非热等离子体催化合成氨过程的性能评价指标、检测表征手段与仿真研究进展

冯 越1 樊洁平1 刘定新1 屠 昕2 周仁武1

(1. 西安交通大学等离子体生物医学研究中心 西安 710049 2. 利物浦大学电气工程与电子系 利物浦 L69 3GJ)

摘要 氨是一种重要的工业化学品,工业上主要通过哈伯-博世(H-B)法合成,但这种方法会消耗大量的一次能源并向大气排放CO2。近年来,非热等离子体催化合成氨作为一种绿色的代替方案成为研究热点,各种类型的等离子体以及催化剂的组合被应用到氨合成中,而一套合理的评价标准能够为找到有效的等离子体催化手段提供方向。此外,深入了解等离子体催化合成氨的机理以及等离子体与催化剂的理化特性对推动其技术的发展至关重要,而这基于了解和使用各种先进的检测方法以及对等离子体化学反应的建模和仿真。鉴于此,该文综述了国内外文献报道的等离子体催化合成氨技术评估方法以及仿真进展,并介绍了非热等离子体氨合成反应动力学原理及其典型理论,深入探讨了这些方法的基本原理以及当前的研究进展。另外,该文对低温等离子体催化原位检测手段的发展进行了展望。该文将为探究等离子体催化合成氨领域的研究提供指导,以期共同提升科学认知水平并推动应用发展。

关键词:等离子体催化 氨合成 检测方法 理化特性 仿真与建模

0 引言

氨是一种极其重要的工业化学品,其在农业生产以及其他化学品生产中具有十分重要的地位[1-2]。目前,工业上氨的生产主要依赖能源密集型的哈伯-博世(H-B)工艺,每年需要消耗1%~2%的世界能源供应量,向大气排放的CO2占全球总排放量的1.44%,使其成为主要的温室气体排放来源[3-6]。使用绿色可再生能源与H-B法结合的方式为工业合成氨的脱碳提供了一种解决方案,但H-B工艺的集中、大规模设施难以利用间歇性的可再生电能[7]。然而,在全球向低碳经济转型的过程中,风能、太阳能等可再生能源的比例不断增加,电力系统的波动性和不稳定性问题逐渐凸显,储能技术的重要性也随之提升。高效存储多余电能并在需求增加时迅速释放,直接关系到电网的稳定性。目前,抽水蓄能、压缩空气储能和锂离子电池等传统储能方式受到地理条件、成本及寿命等因素的制约,应用中存在一定的局限性。相比而言,化学储能更具应用灵活性,逐渐受到更多关注。液氨作为一种清洁能源载体,具有高储氢密度、安全运输、零碳排放等优点,是储氢燃料的重要候选者之一[8-10],不仅能够有效地存储和产生可再生电能,还为实现工业合成氨过程的脱碳目标提供了可能的解决路径。因此,探索与可再生能源具有高兼容性的技术,对于实现可持续的氨生产非常重要。近年来,一系列新型氨合成策略被提出,包括酶催化、光催化和电催化,这些方式都能够在室温下实现氨的合成[11-12]。其中,非热等离子体催化合成氨作为一种具有发展潜力的氨生产技术被越来越多的学者研究[13]

非热等离子体是由大量带电粒子组成的非束缚态宏观体系[14-15],是不同于气、液、固的“物质第四态”,其中含有丰富的高能电子、正离子、负离子、自由基、亚稳态粒子、激发态粒子、光子等[15]。非热等离子体催化能够在温和的条件下活化具有强化学键的N2分子,并且产生的高能电子、振动激发物质以及自由基可以与催化剂偶联,提高氨合成的反应效率[16]。据报道,非热等离子体合成氨的理论能耗约为0.2 MJ/mol[17],低于传统H-B工艺的0.48 MJ/mol[18]。另外,等离子体过程具备快速启停的能力,可较好地适应风能、太阳能等可再生电力的波动特性[19]。因此,等离子体辅助氨合成被视为一种高度灵活的解决方案,能够在更靠近终端消耗点的位置实现能源转换与化学合成过程。与能源高度集中的H-B工艺相比,等离子体辅助氨合成可在常温常压下实现分布式、按需生产氨[18]。特别适合小型农场等分布式应用场景,避免了氨的长距离运输与储存风险,实现“随用随启”的灵活供氨模式。此外,非热等离子体快速启停的特性能够利用波动的电能,在削峰填谷中展现出独特优势。在电力过剩时快速响应启动,将多余电能转化为氨的化学能存储,并在电力紧缺时迅速停止,从而帮助平滑电网负荷,缓解电网的峰谷波动压力。该技术在常温低压下高效生成氨,避免了传统H-B法的高温高压需求,使其能够轻松适应不稳定的清洁电源,将电能转化为化学能储存在氨中。而合成的氨气不仅可以储存和输送,还可在电力负荷高峰期作为能源使用,促进了电力系统的低碳化,提升了能源利用效率和系统的稳定性[20]。这种方法通过将波动的电能转化为氨的化学能,最终为电力网络的削峰填谷提供了一种灵活、环保且可持续的解决方案,有效地助力低碳经济目标的实现[21]

在等离子体催化合成氨中,介质阻挡放电(Dielectric Barrier Discharg, DBD)的低温非热平衡性质有助于避免高温环境中氨的分解,从而提高氨的产率[22]。此外,虽然DBD放电以丝状形式存在,但其空间分布相对分散,能够在反应区域内实现较均匀的能量释放,从而降低局部高能放电破坏催化剂表面的风险,有助于催化剂的保护与寿命延长。为了提高反应速率与能耗,催化剂的选择至关重要,例如在Ni/Al2O3或Co-Ni/Al2O3催化剂上,氨的合成速率显著提高,可达1 500 mmol/(g·h),能量效率为0.83 g/(kW·h)[23]。另外,具有特定多孔结构的催化剂MCM-41在等离子体中的屏蔽效应可以有效防止氨的分解,合成效率能够达到3 959 mmol/(g·h),能量效率高达1.2 g/(kW·h)[16]。据统计,大部分等离子体催化合成氨的合成速率在300~5 000 mmol/(g·h)之间,能量效率在0.3~2 g/(kW·h)之间[16, 23-26]

尽管等离子体催化技术在绿色氨生产中展现出巨大潜力,但仍面临若干挑战。例如,开发适用于氨合成的高效能等离子体发生器及其配套催化剂;对等离子体催化反应进行精确的诊断;对工业化推广的可行性进行详细分析以及探索与可再生能源集成的策略等[27]。实现对氨产物的精确定量(如氨合成产率与能耗等性能)是对比不同等离子体放电形式的关键,这为优化反应条件提供了依据。而通过对等离子体与催化剂的理化特性进行深入诊断,有助于筛选适用于氨合成的催化剂,并设计更加高效的反应器,以提升等离子体催化的整体性能。此外,基于仿真建模加深对等离子体催化反应机理的理解,不仅能促进反应过程的精细调控,还能为实验设计提供科学指导,从而进一步提高氨合成效率。通过上述环节的有效结合与推进,等离子体催化在绿色氨合成中的应用有望实现质的飞跃。为此,本文将系统地回顾等离子体催化合成氨的性能评价指标,并整理分析国内外文献中关于等离子体催化合成氨的检测与仿真方法,为确定适合氨合成反应的等离子体发生技术和催化剂提供了关键指导。非热等离子体催化合成氨性能评价标准、检测方法以及建模仿真手段示意图如图1所示。本综述围绕等离子体催化合成氨的评估方法,涵盖性能测试指标、等离子体与催化剂的理化特性分析以及反应机理探究,重点关注催化剂的原位诊断和密度泛函理论(Density Functional Theory, DFT)计算等建模技术。本综述的归纳旨在为初入等离子体催化合成氨领域的研究人员提供参考,以期共同推动等离子体催化的基础研究和应用发展。

width=165,height=165.25

图1 非热等离子体催化合成氨性能评价标准、检测方法以及建模仿真手段示意图

Fig.1 Schematic diagram of evaluation criteria, testing methods and modeling simulation tools for non-thermal plasma-catalyzed ammonia synthesis performance

1 氨的检测方法及氨合成性能的评价指标

了解与掌握各相氨浓度检测方法及氨合成性能评价指标是实现不同等离子体催化系统对比的基础。本节详细阐述了氨的气液相定量方法、系统能量效率计算方法与稳定性测试。

1.1 氨的定量方法以及合成速率计算

在等离子体催化反应中,氨合成效率与催化剂的用量有关。氨的合成速率width=24,height=17作为评价等离子体催化合成氨性能最直观的指标之一,反映了单位克重催化剂的氨合成速率,表达式为

width=156,height=30 (1)

对气液相氨浓度的定量,是计算氨合成速率的重要步骤。当前对氨浓度的检测手段主要有气相检测法和液相酸吸收法。其中,气相氨浓度常用气相色谱(Gas Chromatography, GC)[28-29]、傅里叶红外光谱(Fourier Transform Infrared spectroscopy, FTIR)[30]、非色散红外传感器(Non-Dispersive InfraRed, NDIR)进行检测[31];液相氨浓度常用化学试剂(如Nessler试剂与吲哚酚蓝)对溶液中width=23,height=17的浓度进行定量。

1.1.1 红外检测法(FTIR与NDIR)

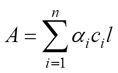
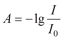
红外检测的原理是测量样品中的分子在连续波长的光照下,因偶极矩变化而吸收特定波长红外光,然后通过分析光谱中的吸收波段以及吸收强度,实现气体的定性和定量分析。在确定气体组分时,通过比较测量光谱与纯组分或标准混合物的参考光谱来确定所测气体的成分。气体分析遵循Lambert- Beer定律,吸光度A的大小与入射辐射功率I0和传输辐射功率I的比值相关(式(2)),条带的强度原则上与光路中吸收物质的量成正比。

width=47,height=30 (2)

对含有n种成分的气体混合物,各成分浓度与吸光度的关系为

width=53,height=33 (3)

式中,width=12,height=15为成分i特定波数下的摩尔吸收系数;width=10,height=15为成分i浓度;l为吸收路径长度[32-33]

FTIR技术能够覆盖较广的红外波段范围,并提供样品的完整红外光谱信息。而NDIR技术则是一种窄波段检测方法,依赖红外光源和特定波长的滤光片,仅检测目标气体的特征吸收波长[34]。因此,NDIR技术更专注于单一或少数特定成分的定量分析,而不像FTIR技术那样可获取样品的完整光谱信息。

在FTIR检测中,由于不同气体组分吸光度的叠加性,在识别多组分气体及其浓度定量过程中需要用到各类分析方法。一种是用光谱减法进行解谱,从标准光谱数据库(如NIST、SADTLER、HITRAN数据库)中识别气态产物后,从测量光谱中依次减去被识别的标准光谱,直到残余光谱中仅剩噪声[35],但该方法需要准确识别所有成分以进行精确定量。另外,经典最小二乘法(Classical Least Squares, CLS)和偏最小二乘法(Partial Least Squares, PLS)是最常用的多组分光谱定量方法,其原理是将标准光谱的线性组合拟合到测量光谱以最小化残差[36]。然而,CLS和PLS中对于吸光度的简单叠加并不适用于高浓度气体的非线性特性[32]。后来,更多先进的处理算法被开发出来,如人工神经网络、非线性最小二乘法等[37-38]。Wu Yifan等开发了一种具有局部多项式插值非线性最小二乘模型(Nonlinear Least Square, NLSLPI),经验证,该方法解决了分量光谱的非线性问题,在分析混合物方面表现出很高的准确性[38]。在具体实验中,由于气体的吸光度受多因素影响,实验人员也可以考虑通过绘制梯度浓度标准曲线的方式进行定量。

1.1.2 气相色谱法(GC)

