基于KA Informer的电动汽车动力电池荷电状态和健康状态估算

彭自然1,2 王顺豪1,2 肖伸平1,2 肖利君1

(1. 湖南工业大学电气与信息工程学院 株洲 412007 2. 湖南工业大学湖南省电传动控制与智能装备重点实验室 株洲 412007)

摘要 针对现有电动汽车动力电池估计荷电状态(SOC)和健康状态(SOH)估计方法存在运算效率低、实时性差以及估算准确率低的问题,该文提出一种基于网络模型KA Informer精确估计电动汽车动力电池SOC&SOH的方法。首先,依据Kolmogorov-Arnold理论将原始堆叠降噪自编码器(SDAE)内部权重W优化为可自主学习的激活函数B-spline,并采用网格扩展技术细粒化B-spline,组成KASDAE新模型,使得堆叠降噪自编码器能够对传感器采集到的电压、电流、温度数据进行清洗。其次,提出傅里叶混合窗口注意力机制(FMWA)替换稀疏多头注意力机制(MPPSA),优化Informer模型结构,增强Informer模型捕获电池长序列数据局部信息和全局信息的能力。最后,将清洗后的数据输入FMWA Informer网络模型实现荷电状态和健康状态的精确估计。实验结果表明,所提模型估计SOC的平均绝对误差和方均根误差分别达到0.24%和0.37%,估计SOH的平均绝对误差和方均根误差分别达到了0.5%和0.62%。与传统Informer、Transformer、长短时记忆(LSTM)、门控循环单元(GRU)、极限学习机(ELM)模型相比,该模型预测SOC和SOH的速度更快,估算准确度得到有效提升。

关键词:电动汽车 动力电池 Kolmogorov-Arnold理论 堆叠降噪自编码器 改进Informer

0 引言

电动汽车是新能源汽车的主要类型,其发展在环境保护、能源转型、经济发展、技术创新、社会可持续发展、相应政策方面具有重要意义,受到各国政府和企业的高度重视。动力电池与电动汽车的动力系统、充电系统、能量管理系统、热管理系统、车载电气系统、安全系统密切联系,是电动汽车核心部件之一,通常由上百个单体电池以串联或并联排列构成,最终实现电池组所需的电压和容量[1-2]。准确估算电动汽车动力电池充电和放电阶段的荷电状态对电动汽车用户合理规划出行以及进行电能补充至关重要。受到环境温度、成组方式、充放电倍率、放电深度等因素的影响,动力电池内部会出现固体电解质界面膜(Solid Electrolyte Interface Membrane, SEIM)生长、电解液分解、锂离子电池自放电、电极活性材料损失、集流体腐蚀等问题,不但会导致电池容量衰退,同时也会造成电池内部温度升高进而引发热失控[3-5]。因此,精确估计荷电状态(State of Charge, SOC)以及健康状态(State of Health, SOH)也是提高电动汽车安全性和用户驾驶体验的迫切需要[6-8]

目前针对动力电池SOC与SOH估计方法主要分为基于模型的估算方法和基于数据驱动的估算方法[9-11]。基于模型的估算方法又分为电池模型、基于模型的滤波方法和基于模型的观测器方法。电池模型[12]分为电化学模型(Electrochemical Model, EM)、电化学阻抗模型(Electrochemical Impedance Model, EIM)和等效电路模型(Equivalent Circuit Model, ECM)。电化学模型根据电化学反应过程用偏微分方程计算锂离子的电动势进而得到SOC,反映了电池内部化学反应原理,但存在难以确定所有参数、计算复杂且耗时不足等缺点。电化学阻抗模型采用电化学阻抗谱的方法获得在频域范围内的交流等效阻抗模型,能够在早期阶段得到电池的SOH且不会对电池造成损害,然而实际应用中匹配过程难度大且需要严格控制测试环境。等效电路模型将电池看作二端口网络,用电压源、电阻、电容等器件组成电路进而模拟电池内部特性,具有结构简洁和便于计算的优点,但对模型的精度要求较高。基于模型的滤波方法[13]是一种利用模型和滤波器估算电池状态的方法,具有在各自特定应用条件下实现自更正系数、误差范围动态估计和降低传感器噪声影响的优点。基于模型的观测器方法[14]是将观测器与电池模型结合估算电池状态的一种方法,能够根据系统误差实时更新观测模型状态,有助于提高模型估算精度。基于数据驱动的估算方法主要通过从充放电循环过程获取大量电压、电流和从温度数据中提取与电池SOC和SOH相关的特征,利用神经网络模型最终完成SOC与SOH估计。数据驱动方法无需考虑电池内部复杂的化学反应和结构的变化,能够自适应处理多维电压、电流、温度数据,为动力电池SOC和SOH估算提供新的优势明显的解决方案。

机器学习由于具有能够自动提取复杂特征、泛化能力强的优势逐步应用于SOH和SOC的估计[15-17]。文献[18]提出一种基于双层集成极限学习机(Extreme Learning Machine, ELM)的SOH和SOC估计方法,通过提取电池健康状态健康因子(Health Indicator, HI)映射与SOH的关系,实现SOH和SOC联合估计,但这种方法需要人工手动提取特征。文献[19]提出一种基于长短时记忆(Long Short-Term Memory, LSTM)神经网络的SOC估计方法,将测得的容量值作为输入,补偿电池老化对荷电状态估计造成的影响,SOC估计表现出更好的稳定性。文献[20]提出一种基于门控循环单元(Gated Recurrent Unit, GRU)实现SOC估计的方法,同样将SOH值作为特征估计荷电状态,在不同工况下获得较高的精度。但这两种方法均基于传统循环神经网络,仍存在梯度消失以及顺序计算的问题,严重制约着运算效率以及估算精度的提高。

近年来,Transformer在自然语言处理以及机器视觉方面表现优异,能够实现时间序列预测[21]。文献[22]利用Transformer的多头自注意力机制以及编码器-解码器结构高效学习动力电池退化数据的深层特征,实现剩余使用寿命以及剩余工作时长双尺度估计。文献[23]依据时变Transformer模型充分利用电压、温度和电流时间维度信息模拟输入与SOC之间的关系,具有良好的预测精度和鲁棒性。但Transformer模型存在长输入堆叠层的记忆瓶颈、预测长输出的速度限制。文献[24]提出一种基于Transformer的变体Informer模型估计锂电池SOH,在估算准确度和稳定性均明显优于Transformer模型。但Informer模型中多头稀疏注意力机制(Multi-head ProbSparse Self-Attention mechanism, MPSSA)的每个注意力头只能关注到与其位置相关的局部信息,而无法有效地捕捉到全局依赖性,这可能导致模型在捕捉长序列中的全局结构和长距离相关性时表现不佳。

此外,电动汽车内部传感器需要实时采集电压、温度和电流数据,由于传感器故障、外部扰动的情况时有发生,不可避免地出现异常数据、空缺数据、噪声数据、数据质量不高的问题,制约着动力电池SOC和SOH精确估计,因此需要进行数据清洗[25-27]。文献[28]提出采用降噪自编码器(Denoising Auto-encoder, DAE)对数据进行了清洗,间接实现数据的降噪,提高了模型的预测精度,然而单层降噪自编码器容量有限并且对输入数据较为敏感。文献[29]采用堆叠降噪自编码器(Stacked Denoising Auto-encoder, SDAE)提取、还原数据特征进行数据清洗,实现对孤立点的修复和对空缺数据的填补,有效提升数据的质量。但堆叠降噪自编码器无法拟合复杂的非线性关系,这严重影响着模型的准确性和可解释性。

针对以上动力电池SOC和SOH估计存在的问题,本文基于Informer模型构建了预测模型KA Informer,用以精确估计电动汽车在充电阶段和放电阶段电池的SOC和SOH。具体创新点为:

(1)针对原始堆叠降噪自编码器内部采用固定的激活函数影响模型的准确性和可解释性的问题,依据Kolmogorov-Arnold理论将原始堆叠降噪自编码器SDAE内部权重W替换为可自主学习的激活函数B-spline,并采用网格扩展技术细粒化B-spline,组成KASDAE新模型,提升修复异常数据、空缺数据的效果。

(2)考虑到Transformer模型在长时间序列预测任务的不足,引入在长时间序列预测任务性能更好的Informer模型,并创新性的采用傅里叶混合窗口注意力机制(Fourier-Mixed Window Attention, FMWA)替换MPPSA,对Informer模型结构进行改进优化,提高模型捕捉长序列数据的局部信息和全局信息的能力,增强Informer模型的性能和泛化能力。

(3)针对电池管理系统(Battery Management System, BMS)输出SOC和SOH实时性差的缺陷,基于SOC和SOH的相关性分析,提出采用经过优化改进的Informer模型实现充电阶段和放电阶段的SOC和SOH的同步估计,并将两阶段的SOH线性加权得到整个循环的SOH,提升SOC和SOH的实时估计的精度。

1 电动汽车电池分析

1.1 电动汽车动力电池分析

电动汽车动力电池组通常由数十个电池模组构成,电池模组由上百单体电池以并联或者串联形式构成,不同电池的类型以及形状也存在差异。自1990年以来,锂离子电池因具有能量密度高、循环寿命长、质量轻的优势而逐步取代铅酸电池成为电动汽车的主要动力电池。目前常用的锂离子电池类型为镍钴锰酸锂(NMC)、镍钴铝酸锂(NCA)、磷酸铁锂(LFP)电池,未来固态电池、锂硫电池(Li-S)、锌空气电池以及超级电容器都可能作为动力电池部署在电动汽车上。动力电池的形状通常为圆柱形和方形。圆柱形电池呈圆筒状,常见的电池型号有14650、14500、18650、21700,特斯拉现在用的电池型号是18650和21700,未来尺寸和容量更大的4680电池也将投入应用。方形电池呈长方形,也被成为“刀片型”电池,适用于空间有限的电池组设计,国内的比亚迪、蔚来、小鹏和理想等公司均采用长方形电池。

单体电池和电池模组的简单示意图如图1所示。

width=219,height=176.9

图1 单体电池和电池模组的示意图

Fig.1 Schematic diagram of single cell and battery module

BMS由采集模块、通信模块和数据分析模块组成,保障着电池的安全性、性能和寿命。经传感器采集到的电压、电流和温度信息通过控制器局域网总线(Controller Area Network, CAN)通信或菊花链通信由从板从控单元(Cell Supervisory Controller, CSC)传递到主板BCU,由主板BCU完成SOH和SOC的估计工作。数据采集分析流程如图2所示。

width=486.6,height=104.75

图2 动力电池数据采集分析流程

Fig.2 Power battery data acquisition and analysis flow chart

1.2 估算电池状态算法制定分析

动力电池数据集特性为数据异常缺失性、数据多维性、时间依赖性。由于传感器故障、精度不足、老化以及数据采集环境复杂易受温度、湿度影响,导致存在数据异常、数据缺失的问题。数据集中通常包含电压、电流、温度等多维特征,并且特征数据之间存在复杂的交互关系。此外,动力电池的性能监测涉及时间序列数据,需要考虑时间的依赖性。

针对数据异常性,传统的3s异常判断方法依据超出均值加减3倍差(即u±3s)的标准判断异常值得到广泛应用。但其对于极端值过于敏感,当数据集中存在极端值时,均值和标准差会受到影响,从而导致异常值的识别不准确。此外,动力电池数据属于时间序列数据,3s 异常判断方法可能忽略数据中的时间相关性和趋势,导致异常值检测不准确。针对数据缺失性,回归插值法通过建立自变量与因变量之间的关系,并通过已知数据预测缺失的因变量值,与简单的插补方法(如均值插补)相比,其优势明显。但回归插值法过于依赖模型的选择和假设,易受异常值和数据分布假设的影响且对数据量的要求较高。SDAE是一种深度学习模型,采用多层自编码器自适应的学习受损输入数据特征,并能够随着新数据的到来进行在线学习或增量学习,使得模型能够持续适应数据分布的变化,同时解决数据异常和数据缺失这两大难题。

针对数据多维性、时间依赖性的问题,传统ELM、GRU、LSTM算法通常假设特征之间的关系是线性的且模型结构较为简单,无法捕捉数据的复杂性关系进而导致模型估算准确率较低、耗费时间长。Transformer模型一方面能够高效处理动力电池电流、电压、温度等多维数据实现并行计算,这对实时电池SOC估算尤为重要;另一方面,Transformer模型中使用自注意力机制,可以有效捕获长序列数据中的依赖关系,解决时间依赖性的问题。Informer模型是Transformer模型改进变体,其内部MPPSA更能有效解决动力电池多维性和时间依赖性的问题。综上所述,制定对应算法的流程如图3所示。

1.3 整体框架

本文提出基于KA Informer模型精确估计电动汽车动力电池SOC&SOH的方法。首先,从电池数据集中提取原始电压、电流和温度数据,利用KASDAE模型对原始数据进行数据清洗,得到修复后的完整数据。采用傅里叶混合窗口注意力机制(FMWA)替换初始Informer模型中的MPPSA,构成FMWA Informer模型。其次,清洗后的电压、电流和温度数据输入FMWA Informer模型中,得到电动汽车电池在充电和放电阶段SOC变化值。SOC定义为当前电池剩余可用的总电荷量与当前可用的最大电荷容量之比,SOH定义为当前循环可用的最大电荷容量与电池生产出厂时的额定容量之比。当SOC在充电阶段充满时间较长或者在放电阶段放电时间较长时,则认为当前循环SOH较高;当SOC在充电阶段充满时间较短或者在放电阶段放电时间较短时,则意味着当前SOH较低,SOC的变化情况与SOH值存在密切关系。基于SOC和SOH之间具有最大容量相关性,将充电和放电阶段的SOC变化曲线作为FMWA模型输入,将SOH值作为预测结果输出,分别实现充电和放电阶段SOH的估计,最终得到电池此次循环的SOH值。整体框架如图4所示。

width=233.3,height=126.35

图3 制定算法流程

Fig.3 Flow chart of developing algorithm

width=483.95,height=166.45

图4 整体框架

Fig.4 Overall framework diagram

2 数据清洗和修复

2.1 堆叠降噪自编码器

堆叠降噪自编码器在自编码器的基础上,采用多层降噪自编码器随机给输入数据添加噪声数据,通过学习受损输入数据的特征,以近似还原出未添加噪声的输入数据,对异常数据和空缺数据具有很好的清洗修复效果,如图5所示。

width=221.9,height=84

图5 数据清洗修复效果

Fig.5 Data cleansing and restoration results

具体步骤为:首先对输入数据X=(x1, x2,…, xn)加入一定比例的噪声干扰,n为输入数据的个数,得到含有噪声数据样本width=12,height=13.95;其次噪声样本width=12,height=13.95通过非线性激活函数进行编码,获得隐含层的输出HDE,即

width=142,height=17 (1)

式中,Wencoder为输入层与编码层之间的权值矩阵;bencoder为编码层偏置向量;sDAE为Sigmoid激活函数;width=12,height=15为添加噪声之后的各个输入样本。

最后将隐藏层输出HDE进行解码,得到SDAE网络重构后的输入样本width=12,height=13.95

width=141,height=18 (2)

