,height=16.25为该机组当月实际总有效容量。

2021年10月15日,华北能源监管局发布《华北电力调峰容量市场运营规则(暂行)》[57],引入调峰容量市场机制,调峰容量费用由火电(燃煤、燃气)、风电、光伏等发电企业及参与市场化交易的用户共同承担。市场运营初期,参与市场化交易的用户暂不参与调峰容量费用分摊,待具备条件时,此类用户按照交易电量参与调峰容量费用分摊。市场初期,市场运营机构按季度组织市场出清。中标华北调峰容量市场的火电机组每天获得的调峰容量费用计算公式为

width=59.1,height=29.95(5)

式中,width=15,height=16.25为中标后火电机组i每天获得的容量费用;width=11.65,height=16.25为华北调峰容量市场第j档出清价格(五档出清);width=17.9,height=17.9火电机组i在第j档的出清容量。

2022年11月29日,国家能源局西北监管局发布《西北电网灵活调节容量市场运营规则(征求意见稿)》[58],提出建设调峰容量市场,与省内或西北省间调峰市场配合,用于弥补市场主体在调峰市场中的收益缺口。现阶段仅开展调峰容量市场、顶峰容量市场,后续依据西北区域电力市场开展情况逐步建设调频容量市场、爬坡调峰容量市场、转动惯量市场。费用分摊方包括西北区域内风电、光伏等新能源企业,未中标西北区域调峰容量交易的火电机组(含热电机组),未参与或未中标西北调峰容量市场的市场化电力用户[55]。市场主体除火电机组外,增加了新型储能、可调节负荷等灵活性资源,储能、独立储能作为独立主体进行申报。

4 我国灵活性资源成本回收机制建设的挑战与展望

4.1 我国灵活性资源成本回收机制存在问题

4.1.1 现货市场等电力市场机制建设不完善

现货市场是容量补偿及容量市场建设的重要基础,容量补偿价格的分摊需要依托现货市场产生的电量价格进行实施,并且现货市场的建设可以有效提升市场化交易程度,从而提升容量补偿机制市场主体参与活跃度。目前我国现货市场建设在广东、浙江、山东、蒙西等八个地区开展了首批试点[59],绝大多数省份电力现货市场建设仍不完善[60]。随着市场覆盖范围与交易量的不断扩大,发电机组的盈利模式与盈利能力正发生根本转变,现行市场机制无法准确真实地反映供需水平和峰谷价差,例如在调峰容量市场机制的实践中,参与市场化交易的用户在市场机制建设的初期暂不参与调峰容量费用分摊,与现货市场建设不完善有关[57]

另外,目前我国辅助服务产品种类较少,当前辅助服务市场产品主要包括调频、调压、调峰,爬坡辅助服务市场只在山东省进行了试运营。随着新能源接入比例的不断提高,当前的辅助服务产品已无法适应系统对灵活性资源的多元化需求,可能导致需求侧响应、新型储能等新发展灵活性资源无法可靠地获得投资汇报[61],进而导致其调节潜力的下降。

4.1.2 容量补偿及电价机制不成熟

3.1节归纳了国家层面出台的两部制电价政策,3.2节总结了目前我国在山东、广东、华北、西北地区实行的现有容量成本回收机制。可以看出,中国现行的容量补偿、容量市场及两部制电价机制方兴未艾,在机制设计的横向和纵向都有一系列亟须解决的重要问题。

首先是从横向考虑,是容量补偿机制针对灵活性资源的准入范围较窄。目前我国只针对煤电及抽水蓄能制定并出台了两部制电价政策,未考虑包括水电、气电、新型储能、需求侧响应在内的源网荷储各侧灵活性资源的容量成本回收问题。现行两部制电价政策制定的固定补偿会导致灵活性资源享受不到市场供给紧张时的超额收益,无法及时灵活反映价格信息。

其次是从纵向出发,目前容量补偿机制和调峰容量市场试点省份较少。我国只有山东、广东等部分省份实行了容量补偿机制[62],调峰容量市场只在西北、华北地区开展试点,容量市场种类较为单一,未能建设调频容量市场、爬坡调峰容量市场、转动惯量市场等多时间尺度容量市场。对于长期容量市场设计而言,探索容量成本补偿方式,建立完善的容量市场机制,逐步丰富容量资源和交易品种,有助于保障长期系统灵活资源的充裕性,从而提升电力系统的灵活性。

