摘要 旋转无线供电系统在实际工程应用中存在导线洞穿金属的情况,这将引起系统电路参数偏移并增加金属内的涡流损耗与温升,影响系统长时间安全稳定运行。该文分析了常规双向导线洞穿金属对系统和金属损耗的影响参数,并提出了一种实现磁场自抑制的双向多线芯传输线结构,以抑制导线洞穿金属对系统的影响。利用有限元分析法模拟金属区域的磁场、涡流损耗与发热分布情况,并搭建实验平台对两种传输线结构进行对比测试。实验结果证实,提出的双向多线芯传输线结构能够提高系统的传输效率并有效地降低邻近金属内的涡流损耗,进而使得洞穿金属铝和铁观测点上的温度分别下降11.7%和15.9%,增强了系统运行的安全性和工程适用性。
关键词:无线电能传输 旋转供电 洞穿金属影响 磁场自抑制 涡流损耗 磁热均衡
无线电能传输(Wireless Power Transfer, WPT)技术是一种通过电磁场耦合,实现电能由电源侧到负载侧非接触式传输的技术[1-4]。该技术凭借其非接触式的电能传输特性,在同步励磁电机等旋转供电的应用环境中展现出卓越的性能[5-7]。此技术能够替代电机中传统的电刷和集电环供电结构,可以有效规避传统接触式电能传输结构因高转速带来的机械磨损、摩擦发热和需定期更换等繁琐性问题[6-7]。
旋转WPT系统通常采用磁场耦合的工作方式,其导线中的电流频率通常可达几十至上百kHz[6-7]。然而在电机供能场景中,旋转WPT系统将不可避免地存在导线需洞穿封装外壳、支撑结构及转轴等多种金属部件的情况[8-9]。当导线洞穿金属部件时,导线与邻近金属接触区域产生的涡流效应将导致导线分布参数发生变化,进而影响系统的传输效能[10-11]。此外,涡流效应所诱发的大部分涡流损耗将转换为热能,导致邻近金属部件发生区域过热现象[7, 12-13]。此过程会加速相邻部件的老化,并有可能使其受热损毁,对系统长时间安全运行造成不利影响。
为缓解上述问题,需要就导线洞穿金属工况对系统产生的影响进行理论分析和抑制方法研究。现有的抑制方法主要可归为以下三类。
1)优化线芯结构。为减少涡流效应,在金属穿孔区采用特殊结构的导线。例如,双绞线、同轴电缆等特殊结构的导线不仅在信号传输与电能分配方面展现出卓越的性能,而且具有较高的灵活性和适应性[14-15]。然而,在旋转WPT系统线芯的应用中,不仅要考虑传输线芯的输电能力,还要考虑其激发漏磁的问题[7,16];同时,线芯结构也需要承受旋转机械所要求的高机械强度和WPT系统的电磁力作用[17-18]。此外,目前广泛使用的导线类型很少能够满足WPT系统在特定频段和功率级别上的需求。
2)实施屏蔽措施。在导线外附加绝缘层用于缓解导线的电磁干扰问题。实际工程中通常采用外加编织屏蔽、金属箔和套管的方式减缓相邻金属部件中的磁场强度。此外,还有选用高磁导率材料配合永磁体阵列的线缆磁场屏蔽方法[19]。此类方法对磁场的抑制十分有效,但在旋转WPT系统导线洞穿工况下存在外加屏蔽材料开孔区空间受限的问题。
3)优化邻近金属结构。对导线洞穿区域金属进行形状设计。例如,对邻近金属开槽处理,本质上可以改变空间内的磁路分布,进而有助于减少金属内部的涡流损耗[20-21]。然而在设计金属结构时,需要注意保证达到旋转部件的机械安装强度。
本文根据现有导线洞穿金属影响抑制方法存在的不足,首先对平行双导线洞穿金属条件下WPT系统电路参数变化和金属涡流损耗情况进行分析,探究导线洞穿金属对系统的影响参数;其次,针对影响参数,提出一种基于导线磁场自抑制与电流路径分散原理的导线洞穿金属抑制方法;最后,通过有限元仿真和实验验证该方法的有效性,为旋转WPT系统在洞穿金属环境下安全可靠地运行提供理论支持。
旋转供电系统金属穿孔影响模型如图1所示。旋转无线供电系统导线洞穿金属的情况可归纳为两种基本类型:一种是逆变电路后端导线洞穿封装外壳金属以向发射线圈传输电能的情形;另一种则是接收线圈后端导线穿越转轴类金属结构以向整流电路输送电能的情形。其中金属洞穿区导线一般为平行双导线结构。
图1 旋转供电系统金属穿孔影响模型
Fig.1 Metal perforation impact model for rotating power supply systems
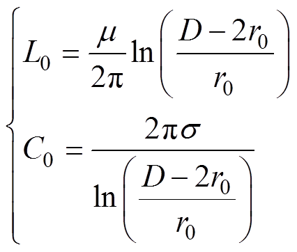