SDAE结构如图6所示。

width=185.65,height=158.3

图6 堆叠降噪自编码器结构

Fig.6 Stacked denoising autoencoder structure

2.2 KASDAE模型

SDAE内部作用于节点的激活函数是固定不变的,这将导致模型无法灵活地适应不同的数据分布和复杂的非线性关系,限制模型对不同类型数据的表达能力,影响数据清洗的能力。针对以上问题,本节基于Kolmogorov-Arnold理论将原始SDAE中编码层权重W替换为可自主学习的激活函数B-spline并对节点进行线性加权求和操作,组成KASDAE模型。最后采用网格扩展技术进一步细粒化B-spline训练KASDAE模型,以获取更好的数据清洗效果。

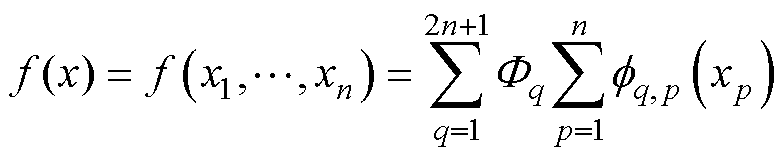
Kolmogorov-Arnold理论揭示在有界域内的多元连续函数可以分解为多个单变量函数的有限加法组合,即

width=171,height=35 (3)

2.2.1 KASDAE结构

堆叠降噪自编码器是基于传统的多层感知机(Multi-Layer Perceptron, MLP)架构搭建的一种网络,其运算方式可以归纳为

width=209,height=17(4)

式中,“width=6.95,height=9”为顺序运算操作;width=15,height=15为首个权值矩阵。

由此可见,堆叠降噪自编码器非常依赖线性变换W以及非线性变换s,这将极大地限制模型的表达能力。

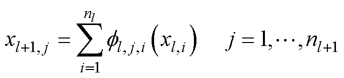
受到Kolmogorov-Arnold理论的启发,本节基于SDAE提出KASDAE模型。KASDAE模型的单层计算方式为

width=149,height=34 (5)

式中,nll层的节点数;xl,i为第l层的第i个节点;xl+1, j为第l+1层的第j个节点。KASDAE单层运算

流程如图7所示。图7中,width=21,height=16为节点x0,1的第1条曲线,余下类同,F 表示单层运算过程。

width=174,height=86.75

图7 KASDAE单层运算流程

Fig.7 KASDAE single layer operation flow chart

最终,KASDAE模型的计算方式可以简化为

width=179,height=17 (6)

KASDAE模型的具体结构如图8所示。

2.2.2 细粒化激活函数B-spline

为了获得更好的数据清洗修复效果,在KASDAE模型训练初期,先采用较少参数训练模型,然后采用网格扩展技术使样条曲线更加精细,使得KASDAE模型拥有更多的参数量,无需在训练初期就训练大参数量模型。

width=187.9,height=164.05

图8 KASDAE模型结构

Fig.8 KASDAE model structure

训练初期采用K阶样条曲线B-spline,定义域为[a, b],网格宽度为G1,则定义域可具体表示为width=36,height=21,基础样条曲线增强范围为width=51,height=21,包含G1+K基础样条,最终样条曲线B-spline由G1+K组合而成。训练后期改变网格宽度,将网格宽度扩展至G2G2G1),K阶样条曲线B-spline的定义域仍为[a, b],则定义域可具体表示为width=37,height=21,基础样条曲线的增强范围为width=52,height=21,包含G2+K基础样条,最终样条曲线B-spline由G2+K组合而成。网格扩展原理如图9所示。

width=219,height=180.85

图9 网格扩展原理

Fig.9 Grid expansion schematic

2.3 KASDAE数据清洗与修复

受环境变化、外部扰动和传感器故障等因素的影响,电动汽车BMS采集的电压、电流、温度数据中会出现异常数据、空缺数据和噪声数据,制约了SOC和SOH的估计精度。以电压采集为例,展示采集过程中出现的异常数据和空缺数据,如图10所示。

width=218.85,height=176.65

图10 电压数据中异常数据、空缺数据示意图

Fig.10 Diagram of abnormal data and vacancy data in voltage data

KASDAE能够对传感器采集的电压、电流、温度数据进行清洗,重构原始数据,降低异常数据、空缺数据、噪声数据对SOC和SOH估计的不利影响。以重构电压数据为例,展示堆叠降噪自编码器KASDAE的数据修复效果,如图11所示。

width=218.65,height=160.3

图11 电压重构曲线效果

Fig.11 Voltage reconfiguration curves effect

相比DAE、SDAE,本文提出的KASDAE模型对不同时间段的电压数据清洗修复的效果更好。不同方法对电压数据清洗修复效果见表1。相对误差百分比作为评价指标。

相比依据传统3s准则判断异常值和回归插值法处理空缺值的方法(A),KASDAE模型(B)处理异常值和空缺值的准确度和快速性见表2。

综上所述,本文提出KASDAE能够对原始数据进行清洗,并修复孤立点数据、空缺数据,为精确估计电动汽车动力电池SOC和SOH提供了优质数据支持。

表1 不同方法对电压数据清洗修复效果

Tab.1 Effectiveness of different methods for voltage data cleaning and restoration

时间/s原始值电压/V相对误差百分比Perror(%) DAESDAEKASDAE 2003.283.003.143.250.91 3753.563.243.703.601.12 7803.753.423.623.811.60 1 3003.833.593.943.840.26 1 6253.873.643.743.90.78 1 8003.913.673.793.871.02 2 2353.943.693.823.970.76 2 6003.973.713.844.000.75 3 2504.053.854.174.020.74 3 3004.113.924.044.130.48

表2 回归插值法和3s准则与KASDAE模型性能对比

Tab.2 Performance comparison of regression interpolation and 3s criterion with KASDAE modeling

类型数值/V修复值/V实际值/V精度(%)时间/s ABABAB 异常值1.21.351.491.5288.8198.0210730 2.72.572.382.4285.0098.3510026 2.52.612.92.8591.5898.2512826 3.73.53.253.2878.0099.0910328 4.34.143.923.9682.0098.999830 空缺值0[0.8, 1]0.760.830.8589.4197.657825 0[1.3, 1.7]1.351.431.4791.8497.287723 0[2, 2.4]2.22.362.3494.0299.158025 0[3.6, 4.2]3.954.094.1295.899.2710026

注:[ ] 代表电压区间。

3 FMWA Informer模型

Informer神经网络是Zhou Haoyi等于2021年提出的一种Transformer变体[30]。相比Transformer,Informer引入了稀疏多头自注意力机制、蒸馏机制、生成式解码器,在长时间序列预测任务中的表现明显优于Transformer。Informer模型中的MPPSA采用多个稀疏注意力,通过重新定义查询向量Q的稀疏度,使得每个数据只与少数重要位置数据相关联,从而减少了计算复杂度和参数数量。然而随着序列长度的增加,MPPSA可能会导致长距离依赖性的处理不足,无法有效地捕捉到全局信息;并且随着序列长度的增加,MPPSA的计算复杂度会增加,这可能导致训练和推理的效率下降。针对以上存在的问题,本节提出采用FMWA替换MPPSA,优化Informer模型结构,使得FMWA Informer模型能够捕获电池时间序列数据的局部信息和全局信息,提升动力电池SOC和SOH估算精度。

3.1 稀疏多头自注意力机制(MPPSA)

Informer模型中的MPPSA的主要功能是提取输入长序列数据的特征,其原理如图12所示。

width=198.7,height=101.6

图12 稀疏多头注意力机制作用原理

Fig.12 Schematic diagram of the action of the sparse multiple attention mechanism

单个稀疏注意力头以及多头MPPSA的得分为

width=210,height=77(7)