通过气相色谱也能够实现氨分子的定量,不同组分在固定相间的分配系数不同,组分在色谱柱中被反复多次分配,分配系数小的组分被固定相滞留的时间短,能够较快地从色谱柱中流出,从而实现组分分离。相比于FTIR,GC的优势在于对复杂的混合气体有很好的分离效果。GC具有较高的灵敏度,能够在水分和二氧化碳的干扰下可靠检出低浓度样品;但其对进气流速有一定限制,通常适用于流速低于100 mL/min的进气条件,以避免因流速过高造成色谱柱分离效率降低、检测器响应异常和系统压力波动等问题。此外,在进行定量分析时,必须使用已知浓度的标准样品对信号进行校正才能获得可靠的结果。

分离和质谱技术的结合能够对复杂混合物进行多维分析[39-42]。目前,常用气相色谱与质谱(Gas Chromatography-Mass Spectrometry, GC-MS)检测联用的方式提高样品鉴定的可信度和灵敏度,样品中各组分被色谱柱分离后得到的挥发性化合物被输入质谱仪,在质谱仪内,中性分子首先被电离,经电场和磁场将不同质核比的离子分离。MS为GC提供的保留时间和峰强度信息增加了第三维度,可以通过离子的质量、同位素的存在和碎片离子之间的损失来确定分子式和分子的结构。然而,在用GC-MS进行测试时,质谱仪需要保持较高真空度,因此联用时GC中应使用较小内径的进样柱和较低的柱流量,并需要对质谱仪进行定期维护。

两种气相检测方法的性能对比见表1。总的来说,FTIR更适合对干燥的、气体组分较少的气体进行定性和定量分析;GC更适合对流速较低的、组分较复杂的混合气体进行定性和定量分析。

表1 FTIR与GC气体检测性能对比

Tab.1 Comparison of FTIR and GC gas detection performance

方法适用范围优点缺点 FTIR组分种类较少气体的定性以及定量分析分析速度快、精度高水分对结果干扰较大、难以定量高浓度的组分 NDIR主要用于特定气体的定量分析背景噪声低、能够准确测量低浓度的目标气体仅针对单一或少数组分检测、无法获得完整光谱信息 GC能够对复杂的混合气体进行定性和定量分析对复杂气体的分离效果强、能够在含水的情况下灵敏检测、可与MS结合对进气流速有限制、需要定期进行信号校正

1.1.3 液相铵根离子检测

除气相检测外,液相铵根离子检测也被广泛应用,尤其是在等离子体结合电催化和光催化等含水体系中。常见的水介质氨的定量检测有三种方法:离子色谱法(Ion Chromatography, IC)、Nessler试剂法以及吲哚苯酚蓝法(Indophenol Blue, IB)。其中,离子色谱法是一种便捷的离子检测方法,能够在较短时间检测多种组分和阳离子,有高灵敏度和良好的重现性。但由于其价格昂贵,需要小心使用。

Nessler试剂包含K2HgI4和KOH,其原理是碘离子和汞离子在碱性条件下与氨反应生成红棕色络合物,反应式见式(4)。该络合物在420 nm处强烈吸收,在没有干扰物的情况下,其吸光度与氨的浓度成正比。另外,在检测过程中常添加酒石酸钾钠(NaKC4H4O6·4H2O)来减少如width=22,height=15width=23,height=15width=22,height=15width=22,height=15、Ag和width=21,height=15等其他离子的影响。这是由于酒石酸钾钠有很强的螯合作用,能够与这些金属离子形成稳定的络合物,使它们在检测体系中失去反应活性,避免其对氨的检测形成干扰[43]。另外,配置的试剂溶液必须不含氨,并且反应时间对NH3定量的影响较大,一般为10~30 min。

width=220,height=17(4)

吲哚苯酚蓝法遵循贝特洛反应,原理是氨与苯酚和次氯酸盐在碱性溶液中反应生成蓝色的吲哚苯酚产物。其中,硝普钠作为催化剂,柠檬酸盐缓冲液用于稳定反应液的pH值。

这几种液相氨浓度检测方法能够在较宽的铵根浓度范围内进行高精度检测,但并非适用于所有情况。有研究发现,溶液的pH值、某些金属离子、牺牲剂和含氮化学物质的存在会对氨的检测和定量产生不利影响[44]。在不同pH值条件下测试两种检测方法的精确性(铵根离子浓度为1 000 mmol/L),结果显示,在中性或碱性条件下,使用Nessler试剂和吲哚酚蓝这两种方法都能准确地检测氨浓度。然而,在酸性条件下,吲哚苯酚蓝法测得的铵根离子浓度偏低,有较大误差;低pH环境对Nessler试剂检测法的影响不大,与pH=7相比,在pH=4时检测到的氨量减少了11%(即相对误差为11%)。这种轻微的下降可能是由于在酸性条件下碘离子和汞离子与氨的反应方式的改变[44]

在某些氮还原反应体系中,常添加甲醇等醇类物质作为电子供体,以促进产氨反应的进行,这类物质通常被称为牺牲剂。检测液中残留的牺牲剂等物质(如甲醇及其氧化产物)也会影响铵根离子浓度的检测结果。结果表明,有机溶剂的加入对Nessler试剂法和吲哚苯酚蓝法均有很强的干扰作用[44]。另外,利用离子色谱进行检测时,这些有机牺牲剂有可能损坏色谱中的阳离子色谱柱,需对牺牲剂进行彻底清除。

综上所述,为了能够准确可靠地检测液相氨浓度,需要选择恰当的方式,三种液相氨浓度检测方法的性能对比见表2。

对于低转化率和低选择性氨合成的实验,大气、人体呼吸、催化剂以及氮气流中的氨污染不能忽视。因此,验证产物中氮的来源十分有必要[44-46]width=30,height=17width=30,height=17能够通过质谱法[47]、红外光谱[48]以及核磁共振(Nuclear Magnetic Resonance, NMR)波谱[49]进行区分。使用width=22,height=17代替width=23,height=17进行同位素定量测量(NMR)法能够可靠地检测和量化产生的氨,被广泛应用于验证氨的产生途径,防止实验结果假阳性。

表2 液相氨浓度检测方法性能对比

Tab.2 Comparison of liquid-phase ammonia concentration detection method performance

检测方法适用的溶液pH范围优点缺点 IC酸性或中性测试速度快,灵敏度高价格昂贵,需定期维护 Nessler酸性、中性、碱性能够在较宽的铵根浓度和PH范围内进行高精度检测杂质对结果影响大、反应时间对结果影响较大 IB中性或碱性能够在较宽的铵根浓度范围内进行高精度检测杂质对结果影响大、无法在酸性条件下进行测试

本课题组首次将一种非热等离子体气泡塔反应器与电催化相结合,实现高效氨生产,以代替传统哈伯法(见图2a)[50]。为了验证结果的可靠性,使用15N2进行同位素定量测量法能够可靠地检测和量化产生的氨[50-51]。以核磁共振波谱为例(见图2c和图2d),由于width=31,height=17width=15,height=13.95width=19,height=15标量的相互作用,width=15,height=13.95共振成两个间隔为73 Hz的对称信号,而在width=31,height=17中则显示为三个间隔为52 Hz的对称信号,这一特性能够区分溶液中铵根的来源。另外,通过对标样的峰面积绘制标准曲线,能够对溶液中的width=31,height=17width=31,height=17进行量化。图2e显示了用width=23,height=17作为反应气体时,NMR法除了能够检测出width=31,height=17波谱外,也能检测出被环境污染的微量的width=30,height=17

width=238.4,height=215.85

图2 离子体结合电催化产氨以及同位素定量测量法[50]

Fig.2 Plasma-bound electrocatalytic ammonia production and isotope quantification measurements[50]

1.2 能量效率计算

一般来说,等离子体催化合成氨的输入功率越高,氨的产生速率越快。通过对反应器的输入能量进行检测来计算能量效率,能够体现氨生产速率与输入能量的关系,反映生产单位克重氨的电能消耗。在等离子体反应系统中,准确地测量放电功率十分关键,目前常用的功率计算方法主要包括电压-电流积分法与李萨如(Lissajous)图法,二者适用于不同类型的放电系统。

1.2.1 电压-电流积分法

早期的工作用功率计检测功率,但功率计所显示的功率是电源的输入功率,并不是反应器的消耗功率,因此是一种非常不准确的检测方式。后续的工作通常用电压-电流积分和电压电荷(V-Q)李萨如图法对功率进行计算[52-54]。电流-电压积分法是通过对电压V和电流I的乘积进行积分得到放电功率,见式(5)。这种方法适用于非周期性、复杂波形或具有高瞬时功率密度的放电系统,如脉冲放电(纳秒/微秒脉冲)和直流放电。在这类系统中,难以通过周期性方法评估平均功率,须采取逐点积分的方式获得能量输入信息。该方法适用范围广,但对测量系统的采样速率和电流-电压探头之间的同步性有较高要求,否则计算容易出现误差。

width=76,height=21 (5)

式中,f为频率。

1.2.2 李萨如图法

相较之下,李萨如图法适用于周期性良好、近似正弦波形的交流放电系统,如交流介质阻挡放电(AC-DBD)系统。李萨如图法对电信号采集的同步性要求不高,它作为基于使用监控电容进行电荷测量的一种更加精确的功率计算法被越来越多的研究工作应用[54-56]。这种方法最初由T. C. Manley 提出[58],后来被用于等离子体材料加工的相关工 作[58-59]。图3显示了测量电路连接以及李萨如波形示意图,使用有已知电容的监控电容器,与等离子体发生器串联,通过探头将电压信号输入示波器中进行检测。具体计算方法为

width=95,height=21 (6)

式中,C为串联的已知电容;Vs为装置输入电压;VC为电容器两端的电压。通过积分李萨如波形的面积S容易得到等离子体反应器的实际输入功率。

氨合成的能量效率是生产氨的质量与所需能量的比值,式(7)展示了能量效率width=73,height=18的计算方法。为不同等离子体催化系统能量效率的比较提供统一标准。

width=216.1,height=129.35

图3 李萨如图法测量功率

Fig.3 3Lissajous method of power measurement

width=73,height=30 (7)

式中,width=24.95,height=17t小时合成氨的质量,容易由氨浓度推导得出;10-3为单位转换系数。

1.3 合成氨稳定性测试

在工业应用中,催化剂在使用一段时间后会失活,而催化剂的更换会造成成本的增加。因此,探究催化剂在等离子体环境下的活性持续时间很有必要。一般的测试方法为催化剂长时间(几十到几百个小时)被特定功率的等离子体处理,利用FTIR连续采集流出气体氨的含量并绘制时间浓度曲线进行前后对比,如图4所示。如果初始与结束时的氨气浓度没有明显差异,则说明该催化剂有良好的稳定性。

width=224.5,height=114.85

图4 Ni/MCM-out催化剂的稳定性测试[16]

Fig.4 Stability testing of Ni/MCM-out catalysts[16]

2 等离子体以及催化剂特性的检测

在等离子体催化合成氨中,探究等离子体以及催化剂理化特性能够为其技术提供理论支撑,而掌握这些理化特性,必须依赖各种先进的检测方法。因此,深入了解各类针对等离子体催化的检测方法,开发更多的检测手段,对推动等离子体催化合成氨的发展有决定性的作用。本节重点围绕等离子体特性检测、催化剂理化性质检测以及反应粒子原位检测这三个方面系统介绍了现有的针对等离子体催化合成氨的检测手段。

2.1 等离子体特性检测

在等离子体催化反应中,催化剂的存在会改变等离子体的特性,因此,通过现有的检测手段对比填充催化剂前后等离子体的特性对其机理的研究十分重要。下文对发射光谱法、ICCD拍摄、飞秒双光子吸收激光诱导荧光技术、相干反托斯克斯拉曼散射与电场测量这四种应用于等离子体催化检测的常用方法进行阐述。

