摘要 针对新能源-制氢-合成氨多元耦合系统内部调控与电网调峰匹配难的问题,该文提出一种基于功率偏差分摊的源氢氨系统参与电网调峰辅助服务的优化调度方法。首先,以售氨收益最大为目标求得源氢氨系统经济最优状态,根据经济最优状态下的合成氨量,采用电网交互功率偏差分摊策略,建立源氢氨系统参与电网调峰的成本模型;其次,将源氢氨系统参与电网调峰的成本作为电力系统运行成本的组成部分,以电力系统运行成本最小和净负荷波动最小为目标,构建源氢氨系统参与电网调峰的优化调度模型;最后,通过Gurobi求解器求解并对源氢氨系统参与电网调峰的算例结果进行分析。结果表明,相比源氢氨系统参与电网调峰前,系统参与调峰后火电机组深度调峰量降低27.32%,电力系统净负荷方差减少55.15%,源氢氨系统存在参与调峰主动性,验证了该文所提方法的有效性。
关键词:源氢氨系统 调峰辅助服务 功率偏差分摊 优化调度
随着我国“双碳”目标的快速推进,将可再生能源电解水制取绿氢作为原料合成氨可减少对化石燃料的依赖,大大提高我国能源的安全性和可持续性,未来可能大规模商业化发展[1-2]。同时,由于新能源出力波动性大,随着新能源大规模并网,电力系统峰谷差增大,电力系统调峰压力将进一步增大[3-4]。由于可再生能源电解水制氢合成氨系统具有灵活调整负荷或发电资源的运行方式,从而能够适应电网运行的需要[5],且响应时间可满足电网调峰指令的需求,故该系统可作为一种可行的调峰手段。因此,在现行电力市场机制下,考虑新能源-制氢-合成氨多元耦合系统(简称为源氢氨系统)的内部动态变化,构建源氢氨系统参与电网调峰辅助服务的优化调度模型,成为亟待解决的问题。
目前,国内外对于制氢合成氨系统调度的研究已取得了部分进展。在容量配置方面,文献[6]提出一种双层优化方法促进电氢集成能源系统中的多能量耦合,上层利用多目标优化方法进行系统容量配置,下层以成本最低进行经济调度;文献[7]探讨可再生能源合成氨的优化配置并进行技术经济性分析,通过模拟全年8 760 h的生产过程,提出了可再生能源制氨系统的最优容量配置方案;文献[8]在考虑电化学储能与氢储能介质充放电功率约束和存储状态约束的基础上,制定计及碱性电解槽运行特性的能量管理策略,并基于此策略建立了用于平抑风电波动的电-氢混合储能容量配置模型。在可再生能源制氢合成氨成本计算方面,文献[9]提出一种以可再生能源为动力的合成氨系统,并建立了基于缓冲储氢的哈伯合成氨过程模型,通过对电源模块、储氢模块以及合成氨模块容量的优化,最小化氨的成本;文献[10]考虑电解槽和合成氨设备的操作灵活性,使用混合整数规划模型对澳大利亚的离网绿氨系统进行了详细的经济性分析;文献[11]基于电价的周期性影响,提出一种两阶段马尔科夫决策过程方法,解决了电解水制氢和合成氨成本变动的调度问题。在合成氨生产多工段建模调控技术方面,文献[12]提出了考虑氢负荷响应的电氢耦合虚拟电厂(Electricity-Hydrogen Coupling Virtual Power Plant, EHC-VPP)优化调度模型,依靠氢制氨作为EHC- VPP中灵活可调的负荷侧资源,实现了虚拟电厂(Virtual Power Plant, VPP)参与日前能源市场的优化调度;文献[13]建立了一种氨燃料与电氢能源相耦合的结构,分别考虑电力和热需求的响应计划,提出该结构日常运行的最优调度策略;文献[14]从系统工程的角度,对合成氨柔性生产过程建模并研究其调控技术;文献[15]考虑到可再生能源的不确定性,采用两阶段鲁棒优化模型对电力、氢气和氨气市场制定多时间尺度交易策略;文献[16]建立利用风电光伏的电解水制氢合成氨系统模型,分析了电网调峰型系统、电网友好型系统、工艺离网型系统的设备优化配置规模和运行方案。
综上所述,目前对电解水制氢合成氨系统的相关研究主要集中于容量配置、可再生能源制氢合成氨成本计算、合成氨生产多工段建模调控技术等方面,但存在以下问题:①当前对于电转氨的研究较少考虑其系统内部变化的影响及其对电力系统的影响;②电解水制氢合成氨系统具有调峰特性,但鲜有文献考虑其参与电力系统调峰,而当前对于电解水制氢合成氨的调峰研究也并未充分考虑现行电力市场机制,且其参与电网调峰的策略及能力有待进一步研究。
因此,本文建立源氢氨系统参与电网调峰辅助服务优化调度模型,采用源氢氨系统参与调峰,根据电网调峰需求动态调整系统内各种能源的输出,并提出基于经济性的偏差量修正调度方法。首先,以源氢氨系统售氨收益最大为目标,得到源氢氨系统经济最优状态;其次,采用功率偏差分摊策略得到源氢氨系统参与调峰的成本,并且在此基础上,以电力系统运行成本和净负荷波动最小为目标建立调峰模型;最后,通过算例验证本文所提模型及方法的有效性,本文方法可有效地降低火电机组深度调峰量及调峰补偿成本。
源氢氨系统接入场景如图1所示。源氢氨系统由光伏发电、水力发电、电解水制氢设备、合成氨设备及储氢设备组成。为满足源氢氨系统内制氢合成氨需求,需与电网进行功率交互,当源氢氨系统中的可再生能源发电功率不满足电解水制氢合成氨功率时,从电网购电以满足源氢氨系统合成氨需求;当可再生能源发电功率大于电解水制氢合成氨需求时,向电网售电。