根据平行双导线与穿孔区周围邻近金属环境构建系统单侧回路电路模型如图2所示。图中,U0为旋转供电系统静止侧逆变电路的输出电压,R0为静止侧线圈内阻,L1和C1分别为静止侧线圈自感和补偿电容,Dz为金属穿孔区的长度,L0和C0分别为金属环境下单位长度传输线的分布参数。
图2 金属穿孔区分布参数模型
Fig.2 Parametric model of the distribution of metal perforation zones
导线洞穿金属区纵向截面图如图3所示。图中,D为正负导线圆心间距,r0为导线半径,R为金属开孔半径。根据图3中的金属穿孔区导线结构、分布位置及邻近金属材质等的关系,可以得到导线的分布参数表达式为
(1)
式中,m与s分别为邻近金属材料的磁导率和电导率。

图3 穿孔区双导线截面图
Fig.3 Cross-section of wires in perforated area
在穿孔区邻近金属的影响下,导线的分布参数将受到影响,从而导致回路内的阻抗和谐振频率发生变化。基于电路模型,可以推导出单侧回路内总阻抗的相应表达式为
(2)
式中,w为系统角频率。此时系统若达到谐振状态,需满足的条件如式(3)所示。
(3)
由式(3)可知,当金属穿孔区长度Dz与分布参数值较小时,系统仍满足串联-串联拓扑的谐振条件。但当金属穿孔区长度较大时,系统分布参数将不可忽略,此条件下系统谐振角频率w0为
(4)
从上述分析可看出,在导线洞穿区邻近金属影响下,系统实际谐振角频率会受到金属材质、穿孔长度和导线结构的多重影响而发生偏移,进而对系统的传输效能产生影响。这表明在回路激励频率较高和金属穿孔距离较长的条件下,金属穿孔对旋转WPT系统的影响是不可忽视的。因此,在系统设计中要尽量避免金属开孔长度过长,以免对系统传输能效和现有应用工况产生较大的影响。
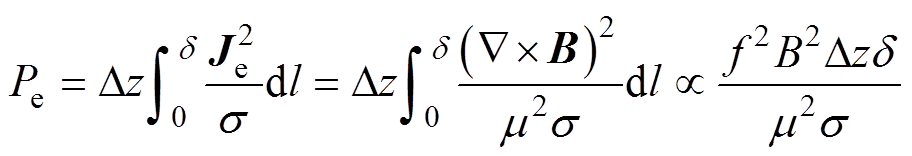
在高频磁场作用下,导线洞穿区邻近金属产生的涡流损耗使得金属局部区域温度上升,严重时会危害传输线及系统的运行安全性。在高频激励条件下,金属上具有趋肤效应。在趋肤效应影响下,金属部件损耗区域主要位于金属表面而不是深入金属部件内部。图3中,d为金属材料的趋肤深度,d= (1/pfms)1/2,其数值主要与系统频率f和金属材料的电磁参数有关。为探究导线对洞穿区金属的影响,可将旋转WPT系统平行双导线洞穿金属工况视为有限长双平行导线磁场模型。根据图3所定义的导线与金属位置以及毕奥-萨伐尔定律,可得到金属截面上某点P的磁感应强度为
(5)
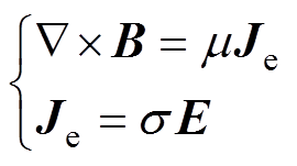
式中,m0为真空中的磁导率;r1和r2分别为P点到导线1和导线2的距离;e1和e2分别为P点指向导线1和导线2的单位矢量;I1和I2分别为流经导线1和导线2的电流,二者大小同为I但方向相反。本文所研究的旋转WPT系统耦合电磁场为似稳场,因此可以忽略系统内的位移电流,此时截面上金属内的涡流损耗Pea可通过式(6)估算。
(6)
式中,E和Je分别为金属内的电场强度与电流密度。由麦克斯韦方程可得
(7)
式中,B为金属内的磁感应强度。将式(7)代入式(6),推得金属内涡流损耗
为
(8)
由式(8)可知,金属上的涡流损耗与金属磁导率的二次方和电导率成反比,与金属内磁感应强度大小的二次方、系统频率的二次方及洞穿区长度成正比。由于旋转WPT系统中导线洞穿金属区域中邻近金属的尺寸、材料及系统工作频率是固定的,在此情况下邻近金属上涡流损耗的大小与分布主要与邻近金属内的磁感应强度有关。因此,可以通过降低穿孔区域内磁感应强度的大小来降低导线洞穿区邻近金属上的涡流损耗。
本文提出了一种双向多线芯传输线结构以减弱穿孔区金属中的磁感应强度,其截面示意图如图4所示。在单向导线总股数不变的前提下,分别将两根单向导线平均划分为n束,制成正反电流方向交叉排列的2n束线芯结构。根据电流分流原理,此时相同电流方向的导线上的电流大小均为原来的1/n。本文根据金属开孔半径R的大小和传输线股数的限制,将n定义为6。此时穿孔区金属上的磁感应强度为
图4 双向多线芯传输线结构截面示意图
Fig.4 Cross-section of bidirectional multi-core transmission line structure