2.1.1 发射光谱法

通过光学发射光谱(Optical Emission Spectro- meter, OES)依据各种元素的原子或离子在热激发或电激发下产生的特征辐射波长进行检测。该方法能够检测出等离子体中原子和分子的激发态,对等离子体中气相反应物质进行探究。在N2和H2混合气等离子体中,OES谱图中能检测到氮分子的激发态width=16,height=17、氮离子width=16,height=17、NH自由基以及Ha、N原子等谱线(带),常用的谱线(带)及其波长范围见表3。N2和H2等离子体的典型OES谱图及N2谱带拟合光谱如图5所示。如图5a所示,通过比较这些谱线的峰值强度能够推断出等离子体气相中的重要的反 应[60]。另外,通过结合商业软件Specair拟合第二个正系统上的N2谱带(N2(C3Pu→B3Pg)),能够得到电子振动温度Tvib与旋转温度Trot,如图5b和图5c所示,其中旋转温度可以近似为气体温度[28, 61]

表3 N2和H2混合气等离子体中常见谱线(带)及其波长范围

Tab.3 Common spectral lines (bands) and their wavelength ranges in N2 and H2 mixture plasma

常见谱线(带)波长/nm参考文献 NH336[62] Ha656.3[63] (0,0)391.4[60] (1,1)388.4[60] (0,0)337.1[62] (3,6)389.5[60] (2,5)394.3[60] 674[60] 300~450[64] 300~450[65] 550~1 070[66]

width=222.35,height=350.1

图5 N2和H2等离子体的典型OES谱图及N2谱带拟合光谱[62]

Fig.5 Typical OES spectra of N2 and H2 plasma and simulated spectra of the N2 band[62]

2.1.2 ICCD放电强度拍摄

增强型电荷耦合相机(Intensified Charge Coup- led Device, ICCD)的曝光时间短、感光能力强,能够得到ms或ns时间尺度下的放电形貌以及周期变化规律,提供了一种可以直观显示等离子体区域的放电状态的方法[67-68]。通过所拍摄的放电形貌能够判断等离子体的放电模式,如丝状放电、辉光放电等[69-70]。图6a~图6c显示了未填充催化剂以及填充Al2O3和Ni/Al2O3催化剂后等离子体的ICCD图像,能够根据拍摄的放电区域颜色判断放电强度和状态。图像显示,催化剂表面的导电的Ni颗粒能够促进放电的扩散,抑制局部放电形成[60]。同样地,在填充床DBD的实验和模型研究中表明,添加催化剂后显著减少了等离子体放电气隙,从而减少丝状放电,增强表面放电的形成[71-73]。此外,为弥补ICCD在拍摄特定活性粒子的限制,耦合滤光片是为拍摄特定粒子的时空演化而提出的一种改进技术。在热或电激发下产生的不同冷等离子体粒子具有特定的本征波长,选择ICCD相机结合特定波段光透射的滤光片能够拍摄特定粒子的时空演化。图6d和图6e是ICCD结合滤光片对特定粒子width=16,height=17(B)和O(3p5P)的时空演变图像[74]

2.1.3 飞秒双光子吸收激光诱导荧光技术

飞秒双光子吸收激光诱导荧光(femtosecond, Two- photon-Absorption Laser-Induced Fluorescence, fs- TALIF)技术能够用于测量等离子体中的原子[75-79]。通过测量已知密度的Xe、Kr等稀有气体等离子体产生的TALIF信号并进行校准,能够得到O、N、H原子的绝对密度,并且具有较高的灵敏度。研究人员提出了使用fs-TALIF对等离子体中的N、H原子浓度进行测量[80-81]。该装置由fs激光系统、等离子体装置、ICCD相机组成,通过在镜头前加装带通滤波片拍摄在656.3 nm处发射的H荧光和在742~746 nm处发射的N荧光信号[81]。结果表明,N原子比H原子密度低大约一个数量级,表明了N原子在等离子体氨合成中的关键作用[80],为等离子体动力学模型预测提供了支撑[81]

width=429.9,height=463.6

图6 ICCD拍摄放电图及结合滤光片的时空演变图[61, 75]

Fig.6 ICCD discharge pictures and temporalevolution pictures of ICCD combined with filters[61, 75]

2.1.4 相干反托斯克斯拉曼散射与电场测量

相干反托斯克斯拉曼散射技术(Coherent Anti- Stokes Raman Scattering, CARS)是一种光学四波诊断技术,近年来普遍应用于等离子体的研究中,尤其是含氮等离子体[82-84]。该技术可以看作一对双光子过程。首先,一个波长为wp的“泵浦”和波长为ws的“斯托克斯”光波入射到含有双原子分子的可偏振介质中,与其相互作用产生极化。该极化在两个波之间的频差wv=wp-ws下相干振荡,如果wv与介质某一物质的共振频率(振动或旋转频率)一致,则极化最大化。随后,第三个探测波(一般与泵浦波频率一致)从相干振荡偏振引起拉曼散射[84]。另外,每个分子的拉曼散射在相位匹配的方向上相干地相加,这会导致在反斯托克斯频率wAS=2wp-ws下产生第四束类似激光的光束[84]。对光谱进行拟合能够得到测量物质的振动与旋转温度[85]

利用外加电场对分子能级或相干振荡的调制效应,通过分析CARS信号的变化,可以实现对体系电场强度的定量测量[82]。施加的电场在其他非极性分子中感应出电偶极子,这种小的场感应偶极矩以振动频率辐射,在红外中产生类似CARS的相干信号IIR,该信号强度与电场强度的关系式为

width=74,height=34 (8)

式中,IpumpICARS分别为泵浦与CARS光波信号值;c为常数值,通过亚击穿直流场的校准确定。

2.2 催化剂理化性质检测

催化剂的某些特定性质可能有利于等离子体合成氨,另外,等离子体的处理可能会改变催化剂的物理结构和化学性质。因此,探究催化剂的理化特性能够筛选在等离子体处理下催化效果优异、结构与性能稳定的催化剂。本节详细阐述了目前等离子体催化合成氨常用的催化剂检测手段以及简单原理。

2.2.1 X射线光电子能谱分析

X射线光电子能谱(X-ray Photoelectron Spectro- scopy, XPS)是材料分析的重要手段,可用于探测材料表面的元素、电子和化学特性[86-89]。其原理是基于爱因斯坦光电效应的X射线辐射引发光电效应,光发射的基本能量守恒方程见式(9)[90]。在X射线辐射下,样品内的分子或原子的电子激发形成光电子,通过收集光电子信号来检测样品表面的化学组成、元素结合能以及价态,其优点是能够在不损坏样品的情况下进行无损分析[86],其扫描谱类型分为XPS全扫描谱与高分辨谱。全扫描谱的能量范围宽(0~1 100 eV),能够实现样品元素鉴别,但分辨率较低;高分辨谱有较高的分辨率,但扫描能量范围较窄(20 eV左右),主要是针对目标元素的化学态分析。

width=72,height=15 (9)

式中,h为普朗克常数;v为光子频率;EB为光电子的结合能(相对于费米能级或电子化学势的结合能);j为光谱仪的固有功函数;Ek为光谱仪中最终测量的动能。

在一些工作中,常使用XPS检测使用后的催化剂表面含氮物种(NHxx=0, 1, 2, 3)[16, 61],其结合能见表4。通过含氮物种的含量以及比例分析表面催化过程可能的限速步骤,如NH2物质被认为是等离子体催化合成氨过程的关键中间体,而表面上较多的-NH3则说明氨的解吸可能是限速步骤之一[63]。但该方法缺乏时效性,无法做到对催化剂表面含氮物种进行实时、准确的检测。

表4 催化剂表面含氮物质的结合能

Tab.4 Binding energy of nitrogen-containing substances on the catalyst surface

含氮物质结合能/eV参考文献 -N397.4[91-92] -NH398.7[91] -NH2399.7[91, 93] -NH3400.7[91, 93]

2.2.2 X射线衍射分析

X射线衍射分析(X-Ray Diffraction, XRD)是探究样品物相与晶体结构的一种方法,X射线照射相邻两晶面的光程差为2dsinq,当光程差等于X射线波长的n倍时,X射线的衍射强度将相互加强;反之,强度减弱或等于0,遵循布拉格方程(式(10))[94]。这种不同程度的衍射现象能够反映样品的物质组成、晶型、分子内成键方式、分子的构型和构象等特性[95-96]

width=113,height=13.95 (10)

式中,ldq分别为X射线的波长、晶体晶面间距、入射X射线与相应晶面的夹角。通过对催化剂进行XRD图谱分析,能够深入了解活性金属(如Ni、Co等)在载体上的负载情况,包括活性金属的晶面信息、晶体尺寸等。另外,从图谱中还可以分析载体本身的晶体结构变化,其衍射的强度降低可能是由于金属与载体之间存在相互作用[97]

2.2.3 催化剂样品微观形貌观测

主要是通过电子显微镜(Scanning Electron Mic- roscope, SEM)和高分辨率透射电镜(High Resolution Transmission Electron Microscope, HRTEM)这两种方式对催化剂微观形貌进行观测。SEM通过电子轰击样品产生二次电子和背射电子等信号,探测器将信号转换成图像信息,放大倍数能够达到几十万倍,分辨率在5~10 nm。HRTEM将电子束透射到非常薄的样品上从而形成影像,最终通过成像器件处理呈现图像信息。与SEM相比,HRTEM有更高的分辨率,能够达到0.2 nm,并且能够在样品薄区获得反映间距信息的晶格条纹像以及电子衍射图,电镜的EDS/EDX能谱分析可以确定样品的元素组成、分布以及含量。除HRTEM之外,其他高分辨电子显微镜[98-99],如高角环形暗场像-扫描透射电子显微镜(High-Angle Annular Dark-Field-Scanning Trans- mission Election Microscope, HAADF-STEM)也可用于观测载体与金属纳米颗粒的形貌。

通过对金属负载的粒度与分布进行分析,能够判断活性金属在载体表面的分散性。在相同质量分数的金属负载下,金属分散性高且具有较小粒径的催化剂具有较高的金属表面积,这有利于催化反应的进行[100]。另外,通过对负载金属平均粒径的分析,能够计算活性金属的氨合成平均周转频率(Turnover Frequencies, TOF),计算方法为

width=84,height=31.95 (11)

式中,width=27,height=17为每秒产生氨分子的物质的量;Dmetal为金属分散度;Mmelta为金属负载总物质的量。

2.2.4 比表面积及孔隙度分析

同样粒径大小的颗粒可能因为孔结构的不同而拥有不同的比表面积,比表面积及孔隙度分析(Brunaur-Emmett-Teller, BET)作为一种最常用的方法广泛应用在催化剂表征中。通过测量在低温条件下,样品在不同压力下对气体(吸附质通常为N2)的物理吸附脱附情况,能够确定催化剂的比表面积、孔径分布、平均孔径和平均粒径等信息。

比表面积大的载体有利于更好地分散活性金属,提高金属颗粒的抗烧结性,从而提高催化效率与催化剂的稳定性[101]。有研究表明,催化剂载体内部的介孔(2~50 nm)可能是提高氨产率的重要因素,由于其孔径远小于德拜长度(mm级别),在等离子体催化合成氨反应中能够起到屏蔽等离子体、减少氨分子分解的作用[16]

2.2.5 程序升温脱附/程序升温还原测试

程序升温脱附(Temperature Programmed Desorp- tion, TPD)/程序升温还原(Temperature-Programmed Reduction, TPR)是一种动态的分析过程,样品表面吸附某一吸附质后,在稀有气体气氛下,以一定速率加热,通过连接热导检测器(Thermal Conductivity Detector, TCD)、质谱、气相色谱仪等定量测量流出气体的组成和浓度变化,得到脱附曲线。