图1 源氢氨系统接入场景
Fig.1 Access scenario of multi-coupling system of source, hydrogen and ammonia
通过源氢氨系统与电网进行功率交互,将源氢氨系统作为整体参与电力系统的运行,此交互功率作为源氢氨系统参与电网调峰的功率。
源氢氨系统参与电网调峰优化模型如图2所示。首先通过源氢氨系统经济最优模块得到经济最优状态,根据经济最优状态中的合成氨量,计算得到源氢氨系统参与电力系统调峰的限值及成本;然后进行电力系统调峰优化模块的计算,得到源氢氨系统参与电力系统调峰优化结果。
源氢氨系统经济最优模块以售氨收益最大为目标函数,求解得到源氢氨系统中各设备的运行功率、运行状态、电网交互功率及合成氨产量,并以此作为源氢氨系统经济最优状态接入电力系统;根据不发生改变的合成氨量,以源氢氨系统与电力系统交互功率最大为目标函数,得到源氢氨系统接入电力系统限值。
源氢氨系统调峰成本计算模块采用偏差量分摊策略,当源氢氨系统参与电力系统调峰时,源氢氨系统与电网交互功率发生改变,由源氢氨系统中光伏、水电、电解槽共同分担功率变化量,并以引起的源氢氨系统收益降低最小为目标建立目标函数,求得的收益降低量即为源氢氨系统参与电网调峰的成本。
图2 源氢氨系统参与电网调峰优化模型
Fig.2 Optimization model of source hydrogen and ammonia system participating in peak shaving of power grid
电力系统调峰优化调度模块中,从电力系统角度出发,根据电力系统新能源预测数据、系统负荷预测数据、源氢氨系统接入电力系统的限值并考虑源氢氨系统接入电力系统的成本,以电网净负荷方差最小及电力系统运行成本最小建立目标函数,求解得到电力系统调峰优化调度结果。
最后根据源氢氨系统与电力系统的交互功率,以源氢氨系统收益降低最小为目标,得到参与调峰时源氢氨系统各设备功率。
2.1.1 源氢氨系统运行目标函数
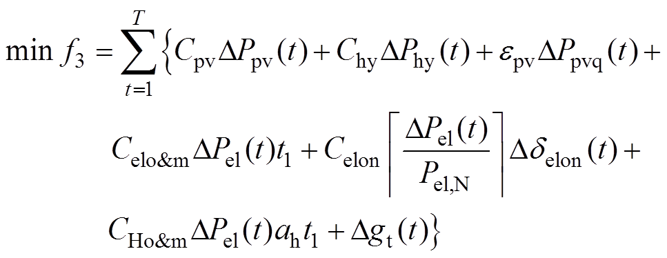
源氢氨系统综合考虑发电成本、电网交互成本、电解槽运行成本、储氢成本、制氨成本等,按照售氨收益最大建立目标函数,即
(1)
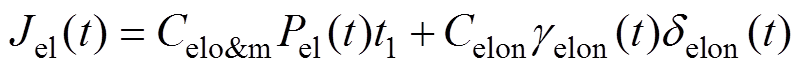
式中,T为调度总周期,T=24 h;CNH3为合成氨售价;CNH3om为合成氨成本;nNH3为合成氨速率;Jgrid为电网交互成本;Cpv为源氢氨系统光伏单位发电成本;Ppvr为源氢氨系统光伏实际功率;Chy为水电发电成本;Phy为水电实际功率;epv为源氢氨系统单位弃光惩罚成本;Ppvq为源氢氨系统弃光功率;Jel为电解槽运行成本;CHo&m为储氢成本;w为储氢罐容量;aLOH为储氢状态量;ah为电解槽制氢功率转换系数;Pel为电解槽实际功率;ehtn为氢转氨系数;t为当前时刻;t1为优化调度采样时间,t1=1 h。
目前碱性电解槽单体的制造水平尚处于几百kW~MW级,大规模制氢时需要多个单体电解槽并联运行,并按照机组编号依次分配功率。电解槽运行成本由运维成本及多机并联电解槽启动成本组成,表示为
(2)
其中
(3)
式中,Celo&m为电解槽运维成本;Celon为电解槽启动成本;gelon为电解槽启动台数;delon为电解槽启动状态(0-1变量);Pel,N为电解槽额定功率;t-1为上一时刻;
表示向上取整。
电网交互成本为
(4)
式中,dgb为电网购电状态(0-1变量);Cgb为购电价格;Pgb为购电量;dgs为电网售电状态(0-1变量);Cgs为售电价格,Cgs<0;Pgs为售电量。
2.1.2 源氢氨系统运行约束条件
1)功率平衡约束
(5)
式中,PNH3为合成氨耗电量。
2)水电功率及库容约束
(6)
式中,Phymin为水电发电最小值;Phymax为水电发电最大值;Vhy为水电库容状态;a为水电功率转换系数;V为水电库容量;Vhymin为水电库容状态最小值;Vhymax为水电库容状态最大值。
3)光伏功率约束
源氢氨系统光伏实际功率与弃光量应满足约束为
(7)
式中,Ppv,for为源氢氨系统光伏预测功率。
4)电网交互功率约束
源氢氨系统购电/售电不可同时进行,有
(8)
式中,Pgbmin为最小购电量;Pgbmax为最大购电量;Pgsmin为最小售电量;Pgsmax为最大售电量。
5)电解槽运行约束
(9)
式中,Pelmin和Pelmax分别为电解槽运行功率最小值和最大值。
6)储氢约束
储氢罐中,电解槽运行产生氢气,合成氨消耗氢气,储氢罐内储氢状态量约束为
(10)
式中,aLOHmin、aLOHmax分别为储氢状态量最小值和最大值。
7)合成氨设备爬坡约束
合成氨原料为氢气和氮气,采用哈伯法在催化剂作用下进行,合成氨所需氮气通常由空气分离单元获得,并利用压缩机对入口气体进行压缩。因此,合成氨主要耗电设备为空气分离单元和压缩机,其耗电量为
