摘要 环氧树脂是电力设备与电子元器件的常用封装材料,其在电热耦合场下的局部放电(PD)和电树枝是制约设备安全稳定运行的重要因素。该文首先设计了一种用于研究印制电路板(PCB)与环氧灌封材料界面电树枝的V形双层试样,分析了电树枝生长与局部放电之间的关系。通过比较生长过程中相位分辨局部放电(PRPD)谱图和电压差(dV)图的变化,发现随着电树枝长度的增加,PRPD谱图会从翼状转变为翼状和乌龟状的混合图案,dV图的大小则会呈现减小的趋势。然后研究了层间电树枝生长不同阶段的局部放电特性和电树枝生长特性,并且基于局部放电脉冲序列分析估计了非导电树生长过程中的局部放电起始电压(VI)和局部放电熄灭电压(VX),发现随着电树枝长度的增加,VI与VX会呈现整体下降中间波动的趋势;同时发现在电树枝生长初期,电树枝长度与放电幅值、VI-VX之间存在一定的比例关系,并能仅基于局部放电脉冲序列分析有效评估电树枝的长度。
关键词:环氧树脂 界面 电树枝 局部放电 局部放电起始电压
随着电力电子技术在能源、电力、交通、军事等领域的应用越来越广泛和深入,对电力电子装置的功率密度、效率和成本等方面的要求也在不断提升,传统材料的绝缘性能已经越来越难以满足现有需求。而且SiC、GaN等宽禁带器件的出现,使得电力电子器件的绝缘强度更加难以适应[1]。环氧树脂作为电力设备、电子元器件的常用封装材料,既要承受开断过程的过电压,又要起到一定的机械支撑作用,长时间使用下往往会出现类似图1所示的绝缘损伤失效情况[2],因此其绝缘性能尤为关键。环氧树脂在电热耦合场下的局部放电(Partial Dis- charge, PD)和电树枝是制约设备安全稳定运行的重要因素,因此,对于电树枝生长过程的放电特性研究就显得尤为重要。
图1 功率模块内部的绝缘损伤[2]
Fig.1 Insulation damage inside the power module[2]
局部放电被认为是引发并促进电树枝生长的重要原因,随着对电热应力作用下绝缘材料特性的深入研究,T. Tanaka等提出电荷的注入和抽出诱发电树枝起始的理论,指出电子反复注入-抽出过程中部分电子获得较高能量导致分子链裂解而引发电树 枝[3-4];C. Laurent等提出电树枝引发的光降解理 论[5];基于此理论,Y. Sekii等通过引入光稳定剂吸收释放的光子抑制电树枝引发[6];K. H. Stark等通过绝缘介质内部的麦克斯韦应力与材料变形应力的关系界定临界击穿场强,提出高温作用下聚合物击穿的麦克斯韦电-机械应力论[7];D. W. Auckland等从电应力的角度提出电树枝的起始原因[8-9]。另外,有许多文献对电树枝生长的影响因素进行了研究[10-19]。郑书生等研究了电树枝起树后电压幅值对于放电和电树枝形貌的影响,发现电压越高电树枝形貌越倾向于丛状,电压越低电树枝形貌越倾向于枝状或单枝状[10];陈向荣等研究了高温环境下电压稳定剂对交联聚乙烯电树枝化及局部放电特性的影响,发现电压稳定剂使得试样内部陷阱能级降低,陷阱密度增加,耐电性能提升[11];张雯嘉等通过对聚丙烯接枝甲基丙烯酸甲酯提高了电树枝的耐受性,并通过接枝引入大量深陷阱,减小球晶尺寸,抑制载流子的输运行为,进而抑制电树枝的生长[12];程子霞等研究了纳米MgO对于环氧树脂电树枝生长的影响,发现纳米MgO/环氧树脂复合材料的耐电树枝性能随着纳米颗粒填充量的增加而提高,其介电常数的减小和陷阱能级的加深降低了载流子的迁移率和浓度,进而提高了耐电树性[13];杜伯学等研究了低压和盐雾对印制电路板(Printed Circuit Board, PCB)表面铜线电极间击穿电压、放电的影响[14-15],发现低压会增加击穿电压和击穿时间,放电起始电压随着盐雾电导的增加而减小;孟国栋等研究了单脉冲和重复脉冲下互连铜线击穿特性,发现击穿电压随着铜线间隔、脉冲宽度的增加而增加,并随着脉冲频率和脉冲持续时间的增加而减少[16];李进等研究了水分对玻璃纤维增强环氧树脂的电树枝生长特性的作用规律,发现水分侵入会导致环氧与玻纤界面处产生离子交换,破坏界面化学键,并且增加界面处相对介电常数导致电场畸变,加剧界面劣化[17];王旗等研究了微/纳米氧化铝对于环氧树脂电树枝的抑制特性,其中微米氧化铝对于环氧树脂的电树枝抑制比较明显,而纳米氧化铝的影响不显著,随着微/纳米氧化铝比例的增加,电树枝生长的抑制效果更强[18];杨国清等研究了超支化聚酯界面修饰对纳米SiO2/环氧树脂复合材料电树枝生长特性的影响,发现等离子体辅助接枝改性提高了复合材料界面结合强度,由于引入了深陷阱,进而改善了纳米SiO2/EP复合材料的电树枝生长特性[19]。除此之外,还有一些文献对于电树枝的生长特性与放电特性进行了研究[20-25]。