摘要 为探讨接枝改性对交联聚乙烯(XLPE)电荷输运行为的影响,在宽电场和宽温度场范围内,该文以XLPE和引入深陷阱基团的接枝改性交联聚乙烯(GXLPE)为研究对象,测试其在不同温度、电场下的空间电荷与电导特性。结果表明,XLPE中的电荷输运行为基本遵循空间电荷限制电流(SCLC)理论,电荷输运特性随外施电场升高分为欧姆区、陷阱限制空间电荷限制电流(TL-SCLC)区和陷阱被充满的空间电荷限制电流(TF-SCLC)区。随着温度升高,电荷输运机制转变的阈值电场强度向低电场方向移动,TF-SCLC区XLPE中出现严重的电荷包迁移现象。接枝改性后,在测试范围内,GXLPE电导特性仅表现出欧姆区和TL-SCLC区,接枝形成的深陷阱即使在120 kV/mm和90℃的电-热联合场作用下依然能够有效地抑制载流子迁移,表现出稳定的电导电流抑制效果。
关键词:交联聚乙烯 接枝改性 宽场域 空间电荷特性 电导特性
交联聚乙烯(Cross-Linked Polyethylene, XLPE)已广泛作为高压直流(High-Voltage Direct Current, HVDC)电缆绝缘材料,但面对需具备更大容量与更宽工作温度的特高压直流电缆的使用需求,XLPE绝缘还需解决因材料中空间电荷与电导率温度敏感性引起的电场畸变问题[1-5]。针对此问题,通过接枝改性引入深陷阱基团可以有效地俘获电荷,抑制载流子输运,改善XLPE的直流电气性能[6-12]。进一步,通过有机官能团的合理组合,构建能够有效引入电荷深陷阱的功能性可接枝分子对XLPE进行接枝改性,可获得电导温度敏感性极低的接枝改性XLPE绝缘材料(Graft-modified XLPE, GXLPE)[10]。
虽然XLPE作为HVDC电缆绝缘材料的平均工作电场强度在20 kV/mm附近,但是在0~20 kV/mm范围内,尤其是室温下,未改性XLPE中的电荷输运特性刚由欧姆区转变至非线性区,而改性后XLPE的电荷输运特性仍停留在欧姆区,Schottky效应、空间电荷限制电流(Space Charge Limited Current, SCLC)理论、Poole-Frenkel效应等强电场下的电荷输运行为尚未展现,因此仅对工作电场强度下XLPE的电荷特性进行测试难以深入探讨电荷输运机理[12-15]。为探明绝缘材料中的电荷输运行为,M. Ieda等[16]对多种绝缘材料进行高电场下的电导与击穿特性测试,分析指出材料特性受尺度效应、时间、缺陷、杂质、操作环境多种因素影响,这些都将对实验的物理过程、V-t特性以及数据的概率统计等多个基础环节造成影响。虽然材料在高电场下的电导机理尚未明晰,但是空间电荷所带来的电场畸变以及载流子的注入与陷阱行为都将直接对其电导产生影响。
考虑到温度对电荷输运特性的影响,Wang Qiaohua等[17]对低密度聚乙烯(Low Density Poly- ethylene, LDPE)及Ag/LDPE在303 K和333 K温度下进行电场强度最高至80 kV/mm的电导电流测试,并将测试曲线与电导模型拟合,结果表明,LDPE及其纳米复合材料在高电场下的电导电流受陷阱与空间电荷调制,相比于Poole-Frenkel效应,Schottky效应具有更高的拟合优度,此外,电流曲线也部分符合离子跳跃电导。王霞等[13]对XLPE及XLPE/ SiO2纳米复合材料在20、50、80℃下和2~70 kV/mm电场强度下的电导特性进行测试,结果表明,随着电场强度的升高,这两种XLPE的电导机制从低电场强度区的欧姆电导发展为高电场强度区的Poole- Frenkel效应,而后至高电场强度区的Schottky效应,且这种转变的阈值电场强度随温度的升高而降低。
结合空间电荷分布测试方法,Zhu Xi等[18]通过直测法,利用静电计读取极化300 s后的XLPE材料的电导电流,测试条件为20℃下2 kV/mm直至击穿前,结合空间电荷分布特性测试与双极性载流子模型进行仿真模拟。结果表明,在10~100 kV/mm电场强度范围内,材料内部的载流子输运受空间电荷限制电流与Schottky注入限制。当电场强度超过100 kV/mm后,XLPE材料电导电流曲线并不遵循Schottky注入限制,结合空间电荷分布测试中电荷注入深度会受到限制的测试结果,提出迁移率限制的电荷注入方程。Shen Xin等[19]于30、50、70℃三个温度下,对LDPE/SiO2在1~200 kV/mm电场强度范围内的空间电荷与电导特性进行测试,结果表明,LDPE及其纳米复合材料中的电荷输运特性基本遵循空间电荷限制电流理论。然而以上研究大多仅限于对未改性XLPE与纳米复合改性XLPE的研究,接枝改性XLPE在高温高电场下的电荷输运行为尚未明晰。
为调查接枝改性XLPE在宽场域内的电荷输运机理,探讨接枝改性引入的深陷阱在不同温度、电场强度下对XLPE内部电荷的调控行为,本文以改性前原始XLPE材料与课题组前期所开发出的具备优异直流电气性能的接枝改性XLPE材料(GXLPE)为研究对象,在宽电场强度与宽温度区间内对两种材料的空间电荷分布与电导电流进行测试,分析并评价接枝改性对XLPE材料高电场下电荷输运的影响。
选用扬子巴斯夫石化生产的LDPE(2220H EC)为基础树脂,Arkema公司生产的过氧化二异丙苯(Dicumyl Peroxide, DCP)作为交联与接枝反应的引发剂,BASF公司生产的Irganox 1010作为抗氧剂保护基础树脂于加工过程中不被氧化。协同接枝体系下的接枝单体分别为可接枝苯胺抗氧剂(GA)与助交联剂三羟甲基丙烷三甲基丙烯酸酯(Trim- ethylolpropane Trimethacrylate, TMPTMA)。
