温振多维应力下航天电磁继电器动态特性和抗振性能研究

杨文英 潘宇航 鲍家璇 刘兰香

(哈尔滨工业大学电器与电子可靠性研究所 哈尔滨 150001)

摘要 航天电磁继电器必须具备良好的抗振性能,才能保证在温度-振动多应力叠加环境条件下仍能可靠动作。为了深入研究航天电磁继电器在温振多维应力下的动态特性和抗振性能,该文建立了温振交互作用下航天电磁继电器整机的多物理场耦合数字样机模型,采用间接耦合的方式通过预应力和温度两个变量耦合时域的动态特性仿真和频域的随机振动仿真。将电磁继电器动态特性和失效频率的试验测量结果与仿真数据进行对比,验证了该文建立的多物理场耦合数字样机模型的有效性。建立的三维数字样机模型可以动态展示航天电磁继电器在不同温度下的吸合过程,获取继电器的固有频率和随机振动的加速度响应。将数字样机模型与试验方法相结合可分析航天电磁继电器在温度-振动多维应力叠加环境下的动态特性和抗振性能,综合考虑温振多维应力作用下的评价方法更贴近继电器的实际工况,且更能反映航天电磁继电器的失效机理和失效模式。

关键词:航天电磁继电器 动态特性 温振交互 随机振动 多物理场耦合

0 引言

随着航空航天技术的不断进步,航天电磁继电器在航天工程中发挥着日益重要的作用。其高转换深度、优良的物理隔离性以及可多路同步切换的特点,使其被广泛应用于各类航天工程中[1-3]。然而,随着环境条件复杂性的不断增加,航天电磁继电器的可靠性要求也在不断提高[4-6]。特别是在面对温度-振动等多重应力叠加环境时,航天电磁继电器必须具备良好的抗振性能,以确保在极端条件下仍能可靠运行。

由于缺少对复杂多体机械结构在温度、振动同时作用下的双应力或多应力理论研究,导致在航天电磁继电器的设计之初,就隐含了“缺陷”,当实际工况综合了温度、振动等多个应力的共同作用时,达到一定的特定条件,该缺陷就会被激发出来,从而导致继电器产品发生通断失效,给系统稳定运行带来巨大隐患。目前,评估继电器动态特性和抗振性能的方法主要包括试验测试和虚拟样机技术[7-11]。然而,试验测试筛选往往都是亡羊补牢式的手段,无法改变产品在设计之初所隐含的固有缺陷。想要提升航天电磁继电器在温度、振动这种多应力作用下的工作可靠性,从设计源头出发,弄清其工作机理和失效模式,无疑具有十分重要的意义[12-14]。因此,不少学者对机电元件的虚拟样机模型开展了研究。从研究电器动态特性的角度出发,文献[15]建立了一个简化的电磁继电器多物理场模型,该模型使用参数化耦合方法考虑了电磁和机械之间的相互作用。文献[16]开发了一个全耦合仿真框架来预测永磁接触器的动态特性,该模型能够准确地表征接触器的动态吸合过程。文献[17]提出了一种电磁-机械耦合仿真方法和弹簧实体仿真方法,用于优化设计弹簧系统的动态过程。文献[18]基于传输线法建立了直流接触器的电磁热力多物理场耦合的二维数字样机模型,并对动态特性进行了加速求解。上述研究深入分析了电器在多物理场耦合环境下的动态特性,但没有分析振动特性。因此,从分析电器抗振性能的角度出发,文献[19]综合了在常规和振动条件下进行的电寿命试验结果的差异,探究了正弦振动对交流接触器动态特性的影响。文献[20]提出了一种簧片式继电器触簧系统的振动分析模型,用于研究簧片的固有振动特性。然而,上述继电器的抗振性能分析主要针对继电器在常温分闸状态下的接触系统或整机进行分析,没有关于继电器在温振多维应力下进行合闸操作的动态特性和抗振性能分析。为实现航天电磁继电器在宽温度范围、强幅度振动条件下的可靠分合,需要综合考虑其电气性能、温度特性、力学特性与运动特性。高低温和振动环境会对继电器的线圈参数、磁路属性产生影响,从而改变衔铁和触头的瞬时受力情况。

基于此,本文建立了温振交互作用下航天电磁继电器多物理场耦合数字样机模型,研究航天电磁继电器在温振多维应力下的动态特性和失效机理。相比传统的单一应力环境试验方法,综合考虑温振多维应力作用下的动态特性和抗振性能评估方法更贴近继电器的实际工况,且更能反映航天电磁继电器失效机理和失效模式。最后,将本文仿真结果与试验测量进行对比,验证温振多维应力下航天电磁继电器数字样机模型的有效性。本文提出的温振多维应力下航天电磁继电器动态特性和振动特性研究方法可为航天电磁继电器耐力学环境特性提供借鉴。

1 航天电磁继电器动态特性的三维有限元模型建立

航天电磁继电器是由电磁机构、接触单元构成的复杂机电系统,内部往往包含磁性、弹性、绝缘材料,且工作过程涉及电、磁、热、力等多物理场耦合作用[21],其结构示意图如图1所示。根据航天电磁继电器的几何结构,采用商用有限元软件Flux和COMSOL Multiphysics®建立其整机的三维有限元模型,分别用于评估动态特性和失效机理分析。

width=182.9,height=103.2

图1 航天电磁继电器的结构示意图

Fig.1 Structural diagram of aerospace electromagnetic relay

1.1 磁场控制方程

电器元件的可靠性直接取决于其电磁系统的性能,电磁系统的工作原理符合麦克斯韦方程组,通常可以使用有限元法(Finite Element Method, FEM)进行计算。瞬态磁场常由矢量磁位A描述,考虑永磁体后,其控制方程为

width=134,height=28 (1)