E. Zeynali等研究了在有不同污染物存在的情况下,涂有保形涂层的PCB的局部放电特性,发现污染位置对于放电的影响很大,远离铜线的污染对放电程度不会有影响,而在铜线保形层上方的污染则会降低局部放电起始电压[20];程金金等采用光电联合检测法研究了正极性重复方波电压下有机硅凝胶内的局部放电起始特性,发现局部放电起始电压随脉冲上升时间变化不大,起始电压在100 Hz下存在极小值[21];S. Nakamura等研究了温度对环氧树脂/二氧化硅纳米复合材料中树木生 长和相位分辨局部放电(Phase-Resolved Partial Discharge, PRPD)谱图的影响,发现随着温度的升高,质量分数为0%和5%样品中的电树枝形貌从树枝状变为灌木状,抑制电树枝的纳米颗粒效应更有可能发生在高温情况[22];Wang Yongqiang等研究了多层环氧浸纸的电树枝生长和放电特性,发现电树枝不同生长阶段存在特定的放电模式,每个正半周期的放电次数显著大于负半周期[23];吕泽鹏等研究了树木早期繁殖过程中PD特征的演变,发现树通道中的PRPD谱图可以被视为翼状和乌龟状模式之一或两者的组合,在PRPD谱图中,PD幅值在每半个周期内随着相位的增加而增加,进而形成翼形[24-25]。
目前环氧树脂多层结构中界面处的电树枝绝缘和局部放电仍需进一步研究,本文利用环氧灌封的PCB作为多层试样,研究了环氧树脂与PCB界面V形电极上电树枝的生长与局部放电特性;通过放电序列分析法,对电树枝生长过程中的放电电压差(dV)特性进行了表征;并且进一步通过放电序列分析法探究了电树枝长度与局部放电起始电压VI、局部放电熄灭电压VX、放电幅值之间的关系,并基于非导电电树枝模型提出了相应的解释。
试样采用V形电极,一方面模拟PCB内部走线刻蚀留下的尖端问题;另一方面也可以加强局部电场,方便电树枝生长。试样结构的正视图和侧切面图如图2所示。试样主要包含两个部分,底部采用生益科技有限公司提供的覆铜板,覆铜板材料主体是玻璃纤维增强环氧树脂,铜线的高压端采用V形结构,角度为30°,接地的铜线采用直线,V形的尖端处与地线之间的距离为2 mm;顶部采用HASUNCAST公司的3013型环氧封装材料,其中包含A和B两个组分,两种材料的质量比为3
1。双层结构的试样制作流程如下:首先将环氧灌封胶的A、B组分按3
1的质量比混合,磁力搅拌10 min;然后,在常温下抽真空10 min,将订制的覆铜板固定在80 mm×80 mm×1 mm的模具底部,将环氧灌封胶注入模具,再抽真空10 min;最后,放入80℃烘箱中固化4 h。其中覆铜板厚度为0.3 mm,铜线厚度为0.01 mm、宽为2 mm,灌封后试样的厚度为1 mm。
图2 试样结构的正视图和侧切面图
Fig.2 The front view and side view of the PCB sample
电树枝-局部放电测试系统电路示意图如图3所示,测试基于标准IEC 60270:2000进行。直流光源用于提供背光。MPD600用于局部放电测试,相机镜头采用4倍放大镜头,相机的视场为3.5 mm× 2.6 mm。
图3 电树枝-局部放电测试系统电路示意图
Fig.3 The schematic of PD and tree test circuit
试验开始前,先对电树枝-局部放电测试系统进行校准。然后采用逐步升压的方式,为降低电压上升速率对于电树枝起始的影响,每次升压速率保持不变,均为1 kV/s。考虑到电树枝起始存在潜伏期,在逐步升压的过程中每个电压等级耐压10 min,直到观察到电树枝的生长。试验过程中发现电树枝在起树电压下偶尔会发生击穿的现象,因此在电树枝起始后将电压调低至12 kV,观察电树枝的生长及局部放电的变化。定义电树枝平行于V形对称轴方向的最大距离为电树枝长度。
起树后试样在12 kV下耐压直至被击穿,电树枝在不同时刻的形貌如图4所示,可见电树枝主要是枝状电树枝,与针-板电极所形成的电树枝相似。电树枝生长在环氧胶与环氧基板的界面附近,大部分电树枝分支生长在环氧胶中。靠近针尖附近电树枝的分支较少,靠近地电极附近的电树枝分支更多,这可能是由于电树枝通道的电场在靠近地电极时受其感应电场的影响更大,放电产生的残余电荷使得电树尖端的电场分布更加复杂,电树枝分支的生长方向则更加不固定。在生长过程中,电树枝长度、宽度以及分形维数的变化如图5所示。电树枝的长度和宽度基本随着时间增长而增加,但在28~36 min时,长度基本保持不变,这是由于另一分支的电树枝在快速生长;电树枝的分形维数也逐渐增大,在达到1.64时发生击穿。
图4 不同时刻的电树枝形貌
Fig.4 Electric tree morphology at different times
图5 电树枝长度、宽度与分形维数的变化规律
Fig.5 The trend of electric tree length, width and fractal dimension