(11)
式中,kasu和kac分别为空气分离单元和压缩机消耗功率系数。
参考甲醇柔性调度模型[17],合成氨过程中催化剂活性温度、压力存在一定的适应范围。当合成氨设备高负载运行时,可能发生催化剂中毒或失活;低负载运行时,可能导致催化剂活性降低,需要频繁进行催化剂再生或更换;处于中等负载区间时,则拥有相对较大的负载调节裕度。设置合成氨设备每时间只处于一个负载水平,约束条件为
(12)
式中,m1、m2、m3分别为合成氨设备的低、中、高负载状态(0-1变量),取1时代表合成氨处于低、中、高负载状态;nNH3max为合成氨量最大值。
根据合成氨量的负载水平设置不同阶段的爬坡速率,约束为
(13)
式中,
、
、
和
、
、
分别为低、中、高负载合成氨速率下限和上限。
通过目标函数和约束解得源氢氨系统各设备功率、运行状态、合成氨量等,此时源氢氨系统收益最大,定义为源氢氨系统经济最优状态。
对源氢氨系统参与电力系统调峰辅助服务建立净负荷波动最小和系统成本最小的目标函数。
2.2.1 系统净负荷波动最小目标函数
净负荷为电力系统负荷与出力不确定性设备功率的差值,本文净负荷为火电机组承担负荷量,频繁的功率波动会缩短火电机组使用寿命,为避免火电机组产生过大的功率波动,建立系统净负荷波动最小目标函数为
(14)
其中
(15)
(16)
式中,Pnet为净负荷;Pnetav为净负荷平均值;Pload为电力系统负荷;Pw为风电功率;Ppv为电力系统光伏功率;Pan为源氢氨系统接入电网功率。
2.2.2 电力系统运行成本最小目标函数
综合考虑风光发电成本、弃风弃光惩罚成本、火电机组运行成本、源氢氨系统参与电网调峰成本、火电调峰辅助服务成本及源氢氨系统调峰补贴成本,以电力系统运行总成本最小为目标,建立优化模型为
(17)
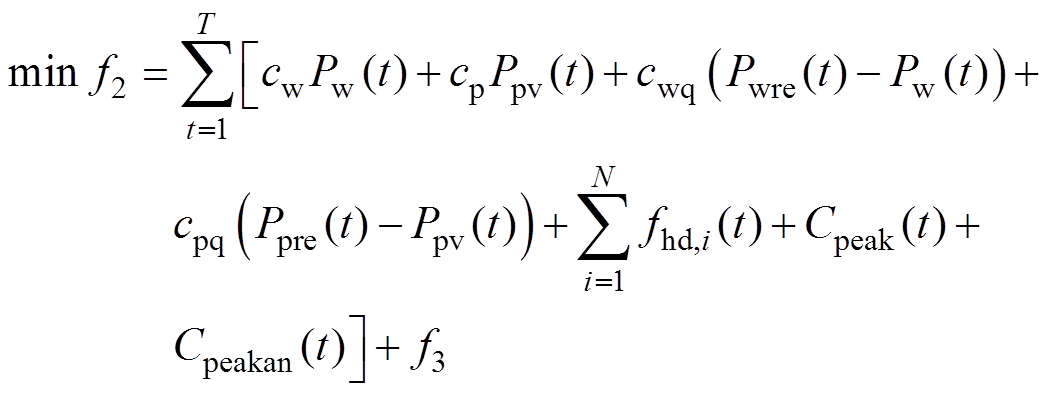
式中,cw为风电发电价格;cp为电力系统光伏发电价格;cwq为弃风惩罚价格;Pwre为风电预测功率;cpq为电力系统弃光惩罚价格;Ppre为电力系统光伏预测功率;N为火电机组台数;fhd,i为第i台火电机组运行成本;Cpeak为火电机组深度调峰补偿成本;Cpeakan为源氢氨系统调峰补偿成本;f3为源氢氨系统参与电网调峰成本。
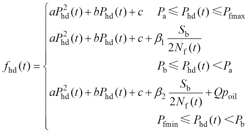
1)火电机组运行成本
火电的调峰过程分为常规调峰(Regular Peak Regulation, RPR)、不投油深度调峰(Deep Peak Regulation, DPR)、投油深度调峰(Deep Peak Regulation with Oil, DPRO)三个阶段。火电机组运行成本表示为
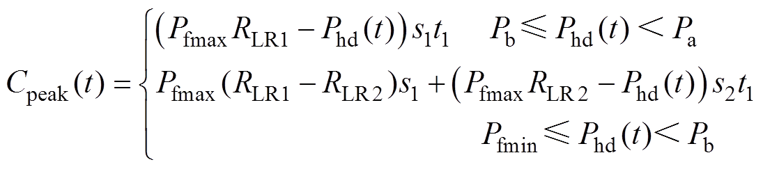
(18)
式中,a、b、c为火电机组煤耗系数;Phd为火电机组功率;Nf为转子致裂次数;Sb为机组建设成本;b1为火电机组DPR阶段的运行损耗系数;b2为火电机组DPRO阶段的运行损耗系数;Q为油量;poil为油价;Pfmax为火电机组最大输出功率;Pa为火电机组不投油深度调峰最大功率;Pb为火电投油深度调峰最大功率;Pfmin为火电机组最小输出功率。
参考文献[18]的方法,对
进行线性化处理,此项变为
(19)
2)源氢氨系统参与电网调峰辅助服务成本
在连续生产过程中,保持氨产量的稳定有助于维持整个生产系统的稳定运行,根据2.1节得到的合成氨计划曲线,以源氢氨系统与电网交互功率最大为目标函数进行求解,所得功率最大值即为源氢氨系统能够接入电力系统的最大值。当接入电网功率改变时,源氢氨系统收益降低,降低的部分为源氢氨系统参与电网调峰辅助服务的成本。
采用电网交互功率偏差分摊策略计算成本,设电网交互功率变化量为DPgrid,光伏、水电、电解槽共同分担交互功率变化部分,要求引起的源氢氨系统收益降低最小,此时目标函数为
(20)
式中,DPpv为光伏变化量;DPhy为水电变化量;DPpvq为弃光变化量;DPel为电解槽变化功率;Ddelon为电解槽启动状态变化;Dgt为交互功率变化成本,其具体表达式需要分情况讨论。
情况1:经济最优状态下交互功率为购电状态,参与调峰后交互功率仍为购电状态,交互功率变化成本为购电成本变化,表达式为
(21)
情况2:经济最优状态下交互功率为购电状态,参与调峰后交互功率为售电状态,交互功率变化成本为购电成本变化与售电成本变化之和,表达式为
(22)
情况3:经济最优状态下交互功率为售电状态,参与调峰后交互功率仍为售电状态,交互功率变化成本为售电成本变化,表达式为
(23)
情况4:经济最优状态下交互功率为售电状态,参与调峰后交互功率为购电状态,交互功率变化成本为售电成本变化与购电成本变化之和,表达式为
(24)
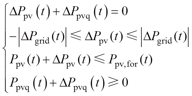
源氢氨系统功率变化满足功率平衡约束,即
(25)