式中,width=9,height=10为磁阻率;width=11,height=10为电导率;J为线圈电流密度;Br为剩磁;t为时间。

磁感应强度B可以通过矢量磁位A来表示,有

width=44,height=12 (2)

线圈电流密度J

width=44,height=30 (3)

式中,i为线圈电流;Ncoil为线圈匝数;Scoil为线圈截面积。

磁场计算完毕后,获得的矢量磁位A和磁感应强度B可用于后续电磁力与场路耦合计算。

1.2 基于单位载荷法的电磁力计算

航天电磁继电器的线圈受到电压激励后会产生电磁力。只有当电磁力大于维持触点打开状态所需的反力时,触点才会闭合。按照单位载荷法理论[22],电磁力可以描述为

width=60,height=31 (4)

式中,q为衔铁的运动方向;Fq为衔铁在q方向受到的电磁力;Wmag为磁场能量。

在四面体单元中节点kz方向上的电磁力Fek可表示为

width=210,height=37(5)

式中,下角标e表示四面体单元的编号;Ve为四面体单元的体积;width=12,height=15为四面体单元的磁阻率;Be为四面体单元的磁感应强度。width=41,height=17可以通过铁磁材料的B-H曲线获取。

在电磁场计算完毕后,基于上述单位载荷法理论上可计算衔铁受到的电磁力。

1.3 三维电磁力矩的计算与机械运动方程

航天电磁继电器的工作原理涉及电磁机构,其内部的电磁力矩会导致机械部件发生位移,因此需要解决电磁场与机械运动的耦合问题。在获取各个节点的电磁力数据后就可以计算总电磁力矩为

width=102,height=34 (6)

式中,Mmag为作用于衔铁上的电磁力矩;Ne为四面体单元的总数目;Nn为每个单元的节点数目,Nn=4;width=15,height=15为节点电磁力大小;width=15,height=15为作用点到转动轴的垂直距离。

航天电磁继电器的衔铁在旋转运动中的动力学方程可以表示为

width=103.95,height=30 (7)

式中,I为转动惯量;width=11,height=10为衔铁的角加速度;width=9,height=12为衔铁的转动角度;Mr为作用于衔铁上的机械阻力转矩。

1.4 电磁场-电路耦合

航天电磁继电器在工作时需要通过外部电源给线圈供电以产生磁场,线圈电路的方程可表示为

width=52,height=28 (8)

式中,u为线圈电压;R为线圈电阻;width=11,height=12为励磁线圈的磁链。

求解三维非线性电磁场的有限元模型获得矢量磁位后,当前时间步的磁链可表示为

width=227,height=35(9)

式中,width=13.95,height=19为第j条全局棱边的矢量磁位;n为沿线圈电流方向的单位矢量;N为棱边的数目;Vcoil为线圈单元的体积;Wi为形函数,仅由四面体单元的四个节点位置坐标决定,Wi在棱边i上的投影为1,而在其余所有棱边上的投影则为0。

联立求解式(8)和式(9)可以获得下一个时刻的电流值it+1,再将该电流值代入下个时刻的电磁场计算,即可实现电磁场和电路的场路耦合。

基于上述理论方法,可求解获得航天电磁继电器的动态特性。下面介绍温振交互作用下航天电磁继电器数字样机模型的建模方法,研究航天电磁继电器在温振多维应力下的动态特性和抗振性能。

2 温振交互作用下航天电磁继电器三维数字样机模型的建立

航天电磁继电器的耐振动性能测试包括正弦振动、随机振动两个方面,但随机振动试验能够更全面地模拟航天环境中的实际工作条件。相比正弦振动,随机振动更能反映出设备在复杂振动环境下的性能,因为它涵盖了广谱范围内的频率,能够捕捉到可能影响继电器可靠性的各种振动模式。此外,随机振动试验更符合航天电磁继电器在运行过程中所面临的实际振动状况,因此本文重点分析温度-随机振动试验,以确保研究结果更具实际应用价值。

2.1 随机振动的数学模型与分析方法

在随机振动的激励下,结构关键位置的响应方均根(Root Mean Square, RMS)用于评估振动的强度和能量分布,而功率谱密度(Power Spectral Density, PSD)则描绘了振动在不同频率上的统计特性。当结构受到随机强迫激励时,其运动方程通常可以表示为随机微分方程的形式[23],有

width=117,height=15 (10)

式中,x(t)为结构的位移或变形;M为结构的质量矩阵;C为结构的阻尼矩阵;K为结构的刚度矩阵;F(t)为随机强迫激励函数,代表外界随机激励的作用。

外界随机激励F(t)可以通过底座传递至航天电磁继电器的内部组件,在共振频率下,外部随机激励会导致航天电磁继电器的内部组件发生更大的位移或形变。共振现象会增加系统的响应幅度,导致内部组件受到更大的力和应力,可能导致电磁继电器的失效或性能下降。因此,必须对共振频率下的影响进行详细的分析,以确保航天电磁继电器在工作过程中能够稳定可靠地运行。