电树枝生长过程的放电幅值与电树枝长度的对比如图6所示。由图6可知,放电幅值先随着时间增长而逐渐增加,然后在5 min左右时下降,在28 min时继续增加,此时对应电树枝另一分支的快速生长,之后放电幅值经历下降到升高再下降的过程,最后一直升高直至试样被击穿。
图6 外施电压12 kV下电树枝长度与放电幅值随时间的变化
Fig.6 The trend of PD magnitude and tree length when the applied voltage is 12 kV
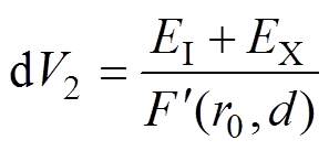
电树枝生长过程中不同时刻的PRPD谱图如图7所示。选取放电逐渐增加过程中的PRPD谱图可以看到,在电树枝开始生长阶段,放电幅值逐渐增加,放电次数也逐渐增加。在4 min时放电呈翼状,具有对称的正负半周期放电,放电次数也有所增加。文献[26]中解释了这种翼状放电形成的原因,是由放电在较长电树枝通道内的传播特性导致的,每次放电结束后的残余电荷将改变远离针尖部分的电场,从而使下次放电传播得更远,进而在PRPD谱图上显示出翼状图案[26]。80 min的PRPD谱图类似翼状和乌龟状放电图案的叠加,这可能是由于此时电树枝生长接近地电极,电树枝内部的电场受感应电荷的影响更大,电树枝的细小分支更多,使得放电谱图呈现极其复杂的形式。为进一步对放电发生时的外施电压变化进行分析,依次对相邻两次放电发生时对应的外施交流电压值求差,得到电压差dV。以第i-1次与第i次放电的外施电压的差值——dV(i-1)为x轴,以第i次放电和第i+1次放电的外施电压的差值——dV(i)为y轴,得到电树枝不同生长阶段的dV图如图8所示。虽然dV模式随着电树枝的生长而变化,但在每种情况下最多有四个特征电压差[27]。这四个特征电压差可以被视为两对,每对都有近似的绝对值,但符号相反。绝对值较小的一对被定义为dV1和-dV1;绝对值较大的一对被定义为dV2和-dV2。通过检查相位分布可发现,dV1对应于相同上升半周期内局部放电之间的电压差,-dV1对应于相同下降半周期中局部放电之间的电压差;而dV2对应于下降半周期中最后一个PD和下一个上升半周期中第一个PD之间的电压差,-dV2对应于上升半周期中最后一个PD和下一个下降半周期中第一个PD之间的电压差。从图8可以看到,dV图在电树枝开始生长时呈现菱形,意味着每个上升或下降半周期中最多有2次放电;之后dV图都呈现双钩六边形,意味着在每个上升或下降半周期中,至少有3次放电。这表明随着电树枝的生长,电树枝更容易放电。随着电树枝的进一步生长,dV图中的dV1逐渐向坐标轴原点靠拢,80 min时在坐标轴原点汇聚;dV2也从4 min时的7~8 kV逐渐减小至80 min时的5 kV,这也意味着电树枝的放电更容易发生,材料的绝缘性能进一步劣化。
图7 电树枝生长不同时刻的PRPD谱图
Fig.7 The PRPD patterns of electric tree growth at different times
图8 电树枝生长不同时刻的dV图
Fig.8 The dV plots of electric tree growth at different times
文献[26]从放电引起的空间电荷积累的角度阐述了放电特性:在一次放电过程中,当局部电场强度超过放电的起始电场强度EI时,电子崩产生;当局部电场强度下降至低于放电的熄灭电场强度EX时,电子崩熄灭。放电过程中,电树枝通道内会产生空间电荷,并降低电场强度,直到电树枝内的电场强度下降至EX以下,放电停止。若电树枝通道导电,则针尖能够注入更多的空间电荷,电树枝通道内部的空间电荷积聚和迁移会使电场的分布变得非常复杂,因此后续讨论主要在非导电电树枝中,并提出三点假设:①电树枝通道不导电,并且在放电发生后没有电荷沿着树枝通道流动;②针尖与电树枝连接处不会发生电荷注入;③所有的局部放电都是从针尖开始的。基于假设①和②,电树枝内部通道的电荷均由局部放电产生,电树枝内部的空间电荷分布在两次放电之间可以认为是固定的,这样在前一次放电发生后和下一次放电发生前由电树枝通道内的空间电荷和电极上的感应电荷引起的泊松电场强度保持不变。
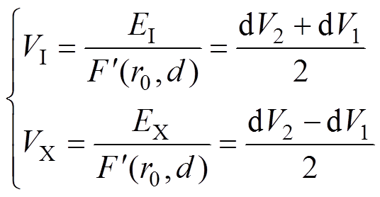