在等离子体催化合成氨系统中,常用NH3-TPD技术检测催化剂的酸度,即通过对比解吸信号强弱与解吸温度判断样品的相对酸度;而H2-TPR技术常用于对比金属氧化物的还原温度进而分析金属与载体的相互作用强弱[102-103]。通过NH3-TPD技术探究金属负载对催化剂表面酸度的影响时,研究结果表明,金属负载能够显著降低Al2O3表面中酸性和强酸性位点的浓度,同时增加了弱酸性位点的浓度,降低了催化剂表面总体酸度[61]

2.2.6 非弹性中子散射

非弹性中子散射(Inelastic Neutron Scattering, INS)适用于检测固体催化剂上表面结合物质的振动特征,对氢等轻元素的敏感性高,可以通过中子振动光谱检测含氢的吸附剂[104-106]。该技术已经成功地用于观察含氢表面物质,如氢化物、过氧化物和NH3[104, 107]。J. Kammert等首次通过热原位-非弹性中子散射技术探究了Ru/C12A7表面吸附氢在热催化氨合成中的重要作用[106]。随后,P. M. Barboun等报道了用非弹性中子散射(Inelastic Neutron Scat- tering, INS)的方法检测等离子体处理后催化剂的表面氢化物[108]。图7显示了非弹性中子散射检测原理以及经N2和H2等离子体分离处理后Ni/g-Al2O3的INS光谱图,结果显示,等离子体能够促进氮分子形成表面结合氮,进而参与进一步表面氢化反应产生中间体[108]。另外,该工作通过N2与H2等离子体的分离处理,验证了催化剂表面可以通过对表面结合氮的氢化形成NHx物质,验证了表面反应路径的可行性[108]

width=234.55,height=129.1

图7 非弹性中子散射检测等离子体处理后催化剂表面物质示意图及光谱图[108]

Fig.7 Schematic and spectral diagram of inelastic neutron scattering detection of catalyst surface material after plasma treatment[108]

2.3 反应粒子原位检测

2.1节和2.2节阐述了单独等离子体或催化剂特性的检测方法。然而,催化剂与等离子体交互作用的原位检测对于探究在等离子体中催化剂表面物质的反应路径以及完善等离子催化动力学更加重要。目前报道的原位检测法有原位红外法和原位电子撞击分子束质谱法。

2.3.1 原位红外检测

如前所述,XPS等离线检测方式能够对使用后的催化剂表面上的NHx物质进行检测,但对等离子体环境中催化反应的直接测量以及表面反应中间体的振动测量仍需开发。L. R. Winter等首次报道了原位FTIR光谱法,这种原位监测方法能够有效检测等离子体环境下催化剂表面的吸附物质[109]

在之前的研究中,本文作者团队通过原位FTIR光谱法观测了等离子体催化氨合成过程中催化剂表面吸附质的变化[16]。如图8a所示,原位光谱显示了Ni-MCM-41催化剂在N2等离子体中的氮分子活化与吸附,发现催化剂表面Ni活性位点能够促进形成吸附态的*N2。随后,通过H2等离子体对吸附的氮分子进行氢化,结果显示表面的Ni活性位点同样能够促进系列NHxx=0, 1, 2)中间体的生成(图8b)。其中,氨合成反应的原位红外光谱关键吸附物质振动峰见表5。图8c结合了原位红外光谱的结果,提出了催化剂表面的反应机理:Ni活性位点能够促进气-固相Eley-Rideal(E-R)和Langmuir-Hinshel- wood(L-H)反应,从而加速NH3的合成速率。这种原位检测方法为等离子体催化中发生的表面反应提供了直接证据,从实验上为等离子体催化合成氨的机理提供了见解。

width=219.8,height=445.15

图8 原位FTIR检测表面吸附质振动峰对比以及可能的机制[16]

Fig.8 In situ FTIR detection of surface adsorbate vibrational peak contrasts and possible mechanisms[16]

表5 氨合成反应的原位红外光谱关键吸附物质振动峰

Tab.5 Vibrational peaks of key adsorbed substances from in situ infrared spectra of ammonia synthesis reactions

关键吸附物质波数/cm-1参考文献 NH31 628[109-110] NHx1 657(NH)[109-112] 1 588(NH) 1 562(NH2) 1 546 1 535 1 483 1 449(NH)

2.3.2 质谱法原位检测

电子撞击分子束质谱仪(Electron Ionization- Molecular Beam Mass Spectrometry, EI-MBMS)能够用于检测气相自由基和分子,Zhao Hao等将分子束质谱仪的取样喷嘴置于等离子体区域末端,实现了原位分子束质谱检测[113]。图9展示了原位EI- MBMS测试示意图,NNH与N2H2首次在等离子体氨合成中被发现。通过EI-MBMS原位鉴定气相物质为研究等离子体催化的动力学提供了一种有效的方法。结果显示,相比于未填充的反应器,装有g-Al2O3的反应器中检测到更高浓度的NH3和更低浓度的NNH、N2H2、NH。这表明在等离子体催化反应中NNH、N2H2可能与固体表面相互作用,促进催化剂上表面反应的进行。另外,Zhao Hao等通过对比空反应器与装载催化剂反应器的物质浓度,发现气相物质NNH与NH3的浓度的差异相当,这表明NNH很有可能通过催化剂的表面反应转化为NH3[113]

width=215.65,height=232.9

图9 分子束质谱仪(MBMS)和用于在等离子体辅助催化反应器中对气相物质进行原位采样的定制接口的示意图[113]

Fig.9 Schematic of a molecular beam mass spectrometer (MBMS) and a customized interface for in situ sampling of gas-phase material in a plasma-assisted catalytic reactor[113]

2.4 检测方法评价

在等离子体催化合成氨研究中,各种检测手段的应用为深入理解反应机制、优化催化剂结构以及提升氨合成效率提供了坚实的理论依据。等离子体特性检测手段能够有效地分析等离子体中的电子温度、放电模式及活性粒子分布,为理解不同尺度的温度场变化及反应过程提供了多维视角,对等离子体催化合成氨的过程控制具有重要的参考价值。针对催化剂特性的检测方法主要用于表征催化剂的结构、物相及表面活性位点,有助于对催化剂的成分和结构进行优化,从而提升催化性能。需要指出的是,大多数催化剂特性检测手段为离线分析,缺乏对反应过程的实时监测能力。通过原位红外光谱和电子撞击分子束质谱等原位检测技术,研究者能够在反应过程中实时观测气相及催化剂表面中间产物的动态演变,弥补离线分析在时间分辨性方面的不足,在揭示催化路径和反应动力学方面展现出独特优势。尽管此类技术在实验操作上较为复杂,且信号易受干扰,但结合原位与准原位手段,能够更深入地捕捉等离子体与催化剂界面处关键中间体及其相互作用过程。借助多尺度、多维度的诊断与表征手段,以系统揭示反应过程中活性物种的种类、浓度变化与演化特征,进而构建放电特性、催化剂结构与氨合成性能之间的关联桥梁。

表6对以上检测手段进行了分类与汇总,以便更直观地了解各检测方法的特点、优势及局限性。

表6 等离子体催化合成氨中检测方法分类与汇总

Tab.6 Classification and summary of assays in plasma-catalyzed ammonia synthesis

类别检测方法主要用途优 势局限性 等离子体特性检测发射光谱法(OES)探测等离子体中激发态和离子态可定量分析电子温度和旋转温度对低能态粒子灵敏度较低,适合定性分析 ICCD成像获取放电形貌与放电模式高速成像,ns级成像难以定量分析,对特定粒子拍摄有局限 fs-TALIF测定活性原子的绝对浓度测定活性原子的绝对浓度系统复杂,设备昂贵 CARS测量旋转与振动温度可实现电场强度测量,分辨率高光学系统复杂,实验要求高 催化剂特性检测X射线光电子能谱(XPS)表面元素分析及价态检测元素种类多,表面成分分析仅适合表面成分分析,难以原位检测 X射线衍射(XRD)分析晶体结构和物相变化可检测晶体结构变化,应用广泛nm级局部结构难以解析 SEM/HRTEM微观形貌和表面结构观测分辨率高,适合纳米尺度观测设备昂贵,对样品处理要求高 比表面积及孔隙度分析(BET)分析比表面积与孔结构操作简便,数据可靠对复杂孔结构无法精确描述 程序升温脱附/还原(TPD/TPR)酸度分析和活性位点测量动态分析酸性与活性位点难以原位检测反应过程 非弹性中子散射(INS)检测表面氢化物和振动特征对轻元素(如H)灵敏度高设备复杂,成本高 反应粒子原位检测原位红外检测实时监测催化剂表面吸附物质可实时监测吸附物质振动峰受噪声影响大,非极性分子检测困难 原位质谱检测(EI-MBMS)气相自由基和中间产物检测可原位鉴定关键中间体实验条件苛刻,需要高真空环境

3 反应机理和动力学

在等离子体催化合成氨的过程中,催化剂与等离子体之间的相互作用是一个复杂的反应体系。为了探究等离子体放电合成氨的化学反应机理,需要研究不同催化剂对其合成氨的作用效果以及优化等离子体氨合成过程。现有研究主要针对等离子体反应、催化剂表面反应,以及二者之间的相互作用进行计算[114-117]。具体来说,对于原子尺度的反应机理研究,主要有分子动力学和密度泛函理论等方式;对于宏观的等离子体催化中活性粒子组分与浓度变化的计算,主要依赖反应动力学建模以及耦合多物理场计算。

3.1 密度泛函理论计算

DFT是一种计算量子力学建模的方法,被广泛应用于研究多电子体系的电子结构,在物理和化学领域发挥了重要的作用。相较于传统的从头计算方法,DFT将多电子系统的电子波函数求解转化为电子密度的求解,使原本的3N维(N为原子数量)方程组降阶成3维方程组,极大地提高了计算效率,使对于大体系、多原子的薛定谔方程求解成为可能。DFT对于多电子结构具备强大的计算能力,因此被广泛地应用于材料科学、化学、物理等领域的研究中。对于等离子体催化合成氨,DFT主要被用于对催化剂表面反应机制的研究。通过寻找势能面上的一阶鞍点,可以搜索到反应的过渡态(Transition State),进一步确定表面催化反应的反应物、产物、反应能垒,并预测反应速率、主要产物等关键信息。利用过渡态理论计算基元反应的速率常数的公 式[118]

width=134,height=33 (12)

式中,s为反应物到产物的反应通道数,也称对称数;width=46,height=17kB为Boltzmann常数;width=30,height=17为过渡态的单位体积的配分函数;QR(T)为反应物单位体积的配分函数;Dwidth=15,height=15为经典势垒。T. W. Liu等采用DFT计算研究了九种不同类型的金属催化剂表面上的各种可能的表面反应,包括Eley-Rideal(E-R)、Langmuir-Hinshelwood(L-H)和自由基吸附和解离,建立了一条可能的氨合成途径。此外,还发现N自由基可能是NH3产生的主要氮源,而E-R氢化是主要的氢化途径[119]

在等离子体催化合成氨过程中,破坏N2分子中稳定的Nwidth=9,height=9N,生成活泼的N原子基团是一大限速步骤[120]。等离子体中大量能量可用于产生振动激发态N2(v)分子,其振动能量可部分用于克服N2基态解离反应的能垒,极大地提高反应速率,促进反应正向进行[121]。N2振动状态与有效解离屏障之间的关系如图10a所示,具有活化能Ea的基态气体分子解离的势能图以蓝色实线显示。在振动激发态中,初始状态的能量增加了振动能量Ev,其可以克服基态反应能垒,有利于N2解离形成氮原子[121-122]。对于振动坐标不直接投影到反应坐标上的情况,活化势垒的降低可以写成Ev乘以效率因子a,即橙色点线[121]。当氮分子处于振动激发态v时,式(13)的正向速率常数为

width=177,height=35 (13)

式中,(f)表示与正反应相关的量;A为阿伦尼乌斯速率表达式的指前因子;T为气体温度;H(x)为单位阶跃函数,即

width=78.95,height=31 (14)

width=217.55,height=309.8

图10 N2振动态与有效解离势垒的关系及氨合成速率的火山型曲线[121]