2.2 航天电磁继电器的传热分析

航天电磁继电器一般采用密封结构,且温箱等封闭环境限制了空气流动以及热对流和热辐射对继电器动态特性的影响,可以忽略不计,重点考虑继电器内部的热传导[24]。热传导起着将热量从高温区传导到低温区的作用,其控制方程可描述为

width=143,height=33 (11)

式中,width=11,height=12为材料的密度;c为材料的比热容;T为固体或空气的温度;width=10,height=12为介质的热导率;Q为单位体积发热功率。

在三维温度场分析中边界条件不能忽视,由于温振试验需要将航天电磁继电器放置于温箱中进行,所以环境温度是已知的。因此,本文的有限元模型采用第一类边界条件,即三维结构边界上的温度值是已知的,为温箱设置的温度。

2.3 温振交互作用下航天电磁继电器的多物理场耦合方法

在航天领域中,要求电磁继电器在环境温度-65~+125℃下能可靠工作,且航天电磁继电器在实际应用环境中产生的振动为随机振动。因此,本文重点考虑宽温度范围(-65~+160℃)、高强度随机振动(0.25~0.7 g2/Hz、10~3 000 Hz)条件下航天电磁继电器分合闸过程中的耦合作用机理。

本文借助商用有限元软件Flux和COMSOL Multiphysics®完成航天电磁继电器在温振交互环境下的联合仿真。在计算过程中采用间接耦合的方式通过预应力和温度两个变量耦合时域的动态特性仿真和频域的随机振动仿真。航天电磁继电器的三维数字样机模型在温振多维应力下的多物理场耦合联合仿真如图2所示。

width=383.05,height=177.7

图2 温度-振动交互作用下航天电磁继电器的多物理场耦合联合仿真

Fig.2 The co-simulation scheme of multiphysics coupling for aerospace electromagnetic relays under temperature-vibration interaction

随机振动试验方法按GJB 360B-2009《电子及电气元件试验方法》的方法214规定进行高频振动试验。考虑高温和低温环境对继电器内部磁性材料、簧片材料、导电材料的影响。平衡力式继电器的失效模式主要包括触头抖断和触头抖闭两种形式。在振动环境下,抖断故障可能更容易发生,因为振动可能导致接触不良或接触点弹簧失效,从而阻止继电器的正常闭合动作。

耐力学性能测试中,继电器触头运动方向往往是振动易失效的方向,被认为是敏感方向。如果外部振动的方向与敏感方向一致,则最有可能造成继电器失效。通过对预实验的结果进行观察,除了在敏感方向(Z轴方向)上继电器出现失效外,其他两个非敏感方向在实验全程并未出现失效。因此,本文以衔铁和触点的运动方向即Z轴方向为主要研究方向,沿Z轴方向加载随机振动激励。

3 计算案例与试验分析

3.1 三维数字样机模型的参数设置

本文选取的某型号航天电磁继电器的额定电压为28 V,线圈匝数为3 500,线圈电阻为360 W。动态特性的总仿真时间设置为9 ms,时间步长设置为0.1 ms,衔铁允许转动的最大角度为2.9°。根据图1所示的结构示意图,建立了航天电磁继电器整机的三维数字样机仿真模型,如图3所示。

width=183,height=71.65

图3 三维数字样机仿真模型

Fig.3 Three-dimensional digital prototype model

3.2 宽温度范围对动态特性的影响

为了评估宽温度范围对动态特性的影响,在有限元软件Flux上建立航天电磁继电器的三维电-磁-力数字样机模型,通过修改不同温度下的线圈电阻来模拟温度变化,并进行动态特性求解。同时,在温箱中设置了不同的环境温度以测量继电器的动态特性变化,温度试验平台如图4所示。该温箱的温度控制范围为-45~180℃,因此本文选取了-45℃、-20℃、25℃、65℃、125℃和180℃ 6个温度值对航天电磁继电器的动态特性进行评估。