以上升的正半周期为例,当在时间点t1施加的电压为V1时,发生第N次放电;当在时间点t2施加的电压为V2时,发生第N+1次放电,放电发生前后电树枝中电场强度和电势分布如图9所示。图9中,d1为局部放电在V1下传播的物理长度;虚线为放电前,实线为放电后,红色点画线为外部电场导致的电势增量。由图9可知,在第N次和第N+1次放电过程中,电势和电场分布经历了三个变化阶段。第N次局部放电前的电势和电场分布如图9a中虚线所示。从x=0的针尖到x=D的树尖,电势和电场都会降低。在x=0处,电势总是等于外施电压。当针尖处的电场强度高于EI时,放电发生,并产生双极性电荷。电子和负离子向正针尖加速,随后在针处被抽出(电子)或中和,而正离子则向树尖移动。空间电荷分布的作用是削弱针尖周围的电场,直到电场强度低于EX,局部放电不再发生,此时的电场和电势分布如图9a中实线所示。根据文献[28]中的分析,放电发生后,x=0~d1之间的电场强度为EX。在第N次放电发生后,外施电压持续增加,该区域的电场强度也随之增加[28]。根据假设①和②,树通道内没有电荷注入、抽出或移动,由空间电荷引起的电势分布V(x, t1)和电场分布E(x, t1)不会改变。因此,根据叠加原理,当施加电压增加到V2时,电势的变化为DV(x),电场强度的变化为DE(x)。仅由dV1引起的电场分量如图9b中红色点画线所示。放电结束后的电势分布V(x, t2)和电场分布E(x, t2)是t1时刻的电场强度和dV1引起的电场强度变化的总和。电场强度最大值仍在针尖处,如图9b中实线所示。如果在t2时刻发生放电,则针尖处的电场强度必须从EX增加到EI,施加的电压差dV1对应于EI-EX的电场强度增加。
图9 放电发生前后电树枝中电场强度和电势分布
Fig.9 Distribution of electric field strength and potential in the electric tree before and after discharge
针尖处的电场强度E为
(1)
式中,Vap为施加的电压;r0为针尖的半径;d为针电极和板电极之间的距离;
为针尖处电场强度与电势相关的函数。针尖处电场强度随外施电压线性增加,因此可得
(2)
式中,
为仅与针-板结构相关的函数。由于叠加原理适用于电场强度和电势,有
(3)
式中,dVap为电势差;dE是由电势变化引起的针尖处的电场强度变化。因此,当针尖处的电场强度从EX增加到EI时,电势差为
(4)
如果局部放电起始电场强度EI和局部放电熄灭电场强度EX不随时间变化而变化,则相同上升半周期内放电之间的电势差是恒定的。局部放电的相位、时间和放电幅值不会影响同一上升半周期内放电之间的电势差。对于下降半周期内的连续放电也相同,电势差应为-dV1。
基于上述方法也可以推导出电压上升阶段到下降阶段放电的电势差为
(5)
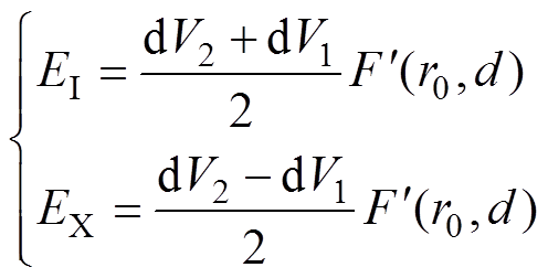
则局部放电起始电场强度EI和熄灭电场强度EX可联立式(4)、式(5)得出,即
(6)
进一步地,局部放电起始电压VI和熄灭电压VX分别表示为
(7)
需要强调的是,局部放电起始电压和熄灭电压是基于非导电电树枝的特性推导出的,当电树枝通道的导电性足够强,电树枝内部的电荷迁移对于电树枝内部电场的影响不能忽略时,VI与VX的值则不能反映电树枝的本征放电特性。
由于放电会受到电树枝通道内气体含量和放电条件(如气体压力、温度和电导率)的影响,其放电起始电压和熄灭电压会不断变化,通过式(7)可以观测其变化情况,得到电树枝生长过程局部放电起始电压VI和熄灭电压VX的变化情况如图10所示。从电树枝开始生长到8 min左右时,VI和VX逐渐下降,伴随着放电次数的增加和放电幅值的增加,电树枝内的残余电荷也增加,这些电荷形成的泊松电场改变了电树枝通道内的电场分布,从而降低了dV;而且随着电树枝的生长以及放电的不断发生,此时电树枝通道内部温度增加,这也会进一步降低放电的起始电场强度。在8~25 min这段时间内,VI和VX逐渐增加,这可能是由于电树枝生长过程中材料大量炭化以及放电在短时间内产生大量能量导致环氧树脂汽化,进一步增加了电树枝通道内的压力。随着电树枝的进一步生长,VI和VX逐渐下降,之后反复变化,但考虑到生长后期电树枝形貌的复杂性,且放电在不同分支的传播特性不同,计算出的VI和VX波动较大。
图10 电树枝生长过程中VI与VX的变化
Fig.10 Changes in VI and VX during the tree growth
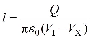
进一步对电树枝长度与放电量之间的关系进行分析,得到电树枝长度l、dV1(即VI-VX)以及放电幅值Q随时间的变化如图11所示。可以看到从开始生长到230 s的时间内,放电幅值与dV1近似呈线性相关,而当电树枝生长到一定程度后,由于分支增多,放电在不同分支中具有一定的随机性,因此通过电树枝长度不能很好地与放电关联。进一步探究放电幅值与电树枝长度、dV1的关系,计算出Q与ldV1的比值如图12所示,其中虚线数值为pe0(e0为真空的介电常数),可以看到得到的比值基本在pe0附近。图13为通过式(8)计算的电树枝长度与实际结果的对比,可以看到估算结果与实际的电树枝长度很接近。
图11 电树枝生长初期电树枝长度、dV1和放电幅值的变化
Fig.11 The trend of electrical tree length, dV1, and PD magnitude during the early stage of electrical tree growth