4.2 面向灵活性提升的我国灵活性资源成本回收机制建设路径

合理有效的灵活性资源市场及成本回收相关政策的设计是建设我国灵活性资源成本回收机制的关键所在,基于我国经济社会发展总体规划、电力市场机制现状和灵活性资源建设路径,提出我国灵活性资源市场建设总体思路和“三步走”分阶段建设思路。

4.2.1 我国灵活性资源市场建设总体思路

建立有机衔接的多时间尺度灵活性电力市场体系,能够在短时、中时、长时不同时间尺度上释放各类灵活性资源潜力[63],从而提升新型电力系统市场灵活性。

在辅助服务市场中,通过优化对即时或短时灵活性资源的补偿和激励政策,可提供更精准高效的辅助服务。现货市场包括日前市场、日内市场和实时市场,能实现大规模电量交易[41],并根据电网实际运行状况进行实时调节,实施更灵活的交易机制和缩短交易时间,有助于灵活传递价格信号。容量市场应依据不同灵活性资源成本组成特性,制定合理的收益保障机制,在较长时间尺度上激励灵活性资源建设和投运。提升系统灵活性的多时间尺度电力市场机制如图6所示。

width=216.75,height=170.25

图6 提升系统灵活性的多时间尺度电力市场机制

Fig.6 A multi-time-scale electricity market mechanism that enhances system flexibility

基于我国电力市场建设实际情况,借鉴北欧、美国等成熟电力市场建设的成功经验,按照系统规划、逐步推进、由简入繁的原则,逐步建立灵活性资源成本回收机制体系。进一步推进现货市场和辅助服务市场建设,在目前现货市场七个省份试点经验的基础上,结合各省份电力市场建设特点,逐步推广现货市场在全国试点[64];丰富辅助服务市场产品种类,增加爬坡等产品,以适应新型电力系统发展需求;完善“两部制电价”政策,在固定补偿的基础上逐步引入市场竞争,扩大容量补偿机制准入范围,根据形势适时考虑建立容量补偿机制及容量市场。通过发挥市场机制的激励性作用,引导各类电力系统灵活性资源积极参与市场、释放和提高灵活性,促进发电企业、电力用户和电网企业多方共赢[65]

4.2.2 我国灵活性资源市场“三步走”分阶段建设思路

基于我国经济社会发展总体规划,从横向上,结合国家灵活性资源建设预期建设路径,“三步走”不断扩大源网荷储侧灵活性资源准入范围,并且建设匹配灵活性资源规划的多时间尺度市场机制;从纵向上,合理规划提升市场化程度,不断完善容量补偿机制的建设,并且结合各省电力市场建设实际情况逐步将试点机制推广至全国,提出我国灵活性资源市场“三步走”建设思路如图7所示。

width=231.75,height=189

图7 我国灵活性资源市场“三步走”分段建设思路

Fig.7 China's flexibility resources market“three-step” subsection construction idea

1)近期市场设计(“十四五”时期)

在“十四五”时期,电力市场建设属于初步阶段,灵活性资源以煤电灵活性改造和抽水蓄能为主,需求侧响应及新型储能尚处于建设初期。在该时期初步实行“电量电价”+“容量电价”两部制电价机制,回收各侧灵活性资源的固定成本,逐步推广容量补偿机制、调峰容量市场向全国试点,扩大市场准入范围,将容量电价制定推广至源网荷储各侧灵活性资源主体,根据各省份灵活性资源现状及电力市场建设水平,制定适合本省发展的合理政策。

另外,初步加强国内现货市场建设水平,非现货市场试点区域扩大完善,大用户直接交易,现货市场区域加快构建区域电力市场[65];丰富辅助服务产品种类,逐步完善辅助服务标准化体系,适当增加爬坡类、系统惯性类等交易品种[66],以满足电力系统不同时间尺度的灵活性需求。

2)中期市场设计(“十五五”时期)