Fig.10 N2 vibrational state versus effective dissociation potentialand the volcanic curve of ammonia synthesis rate[121]

除了等离子体化学对于反应的促进作用外,催化剂的耦合能够进一步提升氨的生产效率,因此选择合适的催化剂十分重要。为优化等离子体应用的金属催化剂,P. Mehta等开发了一个基于DFT的微动力学模型,展示了在非热等离子体中如何偶联催化剂来打破表面热催化反应的限制[121]。氨合成速率的火山型曲线如图10b所示,在等离子体催化合成氨过程中,具有最优催化作用的金属表现为火山曲线的峰值,等离子体开启后峰值向具有较弱氮结合能的金属转变。这表明,通过结合等离子体,可实现的最大速率受氢化步骤限制,与氮结合太弱而热活性较差的金属有较小的氢化势垒,这些金属在等离子体中的活性大大增强,而这一预测也在介质阻挡放电等离子体反应器中得到验证[121]

L. Lefferts研究发现,催化剂与粒子的相互作用效果不是单一的:一方面,若催化剂对N或H的相互作用太弱,反应物吸附不足,不利于通过化学吸附活化;另一方面,如果相互作用太强,催化剂容易中毒,产物的解吸也会受到限制,从而制约了产率[123]

3.2 反应动力学计算

氮气和氢气合成氨总反应为

width=171,height=15 (15)

该反应为放热反应,等离子体-催化剂协同作用增强的反应物活化会使产物浓度超过热平衡,可以在一定程度上解除低温下的动力学限制和高温下的平衡限制。

等离子体催化合成氨的反应机制如图11所示,在等离子体催化中,具体的反应一般涉及两方面:一方面是等离子体气相反应,包括电子撞击电离、各种中性物质的激发和解离、电子-离子复合、离子-分子反应以及中性物质反应等[63],典型的反应式有

width=211.55,height=101.75

图11 氨合成机制示意图[114]

Fig.11 Schematic diagram of the ammonia synthesis mechanism[114]

width=71,height=15 (16)

width=83,height=15 (17)

width=102,height=15 (18)

width=100,height=15 (19)

另一方面是等离子体与表面的相互作用,包含吸附、表面扩散、表面吸附物质与气相物质的E-R相互作用、两种表面吸附物质之间的L-H相互作用、解吸[63],典型的反应式有

width=108,height=15 (20)

width=91,height=15 (21)

width=121.95,height=15 (22)

width=121,height=15 (23)

式中,Surf为自由表面位点;s为表面吸附型。等离子体气相反应与催化剂表面反应相互作用,从而能够达到突破热力学限制的效果。

反应动力学计算能够为等离子体催化合成氨提供理论指导,但由于等离子体催化中涉及的反应体系十分复杂,一般用零维模型对其等离子体催化动力学仿真来获得放电中物种密度和气体温度的时间演化,具体控制方程如下所示[124]

其中,活性粒子密度的时间演变由等式(24)确定

width=67.95,height=36 (24)

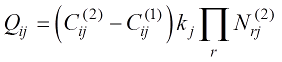
式中,Ni为第i个粒子的密度;Qij为反应j对于粒子i的速率贡献;jmax为反应种类数量最大值。Qij进一步由式(25)给出。

width=123,height=27 (25)

式中,width=20,height=20width=21,height=20分别为反应j中产物和反应物i的化学计量系数;width=12,height=17为反应速率系数;width=22,height=20为反应j中第r个反应物的密度。

气体温度Tgas的演变由热传输方程(式(26))的解确定。

width=175.95,height=30 (26)

式中,Ngas为反应气体总密度;g为比热比;dTgas/dt为反应气体温度随时间的变化率;dej为反应j的能量参数;Rj为反应j的速率;右侧的第二项Pelast[Ne]是由于电子电流引起的焦耳热,对应于弹性电子-中性碰撞,Pelast为弹性碰撞相关系数,[Ne]为单位体积中的电子数密度;Qsrc为热源项。式中等号右侧三项共同描述了反应气体的热动态过程。

每一个反应方程在数学上对应一个常微分方程,可利用不同的商用软件或者自己编写代码求解。

在等离子体催化合成氨动力学仿真中,首次在模型中考虑了放电等离子体表面反应和分子振动激发态,将动力学模型和空间时间相关的放电模型相结合[114]。模型表明,高能电子不仅能够通过增加原子、离子、自由基的产生来促进氨的合成,也会导致NH3分解。在一定的电子能量和密度范围内,氨的浓度降低,这表明高密度的高能电子对解离氨分子的贡献大于产生氨分子。因此,在等离子体催化中,电子能量和密度存在一个最佳范围。另外,该模型发现表面吸附的原子氢H(s)在NH3的形成中起主导作用,这是与常规热化学过程和低压等离子体中的机制相比的另一个显著区别[114]。在表面吸附质中,NHx或N2Hy物质也被认为是氨合成的重要中间体[16, 109]。根据Sabatier原理,最佳催化剂将具有关键反应中间体的中间结合能[125]。L. R. Winter等用等离子体原位红外光谱首次实现了在催化剂上氨中间体的振动测量,并通过N(s)和H(s)复合概率的计算动力学模型计算得到吸附在Ni/g-Al2O3和Fe/g-Al2O3上的物质之间的差异[109]。模型解释了Ni/g-Al2O3催化剂上气相反应的增强,并且相对于Fe,Ni有利于吸附NHx物质而不是N2Hy[109]

K. H. R. Rouwenhorst等根据反应动力学讨论了200~330℃温度下等离子体增强催化合成氨,总结和描述了在等离子体存在下用于氨合成的四种可能的途径[13](图12a~图12d)。第一种途径(图12a)显示了氨可以通过N*自由基和H*自由基在等离子体环境中重组形成氨,即等离子体相的氨合成;第二种途径(图12b)是表面增强等离子体驱动氨合成,其中N*自由基和H*自由基吸附在表面上,随后NHx物质的氢化和氨的形成发生在表面上或等离子体相中;第三种途径是等离子体增强的半催化氨合成(图12c),由于吸附物质(原子氢或NHx物质)的抑制,催化剂不能以足够的速率解离N2;第四种途径是等离子体增强催化氨合成(图12d),其中H2和N2都解离吸附在催化剂表面,与P. Mehta等的假设描述的途径一致[121]。氮在等离子体中被振动激发,而催化剂表面(过渡金属)上实现N2断键及H2的解离,NHx表面物质的后续氢化和氨解吸发生在过渡金属上,不受等离子体的影响[13]

width=233.6,height=154.9

图12 等离子体增强催化合成氨的四种可能的途径[13]

Fig.12 Four possible pathways for plasma-enhanced catalyzed ammonia synthesis[13]

4 结论

近年来,等离子体催化合成氨作为一种有望替代传统H-B法的分散式氨生产技术受到了广泛关注。尽管非热等离子体固氮的理论能耗低于传统H-B法,但目前等离子体合成氨技术仍然处于研究和开发阶段,面临诸多挑战,这使得该技术目前的实际能耗远高于理论能耗值。为进一步降低能耗并提升效率,仍需对催化剂和反应器的设计进行全面优化,或与其他技术手段(如电催化和光催化)相结合,以实现协同增效。为推动这一技术实现工业化,首先需建立可靠的性能评价标准和检测方法,为优化反应体系和提升催化效率奠定基础。基于这一需求,本文对近年来用于等离子体催化合成氨的性能评判方法、检测技术和仿真模拟手段进行了系统综述。

目前,性能检测主要集中于氨产量、能耗和催化剂活性等核心指标,这些参数有助于量化等离子体催化合成氨的效率,并支持不同系统间的横向比较。然而,由于实验系统设计差异较大,现有数据的可比性与可靠性仍有待提高。因此,推动检测方法的标准化,对于系统优化与技术迭代具有重要意义。

同时,深入分析等离子体与催化剂的理化特性对理解反应机理至关重要。OES、ICCD、fs-TALIF、CARS等手段可揭示放电特性与活性粒子行为,而XPS、XRD、SEM/HRTEM、BET、TPD/TPR等表征方法则用于解析催化剂结构与表面活性。尽管现有技术提供了丰富信息,但多为离线检测,难以满足实时动态监测需求。因此,原位检测技术(如原位红外光谱、EI-MBMS)的发展,将为关键中间体的识别和反应路径解析提供新工具,为高效催化体系设计提供关键支撑。

随着性能检测和原位检测技术的逐步完善,仿真模拟手段在等离子体催化合成氨的研究中也扮演着越发重要的角色。通过数值模拟和理论模型,可以探索等离子体与催化剂间复杂的相互作用,揭示氨合成反应的动力学过程,为反应机制提供重要的理论支持。目前,虽然已有不少针对等离子体催化合成氨的理论模型,但其对粒子间相互作用以及与催化剂表面的耦合效应的描述仍不够完善。将原位检测的实验数据与仿真模拟结合,将进一步推动模型的精确化和动态化发展。这种实验与仿真相结合的研究模式,将为优化反应条件、改进催化剂结构、提升氨合成效率提供更为准确的理论依据。

总之,等离子体催化合成氨在实现绿色、分散式氨生产方面展现出广阔前景。通过推进性能检测的标准化、开发创新的原位检测手段以及完善仿真模拟技术,等离子体催化合成氨有望实现更高效、低能耗的生产模式,成为替代传统H-B法的可行方案。此外,等离子体催化合成氨在电网储能系统中也展现出较大的潜力。氨的化学能存储方式,凭借其高储氢密度、安全运输和零碳排放等优势,为解决电网负荷波动、削峰填谷提供了一种灵活高效的方案,可有效地平滑电网负荷、提高系统稳定性。未来,进一步探索高效、稳定的催化剂体系,提升等离子体反应装置的耐用性,将是该技术迈向工业应用的关键方向。随着检测技术和仿真模拟的协同进步,等离子体催化合成氨有望成为低碳、环保的氨生产路径,为全球氮肥及相关产业的可持续发展提供强有力的支持。

参考文献

[1] Galloway J N, Townsend A R, Erisman J W, et al. Transformation of the nitrogen cycle: recent trends, questions, and potential solutions[J]. Science, 2008, 320(5878): 889-892.

[2] Rouwenhorst K H R, Engelmann Y, van ‘t Veer K, et al. Plasma-driven catalysis: green ammonia synthesis with intermittent electricity[J]. Green Chemistry, 2020, 22(19): 6258-6287.

[3] 鲁娜, 张楚珂, 夏芸, 等. 等离子体转化CO2的研究进展[J]. 高电压技术, 2020, 46(1): 351-361.

Lu Na, Zhang Chuke, Xia Yun, et al. advances in plasma technology for CO2 conversion research[J]. High Voltage Engineering, 2020, 46(1): 351-361.

[4] Kyriakou V, Garagounis I, Vourros A, et al. An electrochemical Haber-Bosch process[J]. Joule, 2020, 4(1): 142-158.

[5] 李天宇, 孙静, 高钰婷, 等. 等离子体催化及其在电力多元转换的应用研究进展[J]. 电工技术学报, 2024, 39(17): 5461-5481.

Li Tianyu, Sun Jing, Gao Yuting, et al. Research progress on plasma catalysis and its applications in power-to-X[J]. Transactions of China Electrotech- nical Society, 2024, 39(17): 5461-5481.

[6] 孙闵杰, 付军辉, 刘泓麟, 等. 分段电极介质阻挡放电CO2重整CH4过程放电特性与反应性能研究[J]. 电工技术学报, 2023, 38(15): 3972-3983.

Sun Minjie, Fu Junhui, Liu Honglin, et al. Discharge characteristics and reaction performance of CH4 reforming with CO2 in dielectric barrier discharge with segmented electrodes[J]. Transactions of China Electrotechnical Society, 2023, 38(15): 3972-3983.