(9)
式中,ri为P点到电流方向为射入纸面各导线的距离;rj为P点到电流方向为射出纸面各导线的距离;同理,ei和ej分别为P点指向电流方向为射入纸面各导线和电流方向为射出纸面各导线的单位矢量。
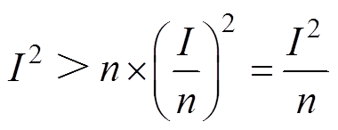
由式(9)可知,磁感应强度大小与每束导线上的电流成正比,同时已知邻近金属上的涡流损耗与磁感应强度大小的二次方成正比,此时可推得平行双导线单根导线与多线芯传输线结构本身对金属涡流损耗的影响为
(10)
由式(10)可知,邻近金属上的涡流损耗受单根电流大小为I的导线影响要大于分为n束后的多线芯结构的影响。因此,依据电流路径分散原理采用多线芯结构能有效地减小单向导线自身所产生的磁感应强度。此外,线芯中电流方向相反的导线交错排列,根据右手定理可知,导线间会实现磁场的自抑制,从而进一步减小射入邻近金属上的磁感应强度大小。基于上述理论分析可知,本文所提双向多线芯传输线结构可以有效地减弱邻近金属上的涡流损耗,进一步缓解邻近金属上的温升问题。
在旋转WPT系统导线洞穿金属工况下,洞穿金属材料多为金属铝和铁,因此将金属铝和铁作为本文的研究对象。为进一步探究磁感应强度与涡流效应在邻近金属内部的分布情况,取径向和圆周两条截线上的数据进行分析,其位置如图4所示。在此情况下建立导线洞穿区磁-热耦合仿真模型。模型中穿孔金属为一个同心环形圆柱体,由两个共圆心的圆柱体的差集构成。外圆柱体高为20 mm,直径为46 mm;内圆柱体(开孔)高为20 mm,直径为6 mm。传输导线垂直伸入穿孔金属。定义径向截线沿半径方向由金属内孔表面向金属外表面延伸,其长度为20 mm。设置圆周截线半径与洞穿孔半径相同,均为3 mm,且其方向为以洞穿孔最左端顶点为起点,顺时针旋转一圈。在传输线中施加频率为100 kHz、大小为7 A的电流激励。设置式(8)为仿真模型中穿孔金属涡流损耗计算和热场计算的输入热源。穿孔区磁热仿真模型参数见表1。
表1 穿孔区仿真模型参数
Tab.1 Parameters of perforated zone simulation model
参 数数 值 穿孔半径R/mm3 铝相对磁导率1.000 1 铝电导率/(S/m)3.5×107 铁电导率/(S/m)1.2×106 铁相对介电常数150 系统频率f/kHz100 铁相对磁导率600 铝相对介电常数8.5 径向截线长度/mm20 圆周截线半径/mm3
图5展示了平行双导线结构分别洞穿金属铝和铁时,金属上的磁场、涡流损耗和温度分布情况。由图5a和图5b可以看出,平行双导线上的磁通路径会从金属内部穿过,在相同激励下金属铁上的磁感应强度要高于金属铝。同时,金属铝穿孔区空气中的磁通分布比金属铁穿孔区中的更为密集。这是因为金属铁的相对磁导率远高于金属铝,磁通进入铁中的磁阻低于进入铝中的磁阻,这会导致金属铁内部的磁感应强度更高且呈现出更显著的磁场分布情况。此外由5c和图5d可以看出,金属上的涡流损耗分布情况与磁感应强度分布情况保持一致。同时可观测到涡流损耗主要分布在金属穿孔区表面,而金属内部的涡流损耗很小。此外,由于受到双平行导线结构的限制,可以观测到金属上的磁感应强度和涡流损耗在金属穿孔区圆周方向上的分布都不均衡,这也就导致了金属上的温度分布也不均匀。如图5e和图5f所示,金属发热区集中在导线邻近区域。
图5 金属穿孔截面磁场、损耗和温度分布结果
Fig.5 Results of magnetic field, loss and temperature distribution in perforated metal cross section
为进一步分析不同金属上的磁场和涡流损耗分布情况,绘制径向与圆周截线处的数据曲线如图6所示。由图6a和图6c可知,随着径向截线距离的增加,金属上的磁感应强度和涡流损耗均迅速减小,最终数值接近于0。这说明在高频激励下,金属上的趋肤效应十分明显,穿孔区金属上的磁感应强度和涡流损耗主要集中于穿孔区金属表面。此外,可以观测到金属上的磁感应强度大小和涡流损耗数值并不随着径向距离的增加而呈现单调递减关系。这一现象可能源于金属内部特定区域非各向同性特性的影响。图6b和图6d展示的圆周截线数据进一步指出,由于受到平行双向导线结构的影响,圆周方向金属磁感应强度和涡流损耗呈周期性非均匀分布,这种分布特点会在实际应用场景中导致邻近金属出现局部过热的问题。