“十五五”时期,电力市场建设得到初步完善,除传统煤电灵活性改造、抽水蓄能外,需求侧响应和新型短时储能的优先级被大幅度提升。应进一步扩大市场竞争程度,完善“两部制电价”机制,实现容量补偿机制向容量市场建立过渡的探索[67],实施范围逐步扩大至源网荷储各侧灵活性资源,回收容量成本,特别是需求侧响应和新型储能的容量电价制定。对于部分省份及灵活性资源,可制定并试点“固定收入+变动竞价”的机制,引入市场竞争,在通过固定收入保障电力企业的基本收益的前提下,允许企业的剩余容量直接参与市场竞价;推广和完善现货市场,将日前市场的最小交易时段缩短至15 mins[68],并构建起日内交易市场,为各参与方搭建灵活高效的资源交易平台。

3)远期市场设计(“十六五”时期)

“十六五”时期,灵活性资源种类不断丰富,需求侧响应、新型储能、抽水蓄能和气电逐渐成为主要的灵活调节资源。在该时期,建立“两部制电价”“固定收入+部分竞价”“全市场交易”相结合的灵活性资源市场,提高市场竞争程度,初步建立起容量市场,丰富容量市场种类,建设调峰容量市场、调频容量市场、爬坡调峰容量市场、转动惯量市场等满足多时间尺度灵活性需求的容量补偿机制。加强源网荷储各侧灵活性资源的市场准入范围,并且将容量补偿机制及两部制电价的制定逐渐推向全国试点,通过合理的市场机制和灵活性资源成本回收机制的建设提高系统灵活性潜力。在日前及实时市场中采用全电量优化出清模式,进一步划分交易时间段[65],推广零售市场,推进费用向用户侧分摊。

5 结论

本文综合考虑未来面向高比例可再生能源接入下的新型电力系统灵活性需求,探讨源网荷储各侧灵活性资源的成本构成和成本疏导路径,对国内外文献和项目报告进行研究,提出我国建设灵活性资源市场体系的总体发展路径。首先,本文总结归纳了灵活性资源成本分析方法和四种不同市场化程度下灵活性资源电价机制,综述了国外三个国家、我国现有的灵活性资源成本回收机制以及山东、广东省容量补偿机制和华北、西北调峰容量市场实践情况;然后,从现货市场等电力市场机制建设不完善、容量补偿及电价机制不成熟两个方面提出我国灵活性资源成本回收机制存在问题;最后,借鉴国外经验,结合我国国情和经济社会发展总体规划,按照系统设计、分步实施、先简后繁的原则,提出匹配灵活性资源发展路径的我国灵活性资源成本回收机制“三步走”的建设路径。

参考文献

[1] 国家能源局.关于印发2023年度全国可再生能源电力发展监测评价结果的通知[EB/OL]. [2024-10-10]. https://zfxxgk.nea.gov.cn/2024-10/10/c_1310787115. htm.

[2] 王一, 朱涛, 张玉欣, 等. 适应中国电力现货市场发展的容量补偿机制初探[J]. 电力系统自动化, 2021, 45(6): 52-61. Wang Yi, Zhu Tao, Zhang Yuxin, et al. Preliminary study on capacity compensation mechanism adapted to development of electricity spot market in China[J]. Automation of Electric Power Systems, 2021, 45(6): 52-61.

[3] 杨胜. 火电机组灵活性改造技术经济评价研究[D]. 北京: 华北电力大学, 2021. Yang Sheng. Research on technical and economic evaluation of thermal power flexibility modification project[D]. Beijing: North China Electric Power University, 2021.

[4] 刘飞, 车琰瑛, 田旭, 等. 新型电力系统下的抽水蓄能电站成本疏导机制: 综述与展望[J]. 上海交通大学学报, 2023, 57(7): 757-768. Liu Fei, Che Yanying, Tian Xu, et al. Cost sharing mechanisms of pumped storage stations in the new-type power system: review and prospect[J]. Journal of Shanghai Jiao Tong University, 2023, 57(7): 757-768.

[5] 张柏林, 崔剑, 吴国栋. 基于抽水蓄能多重价值的储能市场盈利模式分析[J]. 中国水能及电气化, 2022(1): 49-54, 64. Zhang Bolin, Cui Jian, Wu Guodong. Profit model analysis of energy storage market based on pumped storage multiple values[J]. China Water Power & Electrification, 2022(1): 49-54, 64.

[6] 王冬明, 李道强. 美国PJM电力容量市场分析[J]. 浙江电力, 2010, 29(10): 50-53. Wang Dongming, Li Daoqiang. Analysis of electric power capacity market of PJM[J]. Zhejiang Electric Power, 2010, 29(10): 50-53.