width=127.7,height=97.55

图4 温度试验平台

Fig.4 Temperature test platform

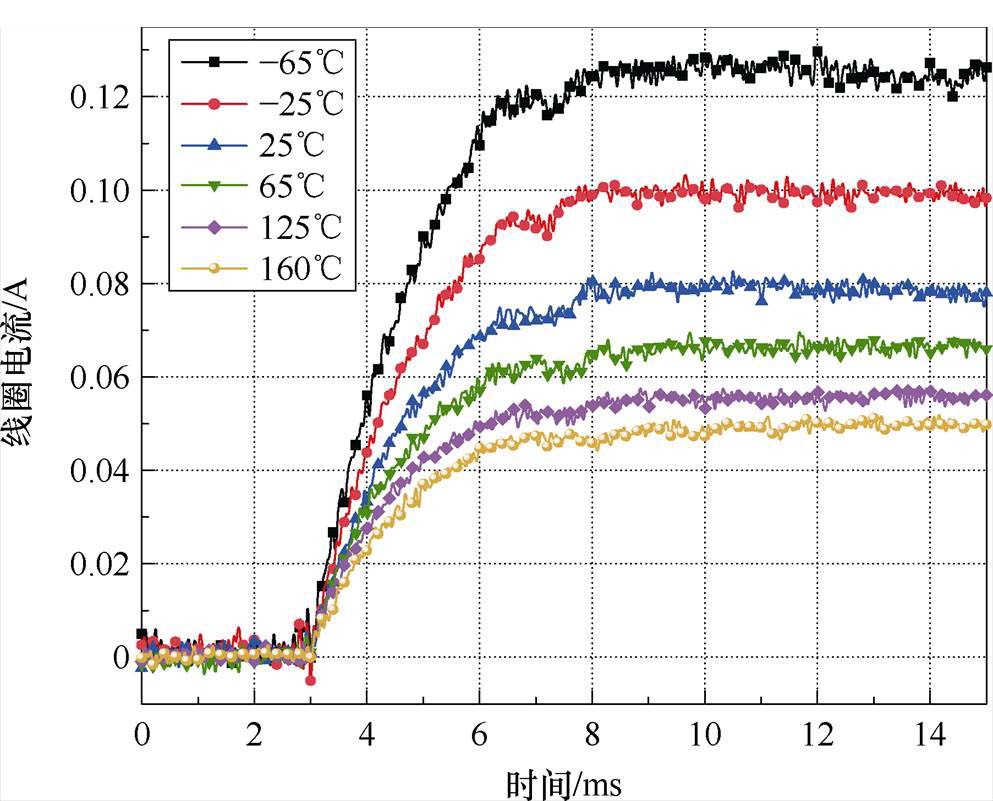
将航天电磁继电器放置于温箱中,并设置温箱内的温度,用示波器记录在不同温度下的线圈电流变化。航天电磁继电器在不同环境温度下的动态特性仿真结果和线圈电流测量结果如图5所示,继电器在不同温度下的吸合时间见表1。

从图5所示的动态特性可以看出,温度对航天电磁继电器的动态特性有较大影响。与常温的动态特性相比,温度主要影响了继电器的线圈电阻和材料属性,使动态特性在低温环境下展现出“超前”现象,而在高温环境下展现出“滞后”现象。表1中,随着温度升高,航天电磁继电器的线圈电流和电磁力矩逐渐减小,吸合时间逐渐变长。另外,本文建立的三维数字样机模型的线圈电流和吸合时间仿真结果与实测结果的误差均在6%以内,证明了本文数字样机模型的准确性和有效性。

width=400.1,height=276.1

图5 不同温度环境下航天电磁继电器的动态特性

Fig.5 The dynamic characteristics of aerospace electromagnetic relays under different temperature environments

表1 航天电磁继电器在不同温度下的吸合时间

Tab.1 Closure time of the aerospace electromagnetic relay at different temperatures

吸合时间/ms 温度/℃-45-202565125180 仿真值3.73.83.94.04.14.2 实测值3.723.834.054.124.204.46 相对误差(%)0.540.783.702.912.385.83

3.3 抗振性能仿真分析

在有限元软件COMSOL Multiphysics®建立航天电磁继电器的整机有限元模型后,在底座施加基座激励来模拟随机振动。加速度的功率谱密度如图6所示,激励功率谱密度涵盖了10~3 000 Hz的频率范围。

以室温环境为例,在有限元软件COMSOL Multiphysics®上设置了25℃的参考温度并进行模态分析,得到了航天电磁继电器整机模型的固有频率和振型云图,如图7所示。

在10~3 000 Hz的频率范围内有两个模态,分别是1 772.4 Hz和2 717.3 Hz两个固有频率。从图7所示的振型可以看出,在1 772.4 Hz时主要是支架和轴支撑片带动继电器整体在水平方向发生位移;在2 717.3 Hz时衔铁和动接触片在垂直方向发生了转动,而垂直方向正是继电器的敏感方向,因此继电器在此频率附近更容易发生失效。航天电磁继电器在随机振动仿真中的位移响应如图8所示。

width=210.7,height=175.75

图6 随机振动所施加的加速度的功率谱密度

Fig.6 The power spectral density of the acceleration applied by random vibration

width=206.9,height=347.95

图7 航天电磁继电器的模态振型

Fig.7 The modal vibration diagram of aerospace electromagnetic relays

width=182.2,height=141.55

图8 随机振动的位移响应

Fig.8 Displacement response of random vibration

观察图8的位移响应结果可以发现,航天电磁继电器在随机振动仿真中产生的位移响应主要集中在电磁机构部分。产生的位移响应容易导致继电器的动接触片与触点发生分断,从而出现触点抖断现象,造成继电器失效。下面开展温振试验,进一步分析航天电磁继电器的失效机理和失效模式。