[7] Bogaerts A, Tu Xin, Whitehead J C, et al. The 2020 plasma catalysis roadmap[J]. Journal of Physics D: Applied Physics, 2020, 53(44): 443001.

[8] Guo Jianping, Chen Ping. Catalyst: NH3 as an energy carrier[J]. Chem, 2017, 3(5): 709-712.

[9] Li Jiayang, Xiong Qingchuan, Mu Xiaowei, et al. Recent advances in ammonia synthesis: from Haber- Bosch process to external field driven strategies[J]. ChemSusChem, 2024, 17(15): e202301775.

[10] Christensen C H, Johannessen T, Sørensen R Z, et al. Towards an ammonia-mediated hydrogen economy? [J]. Catalysis Today, 2006, 111(1/2): 140-144.

[11] Guo Wenhan, Zhang Kexin, Liang Zibin, et al. Electrochemical nitrogen fixation and utilization: theories, advanced catalyst materials and system design[J]. Chemical Society Reviews, 2019, 48(24): 5658-5716.

[12] 邝勇, 章程, 胡修翠, 等. 纳秒脉冲液相放电耦合微气泡固氮影响因素分析[J]. 电工技术学报, 2023, 38(15): 3960-3971.

Kuang Yong, Zhang Cheng, Hu Xiucui, et al. Factors influencing nitrogen fixation by microbubbles coupled with nanosecond-pulse liquid phase discharges[J]. Transactions of China Electrotechnical Society; 2023, 38(15): 3960-3971.

[13] Rouwenhorst K H R, Kim H H, Lefferts L. Vibrationally excited activation of N2 in plasma- enhanced catalytic ammonia synthesis: a kinetic analysis[J]. ACS Sustainable Chemistry & Enginee- ring, 2019, 7(20): 17515-17522.

[14] 彭长志, 董旭柱, 赵彦普, 等. 正极性先导起始与发展过程中的等离子体特征[J]. 电工技术学报, 2023, 38(2): 533-541.

Peng Changzhi, Dong Xuzhu, Zhao Yanpu, et al. Plasma characteristics of positive leader inception and development[J]. Transactions of China Electrotechnical Society, 2023, 38(2): 533-541.

[15] 邵涛, 章程, 王瑞雪, 等. 大气压脉冲气体放电与等离子体应用[J]. 高电压技术, 2016, 42(3): 685- 705.

Shao Tao, Zhang Cheng, Wang Ruixue, et al. Atmospheric-pressure pulsed gas discharge and pulsed plasma application[J]. High Voltage Engineering, 2016, 42(3): 685-705.

[16] Wang Yaolin, Yang Wenjie, Xu Shanshan, et al. Shielding protection by mesoporous catalysts for improving plasma-catalytic ambient ammonia synthesis [J]. Journal of the American Chemical Society, 2022, 144(27): 12020-12031.

[17] Rusanov V D, Fridman A A, Sholin G V. The physics of a chemically active plasma with nonequilibrium vibrational excitation of molecules[J]. Soviet Physics Uspekhi, 1981, 24(6): 447-474.

[18] Zhou Dejiang, Zhou Renwu, Zhou Rusen, et al. Sustainable ammonia production by non-thermal plasmas: status, mechanisms, and opportunities[J]. Chemical Engineering Journal, 2021, 421: 129544.

[19] Bogaerts A, Neyts E C. Plasma technology: an emerging technology for energy storage[J]. ACS Energy Letters, 2018, 3(4): 1013-1027.

[20] Hannan M A, Faisal M, Jern Ker P, et al. Review of optimal methods and algorithms for sizing energy storage systems to achieve decarbonization in microgrid applications[J]. Renewable and Sustainable Energy Reviews, 2020, 131: 110022.

[21] Ghorbani B, Zendehboudi S, Saady N M C, et al. Hydrogen storage in North America: status, prospects, and challenges[J]. Journal of Environmental Chemical Engineering, 2023, 11(3): 109957.

[22] Zeng Xin, Zhang Shuai, Liu Yadi, et al. Energy- efficient pathways for pulsed-plasma-activated sustainable ammonia synthesis[J]. ACS Sustainable Chemistry & Engineering, 2023, 11(3): 1110-1120.

[23] Liu Y, Wang C W, Xu X F, et al. Synergistic effect of co-Ni bimetal on plasma catalytic ammonia synthesis [J]. Plasma Chemistry and Plasma Processing, 2022, 42(2): 267-282.

[24] Xie Qinglong, Zhuge S, Song Xiaofang, et al. Non- thermal atmospheric plasma synthesis of ammonia in a DBD reactor packed with various catalysts[J]. Journal of Physics D: Applied Physics, 2020, 53(6): 064002.

[25] Patil B S, van Kaathoven A S R, Peeters F J J, et al. Deciphering the synergy between plasma and catalyst support for ammonia synthesis in a packed dielectric barrier discharge reactor[J]. Journal of Physics D: Applied Physics, 2020, 53(14): 144003.

[26] Zhu Xinbo, Liu Jin, Hu Xueli, et al. Plasma-catalytic synthesis of ammonia over Ru-based catalysts: insights into the support effect[J]. Journal of the Energy Institute, 2022, 102: 240-246.

[27] Zeng Xin, Zhang Shuai, Hu Xiucui, et al. Recent advances in plasma-enabled ammonia synthesis: state- of-the-art, challenges, and outlook[J]. Faraday Discus- sions, 2023, 243: 473-491.

[28] Herrera F A, Brown G H, Barboun P, et al. The impact of transition metal catalysts on macroscopic dielectric barrier discharge (DBD) characteristics in an ammonia synthesis plasma catalysis reactor[J]. Journal of Physics D: Applied Physics, 2019, 52(22): 224002.

[29] Gorky F, Lucero J M, Crawford J M, et al. Plasma- induced catalytic conversion of nitrogen and hydrogen to ammonia over zeolitic imidazolate frameworks ZIF-8 and ZIF-67[J]. ACS Applied Materials & Interfaces, 2021, 13(18): 21338-21348.

[30] Hong J, Aramesh M, Shimoni O, et al. Plasma catalytic synthesis of ammonia using functionalized- carbon coatings in an atmospheric-pressure non- equilibrium discharge[J]. Plasma Chemistry and Plasma Processing, 2016, 36(4): 917-940.

[31] Ndayirinde C, Gorbanev Y, Ciocarlan R G, et al. Plasma-catalytic ammonia synthesis: packed catalysts act as plasma modifiers[J]. Catalysis Today, 2023, 419: 114156.

[32] Bacsik Z, Mink J, Keresztury G. FTIR spectroscopy of the atmosphere. I. principles and methods[J]. Applied Spectroscopy Reviews, 2004, 39(3): 295-363.

[33] Taghizadeh M T, Yeganeh N, Rezaei M. The investigation of thermal decomposition pathway and products of poly(vinyl alcohol) by TG-FTIR[J]. Journal of Applied Polymer Science, 2015, 132(25): app.42117.

[34] Liang Junge, Jiang Yongchang, Wu Jiakang, et al. Multiplex-gas detection based on non-dispersive infrared technique: a review[J]. Sensors and Actuators A: Physical, 2023, 356: 114318.

[35] Hanst P L, Hanst S T, Williams G M. Mouse- controlled air analysis using Grams-386[J]. Optical Remote Sensing for Environmental and Process Monitoring, 1996, 2883: 640.

[36] Griffith D W, Jamie I M. Fourier transform infrared spectrometry in atmospheric and trace gas analysis[M]// Meyers R A. Encyclopedia of Analytical Chemistry: Applications, Theory and Instrumentation. New York: John Wiley & Sons Inc., 2006.

[37] Childers J W, Phillips W J, Thompson E L Jr, et al. Comparison of an innovative nonlinear algorithm to classical least-squares for analyzing open-path Fourier transform infrared spectra collected at a concentrated swine production facility[J]. Applied Spectroscopy, 2002, 56(3): 325-336.

[38] Wu Yifan, Peng Silong, Xie Qiong, et al. Nonlinear least squares with local polynomial interpolation for quantitative analysis of IR spectra[J]. Spectrochimica Acta Part A: Molecular and Biomolecular Spectros- copy, 2019, 206: 147-153.

[39] Sathe K, Khedkar A, Sathe M. A review on gas chromatography-mass spectrometry (GC-MS)[J]. World Journal of Pharmaceutical Research, 2021, 10(3): 741- 763.

[40] 黑雪婷, 高远, 窦立广, 等. 纳秒脉冲介质阻挡放电等离子体驱动CH4-CH3OH转化制备液态化学品的特性研究[J]. 电工技术学报; 2022, 37(15): 3941- 3950.

Hei Xueting, Gao Yuan, Dou Liguang, et al. Study on plasma enhanced CH4-CH3OH conversion to liquid chemicals by nanosecond pulsed dielectric barrier discharge[J]. Transactions of China Electrotechnical Society; 2022, 37(15): 3941-3950.

[41] 王晓玲, 高远, 张帅, 等. 脉冲参数对介质阻挡放电等离子体CH4干重整特性影响的实验[J]. 电工技术学报, 2019, 34(6): 1329-1337.

Wang Xiaoling, Gao Yuan, Zhang Shuai, et al. Effects of pulse parameters on dry reforming of CH4 by pulsed DBD plasma[J]. Transactions of China Electrotechnical Society, 2019, 34(6): 1329-1337.

[42] Turner D. GC-MS principle, instrument and analyses and GC-MS/MS[J]. Technology networks-analysis and separations, 2022: 1-5.

[43] Peters R W, Ku Y. The effect of tartrate, a weak complexing agent, on the removal of heavy metals by sulfide and hydroxide precipitation[J]. Particulate Science and Technology, 1988, 6(4): 421-439.

[44] Zhao Yunxuan, Shi Run, Bian Xuanang, et al. Ammonia detection methods in photocatalytic and electrocatalytic experiments: how to improve the reliability of NH3 production rates?[J]. Advanced Science, 2019, 6(8): 1802109.

[45] Sclafani A, Augugliaro V, Schiavello M. Dinitrogen electrochemical reduction to ammonia over iron cathode in aqueous medium[J]. Journal of the Electrochemical Society, 1983, 130(3): 734-736.

[46] Zhang Zhengfang, Zhong Zhengping, Liu Ruiquan. Cathode catalysis performance of SmBaCuMO5+d (M=Fe, Co, Ni) in ammonia synthesis[J]. Journal of Rare Earths, 2010, 28(4): 556-559.

[47] Lan Rong, Irvine J T S, Tao Shanwen. Synthesis of ammonia directly from air and water at ambient temperature and pressure[J]. Scientific Reports, 2013, 3: 1145.

[48] Song Yang, Johnson D, Peng Rui, et al. A physical catalyst for the electrolysis of nitrogen to ammonia[J]. Science Advances, 2018, 4(4): e1700336.

[49] McEnaney J M, Singh A R, Schwalbe J A, et al. Ammonia synthesis from N2 and H2O using a lithium cycling electrification strategy at atmospheric pressure [J]. Energy & Environmental Science, 2017, 10(7): 1621-1630.

[50] Sun Jing, Alam D, Daiyan R, et al. A hybrid plasma electrocatalytic process for sustainable ammonia production[J]. Energy & Environmental Science, 2021, 14(2): 865-872.

[51] Andersen S Z, Čolić V, Yang S, et al. A rigorous electrochemical ammonia synthesis protocol with quantitative isotope measurements[J]. Nature, 2019, 570(7762): 504-508.

[52] Tsuneto A, Kudo A, Sakata T. Lithium-mediated electrochemical reduction of high pressure N2 to NH3[J]. Journal of Electroanalytical Chemistry, 1994, 367(1/2): 183-188.

[53] 陈霁, 时亚琴, 梅丹华, 等. 不同气体成分添加对氮气滑动弧放电模式及特性的影响[J]. 高电压技术, 2022, 48(9): 3794-3803.