首先,通过熔融共混的方式于110℃下,将1.8 phr(1 phr指每100 g树脂中添加物质的质量为1 g)DCP与0.3 phr抗氧剂1010均匀分散在基础树脂中制备未改性可交联聚乙烯材料;其次,在此基础上,加入0.1 phr GA与0.3 phr TMPTMA共混,制备接枝改性可交联聚乙烯材料;然后,将预混好的可交联聚乙烯材料通过热压法于175℃、15 MPa同时进行交联与接枝反应;最后,经过冷却与48 h高温去气,得到XLPE与GXLPE。GXLPE分子结构如图1所示。
图1 GXLPE分子结构
Fig.1 Molecular structure of GXLPE
分子结构表征通过傅里叶红外(Fourier Transform Infrared, FTIR)光谱仪(FT/IR-6100)进行,以验证各接枝单体是否成功接枝。测试试样均为厚度为100 mm的薄片,测试波数范围为2 500~1 000 cm-1,扫描精度为2 cm-1,扫描次数为30次。
结晶熔融特性采用差示扫描量热(Differential Scanning Calorimetry, DSC)测试表征,使用电子天平称量(8±0.5) mg的试样,放入铝质坩埚内,并加盖置于DSC分析仪样品池中。测试过程以高纯度 氮气作为保护气,温度控制方案为将温度由25℃升至150℃。记录第一段结晶过程热流变化为结晶曲线,第二段熔融过程热流变化为熔融曲线。升温、降温速率设置为10℃/min,保护氮气通入流速为150 mL/min。
陷阱特性利用热刺激去极化电流(Thermally Stimulated Depolarization Current, TSDC)测试表征,以证明接枝改性能够引入电荷深陷阱。测试试样首先于60℃下外施40 kV/mm直流电场极化30 min,随后迅速降温至-50℃,撤去外施电场短路5 min消去杂散电荷在短时极化产生的影响。以3℃/min的速率使试样升温至150℃,采集升温过程中的去极化电流。
利用电声脉冲法(Pulsed Electro-Acoustic, PEA)空间电荷测试平台,采用逐级升压的方式,分别于30、50、70℃(设备最高测试温度)下,测试材料在5~120 kV/mm电场强度范围内的空间电荷分布特性。各级电场强度下的极化时间为5 min。由于外施电场发生变化,空间电荷测试系统测得极板处的净电荷也随之变化,而在较高的电场强度下,电极处的净电荷产生的高斯波波尾将会掩盖材料内部靠近电极附近的空间电荷信号。为更直观地比较不同极化电场下材料内部的空间电荷分布,对PEA得到的空间电荷信号通过式(1)进一步处理[15],去除电极电荷信号,获取材料内部净电荷空间分布
。
(1)
式中,x为试样内位置坐标;
为PEA设备恢复的包含电极净电荷和材料内部电荷的全部电荷信号;
为外施极化电场强度;Er为参考波形测试时电场强度;
为参考波形。
电导电流特性测试利用三电极系统进行,在与高电场空间电荷特性测试相同的电场强度下,采用逐级升压方式,对XLPE与GXLPE电导电流特性进行测试,记录材料电导电流随外施电场强度变化的曲线。极化时间设定为300 s,测试温度分别为30、50、70、90℃。
经过高温脱气后,XLPE与GXLPE的红外光谱测试结果如图2所示。相较于XLPE,GXLPE于1 798 cm-1和1 559 cm-1位置新增特征吸收峰,分别对应可接枝抗氧剂GA上C=O的伸缩振动以及GA上苯胺基中苯环碳骨架伸缩振动的特征吸收峰[20]。而本应出现于1 741 cm-1处酯基振动的特征吸收峰移至1 734 cm-1处。该结果说明交联与接枝反应过程中,助交联剂TMPTMA修饰抗氧剂GA并协同接枝到XLPE上[10, 19],最终得到GXLPE。
DSC熔融特性曲线测试结果如图3所示。可以看出,相较于XLPE,接枝改性后的GXLPE并未对材料的熔融峰温度Tm和结晶度Xc造成显著影响。因此,结晶熔融特性的变化对接枝改性XLPE电气性能影响的贡献度极小。
图2 红外光谱测试结果
Fig.2 Results infrared spectrum
图3 DSC熔融特性曲线
Fig.3 DSC melting characteristic curves
TSDC测试得到的XLPE与GXLPE陷阱分布特性曲线如图4所示。XLPE存在的固有电荷释放峰位于54℃附近,来自XLPE晶区与非晶区界面间储存的电荷[21-22]。接枝改性后,GXLPE在更高温度73℃和134℃下新增电荷释放峰,其对应更深能级的电荷陷阱,由接枝GA和TMPTMA引入。
图4 TSDC陷阱能级分布特性曲线
Fig.4 TSDC trap energy level distribution curves
30℃下去除电极净电荷后,逐级升压过程中未改性XLPE的空间电荷分布特性如图5a所示。可以看出,当外施极化电场强度达到10 kV/mm时,可以在材料靠近阴极处观测到同极性电荷注入,电荷密度约为5 C/m3。随着外施电场强度持续升高,25 kV/mm时试样阴极注入的负电荷形成空间电荷包,沿外施电场方向向材料内部迁移。30 kV/mm开始在阳极附近能够观察到正电荷注入。在测试温度和电场强度范围内,通常认为电极注入的电荷由场致热发射效应,即Schottky效应产生[23-25],其电流密度可表示为
(2)
式中,A为Richardson常数;T为温度;
为金属功函数;e为元电荷电量;E(x)为坐标位置x处的电场强度;
与
分别为真空介电常数和材料相对介电常数;