3.4 温振试验分析

采用“三综合”试验台进行温度、振动两个应力的试验,从而考核继电器产品在温振应力共同作用下的适应性,其试验平台如图9所示。在振动台上安装航天电磁继电器的测试样品时,选用具有良好对称性和较小谐振的振动夹具进行连接。试验产品通过螺钉固定在振动夹具上,然后将振动夹具与振动台台面进行连接。同时,在三综合试验箱内施加能使航天电磁继电器正常工作所需的湿度,使其环境模拟更贴近继电器的实际工作环境。与单一因素作用相比,三综合(温度、湿度与振动)测试更能反映机电设备在实际复杂工况下的可靠工作能力,能够暴露产品的缺陷,具有十分积极的实用价值。

width=127.55,height=98.05

图9 三综合试验台

Fig.9 Three-comprehensive test bench

振动台一次固定3只继电器,共计12组触点同时进行振动试验,这3只继电器均属于同一批次生产的产品。为了观察航天电磁继电器在不同温度下的失效频率,在不同温度下开展了加速度为40 g的正弦振动试验。每一轮10~3 000 Hz的扫频持续10 min,时间达到后振动台自动停止,并根据抖断仪的故障灯记录航天电磁继电器的失效频率。另外,试验期间继电器持续处于闭合(激励)状态,由于触点失效时间极短,为了便于观察,抖断仪故障灯的熄灭时间与实际触点的失效消除时间并不同步,通常故障灯的持续时间要远长于触点失效时间,因此本文没有设计从高到低的扫频试验。在宽温度范围条件下3只继电器发生失效的频率见表2。同时,将继电器在不同温度下固有频率的仿真结果一并绘制于表2中,以便与试验结果进行对比。

表2 宽温度范围条件下正弦振动的失效频率

Tab.2 Failure frequency of sinusoidal vibration under wide temperature range conditions

温度/℃失效频率/Hz固有频率/Hz 1号2号3号仿真值 -652 850未失效未失效2 836.7 -252 850未失效未失效2 778.1 252 7002 7002 8002 717.3 652 7352 8002 8002 679.8 1252 7702 9502 8502 654.8 1602 760未失效未失效2 615.8

从表2可以看出,3只产品的失效频率主要集中在2 700~2 900 Hz,这印证了前述分析的在固有频率2 717.3 Hz附近继电器更容易发生失效的结论。这是因为当外加振动频率达到结构固有频率的整数倍时,结构就会发生共振。此时振幅会大幅增加,继电器发生故障的概率大幅提高。而一旦过了固有频率的整数倍时,结构就会脱离共振状态,故障概率也就大幅下降。观察表2可以发现,继电器发生失效的频率在其固有频率附近,因此,共振是导致继电器发生失效的主要原因。同时,温度变化对继电器的抗振性能和失效频率有一定影响,3只产品整体而言均表现出低温环境的抗振性能优于高温环境。究其原因,主要是因为在低温环境下的材料和结构特性更有利于抵抗振动。首先,低温环境中金属材料(如电磁纯铁、铍青铜、锌白铜、银镁镍合金等)的弹性模量增加,使得继电器整体刚度提高,能够更有效地减少振动引起的形变。其次,弹簧或簧片等内部元件在低温下的力学性能更加稳定,能够保持更强的弹性系数,避免高温下因软化而降低抗振效果。此外,低温环境有助于维持继电器的电磁性能,确保其在振动中能正常工作,而高温下电磁效应减弱,降低了继电器的抗振能力。这些因素相互作用,使得航天电磁继电器在低温环境下表现出更优异的抗振性能。

对于-65~160℃的温度范围,由于金属的杨氏模量变化通常在5%~10%左右,因此固有频率仿真值的变化幅度不会特别大,大约在3%~5%。但在高温环境下的仿真结果与实测值之间的误差偏大。究其原因,在高温和低温环境的材料属性很难准确获取,仿真设置的杨氏模量、泊松比等参数都是材料属性随温度变化的典型值,与实际产品的材料属性变化有一定差异,也没有考虑材料退化的影响。同时,继电器产品在生产加工过程中零件的尺寸和配合及焊接技术存在个体差异,使得实际产品的固有频率也是一个范围值,实验测得的不同产品的失效频率有一定浮动。因此,随着温度的变化,固有频率仿真结果与实测结果之间难免存在一定误差,但误差在允许的浮动范围内。另外,由于杨氏模量和泊松比等材料属性随温度发生变化,在低温时固有频率仿真值略有上升,高温时固有频率仿真值有所下降。因此,结合仿真和试验数据发现,材料特性随温度发生变化是导致继电器固有频率发生变化的主要原因。但在高温环境下的正弦振动扫频试验中出现了温度越高失效频率反而越高的现象,这可能与材料特性和设计的特殊情况有关。金属材料在高温环境下容易发生热膨胀,某些材料可能表现出更好的机械性能或发生结构变化,使得其在振动环境中更加稳定。此外,温度升高可能增强材料的阻尼效应,减少振动应力,并改善组件之间的配合或接触情况,减少应力集中。在温度较高的情况下,材料中的残余应力可能被释放或重新分布,导致结构变得更加稳定,从而致使失效频率升高。

按照图6所示的功率谱密度进行宽温度范围条件下的随机振动试验,振动台会在设定的试验时间内在振动谱上随机地选取振动强度和频率,每一轮随机振动持续15 min。将航天电磁继电器上电使其处于激励状态后,在不同温度下进行随机振动试验,并用抖断仪记录3只产品的失效模式,见表3。值得注意的是,随机振动过程中当继电器发生失效即抖断仪故障灯亮起时,记录完毕后将故障灯复位,再观察继电器在别的时间段内是否还会继续发生失效。根据故障灯亮起的时间段长短不同,可以判断继电器发生的是长期失效还是短暂失效。

表3 宽温度范围条件下随机振动的失效模式

Tab.3 Failure mode under random vibration in a wide temperature range

温箱温度/℃失效模式 1号2号3号 -65长期失效长期失效短暂失效 -25长期失效长期失效未失效 25长期失效长期失效短暂失效 65长期失效长期失效短暂失效 125长期失效长期失效短暂失效 160长期失效长期失效短暂失效