式中,width=11,height=16为稀疏查询向量;width=18,height=15为权重矩阵。

3.2 傅里叶混合窗口注意力机制(FMWA)

本节提出的FMWA包含窗口自注意力模块和傅里叶混合模块两部分,其中窗口自注意力模块能够捕获输入的长时间序列数据的局部信息;傅里叶模块可以加快全局信息传播、交互特征,有效弥补MPPSA捕捉全局信息不足的缺陷。

窗口自注意力模块的作用机制为:首先将序列长度为L的输入X均等划分成N个小片段序列[X1 X2 X3 X4width=16,height=15],这意味着查询向量Q、键向量K、值向量V被分为N个查询向量小片段;然后得到每个小片段的注意力得分,之后,得到每个序列片段的注意力,将所有片段的注意力得分融合进而获得整个窗口的注意力机制得分,如

width=234,height=67(8)

傅里叶混合模块的作用机制为:首先给定输入Xwidth=47,height=13.95,其中L为时间尺度,dmodel为模型维度;然后沿着模型维度dmodel和时间尺度L进行傅里叶变换;最后取傅里叶变换结果的实部。

经以上分析,给出FMWA的具体结构,如图13所示。

width=195.6,height=140.15

图13 傅里叶混合窗口注意力机制结构

Fig.13 Structural diagram of the attention mechanism of the Fourier mixing window

3.3 FMWA Informer模型结构

本节提出将Informer模型中编码器encoder以及解码器decoder中的MPPSA替换为FMWA,能够有效捕获长时间序列数据的局部信息和全局信息,加快Informer模型在长时间序列预测任务预测速度,更好更快地估计电动汽车动力电池的SOC和SOH。FMWA Informer模型结构如图14所示。

传统Informer模型计算方式可以简化为

width=211.75,height=55.1(9)

改进之后的FMWA Informer模型的计算方式可以简化为

width=218,height=75(10)
width=225.7,height=196.9

图14 FMWA Informer模型结构

Fig.14 Structure of FMWA Informer model

3.4 预测模型KA Informer流程

针对电动汽车内部传感器采集到的电压、电流、温度数据存在异常数据、空缺数据、噪声数据以及模型估算SOC以及SOH准确度不高的问题,提出KA Informer的网络模型,以更好地提高预测精度,流程如图15所示。

width=439.3,height=155.4

图15 KA Informer流程

Fig.15 KA Informer flow chart

KA Informer模型能够利用电动汽车在充电阶段和放电阶段由传感器采集到的电压、电流和温度数据实现动力电池全使用周期内SOC和SOH估算,并最终反馈到电动汽车BMS,帮助电动汽车用户更好地管理车辆的续航里程、延长电池寿命并及时采取必要的维护措施,从而提升用户的使用体验和车辆的可靠性。

4 实验与分析

4.1 动力电池数据集

马里兰大学PL样本电池数据集包含24块额定容量为1 500 mA·h,额定电压为4.2 V的钴酸锂(LiCoO2)电池。3组8块电池分别在-40℃、-5℃、50℃环境温度下以0.5C倍率循环充放电,具体工况为联邦城市驾驶计划(Federal Urban Driving Schedule, FUDS)工况。具体测试步骤为:在充电过程采用0.5C的恒定电流速率充电,使得电压从2.7 V升至4.2 V。在放电过程采用0.5C的恒定电流速率放电,使得电压从4.2 V降至2.7 V。每一次充放电循环后,停留30 min时间。马里兰大学PL样本电池数据集包含117 982样本数据,每组将6个电池数据用作训练样本,剩余2个电池数据(Cell7、Cell8)用作测试样本。

牛津大学电池数据集是牛津大学发布的公共数据集,测试对象为8块额定容量740 mA·h,额定电压4.2 V的磷酸铁锂(LiFePO4)电池,编号记为Cell1, Cell2,…, Cell8。电池在环境温度40℃下采用恒压恒流充电模式,具体工况为ARTEMIS市区行驶工况,表征测量为1C恒流充放电,采样频率为1 Hz。具体测试步骤为:首先使用1.48 A的恒流对电池进行充电,直至电池达到4.2 V,然后在模拟电动汽车动态工况环境下以0.74 A的恒流对电池进行放电,直至电池电压达到截止电压2.7 V,重复进行充放电并每隔100次循环记录当前循环充电阶段和放电阶段的电压、电流、温度、容量。牛津大学电池数据集包含15万个样本数据,本实验将Cell4和Cell8用作测试样本,剩余6个电池用作训练样本训练SOC和SOH估计模型。

北京理工大学Nature数据集包含Panasonic NCR18650BD(镍钴锰NMC电池)和Gotion IFP20100140A(磷酸铁锂LiFePO4电池)两种类型电池数据。两种电池分别在20℃和45℃的热室中进行测试,采用ARBIN BT2000电池测试系统对电池进行循环充放电,模拟工况为城市驾驶UDD工况。电池Panasonic NCR18650BD(标准容量3.03 A·h,Cell3)在充电阶段以0.3C的恒定电流速率充电,直至电压达到4.2 V,之后保持电压4.2 V直至电流降至0.03 A;放电阶段以2C的恒定电流速率进行放电。电池Gotion IFP20100140A(标准容量27 A·h,Cell3)在充电阶段以1C的恒定电流速率充电,直至电压达到3.65 V,之后保持3.65 V电压直至电流降至1.35 A;放电阶段以1C的恒定电流速率进行放电。北京理工大学Nature数据包含71 588样本数据,本实验将电池Panasonic NCR18650BD的Cell1、Cell2用作训练集,Cell3用作测试集;将电池Gotion IFP20100140A的Cell1、Cell3用作训练集,Cell2用作测试集。

训练样本和测试样本用于SOC和SOH估算模型之前需要归一化处理,本文采用最大最小归一化,将数值映射到[0, 1]范围内,得

width=90,height=30 (11)

式中,width=11,height=13为归一化后的数据;x为原始数据;min(x)为原始数据中的最小值;max(x)为原始数据中的最大值。

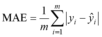
采用平均绝对误差(Mean Absolute Error, MAE)和方均根误差(Root Mean Square Error, RMSE)作为评价指标,即

width=90,height=33 (12)
width=112,height=36 (13)

4.2 实验设置

本实验平台为CPU(Intel Core i7-12700H 2.25 GHz)、GPU(NVIDIA GeForce RTX4060),集成开发环境为PyCharm,深度学习框架为PyTorch。提出的KA Informer模型具体参数见表3。

表3 KA Informer模型详细参数

Tab.3 Detailed parameters of KA Informer model

参 数数 值 KASDAE输入层节点数100 隐藏层层数4 各隐藏层节点数65, 50, 30, 50 输出层节点数100 学习率0.01 噪声覆盖率(%)30

(续)

参 数数 值 FMWA Informer编码器堆叠层数2 固定窗口大小24 初始学习率0.001 解码器层数1 注意力头数8 批大小32

4.3 KASDAE-FMWA Informer估计效果

本节在牛津大学电池数据集、北京理工大学Nature电池数据集和马里兰PL样本数据集上进行实验验证,评估KA Informer模型在-40℃、-5℃、20℃、40℃、45℃、50℃环境温度下估算动力电池SOC和SOH的能力。选取-40℃和-5℃作为基准条件是为了检测模型在超低温和低温环境下的性能。选取20℃作为基准条件是为了检测常温环境下模型的性能。选取40℃作为基准条件是因为在电池材料的研究中,40℃是考察化学反应动力学和电化学的理想温度,有助于测得更能反映电池特性的数据。选取45℃作为基准条件是因为许多电子设备和储能系统在工作时会接近45℃的环境温度,有助于得到测试设备在正常工作时获得数据。选取50℃作为基准条件是为了检测模型在超高温环境下的性能。