交互功率变化后水电功率满足水电功率限值约束,且变化量小于电网交互功率变化量,其所引起的库容变化满足库容约束,表示为
(26)
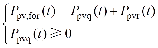
光伏功率由实际出力与弃光功率组成,变化后的光伏实际功率及弃光功率之和应为0,确保整体光伏功率为光伏预测值;光伏功率变化量小于电网交互功率变化量,变化后的光伏功率小于光伏预测功率,弃光功率不为负。光伏功率约束为
(27)
电解槽功率变化量小于电网交互功率变化量,变化后功率满足电解槽功率限值,有
(28)
电解槽功率变化会引起氢量变化,储氢状态约束为
(29)
3)火电机组调峰补贴成本
火电机组调峰率RPR为
(30)
式中,Pact为火电机组实际输出功率。
不同负荷率调峰补贴价格不同,负荷率RLR为
(31)
火电机组常规调峰为义务调峰无补贴,深度调峰火电机组获得调峰补贴
为
(32)
式中,RLR1为第一档调峰负荷率;RLR2为第二档调峰负荷率;s1为第一档调峰补贴价格;s2为第二档调峰补贴价格。
火电机组深度调峰补贴由风电、光伏及不参与深度调峰的火电机组共同分担。风电分摊成本Cpeakw为
(33)
光伏分摊成本Cpeakpv为
(34)
4)源氢氨系统调峰补贴成本
根据参考文献[19],源氢氨系统可作为一种独立新型储能设备,由电力系统对源氢氨系统购电电量进行补偿,调峰补偿成本为
(35)
式中,Cpeakan为源氢氨系统调峰补贴;san为源氢氨系统调峰补贴价格。
5)电力系统运行约束条件
电力系统满足功率平衡约束,即
(36)
风光作为新能源发电,上网售电获得收益,在参与深度调峰分摊成本时,需满足收益大于0,则有
(37)
式中,sw为风电售价;spv为光伏售价。
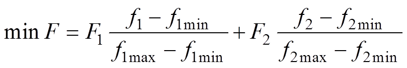
对不同量纲目标函数进行加权标幺化处理,得到电力系统目标函数为
(38)
式中,F1、F2分别为目标函数1、2的权重系数;f1max和f1min分别为目标函数1的最大值及最小值;f2max和f2min分别为目标函数2的最大值及最小值。
本文采用Gurobi求解器进行求解,设置仿真时长为24 h。首先对源氢氨系统合成氨收益最大目标进行求解,得到源氢氨系统经济最优状态,并传递至电力系统调峰优化部分,根据源氢氨系统参与电网调峰成本,以电力系统净负荷波动最小和运行成本最小为目标,优化得到源氢氨系统参与电网调峰调度结果;再根据源氢氨系统与电网交互功率,得到源氢氨系统内部各设备功率及状态。模型求解流程如图3所示。
图3 模型求解流程
Fig.3 The process of model solving
本文源氢氨系统中光伏装机容量为250 MW,水电装机容量为200 MW,电解制氢机组装机容量为500 MW,由100台5 MW电解槽并联组成。源氢氨系统售电功率上限为80 MW,购电功率上限为120 MW。电力系统中光伏装机容量为500 MW,风电装机容量为400 MW,三台火电机组容量分别为300、400、500 MW,其中400 MW火电机组参与常规调峰,500 MW和300 MW两台火电机组参与深度调峰。
表1 源氢氨系统状态变量设置
Tab.1 Coupling system state variable setting
参 数数 值 水电库容量V/m34×103 储氢罐容量w/t300 电解槽额定功率Pel,N/MW5 合成氨速率最大值nNH3max/(t/h)60 低负载合成氨速率变化上限/(t/h2)2 中负载合成氨速率变化上限/(t/h2)4.8 高负载合成氨速率变化上限/(t/h2)2 低负载合成氨速率变化下限/(t/h2)1 中负载合成氨速率变化下限/(t/h2)1.5 高负载合成氨速率变化下限/(t/h2)1 源氢氨系统库容状态初始值Vhy(%)50 源氢氨系统库容状态最小值Vhymin(%)10 源氢氨系统库容状态最大值Vhymax(%)90 源氢氨系统储氢状态初始值aLOH(%)50 源氢氨系统储氢状态最小值aLOHmin(%)10 源氢氨系统储氢状态最大值aLOHmax(%)90
系统算例经济参数设置见表2。
表2 系统经济参数
Tab.2 Electrolytic cell parameters
参 数数 值 源氢氨系统光伏发电成本Cpv/[元/(MW·h)]280 源氢氨系统水电发电成本Chy/[元/(MW·h)]253 源氢氨系统弃光惩罚系数epv/[元/(MW·h)]600[20] 电解槽运维成本Celo&m/[元/(MW·h)]14[21] 电解槽启动成本Celon/(元/台)2 000 储氢罐储氢成本CHo&m/(元/t)2 800[21] 源氢氨系统售电电价Cgs/[元/(MW·h)]0.3 源氢氨系统购电电价Cgb/[元/(MW·h)]分时电价[22] 合成氨成本CNH3om/(元/t)4 123.3 绿氨售价CNH3/(元/t)7 100 水电功率转换系数a/(m3/MW)5 000 电解槽制氢功率转换系数ah/(MW·h/t)0.018 544 氢转氨系数ehtn0.176 5 源氢氨系统空气分离单元功率系数kasu/(MW·h/t)0.64[23] 源氢氨系统压缩机功率系数kac/(MW·h/t)0.26[23] 300 MW火电机组煤耗系数a,b, c/元0.043 2,20,1 820 400 MW火电机组煤耗系数a,b,c/元0.046 7,22,1 920 500 MW火电机组煤耗系数a,b,c/元0.045 5,20,1 670 深度调峰投油量Q/kg4.8[24]