在不同温度环境下的随机振动试验过程中,1号和2号产品所对应的抖断仪故障灯在较多时间段内亮起,发生了长期失效。而3号产品的失效主要发生在第9 min和第11 min,发生的是短暂失效。因此,3只产品出现了不同的失效模式,1号和2号产品的抗振性能相似,而3号产品的抗振性能高于1号和2号产品,这可能是同一批次产品的一致性差异所导致的。生产厂家应提升产品一致性,并实现继电器抗振性能的同步提升。

同时,航天电磁继电器在温度-随机振动叠加条件下试验测量的线圈电流如图10所示,继电器在温度-随机振动条件下的吸合时间见表4。另外,将表1中继电器在不同温度下测得的吸合时间一并列于表4中,以便更直观地比较温振叠加环境相较于单一温度环境对吸合时间的影响。

width=216.6,height=174.85

图10 温度-随机振动交互环境下航天电磁继电器的线圈电流

Fig.10 Coil current of aerospace electromagnetic relay in temperature-random vibration interaction environment

表4 温度-随机振动交互环境下继电器的吸合时间

Tab.4 Closure time of the relay under temperature-random vibration interaction environment

实验环境吸合时间/ms 温振/℃-65-252565125160 实测值3.773.824.164.294.354.51 温度/℃-45-202565125180 实测值3.723.834.054.124.204.46

对比表4中的吸合时间,并结合图5和图10发现,航天电磁继电器在温振叠加环境下仍能可靠动作,但温振叠加环境会对继电器的线圈电流、吸合时间等电气参数产生一定影响,吸合时间相较于无振动环境会略微延长0.1~0.15 ms。另外,环境温度的变化会改变材料属性,从而影响航天电磁继电器的抗振性能。在高温条件下,线圈电阻的增加会导致衔铁受到的电磁力矩减小,再叠加上随机振动产生的加速度,导致继电器在激励状态时的抗振性能下降,失效概率增大。而在低温条件下,继电器内部的空气中由于存在水分,可能会导致结构表面覆冰,影响转轴等活动部件的正常功能,进而影响整机的抗振能力。

另外,为了更直观地观察温振环境对继电器跳弹的影响,将继电器接入6 V/10 mA的负载,用波形记录仪分别记录继电器在温振叠加环境和无振动环境下释放过程的触点压降,如图11所示。观察图11可以发现,相较于单一温度环境,继电器在温振叠加环境下的触点压降会有更大波动,即弹跳次数和弹跳总时间有不同幅度的增大。例如,在-65℃温振的弹跳时间比没有振动时延长了约0.12 ms,弹跳次数增多了4倍。这意味着振动会加剧触头弹跳,导致触头抖闭次数和抖闭时间增加,产生了非常不利的影响,继而影响了航天电磁继电器分合闸过程的可靠性。但发现温振环境下进行合闸操作的弹跳现象并不明显,这是因为合闸过程通常由较为稳定的电磁力推动,受外界干扰相对较小,因而触点压降和弹跳在该阶段不太容易出现显著问题。但在释放过程中,电磁继电器依靠簧片或机械元件复位,而这些元件在温度和振动叠加环境下的表现更不稳定,更容易导致触点弹跳和压降异常。因此,继电器在释放阶段比合闸过程更敏感,更容易受到外部环境因素的干扰。

综上所述,继电器分闸过程受温振环境干扰的影响更大,对继电器的整体可靠性提出了更高的要求,而合闸过程则较为稳定。结合本文的试验数据,可以初步判断造成航天电磁继电器抖断失效的主要原因为温度引起材料属性发生变化,导致继电器的衔铁电磁力和簧片保持力不足,共振使其振幅大幅增加,继而引发失效。相比传统的单一应力环境试验方法,综合考虑温振多维应力作用下的动态特性评价方法更贴近继电器的实际工况,且更能反映航天电磁继电器的失效机理和失效模式。

width=452.15,height=410.4

图11 温度-随机振动交互环境下航天电磁继电器在释放过程的触点压降

Fig.11 The contact voltage drop during the release process of the aerospace electromagnetic relay in a temperature-random vibration interaction environment

4 结论

本文对航天电磁继电器在不同温度和振动因素下的动态特性和抗振性能进行了研究,建立多物理场耦合的三维数字样机模型,可以仿真不同温度条件下继电器的吸合过程,分析继电器的失效频率和失效机理。通过将数字样机模型与试验测量相结合的方法,详细分析和评估了航天电磁继电器在温振多维应力下的动态特性和振动性能。得出以下结论:

1)建立的三维数字样机模型可以模拟航天电磁继电器在温度-振动多物理环境下的动态特性和随机振动,与实测结果的误差均在6%以内,具有较高的仿真精度,可用于评估航天电磁继电器的动态特性和失效机理。

2)由于温度和振动会对材料属性变化产生影响,航天电磁继电器在不同温振条件下会呈现出不同的动态特性。在温度-随机振动叠加环境下,航天电磁继电器的吸合时间延长、触头弹跳次数增多,严重影响了分合闸过程的可靠性。

3)航天电磁继电器在固有频率附近易于发生共振,受随机振动的影响更显著,失效概率更高。在正弦振动的扫频试验中出现了温度越高失效频率反而越高的现象,这可能与材料特性和设计的特殊情况有关。

4)相较于单一应力环境试验方法,综合考虑温振多维应力作用下的动态特性和抗振性能评估方法更贴近继电器的实际工况,更能反映航天电磁继电器失效机理和失效模式。

参考文献

[1] Wang Jie, Zhou Zhijie, Hu Changhua, et al. Per-formance evaluation of aerospace relay based on evidential reasoning rule with distributed referential points[J]. Measurement, 2021, 182: 109667.