图6 截线处磁感应强度和损耗分布曲线
Fig.6 Magnetic field flux density and loss distribution curves at the truncation line
当双向多线芯传输线结构分别洞穿金属铝和铁时,金属上的磁场、涡流损耗和温度分布情况如图7所示。对比图5a、图5b和图7a、图7b可以看出,采用双向多线芯传输线结构后,金属铝和铁上的磁感应强度均有所下降。同时可观察到,金属铁和铝洞穿孔空气中的磁场分布相比平行双向导线来说更加均衡,此外,空气中的磁通被进一步束缚在传输线附近。一方面是由于单根导线所激发的磁场大小降低;另一方面是由于线芯内双向导线交叉排列,使得磁场在线芯处能相互抵消。由图5c、图5d和图7c、图7d可知,金属上的涡流损耗密度也有所降低,同时涡流损耗分布在圆周方向上更加均匀。这意味着本文所提双向多线芯传输线结构不仅降低了邻近金属上的磁场和涡流损耗,而且对二者的分布还起到了均衡作用。在此基础上可由图5e、图5f和图7e、图7f看出,金属上的温升同样得到了抑制。
图7 多线芯结构下金属穿孔截面磁场、损耗和温度分布结果
Fig.7 Results of magnetic field, loss and temperature distribution in perforated metal cross section with multi-core structure
为进一步验证本文所提结构和方法的优越性,绘制径向与圆周截线处的数据曲线如图8所示。对比图6和图8可知,径向截线上的磁感应强度和涡流损耗以及圆周截线上的涡流损耗在双向多线芯传输线结构下均有所下降。此外,单独对比圆周截线上磁感应强度和涡流损耗的分布情况可以发现,新结构下洞穿孔上的磁感应强度分布更加均匀。由于铝金属磁阻较大,可以发现此现象在铝金属上更加明显。基于磁感应强度分布情况,邻近金属上涡流损耗分布的均匀程度也得到了提高。综上所述,本文所提新型传输线结构能够有效地降低洞穿区金属上的涡流损耗,进一步抑制金属上的温升,同时提高金属上磁热分布的均衡性。
图8 多线芯结构下截线处磁场、损耗分布曲线
Fig.8 Magnetic field flux density and loss distribution curves at the truncation line with multi-core structure
为验证本文所提方法与线芯结构对旋转WPT系统金属影响抑制的有效性,搭建实验系统如图9所示。实验系统由直流电源、高频逆变电路、补偿拓扑电路、磁耦合机构、整流电路、阻性负载和模拟金属穿孔区组成。实验选取金属铁、铝作为穿孔区邻近金属,并采用与仿真模型一致的材料与几何参数。实验参数见表2。
图9 实验系统
Fig.9 Experiment system
表2 实验参数
Tab.2 Experimental parameters
参 数数 值 静止侧电路线圈电感L1/mH28.38 旋转侧电路线圈电感L2/mH27.32 静止侧电路补偿电容C1/nF87.78 旋转侧电路补偿电容C2/nF93.09 系统工作频率f/kHz100 激励电流幅值I/A7 旋转侧负载R0/W12 无线电能传输距离h/mm20
为实现对多线芯传输线电流分布位置的精细调控,本文设计并集成了一种电流极性可变的多线芯传输线装置。为模拟金属穿孔工况以及方便观测该工况下金属上的温升情况,采用金属铝和铁分别设计了一种圆柱状开孔金属块。该金属块开孔长度为20 mm,导线穿孔区直径为6 mm,金属块外径为46 mm。为方便将导线放置于预定穿孔中,金属块采用对称性分离结构。同时为保证理论分析的准确性,实验中将金属块紧密贴合为一整体结构,线芯结构的配置与外观如图10所示。
采用示波器对不同金属穿孔环境下的电压电流数值进行采集,计算系统传输效率变化,同时对比不同传输线结构穿孔方式下金属影响的抑制效果。由于金属开孔半径过小,现有工具无法直接测量开孔区磁场大小,然而由第1节理论分析可知,在散热条件保持一致的情况下,金属的温度可以从侧面反映金属上的涡流损耗和磁场大小。因此,采用红外温度测量仪对金属温升进行测量。为保证金属温升测量的准确性,实验时将导线置于金属洞穿孔内一定的时间,当金属温度达到稳定后进行记录。