图12 放电幅值与电树枝长度和dV1的比值
Fig.12 Ratio of PD magnitude to electrical tree length and dV1
(8)

图13 电树枝估算长度与实际长度的对比
Fig.13 Comparison of estimated and actual electrical tree length
为进一步解释Q、l和dV1三者间的比值关系,在考虑单通道电树枝的情况下,以针尖为坐标轴原点,电树枝长度为l0,当外施电压为V1时,电树枝内部的电场可以分为两部分:外施电压引起的Laplace场EA1以及电树枝内部电荷引起的电场EQ。放电发生后,电树枝内部的剩余电场会下降至Er,此时电场间的关系可以表示为
(9)
式中,E1为外施电压为V1时放电发生后电树枝内部的电场强度。
当电压升高至V2时,电树枝内部的电场分布同样可以认为由两部分组成。由于电树枝为非导电电树枝,电树枝内壁电荷的迁移忽略不计,也就意味着残余电荷在电树枝内部引起的电场分布不变,则有
(10)
式中,
为外施电压为V2时放电发生前的电场强度;EA2为由外施电压V2引起的Laplace场。放电发生后,电树枝内部的电荷重新分布,电树枝内部电荷引起的电场变为
,而外施电压贡献的电场分量不变,有
(11)
假设当放电发生后,电树枝内部的剩余电场均为Er[26],即可以认为E2近似等于E1。
放电发生后电树枝内部的电场E2同样由两个部分组成:外施电压V2引起的电场以及电荷引起的电场。放电发生前后外施电压保持不变,故由外施电压引起的电场分布保持不变;而放电在电树枝通道内产生新的电荷,则由电荷引起的电场会发生变化。
设第1次放电后,位置r处的电场强度为E1(r);第2次放电前,位置r处的电场强度为E2-(r);第2次放电后,位置r处的电场强度为E2(r),则位置r处的放电电荷量为
(12)
式中,Qr为在r处引起放电产生的电荷量;C0为电树枝在r处的等效电容。
由于电树枝内的电场分布由外施电压引起的电场和内部电荷引起的电场两部分组成,而电树枝内部电荷引起的电场在第1次放电后到第2次放电前没有变化,则有
(13)
式中,EA2(r)为外施电压V2在r处引起的电树枝内部电场;EA1(r)为外施电压V1时在r处引起的电树枝内部电场。第2次放电的电荷量Q2可以认为是整个电树枝通道内所有位置电荷的总量,表示为
(14)
式中,V2(l0)为外施电压V2在电树枝尖端的电势;V1(l0)为外施电压V1在电树枝尖端的电势;V2(0)和V1(0)分别为外施电压V2和V1时针尖处的电势,即V2和V1。由于电树枝尖端距离电极足够远,可以认为电树枝尖端的电势在外施电压变化时相差不大,有V2(l0)-V1(l0)=0,则第2次放电的电荷量近似为
(15)
式中,V2-V1为两次放电的电压差,这与图11中放电与电压差的线性关系相对应。C0作为电树枝的结构参数,与电树枝长度相关,由于电树枝结构的复杂性,很难确定其具体表达式。
实际的电树枝往往存在多个分支,电树枝内部的PD是一个随机过程,每次放电的传播路径也不尽相同,并且每次放电也不能覆盖所有的电树枝。因此,基于公式计算的最大放电传播长度可以等于、但更可能小于电树枝的总长度。由于放电可以拓展到多个分支中,因此放电传播的长度大于电树枝的最大长度。在复杂分支的电树枝结构中,最大放电幅值对应的放电传播长度应大于最大电树枝长度且小于总的电树枝长度。基于脉冲序列分析,放电幅值、VI-VX与电树枝长度之间的关系为仅使用放电信息评估非导电电树枝或缺陷提供了一种新方法。该方法可以定量分析电力设备中缺陷的大小,对PCB相关设备的检测具有很强的应用前景。
本文设计了一种用于研究PCB与环氧胶界面电树枝的V形双层试样,分析了电树枝生长与局部放电之间的关系。通过分析电树枝生长过程放电的PRPD谱图和dV图,研究了层间电树枝生长不同阶段的局部放电特性和电树枝生长特性;估计了非导电电树枝生长过程中的局部放电起始电压(VI)和局部放电熄灭电压(VX);进一步研究了非导电电树枝中放电与电树枝之间的关系,并解释了非导电电树枝中电树枝长度与放电幅值、VI和VX之间的关系。结论如下:
1)在较低电压下,PCB与环氧胶中的电树枝和放电特性与针-板电极相似,分析局部放电脉冲序列发现,电树枝生长过程的VI和VX整体下降,中间有波动。
2)在电树枝生长前期,放电幅值、VI -VX和电树枝长度呈线性关系,放电幅值与VI -VX和电树枝长度的比值近似等于一个常数,接近pe0。
3)基于非导电电树枝的窄通道局部放电模型,解释了放电幅值、VI -VX和电树枝长度的线性关系,并且基于此提出可以估算电树枝长度的方法。
参考文献
[1] 盛况, 董泽政, 吴新科. 碳化硅功率器件封装关键技术综述及展望[J]. 中国电机工程学报, 2019, 39(19): 5576-5584, 5885.