Chen Ji, Shi Yaqin, Mei Danhua, et al. Effects of different gas compositions on the mode and characteristics of nitrogen gliding arc discharge[J]. High Voltage Engineering, 2022, 48(9): 3794-3803.

[54] Li Kelin, Chen She, Wang Hongfang, et al. Plasma-assisted ammonia synthesis over Ni/LaOF: dual active centers consisting of oxygen vacancies and Ni[J]. Applied Catalysis A: General, 2023, 650: 118983.

[55] Ashpis D, Laun M, Griebeler E. Progress toward accurate measurements of power consumption of DBD plasma actuators[C]//50th AIAA Aerospace Sciences Meeting Including the New Horizons Forum and Aerospace Exposition, Nashville, Tennessee, 2012: 823.

[56] 高远, 张帅, 刘峰, 等. 脉冲介质阻挡放电等离子体催化CH4直接转化[J]. 电工技术学报, 2017, 32(2): 61-69.

Gao Yuan, Zhang Shuai, Liu Feng, et al. Plasma enhanced CH4 direct conversion in pulsed dielectric barrier discharges[J]. Transactions of China Electro- technical Society, 2017, 32(2): 61-69.

[57] 陈慧敏, 段戈辉, 梅丹华, 等. 气体添加对水电极同轴介质阻挡放电直接分解CO2的影响[J]. 电工技术学报; 2023, 38(01): 270-280.

Chen Huimin, Duan Gehui, Mei Danhua, et al. Effect of gas addition on CO2 Decomposition in a coaxial dielectric barrier discharge reactor with water electrode[J]. Transactions of China Electrotechnical Society; 2023, 38(01): 270-280.

[58] Manley T C. The electric characteristics of the ozonator discharge[J]. Transactions of the Electroche- mical Society, 1943, 84(1): 83.

[59] Borcia G, Anderson C A, Brown N D. Dielectric barrier discharge for surface treatment: application to selected polymers in film and fibre form[J]. Plasma Sources Science and Technology, 2003, 12(3): 335-344.

[60] Wagner H E, Brandenburg R, Kozlov K V, et al. The barrier discharge: basic properties and applications to surface treatment[J]. Vacuum, 2003, 71(3): 417-436.

[61] Wang Yaolin, Craven M, Yu Xiaotong, et al. Plasma-enhanced catalytic synthesis of ammonia over a Ni/Al2O3 catalyst at near-room temperature: insights into the importance of the catalyst surface on the reaction mechanism[J]. ACS Catalysis, 2019, 9(12): 10780-10793.

[62] Chen Zeyu, Liu Dingxin, Xu Han, et al. Decoupling analysis of the production mechanism of aqueous reactive species induced by a helium plasma jet[J]. Plasma Sources Science and Technology, 2019, 28(2): 025001.

[63] Shah J, Wang Weizong, Bogaerts A, et al. Ammonia synthesis by radio frequency plasma catalysis: revealing the underlying mechanisms[J]. ACS Applied Energy Materials, 2018, 1(9): 4824-4839.

[64] Park Y B, Rhee S W. Bulk and interface properties of low-temperature silicon nitride films deposited by remote plasma enhanced chemical vapor deposition[J]. Journal of Materials Science: Materials in Electronics, 2001, 12(9): 515-522.

[65] Paris P, Aints M, Valk F, et al. Intensity ratio of spectral bands of nitrogen as a measure of electric field strength in plasmas[J]. Journal of Physics D: Applied Physics, 2005, 38(21): 3894-3899.

[66] Bílek P, Šimek M, Bonaventura Z. Electric field determination from intensity ratio of N2+ and N2 bands: nonequilibrium transient discharges in pure nitrogen[J]. Plasma Sources Science and Technology, 2019, 28(11): 115011.

[67] Shibusawa K, Funatsu M. Radiative characteristics of N2 first positive band in visible and near-infrared regions for microwave-discharged nitrogen plasma[J]. Transactions of the Japan Society for Aeronautical and Space Sciences, 2019, 62(2): 86-92.

[68] Xia Wenjie, Liu Dingxin, Guo Li, et al. Discharge characteristics and bactericidal mechanism of Ar plasma jet with ethanol and oxygen gas admixtures[J]. Plasma Sources Science and Technology, 2019, 28(12): 125005.

[69] Rong Mingzhe, Xia Wenjie, Wang Xiaohua, et al. The mechanism of plasma plume termination for pulse- excited plasmas in a quartz tube[J]. Applied Physics Letters, 2017, 111(7): 074104.

[70] Liu Dingxin, Zhang Zhiquan, Liu Zhijie, et al. Plasma jets with needle-ring electrodes: the insulated sealing of the needle and its effect on the plasma characteris- tics[J]. IEEE Transactions on Plasma Science, 2018, 46(8): 2942-2948.

[71] Xu Han, Liu Dingxin, Wang Weitao, et al. Investiga- tion on the RONS and bactericidal effects induced by He+O2 cold plasma jets: in open air and in an airtight chamber[J]. Physics of Plasmas, 2018, 25(11): 113506.

[72] Tu Xin, Gallon H J, Whitehead J C. Transition behavior of packed-bed dielectric barrier discharge in argon[J]. IEEE Transactions on Plasma Science, 2011, 39(11): 2172-2173.

[73] Tu Xin, Gallon H J, Twigg M V, et al. Dry reforming of methane over a Ni/Al2O3 catalyst in a coaxial dielectric barrier discharge reactor[J]. Journal of Physics D: Applied Physics, 2011, 44(27): 274007.

[74] 刘志杰, 陈旻, 刘定新. 大气压冷等离子体的理化特性检测方法综述[J]. 高电压技术, 2022, 48(10): 4196-4214.

Liu Zhijie, Chen Min, Liu Dingxin. Review of detection methods for physicochemical characteris- tics of atmospheric pressure cold plasma[J]. High Voltage Engineering, 2022, 48(10): 4196-4214.

[75] Liu Zhijie, Xu Han, Zhou Chunxi, et al. Investigation of mode interconversion for interfacial pattern forma- tion through plasma-surface interaction[J]. Plasma Processes and Polymers, 2019, 16(11): 1900108.

[76] Ding Pengji, Ruchkina M, Del Cont-Bernard D, et al. Detection of atomic oxygen in a plasma-assisted flame via a backward lasing technique[J]. Optics Letters, 2019, 44(22): 5477-5480.

[77] Cont-Bernard D D, Ruchkina M, Ding P J, et al. Femtosecond two-photon laser-induced fluorescence imaging of atomic hydrogen in a laminar methane-air flame assisted by nanosecond repetitively pulsed discharges[J]. Plasma Sources Science & Technology, 2020, 29(6): 065011.

[78] Conway J, Gogna G S, Gaman C, et al. Two-photon absorption laser induced fluorescence measurement of atomic oxygen density in an atmospheric pressure air plasma jet[J]. Plasma Sources Science and Techno- logy, 2016, 25(4): 045023.

[79] Stancu G D. Two-photon absorption laser induced fluorescence: rate and density-matrix regimes for plasma diagnostics[J]. Plasma Sources Science and Technology, 2020, 29(5): 054001.

[80] Klochko A V, Lemainque J, Booth J P, et al. TALIF measurements of oxygen atom density in the afterg- low of a capillary nanosecond discharge[J]. Plasma Sources Science Technology, 2015, 24(2): 025010.

[81] Liu Ning, Chen T, Zhong Hongtao, et al. Quantitative femtosecond two-photon absorption laser induced fluorescence measurements of hydrogen and nitrogen atoms in an AC dielectric barrier discharge[C]//AIAA SCITECH 2023 Forum, National Harbor, MD & Online, 2023: 0351.

[82] Liu Ning, Mao Xingqian, Kondratowicz C, et al. Unraveling nonequilibrium generation of atomic nitrogen and hydrogen in plasma-aided ammonia synthesis[J]. ACS Energy Letters, 2024, 9(5): 2031- 2036.

[83] Böhm P, Kettlitz M, Brandenburg R, et al. Deter- mination of the electric field strength of filamentary DBDs by CARS-based four-wave mixing[J]. Plasma Sources Science and Technology, 2016, 25(5): 054002.

[84] Ito T, Kobayashi K, Mueller S, et al. Electric field measurement in an atmospheric or higher pressure gas by coherent Raman scattering of nitrogen[J]. Journal of Physics D: Applied Physics, 2009, 42(9): 092003.

[85] Lempert W R, Adamovich I V. Coherent anti-Stokes Raman scattering and spontaneous Raman scattering diagnostics of nonequilibrium plasmas and flows[J]. Journal of Physics D: Applied Physics, 2014, 47(43): 433001.

[86] Kuhfeld J, Lepikhin N D, Luggenhölscher D, et al. Vibrational CARS measurements in a near- atmospheric pressure plasma jet in nitrogen: I. Measurement procedure and results[J]. Journal of Physics D: Applied Physics, 2021, 54(30): 305204.

[87] Son D, Cho S, Nam J, et al. X-ray-based spectroscopic techniques for characterization of polymer nanocomposite materials at a molecular level[J]. Polymers, 2020, 12(5): 1053.

[88] Fadley C S. X-ray photoelectron spectroscopy: From origins to future directions[J]. Nuclear Instruments and Methods in Physics Research Section A: Accelerators, Spectrometers, Detectors and Asso- ciated Equipment, 2009, 601(1/2): 8-31.

[89] Sarma D D, Santra P K, Mukherjee S, et al. X-ray photoelectron spectroscopy: a unique tool to deter- mine the internal heterostructure of nanoparticles[J]. Chemistry of Materials, 2013, 25(8): 1222-1232.

[90] Thapa S, Paudel R, Blanchet M D, et al. Probing surfaces and interfaces in complex oxide films viain situ X-ray photoelectron spectroscopy[J]. Journal of Materials Research, 2021, 36(1): 26-51.

[91] Ben Yaala M, Marot L, Steiner R, et al. Quartz micro-balance and in situ XPS study of the adsorption and decomposition of ammonia on gold, tungsten, boron, beryllium and stainless steel surfaces[J]. Nuclear Fusion, 2018, 58(10): 106012.

[92] Lippitz A, Hübert T. XPS investigations of chromium nitride thin films[J]. Surface and Coatings Techno- logy, 2005, 200(1/2/3/4): 250-253.

[93] Ma H, Berthier Y, Marcus P. AES, XPS, and TDS study of the adsorption and desorption of NH3 on ultra-thin chromium oxide films formed on chromium single crystal surfaces[J]. Applied Surface Science, 1999, 153(1): 40-46.

[94] Cullity B D, Smoluchowski R. Elements of X-ray Diffraction[J]. Physics Today, 1957, 10(3): 50-50.

[95] Ingham B. X-ray scattering characterisation of nanoparticles[J]. Crystallography Reviews, 2015, 21(4): 229-303.

[96] Alford T L, Feldman L C, Mayer J W. X-ray diffraction[J]. Fundamentals of Nanoscale Film Analy- sis, 2007: 129-151.

[97] Hu Xueli, Zhu Xinbo, Wu Xiqiang, et al. Plasma- enhanced NH3 synthesis over activated carbon-based catalysts: Effect of active metal phase[J]. Plasma Processes and Polymers, 2020, 17(12): 2000072.

[98] Lunkenbein T, Schumann J, Behrens M, et al. Formation of a ZnO overlayer in industrial Cu/ZnO/ Al2O3 catalysts induced by strong metal-support interactions[J]. Angewandte Chemie International Edition, 2015, 54(15): 4544-4548.

[99] Shi X Y, Zhang W, Zhang C, et al. Real-space observation of strong metal-support interaction: state-of-the-art and what’s the next[J]. Journal of Microscopy, 2016, 262(3): 203-215.