图10 模拟金属穿孔工况实验工具
Fig.10 Experimental tool for simulating metal piercing conditions
对导线洞穿金属影响下系统传输能效波动抑制效果进行验证。设置传输距离为20 mm,并将回路内电流调整至7 A与仿真保持一致。为保证实验对比的有效性,将多芯线与平行双导线串接在回路中。
当旋转WPT系统导线处无洞穿金属时,电源输出功率为150 W,负载两端接收功率为130 W,传输效率为86.67%。进而分别对平行双导线和双向多线芯传输线结构进行导线洞穿金属工况模拟,得到在邻近金属影响下系统传输效率变化情况如图11所示。由图11可知,平行双导线在金属铝、铁的影响下,传输效率分别下降至85.87%与84.81%,下降比例分别达到0.92%和2.15%。相比之下,多线芯结构在铝、铁的影响下,效率分别下降至86.24%和85.92%,下降比例分别为0.50%与0.87%。对比上述结果可知,采用双向多线芯传输线结构后,穿孔区金属导致的系统传输效率下降问题得到了缓解。
图11 金属影响下系统传输效率变化
Fig.11 Variation of system efficiency under the influence of metal
在室温22℃条件下,采用红外温度测量仪对金属内涡流损耗引起的温升情况进行测试。为定量分析金属上的温升变化,选择金属洞穿孔左端点P1进行温度测量。系统运行50 min后,金属上测温点P1与系统运行30 min时的温升变化小于1℃。在此条件下,可视为金属铝、铁穿孔区附近温度已达到稳态温度,温度测量结果如图12所示。
图12 洞穿金属区域温升抑制实验结果
Fig.12 Test results of temperature rise suppression in the area of pierced metal
由图12可知,当穿孔区金属达到稳态温度时,平行双导线观测点P1上金属铝、铁的温度分别为28.2℃与32.8℃,验证了金属铁上的涡流损耗大于金属铝上的涡流损耗,与仿真结果相对应。同时与平行双导线结构相比,本文所提双向多芯线传输线结构下观测点P1的温度均有所下降。其中,导线洞穿区邻近金属为铝时下降了3.3℃,而邻近金属为铁时下降了5.2℃。该结果表明,本文所提磁场自抑制多线芯结构能有效地降低导线穿孔区金属上的涡流损耗。P1处温度的实验值和仿真值对比如图13所示。从图13中可以看出,P1处温度仿真值与实验值之间的误差相对较小,最大误差量为实验值的4.88%。这表明了本文仿真模型计算的准确性,并进一步佐证了本文所提方法的有效性。需要注意的是,在实际大功率和高功率密度系统中,穿孔区邻近金属的温升情况将更为显著。此外,系统在金属穿孔工况下长期运行时,即便是在低功率条件下,随着时间的累积产生的涡流损耗亦不容忽视。综上所述,本文提出的双向多线芯传输线结构相比传统双平行导线能有效地降低导线洞穿金属对系统传输效能的影响,并抑制邻近金属上的涡流损耗与温升,从而提高整个系统长时间工作的能效性与安全性。
图13 P1处温度实验值和仿真值
Fig.13 Experimental and simulated temperatures at P1
本文针对旋转WPT系统导线洞穿金属影响问题,对常规平行双导线邻近金属内磁场与涡流损耗情况进行了分析,明确了减小导线洞穿金属影响的关键在于缩短导线洞穿区长度和削弱导线洞穿区金属内部的磁感应强度。基于上述理论,本文提出了一种基于磁场自抑制与电流路径分散原理的双向多线芯传输线结构,以减小系统谐振频率的偏移和金属上的损耗及发热问题。为验证所提方法的有效性,选取常用金属铝和铁为研究对象。仿真结果证实了本文所提抑制方法能有效地降低金属上的磁感应强度、涡流损耗与温升,同时具有一定的磁热均衡效果。实验结果显示,应用本文所提双向多线芯结构后,导线在铝和铁的影响下的效率分别提高了0.37和1.11个百分点;同时相较于传统平行双导线,金属铝观测点上的温度下降了11.7%,而金属铁观测点上的温度下降了15.9%。综上所述,本文所提抑制方法可为旋转WPT系统在洞穿金属环境下高效、安全地运行提供理论支持和技术参考,具有良好的工程应用前景。