[2] Ye Xuerong, Deng Jie, Ma Yue, et al. A robust solution for hesitate phenomenon in pick up process of aerospace electromagnetic relay[J]. Chinese Journal of Aeronautics, 2013, 26(3): 697-704.

[3] Yang Wenying, Pan Yuhang, Bao Jiaxuan, et al. Measurement and evaluation of dynamic characteri-stics and multiphysics coupling in electromechanical components: utilizing 3D edge elements with transmission line method[J]. Measurement, 2025, 242: 116078.

[4] 陈昊, 叶雪荣, 梁慧敏, 等. 磁保持型航天电磁继电器性能提升与质量一致性设计[J]. 电工技术学报, 2023, 38(4): 1076-1087.

Chen Hao, Ye Xuerong, Liang Huimin, et al. Per-formance enhanced and quality consistency design optimization of magnetically latching aerospace electromagnetic relay[J]. Transactions of China Electrotechnical Society, 2023, 38(4): 1076-1087.

[5] Liang Huimin, Li Bo, You Jiaxin, et al. A novel matrix topology-based analysis method of thermal circuits for reliability optimization of HSER[J]. Chinese Journal of Aeronautics, 2024, 37(4): 479-492.

[6] Lin Yigang, He Tao, Zhu Haotong, et al. Storage reliability prediction of electromechanical com-ponents based on virtual manufacturing and testing[J]. Heliyon, 2023, 9(10): e20549.

[7] 林抒毅, 许志红. 交流接触器三维动态过程数值计算与分析[J]. 中国电机工程学报, 2014, 34(18): 2967-2975.

Lin Shuyi, Xu Zhihong. Simulations and numerical analysis on 3D dynamic process of alternating current contactors[J]. Proceedings of the CSEE, 2014, 34(18): 2967-2975.

[8] 鲍光海, 王金鹏, 王毅龙. 磁保持继电器多物理场耦合模型设计与触头弹跳影响因素分析[J]. 电工技术学报, 2023, 38(3): 828-840.

Bao Guanghai, Wang Jinpeng, Wang Yilong. Design of multi-physical field coupling model of magnetic latching relay and analysis of influencing factors of contact bounce[J]. Transactions of China Electro-technical Society, 2023, 38(3): 828-840.

[9] 孙雷强, 庄劲武, 王冲, 等. 基于联合仿真的断路器合闸电磁铁的动态特性研究[J]. 电气工程学报, 2023, 18(1): 104-110.

Sun Leiqiang, Zhuang Jinwu, Wang Chong, et al. Research on dynamic characteristics of circuit breaker’s closing electromagnet based on co-simulation[J]. Journal of Electrical Engineering, 2023, 18(1): 104-110.

[10] 汤龙飞, 柯昌辉, 许志红. 智能单稳态永磁接触器动作特性的联合仿真[J]. 中国电机工程学报, 2023, 43(4): 1641-1651.

Tang Longfei, Ke Changhui, Xu Zhihong. Co-simulation of action characteristics of intelligent monostable permanent magnet contactor[J]. Pro-ceedings of the CSEE, 2023, 43(4): 1641-1651.

[11] 袁发庭, 吕凯, 刘健犇, 等. 基于电磁-热-结构多物理场耦合的铁心电抗器线圈结构优化方法[J]. 电工技术学报, 2022, 37(24): 6431-6441.

Yuan Fating, Lü Kai, Liu Jianben, et al. Coil structures optimization method of iron core reactor based on electromagnetic-thermal-structure multi-physical field coupling[J]. Transactions of China Electrotechnical Society, 2022, 37(24): 6431-6441.

[12] 梁慧敏, 于海丹, 唐钰杰, 等. 双磁钢差动式电磁继电器虚拟样机与参数优化研究[J]. 中国电机工程学报, 2016, 36(1): 258-267.

Liang Huimin, Yu Haidan, Tang Yujie, et al. Virtual prototyping and parameter optimization of differential electromagnetic relays with double permanent magnets[J]. Proceedings of the CSEE, 2016, 36(1): 258-267.

[13] 李东晖, 周学, 王傲, 等. 考虑制造参数的批量化真空交流接触器机械寿命预测[J]. 电工技术学报, 2023, 38(7): 1982-1990.

Li Donghui, Zhou Xue, Wang Ao, et al. Mechanical life prediction of batch electromagnetic switches considering manufacturing parameters[J]. Transa-ctions of China Electrotechnical Society, 2023, 38(7): 1982-1990.

[14] 李静, 袁志曹, 曹云东, 等. 触头运动特性对直流接触器开断性能影响[J]. 电机与控制学报, 2023, 27(11): 79-89.