[7] 侯孚睿, 王秀丽, 锁涛, 等. 英国电力容量市场设计及对中国电力市场改革的启示[J]. 电力系统自动化, 2015, 39(24): 1-7. Hou Furui, Wang Xiuli, Suo Tao, et al. Capacity market design in the United Kingdom and revelation to China’s electricity market reform[J]. Automation of Electric Power Systems, 2015, 39(24): 1-7.

[8] 吴珊, 边晓燕, 张菁娴, 等. 面向新型电力系统灵活性提升的国内外辅助服务市场研究综述[J]. 电工技术学报, 2023, 38(6): 1662-1677. Wu Shan, Bian Xiaoyan, Zhang Jingxian, et al. A review of domestic and foreign ancillary services market for improving flexibility of new power system[J]. Transactions of China Electrotechnical Society, 2023, 38(6): 1662-1677.

[9] 丁一, 谢开, 庞博, 等. 中国特色、全国统一的电力市场关键问题研究(1): 国外市场启示、比对与建议[J]. 电网技术, 2020, 44(7): 2401-2410. Ding Yi, Xie Kai, Pang Bo, et al. Key issues of national unified electricity market with Chinese characteristics(1): enlightenment, comparison and suggestions from foreign countries[J]. Power System Technology, 2020, 44(7): 2401-2410.

[10] 何永秀, 陈倩, 费云志, 等. 国外典型辅助服务市场产品研究及对中国的启示[J]. 电网技术, 2018, 42(9): 2915-2922. He Yongxiu, Chen Qian, Fei Yunzhi, et al. Typical foreign ancillary service market products and enlight-enment to China[J]. Power System Technology, 2018, 42(9): 2915-2922.

[11] Matsuo Y. Re-defining system LCOE: costs and values of power sources[J]. Energies, 2022, 15(18): 6845.

[12] Newbery D. Missing money and missing markets: reliability, capacity auctions and interconnectors[J]. Energy Policy, 2016, 94: 401-410.

[13] Petitet M, Finon D, Janssen T. Capacity adequacy in power markets facing energy transition: a comparison of scarcity pricing and capacity mechanism[J]. Energy Policy, 2017, 103: 30-46.

[14] Simoglou C K, Biskas P N. Capacity mechanisms in Europe and the US: a comparative analysis and a real-life application for Greece[J]. Energies, 2023, 16(2): 982.

[15] DECC. Capacity market rules 2014[EB/OL]. [2024-10-10]. https://www.gov.uk/government/uploads/ system/uploads/attachment_data/file/340046/capacity_ market_rules.pdf.

[16] Liu Yingqi. Role of a forward-capacity market to promote electricity use reduction in the residential sector: a case study of the potential of social housing participation in the Electricity Demand Reduction Pilot in the UK[J]. Energy Efficiency, 2018, 11(4): 799-822.

[17] Federal Ministry for Economic Affairs and Energy. An electricity market for Germany's energy transition: white paper by the Federal Ministry for Economic Affairs and Energy[R]. Berlin: Federal Ministry for Economic Affairs and Energy Public Relations, 2015.

[18] Swiss grid. New members join international FCR cooperation[EB/OL].[2024-10-10].https://www.swissgrid. ch/en/home/newsroom/newsfeed/20210119-01.html.

[19] 杨珺, 李凤婷, 张高航. 考虑灵活性需求的新能源高渗透系统规划方法[J]. 电网技术, 2022, 46(6): 2171-2182. Yang Jun, Li Fengting, Zhang Gaohang. Power system planning method with high new energy penetration considering flexibility requirements[J]. Power System Technology, 2022, 46(6): 2171-2182.

[20] 刘学, 刘硕, 于松泰, 等. 面向新型电力系统灵活性提升的调峰容量补偿机制设计[J]. 电网技术, 2023, 47(1): 155-163. Liu Xue, Liu Shuo, Yu Songtai, et al. Peak load regulation capacity compensation mechanism for new power system flexibility enhancement[J]. Power System Technology, 2023, 47(1): 155-163.

[21] 彭澄瑶. 2025中国风电度电成本白皮书[EB/OL]. [2024-07-15]. https://www.doc88.com/p-9428417420991. html.