参考文献
[1] 杨庆新, 张献, 章鹏程. 电动车智慧无线电能传输云网[J]. 电工技术学报, 2023, 38(1): 1-12.
Yang Qingxin, Zhang Xian, Zhang Pengcheng. Intelligent wireless power transmission cloud network for electric vehicles[J]. Transactions of China Electro- technical Society, 2023, 38(1): 1-12.
[2] 刘祺, 薛明, 章鹏程, 等. 基于无线充电系统的多模块扩展均压技术研究与设计[J]. 电工技术学报, 2024, 39(22): 6980-6989.
Liu Qi, Xue Ming, Zhang Pengcheng, et al. Modular extensible voltage equalization based on wireless charging system[J]. Transactions of China Electro- technical Society, 2024, 39(22): 6980-6989.
[3] 黄文聪, 饶天彪, 蒋煊焱, 等. 无线电能传输系统最大效率追踪及恒压输出复合控制方法[J]. 电工技术学报, 2024, 39(12): 3589-3601, 3615.
Huang Wencong, Rao Tianbiao, Jiang Xuanyan, et al. Maximum efficiency tracking and constant voltage output compound control method for wireless power transfer system[J]. Transactions of China Electro- technical Society, 2024, 39(12): 3589-3601, 3615.
[4] 周玮, 郑宇锋, 陈泽林, 等. 基于副边解耦极板的电容式无线电能传输系统拾取端失谐评估[J]. 电力系统自动化, 2024, 48(3): 142-149.
Zhou Wei, Zheng Yufeng, Chen Zelin, et al. Detuning estimation of pickup loop in capacitive wireless power transfer system based on secondary-side decoupled capacitive coupler[J]. Automation of Electric Power Systems, 2024, 48(3): 142-149.
[5] 程志远, 宋晓逸, 吴晓婷, 等. 无线充电系统旋转式电磁耦合器损耗计算及热点温度研究[J]. 电工技术学报, 2024, 39(7): 1932-1942, 1956.
Cheng Zhiyuan, Song Xiaoyi, Wu Xiaoting, et al. Loss calculation and hot spot temperature research of rotary electromagnetic coupler in wireless charging system[J]. Transactions of China Electrotechnical Society, 2024, 39(7): 1932-1942, 1956.
[6] Wang Longyang, Li Jiangui, Luo Guangbin, et al. A mixed flux coupler and dual-path parallel compensa- tion based rotating wireless power transfer system integrated with rotational speed monitoring function [J]. IEEE Transactions on Power Electronics, 2024, 39(6): 7736-7751.