(续)
参 数数 值 深度调峰投油价poil/(元/kg)6 130[24] 系统风电发电成本cw/[元/(MW·h)]320[20] 风电售价sw/[元/(MW·h)]400 系统光伏发电成本cp/[元/(MW·h)]280 光伏售价spv/[元/(MW·h)]350 系统弃光惩罚cpq/[元/(MW·h)]600[20] 系统弃风惩罚cwq/[元/(MW·h)]600[20] 目标函数1权重系数F10.1 目标函数2权重系数F20.9
火电机组深度调峰报价见表3[25]。本文设置第一档调峰补贴价格为300元/(MW·h),第二档调峰补贴价格为600元/(MW·h)。根据文献[18],源氢氨系统参与调峰辅助服务补贴价格为300元/(MW·h)。
表3 火电机组深度调峰报价
Tab.3 Quotation for deep peak shaving of thermal power units
报价档位火电机组负荷率(%)报价下限/ [元/(MW·h)]报价上限/[元/(MW·h)] 第一档40~500400 第二档0~404001 000
电力系统负荷、风电、光伏预测曲线如图4所示。
图4 负荷、风光预测曲线
Fig.4 Load and scenery prediction curves
本文建模求解时间为5.789 s,源氢氨系统参与电力系统调峰前后调峰指标对比见表4。
源氢氨系统未参与调峰时,火电机组3处于DPR阶段,由于火电机组第一档调峰补偿为300元/ (MW·h),与源氢氨系统调峰补贴一致,故源氢氨系统接入基本不改变火电机组3状态;火电机组2在源氢氨系统不接入时处于DPRO阶段,运行成本及调峰补贴大,源氢氨系统接入可显著降低成本,火电机组2深度调峰量大幅降低。对比源氢氨系统接入前,接入后火电机组2深度调峰量减少33.79%,火电机组3深度调峰量减少7.58%,调峰总量减少27.32%。
表4 源氢氨系统参与调峰指标对比
Tab.4 Comparison of coupling system participating in peak shaving index
对比量不参与调峰参与调峰 火电机组2深度调峰量/MW1 477.80978.49 火电机组3深度调峰量/MW484.66447.90 火电机组2发电成本/万元78.8927.51 火电机组3发电成本/万元21.1714.36 火电机组2深度调峰补偿成本/万元64.2233.21 火电机组3深度调峰补偿成本/万元15.6413.43 电力系统运行成本/万元551.46475.22
在火电机组深度调峰量较大阶段,源氢氨系统代替火电机组进行调峰,源氢氨系统成本小于火电机组深度调峰所带来的投油附加成本及调峰补贴成本,电力系统总成本降低;与源氢氨系统参与调峰前进行对比,参与调峰后,火电机组2深度调峰补偿成本降低48.29%,火电机组3深度调峰补偿成本降低14.13%,调峰补偿成本总降低41.60%;火电机组2发电成本降低65.13%,火电机组3发电成本降低32.17%。电力系统运行成本降低13.83%。源氢氨系统参与调峰前后电力系统优化运行结果如图5所示。源氢氨系统参与调峰前后新能源弃用率对比见表5,可见新能源消纳率提高1.27%。
(a)源氢氨系统不参与调峰

(b)源氢氨系统参与调峰
图5 源氢氨系统参与调峰前后电力系统优化运行结果
Fig.5 Optimal operation results of source hydrogen ammonia system before and after peak shaving
表5 源氢氨系统调峰前后新能源弃用率对比
Tab.5 Comparison of source hydrogen ammonia system participating in peak shaving index (%)
对比量不参与调峰参与调峰 弃风率9.718.68 弃光率15.0913.32
源氢氨系统的接入可以减小净负荷波动,在净负荷大时,源氢氨系统向电网提供功率,相当于发电设备;在净负荷小时,源氢氨系统吸收电网功率,相当于负荷。根据源氢氨系统接入电网的不同状态,净负荷方差由18 815 MW2减小至8 438 MW2,减少55.15%,源氢氨系统调峰前后净负荷曲线如图6所示。
图6 源氢氨系统参与调峰前后净负荷曲线对比
Fig.6 Comparison of net load curves before and after source hydrogen ammonia system access