为玻耳兹曼常数。随着外施电场强度的进一步升高,Schottky效应得到增强,来自电极注入的同极性电荷向材料内部迁移,注入深度不断增加。当外施电场强度达到90 kV/mm后,材料内部出现电荷包迁移,正、负电荷包于距阳极20 mm附近相遇,且随外施电场强度升高,电荷包迁移加剧,电荷包峰值电荷密度也逐渐升高。这些正、负电荷包的迁移不仅会加剧材料内部的电场畸变,还将致使材料内部发生物理化学破坏。当测试电场强度为120 kV/mm时,材料内正、负电荷包峰值密度均超过30 C/m3。

图5 XLPE宽场域内空间电荷分布
Fig.5 Space charge distribution of XLPE in wide field range
50℃下,XLPE材料逐级升压过程中的空间电荷分布特性如图5b所示。与30℃下类似,10 kV/mm开始出现阴极负电荷注入,但阳极注入电场强度下降。30 kV/mm下可以观测到明显的阳极正电荷注入,且注入电荷密度随外施电场强度的提高而增大,这可以归因于Schottky效应的电流密度随温度上升而显著增强。此外,与30℃情况不同的是,50℃下,材料中部在加压初始阶段即出现负电荷弥散,且随着外施电场强度的提升,材料内部负电荷积累量逐渐攀升。负电荷包迁移的阈值电场强度降低,40 kV/mm下,负电荷包与正电荷包在材料内靠近阳极侧距阳极20 mm处相遇。而随着外施电场强度继续升高,正、负电荷包的交界从靠近阳极侧逐渐向阴极迁移,当电场强度达到80 kV/mm后,正、负电荷包的交界迁移至阴极附近30 mm处。此后材料中部电荷变为正电荷,且随着外施电场强度升高,正电荷积累量呈增加趋势。但即便在最高测试电场强度120 kV/mm下,材料内部正电荷密度峰值为21 C/m3,负电荷密度峰值为29 C/m3,均小于30℃下材料内部的电荷密度峰值。在相对较高的温度下,空间电荷更趋向于弥散地分布在材料内部,而非在局部集中堆积,这一方面可以归因于电荷在高温下具有更高的迁移率,注入电荷会以传导电荷的形式迁移到对侧电极,这将导致电荷的弥散分布,与XLPE在高温下具有更大的电导电流相符;另一方面,XLPE中积累的空间电荷密度行为与其陷阱特性密不可分,电荷趋于积累在XLPE结晶区与无定形区交界的空腔陷阱中。结合图4中的TSDC曲线,50℃下材料中一部分大分子链端已经开始松弛,失去束缚电荷的能力,因此高温下材料本身陷阱密度的降低也会导致入陷电荷密度下降,所积累的峰值空间电荷也随之下降。
70℃下,XLPE材料逐级升压过程中的空间电荷分布特性如图5c所示,可见电荷不再集中在局部,而是弥散地分布在材料内部。加压初期,5 kV/mm下,材料内部已出现负电荷分布,电荷密度峰值约为1.4 C/m3;10 kV/mm后阴极开始注入负电荷;20 kV/mm下,负电荷包迁移至阳极附近;20~40 kV/mm电场强度范围内,材料中部的负极性空间电荷密度持续增加;当外施电场强度提高到50~80 kV/mm区间内时,正、负电荷交界开始向阴极移动;而当电场强度继续升高,正、负电荷包交界又开始转向阳极移动。与50℃类似,随着温度的上升,材料中电荷密度峰值进一步下降,最大正电荷密度峰值为13 C/m3,最大负电荷密度峰值为19 C/m3。TSDC测试结果中70℃下,材料内部剩余的陷阱密度进一步减小,但仍存在少量陷阱分布,而这部分陷阱依然能够俘获电荷。然而70℃下,TSDC曲线所示材料内部剩余电荷比例极小,难以俘获如图5c所示大量的空间电荷,而陷阱电荷的迁移率受限,在短时间内或较难完成电荷包迁移,因此推断试样中部迁移的电荷包中的空间电荷可能是由材料内部电场强度动态变化产生的位移电荷,该部分电荷具有较高的迁移率,能够跟随电场动态变化,造成正、负电荷包在试样内部反复迁移,这也与高温高电场下XLPE较高的电导电流相吻合。
对接枝改性后的GXLPE在30、50、70℃下,逐级升压过程中的空间电荷分布特性进行测试,其结果如图6所示。
与未改性XLPE类似,GXLPE中首先出现电极注入现象,但是电荷注入量显著下降,阳极注入的阈值电场强度也出现明显下降。30℃时,在50 kV/mm外施电场强度下,才能在GXLPE试样内部观察到正电荷注入,远高于未改性XLPE的30 kV/mm。在高温下,GXLPE同样保持了较高的阳极注入阈值场强。从材料中累积空间电荷密度的角度来看,在最高测试电场强度120 kV/mm下,材料内部最高正电荷密度峰值为16 C/m3,最高负电荷密度峰值为7 C/m3,远远小于XLPE。50℃下,GXLPE内最高正、负电荷密度峰值分别增加至22 C/m3和19 C/m3,但仍小于同等条件下XLPE中累积的电荷密度;70℃下最高正、负电荷密度峰值则进一步分别增加至27 C/m3和23 C/m3,空间电荷积累量超过XLPE材料,且接枝改性材料中的电荷密度随温度升高呈上升趋势。虽然70℃下GXLPE的空间电荷积累量超过XLPE,但不意味着GXLPE材料的高温电气绝缘性能劣化。决定直流电场下材料可靠性的空间电荷行为关键参数不仅包含电荷累积量,更重要的是电荷的动态变化行为。高温下,未改性XLPE中存在严重的空间电荷包迁移行为,而空间电荷包的迁移意味着正、负电荷同时存在于材料内部,一旦正、负电荷发生复合,将释放能量并导致材料劣化。而GXLPE中的大部分空间电荷被束缚在电极附近,电荷包迁移行为被有效地抑制,因此GXLPE具备更高的绝缘可靠性。
图6 GXLPE宽场域内空间电荷特性
Fig.6 Space charge distribution of GXLPE in wide field range