[7] Yuan Wenjiang, Zhang Xian, Sha Lin, et al. A method of metal interference suppression by circular internal flux for rotating wireless power supply system[J]. IEEE Transactions on Electromagnetic Compatibility, 2024, 66(3): 809-820.
[8] 闫孝姮, 李洪蕾, 陈伟华, 等. 金属环境对谐振式无线电能传输系统的影响分析[J]. 测控技术, 2017, 36(12): 131-136.
Yan Xiaoheng, Li Honglei, Chen Weihua, et al. Effect analysis of metal environment on magnetic resonant wireless power transmission system[J]. Measurement & Control Technology, 2017, 36(12): 131-136.
[9] 钟再敏, 勾越, 秦一进. 基于MCR-WPT的电励磁同步电机研究[J]. 电机与控制应用, 2018, 45(8): 39-44.
Zhong Zaimin, Gou Yue, Qin Yijin. Research on electrically excited synchronous motor based on MCR- WPT[J]. Electric Machines & Control Application, 2018, 45(8): 39-44.
[10] Liang H W R, Wang Hanwei, Lee C K, et al. Analysis and performance enhancement of wireless power transfer systems with intended metallic objects[J]. IEEE Transactions on Power Electronics, 2021, 36(2): 1388-1398.
[11] Huangfu Youpeng, Di Rienzo L, Wang Shuhong. Frequency-dependent multi-conductor transmission line model for shielded power cables considering geometrical dissymmetry[J]. IEEE Transactions on Magnetics, 2018, 54(3): 1-4.
[12] 兰天, 冯平法, 张建富, 等. 超磁致伸缩换能器涡流损耗及温升抑制研究[J]. 机械工程学报, 2022, 58(21): 243-249.
Lan Tian, Feng Pingfa, Zhang Jianfu, et al. Eddy current loss and thermal control of giant magnetostric- tive transducer[J]. Journal of Mechanical Engineering, 2022, 58(21): 243-249.
[13] 佟文明, 杨先凯, 鹿吉文, 等. 双层永磁体结构高速永磁电机转子涡流损耗解析模型[J]. 电工技术学报, 2024, 39(20): 6293-6304.
Tong Wenming, Yang Xiankai, Lu Jiwen, et al. Rotor eddy current loss analytical model for high-speed permanent magnet motor based on double layer permanent magnet structure[J]. Transactions of China Electrotechnical Society, 2024, 39(20): 6293-6304.
[14] 亓冬. 双绞线测试技术综述[J]. 数字通信世界, 2021(3): 112-113.
[15] Zhu Junjie, Hou Yafei, Nagayama K, et al. Capacity loss from localization error in MIMO channel using leaky coaxial cable[J]. IEEE Access, 2021, 9: 15929- 15938.
[16] Abou Houran M, Yang Xu, Chen Wenjie. Design of a cylindrical winding structure for wireless power transfer used in rotatory applications[J]. Electronics, 2020, 9(3): 526.
[17] 樊群, 李永江. 高电压大电流柔性脉冲功率同轴电缆设计[J]. 电线电缆, 2024(1): 15-20.
Fan Qun, Li Yongjiang. Design of flexible impulse coaxial cable with high voltage and high current[J]. Wire & Cable, 2024(1): 15-20.
[18] 王奉献, 张献, 杨庆新, 等. 基于相差调控的无线电能传输系统耦合机构结构电磁力的平抑[J]. 电工技术学报, 2022, 37(1): 141-151.
Wang Fengxian, Zhang Xian, Yang Qingxin, et al. Electromagnetic force suppression of the coupling mechanism structure of WPT system based on phase difference control[J]. Transactions of China Electro- technical Society, 2022, 37(1): 141-151.
[19] 付启明, 易鹭, 曲德宇, 等. 变电站穿墙套管板的电磁仿真及优化方法[J]. 广东电力, 2019, 32(4): 119-124.
Fu Qiming, Yi Lu, Qu Deyu, et al. Electromagnetic field simulation and optimization method for substation wall bushing plate[J]. Guangdong Electric Power, 2019, 32(4): 119-124.
[20] 田淑均, 王恩德, 罗印, 等. 电缆穿墙金属套管发热影响因素及抑制方法研究[J]. 变压器, 2022, 59(3): 23-30.