4.3.1 -40℃下模型的估计结果

本节依据马里兰大学PL样本电池数据集中 -40℃温度下的数据进行实验,选用MAE和RMSE作为评价指标,模型评估SOC&SOH的结果见表4。

表4 -40℃下模型估计SOC&SOH的MAE和RMSE值

Tab.4 Estimated MAE and RMSE for SOC&SOH at -40℃(%)

电池型号类别评价指标 MAERMSE 平均最大最小平均最大最小 Cell7SOC0.270.420.240.360.530.25 SOH0.510.630.330.650.720.5 Cell8SOC0.280.390.220.370.410.34 SOH0.560.620.440.650.670.52

4.3.2 -5℃下模型的估计结果

本节依据马里兰大学PL样本电池数据集中 -5℃温度下的数据进行实验,选用MAE和RMSE作为评价指标,模型评估SOC&SOH的结果见表5。

4.3.3 20℃下模型的估计结果

本节依据北京理工大学中电池Panasonic NCR18650BD数据进行实验,选用MAE和RMSE作为评价指标,模型评估SOC&SOH的结果见表6。

表5 -5℃下模型估计SOC&SOH的MAE和RMSE值

Tab.5 Estimated MAE and RMSE for SOC&SOH at -5℃(%)

电池型号类别评价指标 MAERMSE 平均最大最小平均最大最小 Cell7SOC0.250.40.220.340.510.24 SOH0.530.640.350.660.70.54 Cell8SOC0.260.380.240.360.420.32 SOH0.560.630.460.650.680.54

表6 20℃下估计SOC&SOH的MAE和RMSE值

Tab.6 Estimated MAE and RMSE for SOC&SOH at 20℃(%)

Cell3评价指标 MAERMSE 平均最大最小平均最大最小 SOC0.250.40.20.350.50.28 SOH0.540.620.350.60.70.53

4.3.4 40℃下模型的估计结果

本节依据牛津大学电池退化数据集进行实验,选用MAE和RMSE作为评价指标,模型评估SOC&SOH的结果见表7。

表7 40℃下估计SOC&SOH的MAE和RMSE值

Tab.7 Estimated MAE and RMSE for SOC&SOH at 40℃(%)

电池型号类别评价指标 MAERMSE 平均最大最小平均最大最小 Cell4SOC0.260.40.20.380.50.28 SOH0.510.620.350.640.70.53 Cell8SOC0.30.370.230.380.420.31 SOH0.570.60.450.640.680.53

4.3.5 45℃下模型的估计结果

本节依据北京理工Nature电池数据集中电池Gotion IFP20100140A进行实验,选用MAE和RMSE作为评价指标,模型评估SOC&SOH的结果见表8。

4.3.6 50℃下模型的估计结果

本节依据马里兰大学PL样本电池数据集中50℃温度下的数据进行实验,选用MAE和RMSE作为评价指标,模型评估SOC&SOH的结果见表9。

表8 45℃下模型估计SOC&SOH的MAE和RMSE值

Tab.8 Estimated MAE and RMSE for SOC&SOH at 45℃(%)

电池型号类别评价指标 MAERMSE 平均最大最小平均最大最小 Cell2SOC0.280.340.270.360.50.33 SOH0.480.580.40.570.620.5

表9 50℃下模型估计SOC&SOH的MAE和RMSE值

Tab.9 Estimated MAE and RMSE for SOC&SOH at 50℃(%)

电池型号类别评价指标 MAERMSE 平均最大最小平均最大最小 Cell7SOC0.260.420.20.350.530.26 SOH0.50.620.370.630.740.53 Cell8SOC0.290.360.250.380.430.35 SOH0.550.620.420.670.690.55

更高温度或者更低温度的数据差异只体现在电池的充放电速率上。温度越高,电池的化学反应速率越高,导致充放电速率提高;温度越低,电池的化学反应不活跃,导致充放电速率变慢。充放电速率只对SOC和SOH的变化幅度有影响,只要对应温度下测得的SOC和SOH数据相对精确,不影响模型训练以及估算即可,更高或更低温度下的数据不会影响模型的估算。从表4~表9中模型估算SOC和SOH的表现上可以得出结论:本文提出的KA Informer模型对超低温、低温、常温、高温和超高温度环境下的动力电池SOC和SOH的估计均拥有较好的准确度,表明模型在拥有良好准确率的同时具有泛化性。

4.4 对比实验

4.4.1 与Informer、Transformer、LSTM、GRU、ELM对比试验

本节以马里兰PL样本电池数据集、牛津大学电池数据集和北京理工大学Nature电池数据集为基础,将提出的KA Informer模型在预估电池SOC和SOH准确度方面与Informer、Transformer、长短期记忆神经网络(LSTM)、门控循环单元神经网络(GRU)、极限学习机(ELM)五种模型进行对比。将马里兰PL样本电池数据集中Cell1~Cell6,牛津大学电池数据集中的Cell4、Cell8,北京理工Nature电池数据集电池Panasonic NCR18650BD中的Cell3,电池Gotion IFP20100140A中的Cell2作为测试集,其他数据作为训练集,训练集效果将MAE作为评价指标。图16为不同模型SOC训练集平均绝对误差MAE变化曲线,图17为不同模型SOH训练集MAE变化曲线。

width=219.25,height=124.9

图16 各模型在训练集中SOC的MAE变化曲线

Fig.16 MAE curves of SOC in the training set for each model

width=219.25,height=125.75

图17 各模型在训练集中SOH的MAE变化曲线

Fig.17 MAE curves of SOH in the training set for each model

从图16和图17中可以得出,本文提出的KA Informer模型在训练过程中最终得到SOC和SOH的MAE均小于Informer、Transformer、LSTM、GRU、ELM模型,并且收敛速度优于五种模型。

KA Informer与Informer、Transformer、LSTM、GRU、ELM模型在相同训练集马里兰PL样本电池数据集(C)、牛津大学电池数据集(D)和北京理工大学Nature电池数据集(E)下的训练时间见表10。

表10 不同模型在相同数据集下的训练时间

Tab.10 Training time of different models on the same dataset

模型训练时间/h CDE KA Informer4.05.52.8 Informer3.44.82.5 Transformer3.75.02.6 LSTM3.03.52.0 GRU2.73.41.8 ELM22.51.2

从表10中可以得到,尽管其他模型的训练时间少于KA Informer模型的训练时间,但准确率得不到保证。KA Informer模型增加了数据处理的过程,网络结构也变得复杂,虽然训练时间稍长一些,但准确率却得到有效提升。

接下来以牛津大学电池数据集中的Cell4为例,不同模型下SOC估计效果对比如图18所示,不同模型下SOH估计效果对比如图19所示。

width=184.2,height=171.6

图18 各模型SOC估计MAE和RMSE平均值对比

Fig.18 Comparison of the mean MAE and RMSE of the SOC estimates for each model

width=184.2,height=168.1

图19 各模型SOH估计MAE和RMSE值对比

Fig.19 Comparison of the mean MAE and RMSE of the SOH estimates for each model

KA Informer模型与Informer、Transformer、LSTM、GRU、ELM五种模型在估算准确度、复杂度方面的对比见表11。

KA Informer模型一方面首先采用KASDAE算法对输入数据中异常数据和缺失数据的清洗,为模型提供优质的数据支持,这是提升模型准确性的一个重要原因。其次采用FMWA能够将清洗后的数据分成大小相等的数据块,有效捕捉数据局部信息。然后将所有片段的注意力得分融合进而获得整个窗口的注意力机制得分,能够捕获输入数据的全局信息。最后获取的局部信息和全局信息能够反应数据本身含有的特征,易与SOC和SOH实际值建立联系所以其准确率能够提升。另一方面在实际应用情况下估算SOC和SOH的KA Informer模型是已经训练好的模型,其结构和关键参数均已确定且数据清洗能力和估算准确度较好。相比未经过数据处理和拟合能力差的Informer、Transformer、LSTM、GRU、ELM模型,训练好的KA Informer模型的参数量是较少的,整个估算过程因其强大的数据处理能力,其花费的估算时间相对较少。尽管增加了KASDAE数据处理的过程,但采用高效的B-spline激活函数,可以加快计算速度,减少计算资源的消耗,KASDAE算法和FMWA Informer模型共同组成的KA Informer模型的参数量还是要小于Informer、Transformer、LSTM、GRU、ELM这五种模型。综上所述,本文提出的KA Informer模型在估算SOC和SOH的准确度、模型复杂度方面均优于传统Informer、Transformer、GRU、LSTM、ELM模型。