结合图4所示的TSDC曲线可以看出,GXLPE中存在大量深陷阱,且这些陷阱的热释放电荷峰的温度远高于测试温度,因此这些电荷陷阱可以将电极注入电荷束缚在电极附近,避免其在材料内部迁移。但伴随着深陷阱的引入,材料中不可避免地也被引入了浅陷阱,随着外施电场强度的增加,这些浅陷阱势垒逐渐倾斜,导致陷阱电荷在外电场作用下脱陷,因此材料内部仍存在较为微弱的电荷包迁移行为。这可以从逐级升压过程中电荷峰宽度的下降现象看出:50℃下,当外施电场强度升高至60 kV/mm时,负电荷包展宽开始下降;当外施电场强度达到90 kV/mm以上时,正电荷包宽度也发生下降。随着温度的上升,70℃下电子浅陷阱中陷阱电荷发生脱陷的电场强度下降至40 kV/mm,空穴浅陷阱中陷阱电荷发生脱陷的电场强度下降至80 kV/mm。
虽然接枝改性材料中电极附近的电荷包宽度存在变化,但不同于未改性XLPE中电荷包的整体迁移,GXLPE材料内部迁移的位移电荷的电荷密度极小,这可能也是接枝改性材料具有极低电导电流的原因。即便在高温高电场下,大部分空间电荷仍被接枝引入的深电荷陷阱束缚在电极附近,接枝引入的深陷阱依旧可以有效地束缚入陷电荷,这可以从电极附近电荷包的电荷密度随外施电场强度的升高而升高的现象中得到验证。总体而言,虽然GXLPE依旧无法避免电荷包发生迁移,但是引入深陷阱后,来自电极的注入电荷可以被很大程度地限制在电极附近,削减了材料中自由电荷包的电荷密度,降低由电荷包迁移诱发的材料破坏。
宽场域范围内XLPE的电导电流特性如图7所示,随着温度和外施电场强度的增加,电导电流呈单调递增趋势,且随着电场强度的升高表现出非线性特征。在30℃与50℃下,电导电流曲线斜率随外施电场强度增加呈现明显的三段式变化,由加压初始阶段的小斜率,过渡到斜率较大区域,然后再次进入斜率较小阶段。在高温70℃与90℃下,于测试电场强度范围内,电导电流曲线斜率变化转变为两段,即低温下高电场强度区域的两段。这种变化趋势与SCLC理论吻合,并且SCLC理论的提出即基于材料内存在净电荷情况下材料内宏观体电流的变化规律,因此本文试用SCLC理论解释XLPE电导电流曲线的变化。
图7 宽场域内XLPE电导电流特性
Fig.7 Conductance current characteristics of XLPE in wide field range
根据SCLC理论得知,材料电导特性随电场强度的变化经历三个阶段:欧姆区、陷阱限制空间电荷限制电流(Trap-Limited SCLC, TL-SCLC)区以及陷阱被充满的空间电荷限制电流(Trap- Filled SCLC, TF-SCLC)区。欧姆区主要为材料内部本征载流子在电场力作用下迁移,遵循欧姆定律,几乎不表现出非线性;在TL-SCLC区,电极发射热电子能够跨越金属/绝缘界面势垒,形成欧姆接触,电荷能够源源不断地从电极注入,一部分以传导电流的形式存在,另一部分填入电荷陷阱中,以入陷的方式贡献电流分量,使电导电流随电场变化表现出极强的非线性;在TF-SCLC区,外施电场升高伴随着电极注入的不断加剧以及电场对电荷陷阱势垒的倾斜作用,温度升高伴随着热电子发射的加剧以及XLPE中电荷陷阱密度的降低,当进入高温高电场后,电荷输运将不再受陷阱控制,转而受材料载流子的本征迁移率影响。该现象与图5中的空间电荷在高温高电场下电荷包的迁移相互印证。
为进一步根据SCLC理论分析XLPE电导电流的变化情况,在双对数坐标系下,对XLPE电导电流特性曲线依照斜率进行拟合,得到的阈值电场强度和电导电流拟合斜率见表1。在低温低电场下,材料电导电流表现出欧姆特性,电导电流斜率k1接近于1,材料内部几乎无空间电荷累积,这与图5中XLPE空间电荷特性相对应。在低温低电场下,仅有少量负电荷从阴极注入,但注入电荷被限制在阴极附近,材料中部几乎无空间电荷积累。
表1 XLPE材料SCLC电导电流拟合斜率与阈值电场强度
Tab.1 The fitted slope and threshold electric field of conductive current of XLPE according to SCLC theory
温度/℃k1Eth1(kV/mm)k2Eth2/(kV/mm)k3 301.314.34.139.82.0 501.99.73.922.71.7 70<53.210.22.1 90<52.88.41.8
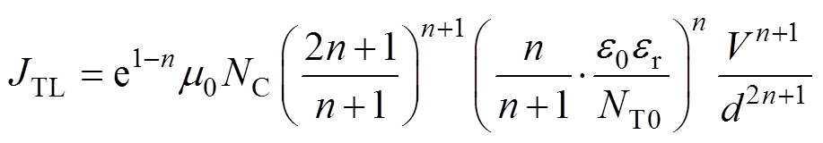
随着外施电场强度升高,电导进入第二阶段TL- SCLC区,电导电流特性曲线斜率k2>2,材料中部开始出现空间电荷积聚。当禁带能隙中导带边存在指数分布的陷阱时,TL-SCLC电流JTL可表示为[26-28]
(3)
式中,m0为材料的本征载流子迁移率;NC为导带电子态密度;NT0为陷阱总密度;V为外施电压;d为材料厚度;n为指数项,数值上等于Tc/T,Tc为温度的特征常数,T为测试温度,Tc通常大于T,因此V上指数项大于2,在双对数坐标系下,TL-SCLC区域E-J曲线斜率k2应大于2,且JTL-V曲线在双对数坐标系下的斜率应呈下降趋势。如表1所示,XLPE电导测试结果中第二阶段TL-SCLC区域曲线拟合斜率k2随温度的升高而下降,与理论趋势相符。结合XLPE空间电荷特性测试结果,在TL-SCLC作用区域,XLPE内均无空间电荷包迁移行为,空间电荷特性整体表现为由两侧电极向材料中注入载流子,而被注入的载流子大部分被束缚在材料内靠电极附近,未向试样中部迁移。
随着外施电场强度的升高,XLPE电导特性进入第三阶段TF-SCLC区,在此区域内,或材料体内陷阱被充满,或陷阱难以对载流子输运起到束缚作用,即当T趋近于Tc时,式(3)变为[23-25]
(4)