Tian Shujun, Wang Ende, Luo Yin, et al. Influencing factors and suppression methods study on heat generation from steel pipes of cables through walls[J]. Transformer, 2022, 59(3): 23-30.
[21] 佟文明, 杜绍雨, 贾建国, 等. 基于改进复相对磁导函数的开槽轴向磁通永磁电机气隙磁场解析模型[J]. 电工技术学报, 2024, 39(24): 7700-7711.
Tong Wenming, Du Shaoyu, Jia Jianguo, et al. Analytical model of air-gap magnetic field of slotted axial flux permanent magnet motor based on improved complex relative permeance function[J]. Transactions of China Electrotechnical Society, 2024, 39(24): 7700-7711.
Abstract Rotating wireless power transfer (WPT) systems face challenges of wires penetrate metal components in practical engineering applications, such as shifts in circuit parameters and increases eddy current losses within the metal, leading to localized overheating and reduced long-term operational safety. Existing mitigation methods suffer from limitations in high-frequency applications, mechanical durability, or spatial constraints. This study main aims to propose and validate a bidirectional multi-core transmission line structure to suppress magnetic field intensity near metal perforations, thereby reducing eddy current losses and thermal effects while maintaining system efficiency.
Firstly, the impact factor of conventional bidirectional wires penetrating metal on system circuit parameters and metal losses were analyzed. According to impact factor, a bidirectional multi-core transmission line structure was designed. The proposed transmission line structure is designed under the condition that the total number of individual conductors remains constant. Each of the two unidirectional conductors is divided into multiple bundles of equal strand count, and then these bundles are arranged in an interleaved pattern with opposing current directions. This configuration effectively attenuates the self-generated magnetic fields of individual conductors while enabling mutual field cancellation, thereby significantly reducing eddy current losses in metallic components. Finite element analysis was employed to simulate magnetic flux density, eddy current distribution, and temperature rise in aluminum and iron under two configurations: conventional parallel dual-wire and the proposed multi-core structure. Finally, an experimental platform was constructed to validate the simulations, measuring system transmission efficiency and temperature changes on the adjacent metal.
Simulation results confirm that the proposed bidirectional multi-core transmission line structure can effectively reduce the adjacent metals’ magnetic flux density, eddy current loss, and temperature rise, while also exhibiting a certain degree of magnetothermal equilibrium effect. Experimentally, the multi-core structure mitigated efficiency degradation caused by metal penetration: efficiency declined by only 0.50% (aluminum) and 0.87% (iron), outperforming the dual-wire structure’s 0.92% and 2.15% drops. Temperature suppression at the monitoring point (P1) reached 11.7% for aluminum and 15.9% for iron, aligning closely with simulation predictions (maximum error: 4.88%).
This study demonstrates that the critical factors for mitigating wire-penetrated metal impact are: (1) minimizing the perforation length of penetrated metals and (2) reducing the magnetic flux density within the penetration zone. Through the proposed bidirectional multi-core transmission line structure effectively suppresses magnetic flux density, further reducing penetrated metals’ eddy currents and thermal impacts. By dispersing current paths and enabling magnetic self-cancellation, the method reduces magnetic coupling with adjacent metals, minimizes eddy current loss, stabilizes system resonance, and enhances transmission efficiency. Therefore, using the above methods effectively mitigates the impact of metal penetration on the rotating WPT system. Besides, the proposed method’s compatibility with common metals like aluminum and iron, combined with its scalability for high-power applications, demonstrates significant engineering applicability.
keywords:Wireless power transfer, rotary supply, penetrating metal impact, magnetic field self-suppression, eddy current loss, magnetothermal equilibrium
DOI: 10.19595/j.cnki.1000-6753.tces.241919
中图分类号:TM724
国家自然科学基金面上项目(52477005)、河北省燕赵青年科学家项目(E2024202109)、中央引导地方科技发展资金项目(236Z5201G)、天津市自然科学基金重点项目(22JCZDJC00620)、河北省产学研合作专项(CXY2024010)和河北省省级科技计划项目(24464401D)资助。
收稿日期 2024-10-25
改稿日期 2025-02-11
魏义泽 男,2000年生,博士研究生,研究方向为无线电能传输技术。E-mail: 202511401026@stu.hebut.edu.cn
张 献 男,1983年生,博士生导师,研究方向为工程电磁场与无线电能传输技术。E-mail: zhangxian@hebut.edu.cn(通信作者)
(编辑 李 冰)