表11 KA Informer模型与Informer、Transformer、LSTM、GRU、ELM模型对比

Tab.11 KA Informer model compared with Informer, Transformer, LSTM, GRU, ELM models

模型SOC(%)SOH(%)计算时间/s参数量/106 MAERMSEMAERMSE ELM1.041.121.141.252 10015.858 358 LSTM0.770.860.941.111 97414.954 737 GRU0.750.830.921.051 82414.845 784 Transformer0.640.760.820.941 51810.467 368 Informer0.490.610.720.819066.387 758 KA Informer0.230.380.510.644925.467 233

目前我国社会对电动汽车的实用性、节能性和安全性比较认可。然而电动汽车实际运行中,用户通常存在由续航里程有限问题引起的“里程焦虑”和“充电焦虑”等心理问题,其主要原因在于用户无法准确地了解SOC的变化情况,无法估算续航里程,无法判断何时应该充电。另外,BMS在电池容量衰退到原始容量的70%~80%时应及时提醒电动汽车用户更换电池。基于上述分析,当前电动汽车用户对SOC和SOH估计需求主要有两点:①准确性;②实时性。本文所提的KA Informer模型SOC和SOH估算具有高准确性,在估计速度上也具有优势,其在不影响用户驾驶的情况下仅需492 s的时间就能完成整个过程的SOC和SOH的估算,满足了电动汽车用户实时显示电量和更换电池的需求,缓解用户的“里程焦虑”和“充电焦虑”,具有协助用户做好出行规划、充电规划和更换电池规划的现实意义。

4.4.2 不同循环周期下模型性能对比

为了更好地展示实验效果,以电池Cell4为例,分别展示其循环次数在200、1 000、5 000时的SOC变化曲线,如图20所示。

4号电池全部循环过程中的SOH实际值和预测值的对比如图21所示。

综上所述,本文提出的模型在SOC和SOH估算实际值与预测值误差很小,能够有效地跟踪实际过程中SOC和SOH的变化趋势,效果较好。

4.5 消融实验

本文对估算电动汽车动力电池SOC和SOH准确度提升做了两种贡献:①采用堆叠降噪编码器KASDAE对异常数据、空缺数据、噪声数据进行清洗;②提出FMWA对Informer模型进行改进优化,捕捉局部信息和全局信息,提高运行效率。为了验证提出方法的有效性,本节设置两种消融实验:①为了验证单独改进模块的优化效果,以初始Informer模型为基础,分别只增加一种改进算法;②为了验证两种改进模块相结合的优化效果,以初始Informer模型为基础,每次增加两种算法。消融实验结果见表12,表中“√”表示加入该改进算法。

width=249.35,height=411.35
width=242.25,height=183.8

图20 不同循环次数下SOC实际值与预测值对比

Fig.20 Comparison of actual and predicted SOC values for different number of cycles

width=194.4,height=161.4

图21 SOH估算结果对比

Fig.21 Comparison of SOH estimation results

从表12可以看出,第2组实验采用KASDAE对数据进行清洗,KASDAE Informer对Cell4电池的SOC估算MAE平均值降低了16%,RMSE平均值降低了17.8%,SOH估算MAE降低了11.4%,RMSE值降低了8.6%;Cell3电池的SOC估算MAE平均值降低了25.9%,RMSE平均值降低了10%,SOH估算MAE值降低了10.3%,RMSE平均值降低了8.7%。第3组实验采用FMWA对Informer模型进行改进优化,FMWA Informer对Cell4电池的SOC估算MAE平均值降低了32%,RMSE平均值降低了32.3%,SOH估算MAE降低了17.1%,RMSE值降低了14.8%;Cell3电池的SOC估算MAE平均值降低了35.1%,RMSE平均值降低了26.7%,SOH估算MAE值降低了13.2%,RMSE值降低了11.4%。第4组使用KA Informer预测模型,Cell4电池的SOC估算MAE平均值降低了52%,RMSE平均值降低了40.3%,SOH估算MAE值降低了28.6%,RMSE值降低了23.5%;Cell3电池的SOC估算MAE平均值降低了53.7%,RMSE平均值降低了35%,SOH估算MAE值降低了29.4%,RMSE值降低了24.1%。可以得出两个模块结合相比单独模块SOC和SOH估算精度进一步提高,消除任一种模块都会降低模型的预测精度。

表12 消融实验结果

Tab.12 Results of ablation experiments (%)

算法模型KASDAEFMWACell4Cell3 SOCSOHSOCSOH MAE平均值RMSE平均值MAE值RMSE值MAE平均值RMSE平均值MAE值RMSE值 Informer0.50.620.70.810.540.60.680.79 KASDAE Informer√0.420.510.620.740.40.540.610.72 FMWA Informer√0.340.420.580.690.350.440.590.7 KA Informer (本文)√√0.240.370.50.620.250.390.480.6

5 结论

本文提出了一种基于KA Informer模型精确估算电动汽车动力电池SOC&SOH方法,能够仅依据电池组内部传感器采集到的电压、电流、温度值,同时输出当前循环充电阶段和放电阶段的SOC值以及整个循环的SOH值。在马里兰大学PL样本电池数据集、牛津大学电池数据集以及北京理工大学Nature数据集上的实验结果为估计SOC的平均绝对误差和方均根误差分别达到0.24%和0.37%,估计SOH的平均绝对误差和方均根误差分别达到了0.5%和0.62%,均优于传统Informer、Transformer、GRU、LSTM、ELM模型,并且适用于不同工作环境的预测,拥有较好的泛化性。未来工作将考虑电动汽车用户驾驶习惯、行驶路况、新型高性能电池对估算SOC&SOH的影响,进一步提升实际应用价值。

参考文献

[1] 高德欣, 郑晓雨, 王义, 等. 电动汽车充电状态监测与多级安全预报警方法[J]. 电工技术学报, 2022, 37(9): 2252-2262.

Gao Dexin, Zheng Xiaoyu, Wang Yi, et al. A state monitoring and multi-level safety pre-warning method for electric vehicle charging process[J]. Transactions of China Electrotechnical Society, 2022, 37(9): 2252-2262.

[2] 杨续来, 袁帅帅, 杨文静, 等. 锂离子动力电池能量密度特性研究进展[J]. 机械工程学报, 2023, 59(6): 239-254.

Yang Xulai, Yuan Shuaishuai, Yang Wenjing, et al. Research progress on energy density of Li-ion batteries for EVs[J]. Journal of Mechanical Engineering, 2023, 59(6): 239-254.

[3] 杨梦洁, 杨爱军, 叶奕君, 等. 基于气体分析的锂离子电池热失控早期预警研究进展[J]. 电工技术学报, 2023, 38(17): 4507-4538.