式中,JTF为无陷阱作用下的空间电荷限制电流。JTF-V曲线在双对数坐标系下的斜率趋近于2。此时电导电流不再受陷阱控制,转而受材料本征载流子迁移率m0控制,随着温度升高而增大。表1中,XLPE在TF-SCLC区域的电导电流随电场强度变化的斜率k2接近于2,与SCLC理论相符。结合图5中XLPE的空间电荷分布结果,在此温度和电场强度范围内,原本被限制在电极附近的电荷开始沿电场向对侧电极迁移,材料内部出现电荷积聚以及电荷包迁移,再次印证该部分电荷为受电场控制重新分布的非入陷电荷而不是被XLPE中电荷陷阱俘获的陷阱电荷。这些材料内积累的非入陷净电荷会导致介质内电场重新分布,形成扩散电流,是电荷分布受电场分布约束的结果。
讨论温度对XLPE电导机制的影响,需要进一步考虑电极注入电荷、电荷迁移速率以及陷阱分布随温度的变化。
对于电极注入电荷而言,如式(2)所示,Schottky效应发射电荷的能力高度依赖温度,高温给予了热电子更高的能量,使其在较低的电场强度下即具备跨越势垒的能力,发射到介质中成为空间电荷。这意味着随着温度的升高,电荷能在更低的电场强度下通过Schottky效应发射注入介质中,形成空间电荷。而XLPE电导特性由欧姆区向TL- SCLC作用区的转变即依赖空间电荷的产生,因此阈值电场强度Eth1随着温度升高向低电场强度方向移动。
在电荷迁移速率方面,由于XLPE材料中存在晶态与非晶态两相共存,从整体来看,材料内部原子分布并不规则,在电场强度远小于击穿场强情况下,介质体内电荷输运机制遵循跳跃电导规律。一方面,随着温度的升高,介质体内电荷的能量升高,振动幅度增大,使其更容易跨越势垒,参与电场作用下的电荷输运,表现出更大的载流子迁移率,即跳跃电导载流子迁移率m;另一方面,随着温度的升高,XLPE分子链段可以发生松弛并在电场作用下转向,转向后电荷跨越分子链所需的势垒可能下降,这也使载流子迁移率获得提升。
在温度对陷阱特性的影响方面,随着温度的升高,XLPE材料的结晶度随温度升高而降低,晶区与非晶区交界区域减少,电荷陷阱也随之减少,因此材料中的电荷陷阱将更容易被充满,电导特性由TL-SCLC区向TF-SCLC区转变的阈值电场强度Eth2向低电场强度方向移动。即在高温下电荷陷阱对电荷的束缚能力减弱,该结果印证了XLPE的电荷陷阱在高温下存在部分失效。此外,在TL-SCLC阶段,k2随温度的升高而减小,也说明材料中的陷阱密度随温度升高而降低。因此在高温下,材料内陷阱在较低电场强度下即可被充满,并转变至TF-SCLC区域,阈值电场强度Eth2随温度升高而降低。
宽场域内GXLPE电导电流特性如图8所示,各区电导电流斜率和阈值电场强度见表2。从结果中可以看出,接枝改性后,GXLPE在各个温度下的电导电流斜率随外施电场强度变化表现出由低斜率转变为高斜率的趋势,即在全温度范围内,GXLPE中仅出现欧姆区和TL-SCLC区,未出现TF-SCLC区电导特性。
在欧姆区,GXLPE电导电流随电场强度变化的斜率k1<1,电阻表现出场致增强现象,产生这种特性的原因来自接枝改性后材料对电极注入电荷以及载流子输运的抑制作用。而随着测试温度的不断提高,这种抑制作用被削弱,欧姆区电导特性斜率k1趋近于1。随着电场强度和温度的增加,GXLPE电导特性进入TL-SCLC阶段。不同于XLPE,GXLPE材料电导特性曲线斜率在TL-SCLC阶段均大于2。如图6中GXLPE空间电荷分布特性所示,在此阶段,电极电荷不断地向材料内部注入,但被限制在电极附近,成为入陷电荷,而未在试样内迁移,因此虽然在高温高电场下,GXLPE材料电导电流随电场强度升高而增加的幅度较大,但其在数值上远低于未改性的XLPE。
图8 GXLPE宽场域内电导电流特性
Fig.8 Conductance current characteristics of GXLPE in wide field range
表2 GXLPE材料SCLC电导电流拟合斜率与阈值电场强度
Tab.2 The fitted slope and threshold electric field of conductive current of GXLPE according to SCLC theory
温度/℃k1Eth1/(kV/mm)k2 300.626.62.6 500.524.53.6 700.721.74.0 900.917.14.4
虽然GXLPE的电导特性随电场强度的变化趋势符合SCLC理论,但是在温度变化上与TL-SCLC理论存在差异。如表2所示,在TL-SCLC阶段,电导特性曲线斜率k2随温度升高呈上升趋势。而在式(3)中,随温度升高J-E曲线斜率Tc/T+1应呈下降趋势,与实验结果不符,因此在此阶段,存在其他电导电流分量使曲线斜率增加。结合图6中空间电荷分布特性测试结果得知,在此阶段存在由Poole-Frenkel效应导致的入陷电荷脱陷。这些脱陷电荷成为载流子参与电导行为,一方面随着温度升高,入陷电荷热运动幅度增加,脱陷的概率也随之增加,脱陷载流子形成的电导加剧;另一方面,随着温度的升高,接枝电荷俘获分子在带来深陷阱的同时也不可避免地伴随浅陷阱的引入,高温下这些浅陷阱对电荷的束缚能力下降,入陷在其中的电荷更易脱陷,进一步加剧Poole-Frenkel效应。因此,在温度和电场敏感的Poole-Frenkel效应的叠加作用下,GXLPE的TL-SCLC区的斜率随温度升高而增大。在温度对陷阱特性的影响方面,与XLPE类似,随着温度的升高,GXLPE材料的结晶度随温度升高而降低,晶区与非晶区交界区域减少,物理陷阱也随之减少。但不同于XLPE的是,材料中存在电荷释放峰高于90℃的化学陷阱,这些陷阱在高温下仍然能有效地限制电荷的迁移,因此即便在高温高电场下GXLPE中也未出现TF-SCLC区。