源氢氨系统光伏预测曲线如图7所示。按照源氢氨系统售氨收益最大的目标,结合不同负载水平下合成氨爬坡速率不同的限制,得到合成氨量曲线如图8所示,源氢氨系统基于经济最优状态得到的氨产量参与电网调峰调度。
根据源氢氨系统参与电网调峰优化调度结果,得到源氢氨系统与电网交互功率,并对源氢氨系统经济最优状态进行修正。源氢氨系统各设备功率曲线如图9所示。
图7 源氢氨系统光伏预测曲线
Fig.7 Photovoltaic prediction curve of integrated system
图8 合成氨量曲线
Fig.8 Synthetic ammonia production curve
图9 源氢氨系统各设备功率曲线
Fig.9 Power curves of each equipment in source hydrogen ammonia system
由于弃光惩罚价格大于发电价格,源氢氨系统在经济最优状态及参与电网调峰后均不弃光,光伏全部消纳,光伏出力曲线同预测曲线一致。
水电与光伏出力互为补充,在经济最优状态下,光伏出力较大时,水电出力降低;源氢氨系统参与调峰后,当源氢氨系统处于购电状态时,水电机组降低出力以满足购电要求,当源氢氨系统处于售电状态时,水电机组增加出力使系统售电量增加。本文设定典型日中水电无来水量,库容状态随水电出力而减少,当为雨季或放开水闸时,库容状态会有所升高。
由于电解槽启动成本远大于其运维成本,电解槽运行功率在一段时间内处于稳定状态。源氢氨系统参与调峰后,电网交互功率改变,在源氢氨系统处于购电状态时,需要电解槽增加功率,但是由于电解槽启动成本较高,电解槽仍维持原功率;在15:00—18:00,源氢氨系统处于售电状态,电解槽降低功率以满足调峰需求。储氢状态根据合成氨量及电解槽功率变化。
当源氢氨系统参与调峰辅助服务时,调峰补贴大于运行状态改变引起的成本变化,源氢氨系统收益提高2.15%,存在参与调峰辅助服务的主动性。源氢氨系统参与电力系统调峰的成本及收益见表6。
表6 源氢氨系统参与调峰的成本及收益
Tab.6 Cost and benefit of coupling system participating in peak shaving (单位: 万元)
成本及收益数值 源氢氨系统经济最优状态收益189.13 源氢氨系统调峰补偿收益21.02 源氢氨系统调峰成本16.96 源氢氨系统参与调峰收益4.06
对源氢氨系统参与电网调峰量及主动性进行分析,源氢氨系统调峰补贴在0~600元/(MW·h)呈阶梯型变化,得到源氢氨系统调峰量及收益曲线如图10所示。
图10 源氢氨系统调峰量及收益曲线
Fig.10 Peak load regulation and income curves of coupled system
当源氢氨系统调峰补贴为0时,只考虑源氢氨系统参与电网调峰成本,当参与电网调峰成本小于火电机组深度调峰补贴及运行成本时,调峰量最大,但对源氢氨系统而言,主动性为负,为电力系统的经济运行牺牲了源氢氨系统的利益。随着源氢氨系统调峰补贴增大,对比源氢氨系统调峰补贴增加量、源氢氨系统成本变化量及火电机组调峰补贴成本变化量,结果显示,调峰量有所减少,但对于源氢氨系统,调峰补贴越大,其获得的收益越多,参与调峰的主动性越高。
本文建立新能源-制氢-合成氨多元耦合系统参与电网调峰模型,并根据经济性目标,得到源氢氨系统参与电网调峰调度结果。本文主要结论如下:
1)根据调峰分析结果可知,源氢氨系统接入电力系统参与调峰辅助服务可降低系统净负荷方差,有效地减小火电机组深度调峰量,相较于接入前,接入后的深度调峰量减少27.32%,系统净负荷方差减少55.15%。
2)从经济性角度出发,源氢氨系统参与调峰后,节约了火电机组深度调峰成本,相较于接入前,接入后的火电机组深度调峰补偿成本降低41.60%,同时火电机组发电成本减少,系统新能源弃用率降低。
3)根据源氢氨系统调峰收益可知,源氢氨系统参与电力系统调峰辅助服务获得的调峰补贴大于参与调峰产生的成本,总收益提高,源氢氨系统存在参与电网调峰辅助服务的主动性。
参考文献
[1] 孔令国, 王嘉祺, 韩子娇, 等. 基于权重调节模型预测控制的风-光-储-氢耦合系统在线功率调控[J]. 电工技术学报, 2023, 38(15): 4192-4207.
Kong Lingguo, Wang Jiaqi, Han Zijiao, et al. On-line power regulation of wind-photovoltaic-storage-hydrogen coupling system based on weight adjustment model predictive control[J]. Transactions of China Electro- technical Society, 2023, 38(15): 4192-4207.