[22] 张娜, 郑凤. 基于边际成本的两部制上网电价模式研究[J]. 四川水力发电, 2004, 23(3): 75-78, 96. Zhang Na, Zheng Feng. Study on two part electricity pricing pattern based on marginal cost[J]. Sichuan Water Power, 2004, 23(3): 75-78, 96.

[23] 郝宇霞. 新能源发电的消纳成本优化模型及应用研究[D].北京: 华北电力大学, 2023. Hao Yuxia. Research on optimization model and application of accomodation cost of new energy generation[D]. Beijing: North China Electric Power University, 2023.

[24] 包铭磊, 丁一, 邵常政, 等. 北欧电力市场评述及对我国的经验借鉴[J]. 中国电机工程学报, 2017, 37(17): 4881-4892, 5207. Bao Minglei, Ding Yi, Shao Changzheng, et al. Review of Nordic electricity market and its suggestions for China[J]. Proceedings of the CSEE, 2017, 37(17): 4881-4892, 5207.

[25] 付蔷. 促进风电消纳的火电灵活性改造深度及经济效益研究[D]. 北京: 北京交通大学, 2018. Fu Qiang. Study on depth and economic benefits ofthermal power flexibility transformation to promote wind power consumption[D]. Beijing: Beijing Jiaotong University, 2018.

[26] 中国电力企业联合会. 中电联:煤电机组灵活性运行政策研究(摘要版)[EB/OL]. (2020-07-02)[2021-05-22]. https://news.bjx.com.cn/html/20200702/1085571. shtml.

[27] 国家能源局. 火力发电工程经济评价导则: DL/T 5435—2019[S]. 北京: 中国计划出版社, 2019.

[28] 赵紫原. 抽水蓄能大干快上后的风险与隐忧[J]. 中国电力企业管理, 2024(4): 16-20.

[29] 朱俐娜. 政策加持,新型储能蓄势待发[N]. 中国城市报, 2024-09-23(5).

[30] 张芳平, 相佳媛, 项良顺, 等. 高比能长寿命磷酸铁锂电池正极导电剂选择[J]. 浙江化工, 2024, 55(6): 7-13.Zhang Fangping, Xiang Jiayuan, Xiang Liangshun, et al. Selection of cathode conductive agent for high specific energy and long life LiFePO4Battery[J]. Zhejiang Chemical Industry, 2024, 55(6): 7-13.

[31] 文军, 刘楠, 裴杰, 等. 储能技术全生命周期度电成本分析[J]. 热力发电, 2021, 50(8): 24-29. Wen Jun, Liu Nan, Pei Jie, et al. Life cycle cost analysis for energy storage technology[J]. Thermal Power Generation, 2021, 50(8): 24-29.

[32] 杨欢红, 施颖, 黄文焘, 等. 考虑实时需求侧响应的光储充电站容量优化配置方法[J]. 智慧电力, 2023, 51(7): 51-58. Yang Huanhong, Shi Ying, Huang Wentao, et al. Optimal capacity configuration method of photovoltaic-battery charging station considering real-time demand side response[J]. Smart Power, 2023, 51(7): 51-58.

[33] 罗正远, 丁明. 概率模拟中蓄能电站经济运行的判据[J]. 中国电机工程学报, 1993, 13(2): 43-48. Luo Zhengyuan, Ding Ming. Economic operation criteria of storage plant in probabilistic simulation[J]. Proceedings of the CSEE, 1993, 13(2): 43-48.

[34] 李琪瑞, 杨知方, 李文沅.面向差异化电源成本结构的容量市场机制设计[J]. 电工技术学报, 2024, 39(23): 7498-7511. Li Qirui, Yang Zhifang, Li Wenyuan. Capacity market mechanism design for power sources with differentiated cost structures[J]. Transactions of China Electrotechnical Society, 2024, 39(23): 7498-7511.

[35] 王斯娴, 刘文霞, 王丽娜, 等. 容量电价与风光火配比相协调的电源规划[J]. 电网技术, 2023, 47(8): 3217-3229. Wang Sixian, Liu Wenxia, Wang Lina, et al. Generation expansion planning based on coordination of capacity prices and wind, solar and fire ratios[J]. Power System Technology, 2023, 47(8): 3217-3229.