XLPE与GXLPE中电荷输运典型过程如图9所示。XLPE电导特性在经历无净电荷的欧姆区后,当外施电场强度大于Eth1时,电荷输运特性转变到陷阱填充阶段TL-SCLC区,此时材料内电荷填充进入载流子陷阱中,电导电流斜率增大,而此阶段也存在入陷电荷脱陷,陷阱处于动态填充过程。随着外施电场强度继续升高达到Eth2后,注入电荷足以将陷阱完全充满,电荷将不受陷阱控制,进入TF- SCLC区,此区域将可能出现电荷包的反复迁移,破坏材料的物理化学结构。随着温度的升高,阈值电场强度Eth1和Eth2将向低电场强度方向移动,其中Eth1向低电场强度方向的移动可能与高温下加剧的电极注入有关,而Eth2的降低可能来自高温下陷阱密度的下降。对于GXLPE,如图9所示,当外施电场强度大于Eth1后,电荷输运也进入陷阱填充的TL-SCLC区,然而接枝改性会在材料内部引入大量的深陷阱并降低载流子迁移率,导致在测试电场强度范围内,陷阱无法被充满,因此E-J曲线一直停留在TL-SCLC阶段。接枝改性引入的深陷阱能在5~120 kV/mm宽电场及30~70℃宽温度范围内有效地限制载流子输运,调制空间电荷与电导特性,避免材料内部产生大量空间电荷包,削减电荷包迁移对材料带来的破坏,并在全场域范围内表现出稳定的直流电气性能改善效果。
图9 XLPE与GXLPE中电荷输运典型过程
Fig.9 Typical charge transport processes in XLPE and GXLPE
本文以XLPE和深陷阱基团接枝改性XLPE材料为研究对象,在5~120 kV/mm宽电场和30~70℃宽温度范围内,测试了接枝改性前后XLPE的空间电荷和电导特性,探讨了接枝改性对XLPE材料电荷输运特性的影响,得到结论如下:
1)空间电荷测试结果表明,逐级升压过程中,XLPE在高电场下,材料内部出现严重的电荷包迁移行为,且随着温度的升高,这种电荷包迁移发生的阈值电场强度向低电场强度方向发生移动。70℃下,于15 kV/mm处即可观察到电荷包迁移。而在接枝改性XLPE中,即便在高温高电场下,绝大部分电荷都被限制在试样内部靠近电极处,极少量电荷被注入材料内部,未出现高电荷密度电荷包迁移。
2)电导电流测试结果表明,XLPE中的电导特性基本服从空间电荷限制电流理论,表现为先由无净电荷的欧姆区转变至陷阱填充的TL-SCLC区,再过渡到高温高电场下陷阱被充满的TF-SCLC区。而接枝改性XLPE仅出现欧姆区和TL-SCLC区,其较高的陷阱密度及较低的载流子迁移率导致陷阱无法被充满,因此在测试电场强度范围内无TF-SCLC区。
3)接枝改性形成的深陷阱能够在宽场域内有效地改善材料的空间电荷和电导特性,抑制空间电荷包迁移和电导电流。即便在120 kV/mm和90℃的电-热联合场作用下,依然能够有效地抑制载流子输运,降低电导电流。
参考文献
[1] 李盛涛, 王诗航, 杨柳青, 等. 高压电缆交联聚乙烯绝缘的关键性能与基础问题[J]. 中国电机工程学报, 2022, 42(11): 4247-4255.
Li Shengtao, Wang Shihang, Yang Liuqing, et al. Important properties and fundamental issues of the crosslinked polyethylene insulating materials used in high-voltage cable[J]. Proceedings of the CSEE, 2022, 42(11): 4247-4255.
[2] 赵健康, 赵鹏, 陈铮铮, 等. 高压直流电缆绝缘材料研究进展评述[J]. 高电压技术, 2017, 43(11): 3490-3503.
Zhao Jiankang, Zhao Peng, Chen Zhengzheng, et al. Review on progress of HVDC cables insulation materials[J]. High Voltage Engineering, 2017, 43(11): 3490-3503.
[3] 周远翔, 赵健康, 刘睿, 等. 高压/超高压电力电缆关键技术分析及展望[J]. 高电压技术, 2014, 40(9): 2593-2612.
Zhou Yuanxiang, Zhao Jiankang, Liu Rui, et al. Key technical analysis and prospect of high voltage and extra-high voltage power cable[J]. High Voltage Engineering, 2014, 40(9): 2593-2612.
[4] 何金良, 党斌, 周垚, 等. 挤压型高压直流电缆研究进展及关键技术述评[J]. 高电压技术, 2015, 41(5): 1417-1429.
He Jinliang, Dang Bin, Zhou Yao, et al. Reviews on research progress and key technology in extruded cables for HVDC transmission[J]. High Voltage Engineering, 2015, 41(5): 1417-1429.
[5] Montanari G C, Mazzanti G, Palmieri F, et al. Space- charge trapping and conduction in LDPE, HDPE and XLPE[J]. Journal of Physics D Applied Physics, 2001, 34(18): 2902-2911.
[6] 吴晶晶, 陈丽安, 严有祥, 等. ±500 kV高压直流XLPE电缆温度分布及其影响因素研究[J]. 高压电器, 2023, 59(2): 113-119.