Yang Mengjie, Yang Aijun, Ye Yijun, et al. Research progress on early warning of thermal runaway of Li-ion batteries based on gas analysis[J]. Transactions of China Electrotechnical Society, 2023, 38(17): 4507-4538.

[4] 张青松, 赵启臣. 过充循环对锂离子电池老化及安全性影响[J]. 高电压技术, 2020, 46(10): 3390-3397.

Zhang Qingsong, Zhao Qichen. Effects of overcharge cycling on the aging and safety of lithium ion batteries[J]. High Voltage Engineering, 2020, 46(10): 3390-3397.

[5] 孙丙香, 李凯鑫, 荆龙, 等. 锂离子电池不同工况下充电效果对比及用户充电方法选择研究[J]. 电工技术学报, 2023, 38(20): 5634-5644.

Sun Bingxiang, Li Kaixin, Jin Long, et al. Comparison of charging effect of lithium-ion battery under different working strategies and study on user charging method selection[J]. Transactions of China Electrotechnical Society, 2023, 38(20): 5634-5644.

[6] Kumar R R, Bharatiraja C, Udhayakumar K, et al. Advances in batteries, battery modeling, battery management system, battery thermal management, SOC, SOH, and charge/discharge characteristics in EVapplications[J]. IEEE Access, 2023, 11: 105761-105809.

[7] 黄凯, 孙恺, 郭永芳, 等. 基于观测方程重构滤波算法的锂离子电池荷电状态估计[J]. 电工技术学报, 2024, 39(7): 2214-2224.

Huang Kai, Sun Kai, Guo Yongfang, et al. State of charge estimation of lithium-ion battery based on observation equation reconstruction filtering algorithm[J]. Transactions of China Electrotechnical Society, 2024, 39(7): 2214-2224.

[8] 张效伟, 衣振晓, 王凯. 基于改进自适应蜜獾优化算法优化时间卷积网络的车载锂离子电池健康状态估计[J/OL]. 发电技术, 2024: 1-13. (2024-07-22). https://kns.cnki.net/kcms/detail/detail.aspx?dbcode= CJFD&dbname=CJFD&filename=SLJX20240719001.

Zhang Xiaowei, Yi Zhenxiao, Wang Kai. Health state estimation of lithium-ion batteries for electric vehicles based on improved honey badger optimization algo-rithm optimizing temporal convolutional network[J/OL]. Power Generation Technology, 2024: 1-13. (2024-07-22). https://kns.cnki.net/kcms/detail/detail.aspx?dbcode= CJFD&dbname=CJFD&filename=SLJX20240719001.

[9] Huang Zexin, Best M, Knowles J, et al. Adaptive piecewise equivalent circuit model with SOC/SOH estimation based on extended Kalman filter[J]. IEEE Transactions on Energy Conversion, 2023, 38(2): 959-970.

[10] 贠祥, 张鑫, 王超, 等. 基于联合参数辨识的粒子群优化扩展粒子滤波的锂电池荷电状态估计[J]. 电工技术学报, 2024, 39(2): 595-606.

Yun Xiang, Zhang Xin, Wang Chao, et al. State of charge estimation of Li-ion battery using particle swarm optimization extended Kalman particle filter based on joint parameter identification[J]. Transa-ctions of China Electrotechnical Society, 2024, 39(2): 595-606.

[11] 李卓昊, 石琼林, 王康丽, 等. 锂离子电池健康状态估计方法研究现状与展望[J]. 电力系统自动化, 2024, 48(20): 109-129.

Li Zhuohao, Shi Qionglin, Wang Kangli, et al. Research status and prospects of state of health estimation methods for lithium-ion batteries[J]. Auto-mation of Electric Power Systems, 2024, 48(20): 109-129.

[12] 刘萍, 李泽文, 蔡雨思, 等. 基于等效电路模型和数据驱动模型融合的SOC和SOH联合估计方法[J]. 电工技术学报, 2024, 39(10): 3232-3243.

Liu Ping, Li Zewen, Cai Yusi, et al. Joint estimation method of SOC and SOH based on fusion of equivalent circuit model and data-driven model[J]. Transactions of China Electrotechnical Society, 2024, 39(10): 3232-3243.

[13] 刘旖琦, 雷万钧, 刘茜, 等. 基于双自适应扩展粒子滤波器的锂离子电池状态联合估计[J]. 电工技术学报, 2024, 39(2): 607-616.

Liu Yiqi, Lei Wanjun, Liu Qian, et al. Joint state estimation of lithium-ion battery based on dual adaptive extended particle filter[J]. Transactions of China Electrotechnical Society, 2024, 39(2): 607-616.

[14] 钱伟, 王浩宇, 郭向伟, 等. 联合改进滑模观测器的自适应卡尔曼滤波荷电状态估计[J]. 电工技术学报, 2025, 40(6): 1984-1994.

Qian Wei, Wang Haoyu, Guo Xiangwei, et al. State of charge estimation using adaptive kalman filter with improved sliding mode observer[J]. Transactions of China Electrotechnical Society, 2025, 40(6): 1984-1994.https://doi.org/10.19595/j.cnki.1000-6753.tces.240373.

[15] 蔡涛, 张钊诚, 袁奥特, 等. 锂离子电池储能安全管理中的机器学习方法综述[J]. 电力系统保护与控制, 2022, 50(24): 178-187.

Cai Tao, Zhang Zhaocheng, Yuan Aote, et al. Review of machine learning for safety management of Li-ion battery energy storage[J]. Power System Protection and Control, 2022, 50(24): 178-187.

[16] 高昊天, 陈云霞. 基于机器学习的锂离子电池健康状态分类与预测[J]. 北京航空航天大学学报, 2023, 49(12): 3467-3475.

Gao Haotian, Chen Yunxia. A machine learning based method for lithium-ion battery state of health classification and prediction[J]. Journal of Beijing University of Aeronautics and Astronautics, 2023, 49(12): 3467-3475.

[17] 丁伟, 邹复民, 刘吉顺, 等. 基于CNN-BiLSTM-Attention的电动装载机电池荷电状态预测[J/OL]. 电源学报, 2024: 1-12. (2024-04-26). https://kns.cnki. net/kcms/detail/12.1420.TM.20240426.1024.024.html.

Ding Wei, Zou Fumin, Liu Jishun, et al. Prediction of battery charge state of electric loader based on CNN-BiLSTM-Attention[J/OL]. Journal of Power Supply, 2024: 1-12. (2024-04-26). https://kns.cnki.net/kcms/ detail/12.1420.TM.20240426.1024.024.html.

[18] 毛玲, 温佳林, 赵晋斌, 等. 基于集成ELM的锂离子电池充电截止电压下的SOC和SOH联合估计[J]. 电力系统保护与控制, 2023, 51(11): 86-95.

Mao Ling, Wen Jialin, Zhao Jinbin, et al. Joint estimation of SOC and SOH at lithium-ion battery charging cut-off voltage based on an ensemble extreme learning machine[J]. Power System Pro-tection and Control, 2023, 51(11): 86-95.

[19] 王桥, 魏孟, 叶敏, 等. 基于GWO-LSTM与LSSVM的锂离子电池荷电状态与容量联合估计[J]. 汽车安全与节能学报, 2022, 13(3): 571-579.

Wang Qiao, Wei Meng, Ye Min, et al. Co-estimation of state of charge and capacity of lithium-ion battery based on GWO optimized LSTM and LSSVM[J]. Automotive Safety and Energy,2022, 13(3): 571-579.

[20] 李超然, 肖飞, 樊亚翔, 等. 基于深度学习的锂离子电池SOC和SOH联合估算[J]. 中国电机工程学报, 2021, 41(2): 681-692.

Li Chaoran, Xiao Fei, Fan Yaxiang, et al. Joint estimation of the state of charge and the state of health based on deep learning for lithium-ion batteries[J]. Proceedings of the CSEE, 2021, 41(2): 681-692.