[36] 尚静怡, 姜欣, 肖东亮, 等. 基于边际成本比较型竞价模式的电力现货市场机制设计[J]. 电力系统自动化, 2024, 48(9): 67-74. Shang Jingyi, Jiang Xin, Xiao Dongliang, et al. Design of electricity spot market mechanism based on marginal cost comparison bidding mode[J]. Automation of Electric Power Systems, 2024, 48(9): 67-74.

[37] 敬民. 可再生能源体系稳定要有七策[J]. 中国石油石化, 2023(8): 36-37.

[38] 郑彦春, 陕超伦, 张晋宾. 长持续时间储能体系研究现状及发展展望[J]. 南方能源建设, 2024, 11(2): 93-101. Zheng Yanchun, Shan Chaolun, Zhang Jinbin. Current research status and development prospects of long duration energy storage system[J]. Southern Energy Construction, 2024, 11(2): 93-101.

[39] 王林. 国际抽水蓄能发展脚步加快[N]. 中国能源报, 2024-01-22(11).

[40] 王林. 美国“大电网”整合步履维艰[N]. 中国能源报, 2024-05-20(5).

[41] 樊宇琦, 丁涛, 孙瑜歌, 等. 国内外促进可再生能源消纳的电力现货市场发展综述与思考[J]. 中国电机工程学报, 2021, 41(5): 1729-1752. Fan Yuqi, Ding Tao, Sun Yuge, et al. Review and cogitation for worldwide spot market development to promote renewable energy accommodation[J]. Proce-edings of the CSEE, 2021, 41(5): 1729-1752.

[42] Breslau D. Are subsidies market manipulation? The politics of electricity market hybridization in the United States[J]. Energy Research & Social Science, 2024, 115: 103623.

[43] 廖茂林, 张泽, 王国峰. 国际清洁能源消纳的典型事实与中国借鉴[J]. 企业经济, 2023, 42(6): 152-160. Liao Maolin, Zhang Ze, Wang Guofeng. Typical facts of international clean energy consumption and China’s reference[J]. Enterprise Economy, 2023, 42(6): 152-160.

[44] Crozier C, Baker K. The effect of renewable electricity generation on the value of cross-border interconnection[J]. Applied Energy, 2022, 324: 119717.

[45] 王明渊. 国外典型电力现货市场比较研究[J]. 集成电路应用, 2020, 37(8): 98-99. Wang Mingyuan. Comparative on typical spot electricity markets abroad[J]. Application of IC, 2020, 37(8): 98-99.

[46] 刘颖. 欧盟气候治理政策框架、现实挑战及对中国的启示[J]. 价格理论与实践, 2024(5): 134-139, 223. Liu Ying. The policy framework and practical challenges of EU climate governance and implications for China[J]. Price (Theory & Practice), 2024(5): 134-139, 223.

[47] Thimet P J, Mavromatidis G. What-where-when: investigating the role of storage for the German electricity system transition[J]. Applied Energy, 2023, 351: 121764.

[48] 王光达, 杨彪, 张琛. 虚拟电厂能解电力之“渴”吗?[J]. 中国电力企业管理, 2022(31): 48-50.

[49] 国家发展改革委, 国家能源局. 关于加快建设全国统一电力市场体系的指导意见[EB/OL]. (2022-01-18) [2024-10-10]. https://www.gov.cn/zhengce/zhengceku/ 2022-01/30/content_5671296.htm.

[50] 中共中央国务院. 关于进一步深化电力体制改革的若干意见[EB/OL]. (2015-03-15)[2024-10-10]. https:// www.china5e.com/news/news-901570-1.html.

[51] 丁涛, 孙嘉玮, 黄雨涵, 等. 储能参与容量市场的国内外现状及机制思考[J]. 电力系统自动化, 2024, 48(6): 226-239. Ding Tao, Sun Jiawei, Huang Yuhan, et al. Domestic and foreign present situation of capacity market with energy storage and reflection on its mechanism[J]. Automation of Electric Power Systems, 2024, 48(6): 226-239.

[52] 管永生. 容量电价: 煤电生存的一襟晚照[J]. 中国电力企业管理, 2023(34): 1.

[53] 山东省发展和改革委员会. 关于电力现货市场容量补偿电价有关事项的通知[EB/OL]. (2020-04-30) [2024-10-10]. http://sfzggw.zaozhuang.gov.cn/ztzl/jgxx/ 202005/t20200526_718706.html.