Sheng Kuang, Dong Zezheng, Wu Xinke. Review and prospect of key packaging technologies for silicon carbide power devices[J]. Proceedings of the CSEE, 2019, 39(19): 5576-5584, 5885.
[2] 王来利, 赵成, 张彤宇, 等. 碳化硅功率模块封装技术综述[J]. 电工技术学报, 2023, 38(18): 4947- 4962.
Wang Laili, Zhao Cheng, Zhang Tongyu, et al. Review of packaging technology for silicon carbide power modules[J]. Transactions of China Electrotechnical Society, 2023, 38(18): 4947-4962.
[3] Tanaka T. Charge transfer and tree initiation in polyethylene subjected to AC voltage stress[J]. IEEE Transactions on Electrical Insulation, 1992, 27(3): 424-431.
[4] Tanaka T, Greenwood A. Effects of charge injection and extraction on tree initiation in polyethylene[J]. IEEE Transactions on Power Apparatus and Systems, 1978, PAS-97(5): 1749-1759.
[5] Laurent C, Mayoux C, Noel S. Mechanisms of electroluminescence during aging of polyethylene[J]. Journal of Applied Physics, 1985, 58(11): 4346-4353.
[6] Sekii Y, Maruta K, Okada T. The effect of inclusions in XLPE insulations on electrical trees generated by AC and grounded DC voltage[C]//Proceedings of the 1998 IEEE 6th International Conference on Conductionand Breakdown in Solid Dielectrics, Vasteras, Sweden, 1998: 317-320.
[7] Stark K H, Garton C G. Electric strength of irradiated polythene[J]. Nature, 1955, 176(4495): 1225-1226.
[8] Auckland D W, Taha A, Varlow B R. Correlation of mechanical properties with electrical treeing behaviour at elevated temperatures[C]//Proceedings of IEEE Conference on Electrical Insulation and Dielectric Phenomena-(CEIDP '93), Pocono Manor, PA, USA, 1993: 636-641.
[9] Auckland D W. Mechanical aspects of electrical treeing[C]//IEE Colloquium on The Mechanical Influence on Electrical Insulation Performance, London, UK, 1995: 7/1-7/3.
[10] 郑书生, 张宗衡, 孔举, 等. 电树枝起树后电压幅值对生长形貌和局部放电特性的影响[J]. 绝缘材料, 2023, 56(3): 70-76.
Zheng Shusheng, Zhang Zongheng, Kong Ju, et al. Effect of voltage amplitude on growth morphology and partial discharge characteristics of electrical tree [J]. Insulating Materials, 2023, 56(3): 70-76.