Wu Jingjing, Chen Li’an, Yan Youxiang, et al. Study on temperature distribution of ±500 kV HVDC XLPE cable and its influencing factors[J]. High Voltage Apparatus, 2023, 59(2): 113-119.
[7] 白健, 张亚, 詹陶, 等. 脱气时间对电缆绝缘中交联副产物含量和直流特性的影响[J/OL]. 高压电器, 2024: 1-11[2024-11-07]. http://kns.cnki.net/kcms/detail/ 61.1127.TM.20240308.1051.002.html.
Bai Jian, Zhang Ya, Zhan Tao, et al. Effect of degassing time on byproducts content and DC characteristics of cable insulation[J/OL]. High Voltage Apparatus,2024: 1-11[2024-11-07]. http://kns.cnki.net/kcms/detail/61. 1127.TM.20240308.1051.002.html.
[8] Yang Xu, Zhao Hong, Wang Xuan, et al. Modulated electrical performance of cross-linked polyethylene by grafted charge-attracting molecules for high voltage direct current cable insulation[J]. Materials & Design, 2024, 240: 112884.
[9] 王凯, 赵新东, 郑海峰, 等. 极性分子的结构异同性对接枝改性交联聚乙烯材料直流电性能的影响[J]. 电工技术学报, 2024, 39(1): 34-44.
Wang Kai, Zhao Xindong, Zheng Haifeng, et al. Influence of the structural similarities of polar molecules on DC properties of grafted modified cross- linked polyethylene materials[J]. Transactions of China Electrotechnical Society, 2024, 39(1): 34-44.
[10] Yang Xu, Zhao Hong, Zhang Chengcheng, et al. Improved direct current electrical properties of XLPE modified by graftable antioxidant and crosslinking coagent at a wide temperature range[J]. High Voltage, 2024, 9(1): 94-104.
[11] 陈向荣, 黄小凡, 王启隆, 等. 电压稳定剂接枝改性对500 kV直流XLPE电缆材料电气性能的影响[J]. 电工技术学报, 2024, 39(1): 23-33.
Chen Xiangrong, Huang Xiaofan, Wang Qilong, et al. Effect of voltage stabilizer grafting on electrical properties of 500 kV DC XLPE cable insulation materials[J]. Transactions of China Electrotechnical Society, 2024, 39(1): 23-33.
[12] 张雯嘉, 王伟, 袁浩, 等. 接枝聚丙烯电缆绝缘材料的电树枝特性及机理[J]. 电工技术学报, 2024, 39(1): 88-98.
Zhang Wenjia, Wang Wei, Yuan Hao, et al. Electrical tree characteristics and mechanism of grafted poly- propylene cable insulation[J]. Transactions of China Electrotechnical Society, 2024, 39(1): 88-98.
[13] 王霞, 王陈诚, 孙晓彤, 等. 高温高场强下XLPE及其纳米复合材料电导机制转变的实验研究[J]. 中国电机工程学报, 2016, 36(7): 2008-2017.
Wang Xia, Wang Chencheng, Sun Xiaotong, et al. Experimental study on the transference of conduction mechanisms of XLPE and its nano-composite under high temperature and high electrical stress[J]. Pro- ceedings of the CSEE, 2016, 36(7): 2008-2017.
[14] 金煜知, 宋柯, 任文军, 等. 极性反转条件下基于双极性载流子-离子混合输运模型的XLPE空间电荷特性研究[J]. 绝缘材料, 2023, 56(6): 66-72.
Jin Yuzhi, Song Ke, Ren Wenjun, et al. Study on space charge characteristics of XLPE under polarity reversal based on bipolar carrier-ion mixed transport model[J]. Insulating Materials, 2023, 56(6): 66-72.
[15] 崔伯男, 刘帅, 姜泉旭, 等. 直流叠加冲击电压下PEA法空间电荷测量系统的研制[J]. 绝缘材料, 2022, 55(8): 104-112.
Cui Bonan, Liu Shuai, Jiang Quanxu, et al. Preparation of PEA method space charge measurement system under DC voltage superimposed impulse voltage[J]. Insulating Materials, 2022, 55(8): 104-112.
[16] Ieda M, Nagao M, Hikita M. High-field conduction and breakdown in insulating polymers. Present situ- ation and future prospects[J]. IEEE Transactions on Dielectrics and Electrical Insulation, 1994, 1(5): 934- 945.
[17] Wang Qiaohua, Yin Yi, Li Zhe, et al. High field conduction behavior of nanocomposite of low-density polyethylene and Ag nanoparticles[C]//2008 Inter- national Symposium on Electrical Insulating Materials (ISEIM 2008), Yokkaichi, Japan, 2008: 303-306.
[18] Zhu Xi, Yin Yi, Peng Suman, et al. Mobility-limited charge injection in cross-linked polyethylene under extra high electric field[J]. High Voltage, 2021, 6(5): 782-792.
[19] Shen Xin, Wu Jiandong, Li Weikang, et al. Effects of electric field and temperature on charge transport in an LDPE/SiO nanocomposite[J]. IEEE Transactions on Dielectrics and Electrical Insulation, 2023, 30(6): 2532-2542.
[20] Zhang Chengcheng, Wang Tingting, Sun Weifeng, et al. Grafting of antioxidant onto polyethylene to improve DC dielectric and thermal aging properties [J]. IEEE Transactions on Dielectrics and Electrical Insulation, 2021, 28(2): 541-549.
[21] 闫志雨, 赵洪, 韩宝忠, 等. 基于a松弛分析CB/ LDPE纳米复合介质空间电荷特性[J]. 电机与控制学报, 2017, 21(6): 50-58.
Yan Zhiyu, Zhao Hong, Han Baozhong, et al. Analysis of the space charge characteristic of CB/LDPE nanocomposites from the view of α relaxation[J]. Electric Machines and Control, 2017, 21(6): 50-58.