[54] 广东省发展改革委,国家能源局南方监管局. 关于印发《南方(以广东起步)电力现货市场建设实施方案(试行)》的通知[EB/OL]. (2023-10-27)[2024-10-10]. http://drc.gd.gov.cn/ywtz/content/post_4273305. html.

[55] 程松, 周鑫, 任景, 等. 面向新型能源体系的电力市场机制发展趋势研究[J]. 广东电力, 2023, 36(11): 29-40. Cheng Song, Zhou Xin, Ren Jing, et al. Research on the trend of electricity market mechanism for new energy system[J]. Guangdong Electric Power, 2023, 36(11): 29-40.

[56] 广东省能源局, 国家能源局南方监管局. 关于征求《广东电力市场容量补偿管理办法(试行,征求意见稿)》意见的通知[EB/OL]. (2020-11-30)[2024-10-10]. https://news.bjx.com.cn/html/20201216/1122564.shtml.

[57] 国家能源局, 华北能源监管局. 关于印发《华北电力调峰容量市场运营规则(暂行)》的通知[EB/OL]. (2021-10-15)[2024-10-10]. https://hbj.nea.gov.cn/xxgk/ fdzdgknr/scxxgk/202311/t20231105_195976.html.

[58] 国家能源局西北监管局. 关于公开征求《西北电网灵活调节容量市场运营规则(征求意见稿)》意见建议的通知[EB/OL]. (2022-12-01)[2024-10-10]. https://xbj.nea.gov.cn/dtyw/tzgg/202310/t20231013_147596. html.

[59] 国家发展改革委员办公厅. 关于开展电力现货市场建设试点工作的通知[EB/OL]. (2017-09-05)[2024-10-10]. https://www.ndrc.gov.cn/xxgk/zcfb/tz/201709/ t20170905_962552.html.

[60] 封红丽. 虚拟电厂市场发展前景及实践思考[J]. 能源, 2022(7): 72-76.

[61] 范孟华, 马莉, 武泽辰. 发挥市场机制作用提升电力系统灵活性可靠性[N]. 国家电网报, 2021-11-30(008).

[62] 赵冬梅, 宋晨铭, 冯向阳, 等. 100%新能源场景下考虑频率稳定约束的源网荷储一体化系统储能优化配置[J]. 电工技术学报, 2025, 40(7): 2146-2161.Zhao Dongmei, Song Chenming, Feng Xiangyang, et al. The optimal configuration of energy storage in the source-grid-load-storage integrated system considering frequency stability constraints in 100% new energy scenarios[J]. Transactions of China Electrotechnical Society, 2025, 40(7): 2146-2161.

[63] 梁双, 王涉, 徐辉. 中国西电东送40年发展成效与政策建议[J]. 中国电力, 2024, 57(11): 88-93. Liang Shuang, Wang She, Xu Hui. Development achievements and policy suggestions of China’s west to east power transmission for 40 years[J]. Electric Power, 2024, 57(11): 88-93.

[64] 向明旭, 陈泓霏, 曹晓峻, 等. 省间电力中长期交易出清问题多解顺次寻优的高效计算方法[J]. 电工技术学报, 2025, 40(11): 3545-3559. Xiang Mingxu, Chen Hongfei, Cao Xiaojun, et al. Efficient sequential optimization method for inter-provincial medium- and long-term power transaction clearing problem under multiple-solution scenarios[J]. Transactions of China Electrotechnical Society, 2025, 40(11): 3545-3559.

[65] 赵勇强, Ella Chou, 刘坚. 促进系统灵活性和可再生能源消纳的电力市场体系[J]. 中国能源, 2019, 41(1): 19-24, 32. Zhao Yongqiang, Chou E, Liu Jian. Electric power market design to promote flexibility and renewable energy integration[J]. Energy of China, 2019, 41(1): 19-24, 32.

[66] 吴旭, 马斌, 李有亮, 等. 安徽电力调峰辅助服务市场设计与应用[J]. 电气技术, 2024, 25(7): 50-55. Wu Xu, Ma Bin, Li Youliang, et al. Design and practice of peak regulation auxiliary service market for Anhui Province[J]. Electrical Engineering, 2024, 25(7): 50-55.