[11] 陈向荣, 洪泽林, 朱光宇, 等. 高温下电压稳定剂对交联聚乙烯电树枝化及局部放电特性的影响[J]. 电工技术学报, 2023, 38(3): 577-586.
Chen Xiangrong, Hong Zelin, Zhu Guangyu, et al. Effect of voltage stabilizer on electrical treeing and partial discharge characteristics of crosslinked poly- ethylene at high temperature[J]. Transactions of China Electrotechnical Society, 2023, 38(3): 577-586.
[12] 张雯嘉, 王伟, 袁浩, 等. 接枝聚丙烯电缆绝缘材料的电树枝特性及机理[J]. 电工技术学报, 2024, 39(1): 88-98.
Zhang Wenjia, Wang Wei, Yuan Hao, et al. Electrical tree characteristics and mechanism of grafted poly- propylene cable insulation[J]. Transactions of China Electrotechnical Society, 2024, 39(1): 88-98.
[13] 程子霞, 邢威威, 张云霄, 等. 纳米MgO/环氧树脂复合材料的陷阱特性及对电树枝特性的影响研究[J]. 电工技术学报, 2022, 37(21): 5562-5569.
Cheng Zixia, Xing Weiwei, Zhang Yunxiao, et al. Study on trap properties of nano-MgO/epoxy resin composites and its influence on electrical tree properties [J]. Transactions of China Electrotechnical Society, 2022, 37(21): 5562-5569.
[14] Du Boxue, Liu Yong, Liu H J. Effects of low pressure on tracking failure of printed circuit boards[J]. IEEE Transactions on Dielectrics and Electrical Insulation, 2008, 15(5): 1379-1384.
[15] Du Boxue, Liu Yong, Gao Yu. Discharge inception on printed circuit board in an artificial fog[C]//The 17th Annual Meeting of the IEEE Lasers and Electro- Optics Society, Boulder, CO, USA, 2004: 555-558.
[16] Meng Guodong, Cheng Yonghong, Song Jianrui, et al. Breakdown characteristics of PCB paralleled traces injected by rectangular pulse[C]//Proceedings of 2011 International Symposium on Electrical Insulating Materials, Kyoto, Japan, 2011: 144-147.
[17] 李进, 赵仁勇, 陈允, 等. 水分含量影响玻璃纤维增强环氧树脂电树枝生长特性研究[J]. 电工技术学报, 2023, 38(5): 1166-1176, 1189.
Li Jin, Zhao Renyong, Chen Yun, et al. Effects of moisture contents on electrical treeing process in glass fiber reinforced epoxy resin[J]. Transactions of China Electrotechnical Society, 2023, 38(5): 1166- 1176, 1189.
[18] 王旗, 李喆, 尹毅, 等. 微/纳米氧化铝/环氧树脂复合材料抑制电树枝生长能力的研究[J]. 电工技术学报, 2015, 30(6): 255-260.
Wang Qi, Li Zhe, Yin Yi, et al. The effect of micro and nano alumina on the ability of impedance on the electrical tree of epoxy resin[J]. Transactions of China Electrotechnical Society, 2015, 30(6): 255-260.
[19] 杨国清, 刘庚, 王德意, 等. 超支化聚酯改性纳米SiO2/环氧树脂的电树枝生长特性[J]. 电工技术学报, 2020, 35(20): 4415-4422.
Yang Guoqing, Liu Geng, Wang Deyi, et al. Growth characteristics of electric tree for nano-SiO2/epoxy resin modified by hyperbranched polyester[J]. Trans- actions of China Electrotechnical Society, 2020, 35(20): 4415-4422.
[20] Zeynali E, Bridges R, Kordi B. Electrical insulation ofconformally coated printed circuit boards: an overview and a study of the influence of pollution[J]. IEEE Electrical Insulation Magazine, 2021, 37(2): 6-17.
[21] 程金金, 李学宝, 李超, 等. 正极性重复方波电压下有机硅凝胶内局部放电起始特性及影响因素研究[J]. 高压电器, 2024, 60(10): 183-190.
Cheng Jinjin, Li Xuebao, Li Chao, et al. Inception characteristics and influence factors of partial discharge in silicone gel under positive polarity repetitive square wave voltage[J]. High Voltage Apparatus, 2024, 60(10): 183-190.
[22] Nakamura S, Kumada A, Hidaka K, et al. Effects of temperature on electrical treeing and partial discharges in epoxy/silica nanocomposites[J]. IEEE Transactions on Dielectrics and Electrical Insulation, 2020, 27(4): 1169-1177.
[23] Wang Yongqiang, Feng Changhui, Luo Yu. The development of electrical tree discharge in epoxy resin impregnated paper insulation[J]. IEEE Access, 2020, 8: 69522-69531.
[24] Lv Zepeng, Rowland S M, Chen Siyuan, et al. Evolution of partial discharges during early tree propagation in epoxy resin[J]. IEEE Transactions on Dielectrics and Electrical Insulation, 2017, 24(5): 2995-3003.