[2] 罗潇, 任洲洋, 温紫豪, 等. 考虑氢能系统热回收的电氢区域综合能源系统日前优化运行[J]. 电工技术学报, 2023, 38(23): 6359-6372.
Luo Xiao, Ren Zhouyang, Wen Zihao, et al. A day-ahead dispatching method of regional integrated electric-hydrogen energy systems considering the heat recycle of hydrogen systems[J]. Transactions of China Electrotechnical Society, 2023, 38(23): 6359-6372.
[3] 潘郑楠, 邓长虹, 徐慧慧, 等. 考虑灵活性补偿的高比例风电与多元灵活性资源博弈优化调度[J]. 电工技术学报, 2023, 38(增刊1): 56-69.
Pan Zhengnan, Deng Changhong, Xu Huihui, et al. Game optimization scheduling of high proportion wind power and multiple flexible resources considering flexibility compensation[J]. Transactions of China Electrotechnical Society, 2023, 38(S1): 56-69.
[4] 王韵楚, 张思, 林振智, 等. 分布式源荷参与辅助服务的市场机制与实现方法[J]. 电力系统自动化, 2023, 47(18): 2-16.
Wang Yunchu, Zhang Si, Lin Zhenzhi, et al. Market mechanisms and implementation methods for distributedsources and loads participating in ancillary services[J]. Automation of Electric Power Systems, 2023, 47(18): 2-16.
[5] 孔令国, 陈钥含, 万燕鸣, 等. 计及调峰辅助服务的风电场/群经济制氢容量计算[J]. 电工技术学报, 2023, 38(16): 4406-4420.
Kong Lingguo, Chen Yuehan, Wan Yanming, et al. Calculation of economics of power-to-gas capacity for wind farms/clusters with peak regulation auxiliary service response[J]. Transactions of China Electro- technical Society, 2023, 38(16): 4406-4420.
[6] Zhang Bolin, Shao Chong, Li Chunhua, et al. Optimal scheduling of an electric-hydrogen-integrated energy system considering virtual energy storage[J]. Frontiers in Energy Research, 2024, 12: 1359123.
[7] Pan Li, Li Jiarong, Huang Jingsi, et al. Renewable- to-ammonia: configuration strategy and technoeconomic analysis[J]. iScience, 2023, 26(12): 108512.
[8] 袁铁江, 郭建华, 杨紫娟, 等. 平抑风电波动的电-氢混合储能容量优化配置[J]. 中国电机工程学报, 2024, 44(4): 1397-1406.
Yuan Tiejiang, Guo Jianhua, Yang Zijuan, et al. Optimal allocation of power electric-hydrogen hybrid energy storage of stabilizing wind power fluctuation [J]. Proceedings of the CSEE, 2024, 44(4): 1397-1406.
[9] Nayak-Luke R, Bañares-Alcántara R, Wilkinson I. “Green” ammonia: impact of renewable energy inter- mittency on plant sizing and levelized cost of ammonia[J]. Industrial & Engineering Chemistry Research, 2018, 57(43): 14607-14616.
[10] Wang Changlong, Walsh S D C, Longden T, et al. Optimising renewable generation configurations of off-grid green ammonia production systems considering Haber-Bosch flexibility[J]. Energy Conversion and Management, 2023, 280: 116790.
[11] Wang Shunchao, Zhang Pengfei, Zhuo Tuo, et al. Scheduling power-to-ammonia plants considering uncertainty and periodicity of electricity prices[J]. Smart Energy, 2023, 11: 100113.
[12] Wu Yan, Zhao Tingting, Tang Shuo, et al. Research on design and multi-frequency scheduling optimiza- tion method for flexible green ammonia system[J]. Energy Conversion and Management, 2024, 300: 117976.
[13] Ghappani S A, Karimi A. Optimal operation frame- work of an energy hub with combined heat, hydrogen, and power (CHHP) system based on ammonia[J]. Energy, 2023, 266: 126407.
[14] He Ge, Dang Yagu, Zhou Li, et al. Architecture model proposal of innovative intelligent manufacturing in the chemical industry based on multi-scale integration and key technologies[J]. Computers & Chemical Engineering, 2020, 141: 106967.
[15] Wu Sirui, Lin Jin, Li Jiarong, et al. Multi-timescale trading strategy for renewable power to ammonia virtual power plant in the electricity, hydrogen, and ammonia markets[J]. IEEE Transactions on Energy Markets, Policy and Regulation, 2023, 1(4): 322-335.
[16] 林今, 余志鹏, 张信真, 等. 可再生能源电制氢合成氨系统的并/离网运行方式与经济性分析[J]. 中国电机工程学报, 2024, 44(1): 117-127.
Lin Jin, Yu Zhipeng, Zhang Xinzhen, et al. On-grid/ off-grid operation mode and economic analysis of renewable power to ammonia system[J]. Proceedings of the CSEE, 2024, 44(1): 117-127.
[17] 杨国山, 朱杰, 杨昌海, 等. 适应波动性风电的电制氢合成甲醇系统柔性优化调度[J]. 电力建设, 2023, 44(11): 149-162.
Yang Guoshan, Zhu Jie, Yang Changhai, et al. Flexible optimal scheduling of electric power for hydrogen-based methanol synthesis system adapting to fluctuating wind power[J]. Electric Power Construction, 2023, 44(11): 149-162.
[18] 李卫国, 丁硕, 安祎宁, 等. 计及深度调峰的风-光-水-火-抽蓄多能源联网系统优化调度研究[J]. 东北电力大学学报, 2024, 44(3): 83-93.