[22] Wang Shihang, Li Jianying, Li Shengtao. XLPE/h-BN nanocomposites with enhanced DC insulation proper- ties[J]. IEEE Transactions on Dielectrics and Electrical Insulation, 2022, 29(1): 62-68.
[23] 易姝慧, 王亚林, 彭庆军, 等. 温度对交联聚乙烯中的空间电荷积累以及迁移的影响[J]. 中国电机工程学报, 2017, 37(19): 5796-5803, 5857.
Yi Shuhui, Wang Yalin, Peng Qingjun, et al. Effect of temperature on charge accumulation and migration in cross-linked polyethylene[J]. Proceedings of the CSEE, 2017, 37(19): 5796-5803, 5857.
[24] 朱敏慧, 闵道敏, 高梓巍, 等. 直流电缆用交联聚乙烯绝缘的击穿概率及其尺度效应仿真[J]. 电工技术学报, 2024, 39(4): 1172-1184.
Zhu Minhui, Min Daomin, Gao Ziwei, et al. Break- down probability and size effect simulation of XLPE insulation for DC power cables[J]. Transactions of China Electrotechnical Society, 2024, 39(4): 1172-1184.
[25] 王启隆, 陈向荣, 贺新钧, 等. 直流和方波电压下有机半导电小分子/硅弹性体纳米复合材料的高温空间电荷特性[J]. 电工技术学报, 2024, 39(19): 6187-6200.
Wang Qilong, Chen Xiangrong, He Xinjun, et al. Analysis of high-temperature charge dynamics of organic semiconductor/silicone elastomer nano- composites under DC and square wave voltages[J]. Transactions of China Electrotechnical Society, 2024, 39(19): 6187-6200.
[26] Chiguvare Z, Dyakonov V. Trap-limited hole mobility in semiconducting poly(3-hexylthiophene)[J]. Physical Review B, 2004, 70(23): 235207.
[27] 雷清泉, 李盛涛. 关于工程电介质中几个经常涉及的问题与思考[J]. 高电压技术, 2015, 41(8): 2473-2480.
Lei Qingquan, Li Shengtao. Several important issues and thinking about engineering dielectrics[J]. High Voltage Engineering, 2015, 41(8): 2473-2480.
[28] 雷清泉, 刘关宇. 如何理解工程电介质中极化与电导两个基本物理过程及其测量的科学原理与方法[J]. 中国电机工程学报, 2018, 38(23): 6769-6789, 7113.
Lei Qingquan, Liu Guanyu. How to understand the two basic physical processes of polarization and conductance in engineering dielectrics and scientific principles and methods of their measurement[J]. Proceedings of the CSEE, 2018, 38(23): 6769-6789, 7113.
Abstract Cross-linked polyethylene (XLPE) has been widely utilized as a high-voltage direct current (HVDC) cable insulation material. However, in the context of the growing demand for extra-high voltage direct current cables that require larger capacity and broader operating temperature ranges, XLPE insulation must address the challenges posed by space charge accumulation and the temperature sensitivity of conductivity, which can lead to electric field distortion. To tackle this issue, graft modification introducing deep trap groups can effectively capture charges, suppress carrier transport, and enhance the DC electrical performance of XLPE. Moreover, through the rational combination of organic functional groups, constructing functional graftable molecules capable of effectively introducing deep charge traps, and subsequently grafting them onto XLPE, results in a graft-modified XLPE insulation material with extremely low temperature sensitivity of electrical conductivity.
To investigate the charge transport mechanisms in graft-modified XLPE over a broad field range and explore the regulatory behavior of deep traps introduced by the graft modification on the internal charge in XLPE under varying temperatures and electric fields, this study focuses on two materials: the pristine XLPE before modification and the graft-modified XLPE (GXLPE) developed by our research team, which exhibits excellent DC electrical performance. Tests on the space charge distribution and conductivity current of both materials are conducted over a wide range of electric field strengths and temperatures. The study analyzes how graft modification affects charge transport in XLPE under high electric fields and provides insights into the impact of graft modification on the electrical performance of XLPE from the perspective of charge transport.
The space charge distribution test results indicate a severe charge packet migration behavior within XLPE at high electric fields during the stepwise voltage increase, and this behavior occurs at lower threshold field strengths with increasing temperature. With the increasing of the temperature, charge packet migration can be observed at as low as 15 kV/mm at 70℃. In the grafted XLPE, however, the majority of charges remain confined near the electrodes within the specimen, even under high temperature and high field conditions, with very few charges injected into the material's interior, thus preventing high-density charge packet migration.
The conductivity current test results show that the conductivity behavior in XLPE generally follows the space charge-limited current regime, transitioning from a charge-free Ohmic region to a trap-limited space charge limited current (TL-SCLC) region, and eventually to a trap-filled space charge limited (TF-SCLC) region under high temperature and high fields. In graft-modified XLPE, only the Ohmic and TL-SCLC regions can be observed due to its high trap density and low carrier mobility, which can prevent traps from becoming fully filled, resulting in the absence of a TF-SCLC region within the tested electric field range.
The deep traps formed by graft modification effectively improve the material’s spatial charge and conductivity characteristics over a wide field range, inhibiting space charge packet migration and conductivity current. Even under combined electrothermal field conditions of 120 kV/mm, the deep traps are able to efficiently capture and restrain carriers, demonstrating a stable improvement in DC electrical performance.
keywords:Cross-linked polyethylene (XLPE), grafting modification, wide electric field range, space charge characteristics, conductivity characteristics
DOI: 10.19595/j.cnki.1000-6753.tces.241852
中图分类号:TM215; TM85
国家自然科学基金资助项目(U20A20307)。
收稿日期 2024-10-21
改稿日期 2024-11-19
杨 旭 男,1996年生,讲师,博士,研究方向为聚合物高压直流电缆绝缘材料研发及电荷输运调控。E-mail: erlan_yang@163.com(通信作者)
程 功 男,1998年生,硕士研究生,研究方向为高压直流电缆绝缘材料。E-mail: 840952445@qq.com
(编辑 李 冰)