[25] Lv Zepeng, Rowland S M, Chen Siyuan, et al. Modelling and simulation of PD characteristics in non- conductive electrical trees[J]. IEEE Transactions on Dielectrics and Electrical Insulation, 2018, 25(6): 2250-2258.
[26] Wu Kai, Suzuoki Y, Mizutani T, et al. A novel physical model for partial discharge in narrow channels[J]. IEEE Transactions on Dielectrics and Electrical Insulation, 1999, 6(2): 181-190.
[27] Lv Zepeng, Rowland S M, Chen Siyuan, et al. Modelling of partial discharge characteristics in electrical tree channels: Estimating the PD inception and extinction voltages[J]. IEEE Transactions on Dielectrics and Electrical Insulation, 2018, 25(5): 1999-2010.
[28] Suwarno, Suzuoki Y, Komori F, et al. Partial discharges due to electrical treeing in polymers: phase- resolved and time-sequence observation and analysis [J]. Journal of Physics D: Applied Physics, 1996, 29(11): 2922-2931.
Abstract With the increasingly widespread and in-depth application of power electronics technology, the requirements for power density, efficiency, and cost of power electronic devices are also constantly increasing. The insulation performance of traditional materials has become increasingly difficult to meet the needs. The partial discharge (PD) and electrical tree of epoxy resin under the electric-thermal environment are important factors that restrict the safe and stable operation of equipment, and the study of the PD characteristics during the growth process of electrical tree is particularly important. At present, there is a relative lack of research on the characteristics of electrical tree and PD in epoxy resin multilayer structures. Therefore, this paper uses epoxy encapsulated printed circuit boards (PCBs) as multilayer samples to study the characteristics of electrical tree growth and PD on V-shaped electrodes at the interface between epoxy resin and PCB.
Firstly, a sample was designed with a bottom made of copper-clad laminate, electrodes made of copper wire, and an upper layer made of epoxy encapsulation. The electrode structure adopted a V-shaped design to facilitate the growth of electrical trees. The PD and changes in the morphology of the electrical tree were recorded until the sample breakdown at 12 kV. The typical phase-resolved partial discharge (PRPD) patterns of electrical tree at different stages of growth process were analyzed. By analyzing the trend in applied voltage difference between adjacent PDs in the partial discharge sequence, it was found that the voltage difference plots of electrical tree changed from a rhombus shape to a double hooked hexagonal shape during the growth process. Based on the characteristics of non-conductive electrical trees, it was found that the change in needle tip potential corresponds to the change from the PD extinction electric field to the PD inception electric field in the electric tree. A method was proposed for estimating the partial discharge inception voltage (VI) and extinction voltage (VX) based on the voltage difference of PD.
Furthermore, by comparing the length of non-conductive electrical tree, l, with the difference between the VI and VX, as well as the maximum magnitude of partial discharge, Q, it was found that Q and l and VI -VX are approximately linear. Considering the partial discharge propagation characteristics of non-conductive electrical tree, the relationship between PD propagation length and partial discharge magnitude was obtained by analyzing the electric field and potential distribution of the tree before and after PDs take place. Due to the randomness of the PD in the electrical tree, the propagation path of each discharge is also different, and each partial discharge cannot cover all the branches. Therefore, the maximum discharge propagation length can be equal to, but is more likely to be less than, the total length of the electric tree.
Specifically, the following conclusions can be drawn: (1) At lower voltages, the electrical tree and discharge characteristics in PCB and epoxy encapsulation are similar to those of needle plate electrodes. Through partial discharge pulse sequence analysis, it was found that the VI and VX of the electrical tree growth process decreased overall, with fluctuations in the middle. (2) In the early stage of electric tree growth, there is a linear relationship between discharge magnitude, VI -VX, and electrical tree length. The ratio of partial discharge magnitude to VI -VX and electrical tree length is approximately equal to a constant, close to pe0. (3) A narrow channel partial discharge model based on non-conductive electrical tree is used to explain the linear relationship between partial discharge magnitude, VI -VX, and electrical tree length.
keywords:Epoxy resin, interface, electrical tree, partial discharge, partial discharge inception voltage
DOI: 10.19595/j.cnki.1000-6753.tces.241799
中图分类号:TM215.1
国网北京市电力公司科技项目(520246240001)和国家自然科学基金项目(U23B20138, 52007142)资助。
收稿日期 2024-10-16
改稿日期 2024-11-20
马宪伟 男,1994年生,硕士,工程师,研究方向为高压电力电缆状态检测与智能化运维。E-mail: mxwncepu@163.com
吕泽鹏 男,1987年生,教授,博士生导师,研究方向为介电绝缘材料的电荷传输、电树枝、局部放电和老化寿命等。E-mail: lv.zepeng.insu@xjtu.edu.cn(通信作者)
(编辑 李 冰)