Li Weiguo, Ding Shuo, An Yining, et al. Research on optimal dispatching of wind-photovoltaic-hydropower- thermal power-pumped storage combined power generation system with deep peak regulation[J]. Journal of Northeast Electric Power University, 2024, 44(3): 83-93.
[19] 国家能源局华中监管局. 华中区域电力辅助服务管理实施细则[EB/OL]. (2023-09-18)[2024-04-16]. https://hzj.nea.gov.cn/xxgk/zcfg/202401/P020240125571571879657.pdf.
[20] 谭玲玲, 孙鹏, 郭沛璇, 等. 含氢储能的微电网低碳-经济协同优化配置[J]. 发电技术, 2024, 45(5): 983-994.
Tan Lingling, Sun Peng, Guo Peixuan, et al. Low- carbon and economic synergy optimization configuration for microgrid with hydrogen energy storage[J]. Power Generation Technology, 2024, 45(5): 983-994.
[21] Kakavand A, Sayadi S, Tsatsaronis G, et al. Techno- economic assessment of green hydrogen and ammonia production from wind and solar energy in Iran[J]. International Journal of Hydrogen Energy, 2023, 48(38): 14170-14191.
[22] 吉林省发展改革委. 吉林省发展改革委关于进一步完善分时电价政策有关事项的通知[EB/OL]. (2021-11-25)[2024-04-16]. http://xxgk.jl.gov.cn/zcbm/fgw/ xxgkmlqy/202112/t20211217_8325614.html.
[23] Klyapovskiy S, Zheng Yi, You Shi, et al. Optimal operation of the hydrogen-based energy management system with P2X demand response and ammonia plant[J]. Applied Energy, 2021, 304: 117559.
[24] 李军徽, 安晨宇, 李翠萍, 等. 计及调峰市场交易的储能-新能源-火电多目标优化调度[J]. 电工技术学报, 2023, 38(23): 6391-6406.
Li Junhui, An Chenyu, Li Cuiping, et al. Multi- objective optimization scheduling method considering peak regulating market transactions for energy storage-new energy-thermal power[J]. Transactions of China Electrotechnical Society, 2023, 38(23): 6391- 6406.
[25] 国家能源局东北监管局. 东北区域电力辅助服务管理实施细则(模拟运行稿)[EB/OL]. (2023-04-14) [2024-04-16]. https://dbj.nea.gov.cn/hdhy/dczj/ 202402/ P020240314524104842621.pdf.
Abstract At present, the relevant research on the system of producing hydrogen and synthesizing ammonia from electrolyzed water mainly focuses on capacity allocation, modeling and control technology and flexibility of multi-section in synthetic ammonia production, and the power market mechanism is not considered when the system is applied to peak shaving auxiliary service.Therefore, this paper establishes an optimal dispatching model of multi-coupling system of source hydrogen and ammonia to participate in peak-shaving auxiliary service.
Firstly, an optimization model is established based on the maximum profit of ammonia sales in the multi-coupling system of source hydrogen and ammonia, and the operating power of each device in the coupling system, the power grid interaction power and the output of synthetic ammonia are obtained by solving, and this power is used as the power base point to connect to the power system; The limit value of interactive power between coupling system and power grid is obtained without considering economy. Because the time scale of ammonia load adjustment is hourly, and the income from ammonia sales is an important part of the system income, the planned output of ammonia will not change. When the coupling system is connected to the power system and participates in the auxiliary peak-shaving service, the interactive power between the coupling system and the power grid changes, and the photovoltaic, hydropower and electrolytic cells in the coupling system share the power change; Taking the minimum change of income caused by the change of interactive power of power grid as the goal, the change of income of coupling system is obtained, which is the cost of coupling system participating in peak shaving. According to the new energy forecast curve of the power system, the system load forecast curve and the interaction power limit between the coupling system and the power grid, the objective function is established with the minimum variance of the net load of the power grid and the minimum operating cost of the system, and the power of the interaction between the coupling system and the power grid under peak shaving is obtained.
According to the results of peak shaving analysis, connecting the source hydrogen and ammonia system to the power system to participate in peak shaving auxiliary service can reduce the variance of system net load and effectively reduce the deep peak shaving of thermal power units. Compared with before and after the connection, the deep peak shaving is reduced by 27.32% and the variance of system net load is reduced by 55.15%. The source hydrogen ammonia system participates in peak shaving, saving the cost of deep peak shaving of thermal power units. Compared with before and after access, the compensation cost of deep peak shaving of thermal power units is reduced by 41.60%. At the same time, reduce the power generation cost of thermal power units and reduce the abandonment rate of new energy in the system. The peak-shaving subsidy obtained by the source hydrogen and ammonia system participating in the auxiliary peak-shaving service of the power system is greater than the cost generated by participating in the peak-shaving, which improves the total benefits and increases the initiative of the source hydrogen and ammonia system participating in the auxiliary peak-shaving service.
keywords:Source hydrogen ammonia, peak shaving auxiliary service, power deviation allocation, optimal scheduling
DOI: 10.19595/j.cnki.1000-6753.tces.241938
中图分类号:TM73
国家自然科学基金项目(52377170)和中国氢能联盟2022政研项目(CHA2022RP001)资助。
收稿日期 2024-10-29
改稿日期 2024-12-28
孔令国 男,1984年生,教授,博士,研究方向为电氢耦合理论与关键技术研究。E-mail: klgwin@neepu.edu.cn
杨士慧 女,1987年生,硕士研究生,研究方向为交直流配电网与分布式发电、能源转化与新型储能控制技术等。E-mail: ysh870119@163.com(通信作者)
(编辑 李 冰)