[100] Gorbanev Y, Engelmann Y, van’t Veer K, et al. Al2O3-supported transition metals for plasma- catalytic NH3 synthesis in a DBD plasma: metal activity and insights into mechanisms[J]. Catalysts, 2021, 11(10): 1230.

[101] Fu Ninghua, Liang Xiao, Li Zhi, et al. Single-atom site catalysts based on high specific surface area supports[J]. Physical Chemistry Chemical Physics, 2022, 24(29): 17417-17438.

[102] Li Shuncheng, Shao Yan, Chen Huanhao, et al. Nonthermal plasma catalytic ammonia synthesis over a Ni catalyst supported on MgO/SBA-15[J]. Industrial & Engineering Chemistry Research, 2022, 61(9): 3292-3302.

[103] Wang Zhijun, He Ge, Zhang Huazhou, et al. Plasma- promoted ammonia decomposition over supported ruthenium catalysts for COx-free H2 production [J]. ChemSusChem, 2023, 16(24): e202202370.

[104] Chen She, Wang Yulei, Li Qihang, et al. A DFT study of plasma-catalytic ammonia synthesis: the effect of electric fields, excess electrons and catalyst surfaces on N2 dissociation[J]. Physical Chemistry Chemical Physics, 2023, 25(5): 3920-3929.

[105] Polo-Garzon F, Luo Si, Cheng Yongqiang, et al. Neutron scattering investigations of hydride species in heterogeneous catalysis[J]. ChemSusChem, 2019, 12(1): 93-103.

[106] Kammert J, Moon J, Cheng Yongqiang, et al. Nature of reactive hydrogen for ammonia synthesis over a Ru/Cl2A7 electride catalyst[J]. Journal of the American Chemical Society, 2020, 142(16): 7655- 7667.

[107] Cao Guoqiang, Xiao Yue, Huang Weimin, et al. DBD plasma-assisted ethanol steam reforming for green H2 production: Process optimization through response surface methodology (RSM)[J]. International Journal of Hydrogen Energy, 2023, 48(2): 553-565.

[108] Barboun P M, Daemen L L, Waitt C, et al. Inelastic neutron scattering observation of plasma-promoted nitrogen reduction intermediates on Ni/g-Al2O3[J]. ACS Energy Letters, 2021, 6(6): 2048-2053.

[109] Winter L R, Ashford B, Hong J, et al. Identifying surface reaction intermediates in plasma catalytic ammonia synthesis[J]. ACS Catalysis, 2020, 10(24): 14763-14774.

[110] Ramis G, Angeles Larrubia M. An FT-IR study of the adsorption and oxidation of N-containing compounds over Fe2O3/Al2O3 SCR catalysts[J]. Journal of Molecular Catalysis A: Chemical, 2004, 215(1/2): 161-167.

[111] Amores J G, Escribano V S, Ramis G, et al. An FT-IR study of ammonia adsorption and oxidation over anatase-supported metal oxides[J]. Applied Catalysis B: Environmental, 1997, 13(1): 45-58.

[112] Ramis G, Yi L, Busca G, et al. Adsorption, activation, and oxidation of ammonia over SCR catalysts[J]. Journal of Catalysis, 1995, 157(2): 523-535.

[113] Zhao Hao, Song Guohui, Chen Zhe, et al. In situ identification of NNH and N2H2 by using molecular- beam mass spectrometry in plasma-assisted catalysis for NH3 synthesis[J]. ACS Energy Letters, 2022, 7(1): 53-58.

[114] Hong J, Pancheshnyi S, Tam E, et al. Kinetic modelling of NH3 production in N2-H2non- equilibrium atmospheric-pressure plasma catalysis[J]. Journal of Physics D: Applied Physics, 2017, 50(15): 154005.

[115] 陈赦, 刘红梅, 吴婷, 等. 低温等离子体增强催化氨合成机理的一维流体动力学模型[J]. 电工技术学报, 2021, 36(13): 2730-2739.

Chen She, Liu Hongmei, Wu Ting, et al. 1D fluid model of catalytic ammonia synthesis enhanced by low temperature plasma[J]. Transactions of China Electrotechnical Society, 2021, 36(13): 2730-2739.

[116] 林茂, 徐浩军, 魏小龙, 等. 放电参数变化对电感耦合等离子闭式等离子体空间分布特性研究[J]. 电工技术学报, 2022, 37(5): 1294-1304.

Lin Mao, Xu Haojun, Wei Xiaolong, et al.Study on spatial distribution of inductive coupled plasma closed plasma with discharge parameter variation[J]. Transactions of China Electrotechnical Society, 2022, 37(5): 1294-1304.

[117] 孟国栋, 折俊艺, 应琪, 等. 微米尺度气体击穿的数值模拟研究进展[J]. 电工技术学报, 2022, 37(15): 3857-3875.

Meng Guodong, She Junyi,Ying Qi, et al. Research progress on numerical simulation of gas breakdown at microscale[J]. Transactions of China Electrotechnical Society, 2022, 37(15): 3857-3875.

[118] 荣命哲, 仲林林, 王小华, 等. 平衡态与非平衡态电弧等离子体微观特性计算研究综述[J]. 电工技术学报, 2016, 31(19): 54-65.

Rong Mingzhe, Zhong Linlin, Wang Xiaohua, et al. Review of microscopic property calculation of equilibrium and non-equilibrium arc plasma[J]. Trans- actions of China Electrotechnical Society, 2016, 31(19): 54-65.

[119] Liu T W, Gorky F, Carreon M L, et al. Energetics of reaction pathways enabled by N and H radicals during catalytic, plasma-assisted NH3 synthesis[J]. ACS Sustainable Chemistry & Engineering, 2022, 10(6): 2034-2051.

[120] Ertl G. Surface science and catalysis: studies on the mechanism of ammonia synthesis: the P. H. emmett award address[J]. Catalysis Reviews, 1980, 21(2): 201-223.

[121] Mehta P, Barboun P, Herrera F A, et al. Overcoming ammonia synthesis scaling relations with plasma- enabled catalysis[J]. Nature Catalysis, 2018, 1(4): 269-275.

[122] Hong J, Prawer S, Murphy A B. Plasma catalysis as an alternative route for ammonia production: status, mechanisms, and prospects for progress[J]. ACS Sustainable Chemistry & Engineering, 2018, 6(1): 15-31.

[123] Lefferts L. Leveraging expertise in thermal catalysis to understand plasma catalysis[J]. Angewandte Chemie (International Ed), 2024, 63(10): e202305322.

[124] Chen Xiaoxiao, Zhang Shuai, Li Shi, et al. Temperature-independent, nonoxidative methane conversion in nanosecond repetitively pulsed DBD plasma[J]. Sustainable Energy & Fuels, 2021, 5(3): 787-800.

[125] Foster S L, Bakovic S I P, Duda R D, et al. Catalysts for nitrogen reduction to ammonia[J]. Nature Catalysis, 2018, 1(7): 490-500.

Advances in Performance Evaluation Indices, Characterization Methods, and Simulation of Non-Thermal Plasma-Catalyzed Ammonia Synthesis

Feng Yue1 Fan Jieping1 Liu Dingxin1 Tu Xin2 Zhou Renwu1

(1. Centre for Plasma Biomedicine Xi’an Jiaotong University Xi’an 710049 China 2. Department of Electrical Engineering and Electronics University of Liverpool Liverpool L69 3GJ UK)

Abstract Ammonia is a critical industrial chemical, predominantly synthesized through the Haber-Bosch (H-B) process. While this method has enabled large-scale fertilizer production and sustained food security worldwide, it is highly energy-intensive and carbon-emitting, accounting for 1%~2% of global energy consumption and approximately 1.44% of total CO2 emissions. As the world accelerates its transition to low-carbon energy systems, there is growing demand for sustainable and decentralized ammonia synthesis technologies that can integrate flexibly with intermittent renewable power sources such as solar and wind. In this context, non-thermal plasma (NTP)-catalyzed ammonia synthesis has emerged as a promising alternative owing to its operation under ambient conditions, fast dynamic response, and compatibility with distributed energy networks.

This review systematically summarizes recent advances in performance evaluation criteria, physicochemical characterization techniques, and simulation methods in the field of plasma-catalyzed ammonia synthesis. It highlights the fundamental principles of NTP-catalyzed processes, in which high-energy electrons and reactive species such as radicals and vibrationally excited molecules synergistically activate inert N2 molecules at low temperatures. This non-equilibrium environment facilitates reaction pathways that are inaccessible in conventional thermal systems. Moreover, when coupled with suitable catalysts, the plasma can enhance reaction rates and energy efficiencies. Reported ammonia synthesis rates typically range from 300 to 5 000 mmol/(g·h), with energy efficiencies between 0.3 and 2 g/(kW·h), depending on plasma configuration and catalyst formulation.

A key aspect of advancing this technology lies in the establishment of standardized performance metrics. Current evaluation practices focus on ammonia yield, energy consumption, and catalyst activity, enabling cross-comparison among different plasma setups. However, disparities in reactor design and testing methods often hinder data comparability. Thus, the development of universally accepted performance benchmarks is essential for guiding reactor optimization and accelerating technological maturation.

Equally important is the in-depth characterization of plasma and catalyst properties. On the plasma side, diagnostic tools such as optical emission spectroscopy (OES), intensified charge-coupled devices (ICCD), femtosecond-resolved two-photon laser-induced fluorescence (fs-TALIF), and coherent anti-Stokes Raman spectroscopy (CARS) allow researchers to probe electron temperature, species distribution, and transient discharge behavior. On the catalyst side, surface-sensitive techniques including XPS, XRD, SEM/HRTEM, BET, and TPD/TPR provide insights into structural features, active sites, and surface reactivity. Despite their utility, many of these techniques are ex-situ or offline, lacking real-time temporal resolution. To overcome this limitation, emerging in situ diagnostic methods such as infrared spectroscopy and electron-impact molecular beam mass spectrometry (EI-MBMS) are gaining attention for their potential to identify intermediate species and elucidate reaction mechanisms.

Complementing experimental approaches, modeling and simulation play an increasingly vital role in understanding plasma-catalyst interactions. Multiphysics simulations, kinetic models, and density functional theory (DFT) calculations offer powerful tools for exploring reaction energetics, species transport, and surface reaction pathways. While current models have made significant progress, they often fall short in capturing the complex coupling between plasma species and catalyst surfaces. Future work should integrate experimental in situ data with dynamic simulations to develop predictive models that accurately reflect real reactor behavior.

In conclusion, plasma-catalyzed ammonia synthesis presents a viable and flexible route for decentralized, low-carbon ammonia production. By advancing performance evaluation standards, refining real-time diagnostic capabilities, and enhancing simulation fidelity, the field is moving toward more energy-efficient and scalable solutions. Furthermore, the chemical energy stored in ammonia can serve as a means of grid-level energy storage, offering benefits such as high hydrogen density, safe transport, and zero-carbon utilization. This positions plasma-catalyzed ammonia synthesis not only as a replacement for the H-B process but also as a strategic enabler of the renewable energy ecosystem, paving the way for sustainable nitrogen fixation and a cleaner energy future.

keywords:Plasma catalysis, ammonia synthesis, diagnostic methods, physicochemical properties, simulation and modeling

DOI: 10.19595/j.cnki.1000-6753.tces.242104

中图分类号:TQ03; O53; TM85

国家自然科学基金面上项目(52377160)、能源陕西实验室能源基础研究中心开放课题(ESLB202429)和西安交通大学青年拔尖人才计划资助。

收稿日期 2024-11-23

改稿日期 2025-05-28

作者简介

冯 越 女,2000年生,博士研究生,研究方向为等离子体固氮与能源转化。E-mail: 4123104060@stu.xjtu.edu.cn

周仁武 男,1990年生,教授,博士生导师,研究方向为等离子体生物医学及等离子体环境能源转化等。E-mail: renwu.zhou@xjtu.edu.cn(通信作者)

(编辑 郭丽军)