[21] Vaswani A, Shazeer N, Parmar N, et al. Attention is all you need[J]. Advances in Neural Information Processing Systems, 2017, 30: 6000-6010.

[22] 耿鑫月, 郑建飞, 胡昌华, 等. 多因素影响下双时间尺度退化设备剩余寿命预测[J]. 哈尔滨工程大学学报, 2025, 46(9): 1745-1753.

Geng Xinyue, Zheng Jianfei, Hu Changhua, et al. Remaining useful life prediction of dual time scales degraded devices under multi-factors influence[J]. Journal of Harbin Engineering University, 2025, 46(9): 1745-1753.

[23] Bao Zhengyi, Nie Jiahao, Lin Huipin, et al. TTSNet: state-of-charge estimation of Li-ion battery in electrical vehicles with temporal transformer-based sequence network[J]. IEEE Transactions on Vehicular Technology, 2024, 73(6): 7838-7851.

[24] Gao Mingyu, Shen Handan, Bao Zhengyi, et al. A correlation-augmented informer-based method for state-of-health estimation of Li-ion batteries[J]. IEEE Sensors Journal, 2024, 24(3): 3342-3353.

[25] 张博玮, 郑建飞, 胡昌华, 等. 基于流模型的缺失数据生成方法在剩余寿命预测中的应用[J]. 自动化学报, 2023, 49(1): 185-196.

Zhang Bowei, Zheng Jianfei, Hu Changhua, et al. Missing data generation method based on flow model and its application in remaining life prediction[J]. Acta Automatica Sinica, 2023, 49(1): 185-196.

[26] 欧阳天成, 徐裴行, 叶今禄, 等. 数据采集异常下的车用动力电池状态监测与故障诊断[J]. 中国电机工程学报, 2023, 43(15): 6040-6049.

Ouyang Tiancheng, Xu Peixing, Ye Jinlu, et al. Condition monitoring and fault diagnosis of vehicle power battery under abnormal data acquisition[J]. Proceedings of the CSEE, 2023, 43(15): 6040-6049.

[27] 秦潘昊, 陈威宇, 胡秦然, 等. 新型电力系统设备状态监测与故障诊断传感芯片关键技术与展望[J]. 电力系统自动化, 2024, 48(6): 83-95.

Qin Panhao, Chen Weiyu, Hu Qinran, et al. Essential technologies and prospects for device condition monitoring and diagnosis sensor chips in new power system[J]. Automation of Electric Power Systems, 2024, 48(6): 83-95.

[28] 尹杰, 刘博, 孙国兵, 等. 基于迁移学习和DAE-LSTM的锂离子电池剩余寿命预测[J]. 电工技术学报, 2024, 39(1): 289-302.

Yin Jie, Liu Bo, Sun Guobing, et al. Transfer learning DAE-LSTM for remaining useful life prediction of Li-ion batteries[J]. Transactions of China Electro-technical Society, 2024, 39(1): 289-302.

[29] 计蓉, 侯慧娟, 盛戈皞, 等. 基于粒子群优化堆叠降噪自编码器的电力设备状态数据质量提升[J]. 上海交通大学学报, 2025, 59(6): 780-788.

Ji Rong, Hou Huijuan, Sheng Gegao, et al. Data quality improvement method for power equipment condition based on stacked denoising autoencoders improved by particle swarm optimization[J]. Journal of Shanghai Jiaotong University, 2025, 59(6): 780-788.

[30] Zhou Haoyi, Zhang Shanghang, Peng Jieqi, et al. Informer: beyond efficient transformer for long sequence time-series forecasting[C]//Proceedings of the AAAI Conference on Artificial Intelligence, Beijing, China, 2021: 11106-11115.

State of Charge and State of Health Estimation of Electric Vehicle Power Battery Based on KA Informer Model

Peng Ziran1,2 Wang Shunhao1,2 Xiao Shenping1,2 Xiao Lijun1

(1. School of Electrical and Information Engineering Hunan University of Technology Zhuzhou 412007 China 2. Hunan Key Laboratory of Electric Drive Control and Intelligent Equipment Hunan University of Technology Zhuzhou 412007 China)

Abstract Accurate estimation of the state of charge (SOC) and state of health (SOH) during electric vehicle power batteries’ charging and discharging phases is crucial for electric vehicle users to plan their trips rationally and to charge the battery. However, traditional methods ignore data anomalies and missingness, multidimensionality, and time dependence, resulting in low operational efficiency, poor real-time performance, and low accuracy. This paper proposes the KA Informer model for estimating the SOC and SOH. Learning the characteristics of voltage, temperature, and current data obtained from sensors can accurately obtain electric vehicle power batteries’ SOC and SOH changes.

Firstly, based on the Kolmogorov-Arnold theory, the internal weights of the Stacked Denoising Autoencoder are optimized as an activation function B-spline. Furthermore, during the initial model training phase of the Kolmogorov-Arnold stacked denoising autoencoder (KASDAE), the grid expansion technique is used to enhance the B-spline curve. Thus, the KASDAE model can clean the voltage, current, and temperature data captured from the sensors. Secondly, Fourier-mixed window attention is proposed to improve the Informer model, enhancing the model's ability to local and global information capture in long sequences. Finally, the cleaned data is fed into the Fourier-mixed window attention informer (FMWA Informer) network model. The KA Informer model contains two parts, KASDAE and FMWA Informer, which address the above issues and significantly improve the accuracy in estimating SOC and SOH.

The experimental results on the University of Maryland PL sample battery dataset, the Oxford University battery dataset, and the Nature dataset of Beijing Institute of Technology indicate that at temperatures of -40℃, -5℃, 20℃, 40℃, 45℃, and 50℃, the KA Informer model estimates SOC with mean absolute error and root mean square error of 0.24% and 0.37%, as well as SOH with 0.5% and 0.62%, respectively. The KA Informer model consumes much fewer computational resources than the traditional Informer, Transformer, LSTM, GRU, and ELM models, with faster computation speeds and lower time and space complexity. Finally, ablation experiment results show that the proposed KASDAE model cleans anomalous, vacant, and noisy data, and the proposed Fourier Mixed Window Attention Mechanism improves the Informer model. Both parts can effectively improve the accuracy of the SOC and SOH estimation.

The following conclusions can be drawn. (1) The KA Informer in the proposed model reduces the consumption of computational resources and solves the problems of slow computational efficiency and estimation accuracy. Therefore, it is suitable for estimating electric vehicle power batteries’ charging state and health status. (2) The proposed model only requires collecting voltage, current, and temperature data from sensors, which is more practical than the traditional battery model, model-based filtering method, and model-based observer approach. (3) The improved Informer model achieves the simultaneous estimation of SOC and SOH, enhancing the battery’s management ability.

keywords:Electric vehicle, power battery, Kolmogorov-Arnold theory, stacked denoising autoencoder, enhanced Informer

中图分类号:U469.72; TP183

DOI: 10.19595/j.cnki.1000-6753.tces.241502

国家重点研发计划基金项目(2019YFE0122600)、湖南省教育厅重点科研项目(22A0423, 23C0206)和湖南省自然科学基金项目(2023JJ60267, 2022JJ50073)资助。

收稿日期 2024-08-26

改稿日期 2024-11-13

作者简介

彭自然 男,1969年生,博士,副教授,研究方向为人工智能、信号处理、智能检测仪表等。E-mail: pengziran@hut.edu.cn(通信作者)

王顺豪 男,1999年生,硕士研究生,研究方向为电动汽车动力电池荷电状态与健康状态估算。E-mail: 3130669501@qq.com

(编辑 陈 诚)