[67] 麻秀范, 陈静, 余思雨, 等. 计及容量市场的用户侧储能优化配置研究[J]. 电工技术学报, 2020, 35(19): 4028-4037. Ma Xiufan, Chen Jing, Yu Siyu, et al. Research on user side energy storage optimization configuration considering capacity market[J]. Transactions of China Electrotechnical Society, 2020, 35(19): 4028-4037.

[68] 国家电力调度控制中心组. 电力现货市场实务[M]. 北京: 中国电力出版社, 2023.

Analysis and Challenges of New Power System Flexibility Resource Cost Recovery Mechanisms

Feng Yixuan1 Bian Xiaoyan1 Chen Wen2 Zhou Bo1 Jia Kaixiang1

(1. Electric Power Engineering Shanghai University of Electric Power Shanghai 200090 China 2. State Grid Yunnan Power Grid Planning and Construction Research Center Kunming 650041 China)

Abstract China’s energy industry continues to promote green and low-carbon transformation. In order to suppress the impact of wind power, photovoltaic and other new energy access on the operation of the power system, it is necessary to fully tap the flexibility resources of the source grid, load and storage on all sides, and participate in grid regulation. However, the new power system with a high proportion of renewable energy will present flexibility difficulty that China’s current cost recovery mechanism of flexibility resource cannot handle.The improved cost recovery mechanism is an important basis for ensuring the long-term profitability of flexibility resources, stimulating the construction of flexibility resources and enhancing the flexibility of the system. Therefore, there is an urgent need for China to establish a cost recovery mechanism for flexible resources that is in line with China’s national conditions and level of economic development, to improve the capacity tariff mechanism, to implement a two-part tariff policy, to gradually introduce market competition and to recover the cost of flexible resources.

Firstly, this paper analyzes the cost composition of flexibility resources on each side of source-grid-load-storage, including thermal power flexibility retrofits, gas power, pumped storage, new types of energy storage and demand response, proposes the concept of marginal and non-marginal flexibility resources, and analyzes the possible missing money and missing markets problems, summarize the pathways and tariff mechanisms for easing the cost of flexibility resources under different levels of marketization. The four stages of development are “internal settlement without accounting”, “two-part tariff”, “fixed revenue + variable bidding”, “market-wide bidding”. Then this paper investigates the cost recovery mechanism of flexibility resources in mature electricity markets of foreign countries, including the mature capacity cost recovery mechanisms in the United States, the Nordic countries that have built synergistic and interconnected market mechanisms for flexibility resources, and Germany’s flexibility resource market. After that, this paper summarize China’s existing cost recovery mechanism for flexible resources, introduce the development history of the two-part tariff, and focus on the current status of the capacity compensation mechanism in Shandong and Guangdong Province, and the practice of the peaking capacity market in North China and Northwest China. Finally, we summarize the problems with our flexibility resource cost recovery mechanism, these include the following two major issues, the imperfect construction of electricity market mechanisms such as the spot market and the immaturity of capacity compensation and tariff mechanisms. The general idea is to establish an organically connected multi-timescale flexibility power market system that can release the potential of various types of flexibility resources on different timescales, such as short-time, medium-time and long-time. Based on that, this paper suggest a “three-step” construction path for China’s flexibility resources market based on the overall plan of China’s economic and social development as well as the current state of the electricity market. This path is based on the principles of systematic design, step-by-step implementation, and simplification and complexity, providing a future route for the construction and development of China’s flexibility resource cost recovery mechanism and adapts to the reality of the rapid development of China’s new energy in recent years.

keywords:Cost analysis of flexibility resources, flexibility resources cost recovery, two-part price, electricity market, capacity remuneration mechanism

DOI: 10.19595/j.cnki.1000-6753.tces.241899

中图分类号:TM73

云南电网有限责任公司管理创新项目资助(0500002024080201GH00007)。

收稿日期 2024-10-24

改稿日期 2024-12-28

作者简介

冯艺萱 女,2001年生,硕士研究生,研究方向为电力系统灵活性、电力市场等。E-mail:fengyxcoco@163.com

边晓燕 女,1976 年生,博士,教授,研究方向为新能源并网与消纳、电力电子化电力系统稳定与控制等。E-mail:kuliz@163.com(通信作者)

(编辑 赫 蕾)