Li Jing, Yuan Zhicao, Cao Yundong, et al. Influence of contact motion characteristics on breaking performance of DC contactor[J]. Electric Machines and Control, 2023, 27(11): 79-89.

[15] Wattiaux D, Verlinden O. Modelling of the dynamic behaviour of electromechanical relays for the analysis of sensitivity to shocks and vibrations[J]. Experi-mental Mechanics, 2011, 51(9): 1459-1472.

[16] Shu Liang, Wu Lang, Wu Guichu, et al. A fully coupled framework of predicting the dynamic characteristics of permanent magnet contactor[J]. IEEE Transactions on Magnetics, 2016, 52(8): 8001607.

[17] 唐昭晖, 许志红. 基于响应面法的交流接触器弹簧系统优化设计方法[J]. 电工技术学报, 2022, 37(2): 515-527.

Tang Zhaohui, Xu Zhihong. Optimal design method for AC contactor spring system based on response surface method[J]. Transactions of China Electro-technical Society, 2022, 37(2): 515-527.

[18] Yang Wenying, Pan Yuhang, Bao Jiaxuan, et al. Dynamic characteristics testing and modeling in electromagnetic-thermal-force coupling of electro-magnetic devices using parallel finite element simulation[J]. Measurement, 2024, 232: 114644.

[19] 孙曙光, 宗俊吉, 王景芹, 等. 振动因素对交流接触器动态特性影响的测试分析[J]. 仪器仪表学报, 2020, 41(11): 155-167.

Sun Shuguang, Zong Junji, Wang Jingqin, et al. Test and analysis of influence of vibration factors on the dynamic characteristics for AC contactor[J]. Chinese Journal of Scientific Instrument, 2020, 41(11): 155-167.

[20] 张高廷, 曹云东, 刘炜. 簧片式继电器固有振动特性研究[J]. 电工技术学报, 2020, 35(2): 292-299.

Zhang Gaoting, Cao Yundong, Liu Wei. The natural vibration characteristics of reed relay[J]. Transactions of China Electrotechnical Society, 2020, 35(2): 292-299.

[21] 赵靖英, 李宁, 张雪辉, 等. 多簧片结构的磁保持继电器多物理场刚柔耦合仿真模型建立和实验分析[J]. 电工技术学报, 2024, 39(10): 3192-3205.

Zhao Jingying, Li Ning, Zhang Xuehui, et al. Establishment and experimental analysis of rigid flexible coupling simulation model for multiphysics of magnetic latching relay with multi-reed structure[J]. Transactions of China Electrotechnical Society, 2024, 39(10): 3192-3205.

[22] 戴魏, 余海涛, 胡敏强. 基于虚功法的直线同步电机电磁力计算[J]. 中国电机工程学报, 2006, 26(22): 110-114.

Dai Wei, Yu Haitao, Hu Minqiang. Electromagnetic force computation of linear synchronous motor with virtual work method[J]. Proceedings of the CSEE, 2006, 26(22): 110-114.

[23] Sun Ruqi, Wong W, Cheng Li. Bi-objective optimal design of an electromagnetic shunt damper for energy harvesting and vibration control[J]. Mechanical Systems and Signal Processing, 2023, 182: 109571.

[24] 王其亚. 基于流-固耦合的车载继电器温度场仿真研究[J]. 电器与能效管理技术, 2023(11): 17-22.

Wang Qiya. Temperature field simulation of automobile relay based on fluid-solid coupling method[J]. Electrical & Energy Management Tech-nology, 2023(11): 17-22.

Study on the Dynamic Characteristics and Failure Mechanism of Aerospace Electromagnetic Relays under Multidimensional Stress of Temperature-Vibration Interaction

Yang Wenying Pan Yuhang Bao Jiaxuan Liu Lanxiang

(Institute of Reliability in Electrical Apparatus and Electronics Harbin Institute of Technology Harbin 150001 China)

Abstract Aerospace electromagnetic relays must possess excellent vibration resistance to ensure reliable operation under temperature-vibration combined stress conditions. However, existing analyses of the vibration resistance of relays primarily focus on the contact system or the entire device under normal temperature and open-circuit conditions. There is a lack of studies on relays' dynamic characteristics and vibration resistance during closing operations under multi-dimensional thermal and vibrational stress. This paper establishes a digital prototype model with multiphysics coupling of an aerospace electromagnetic relay to analyze the relay's dynamic characteristics and vibration resistance. Compared to traditional single-stress environmental testing methods, this evaluation approach considers multi-dimensional thermal and vibrational stress, which reflects the actual operating conditions and better captures the failure mechanisms and modes of aerospace electromagnetic relays.

Firstly, a 3D electromagnetic-thermal-mechanical model of the aerospace electromagnetic relay is established using the commercial finite element software Flux to calculate and analyze its dynamic characteristics. Secondly, the finite element software COMSOL Multiphysics® is employed to develop a temperature-vibration model of the relay, obtaining the relay's natural frequencies and acceleration responses through modal analysis and random vibration simulation. During the calculations, indirect coupling simulates the dynamic characteristics in the time domain and random vibrations in the frequency domain by coupling pre-stress and temperature as two variables, thereby achieving multiphysics coupling in the 3D digital prototype model. The effectiveness of the digital prototype model is validated by experimental measurements of dynamic characteristics and failure frequency with the simulation data. Finally, sine vibration and random vibration tests are conducted under different temperature conditions, and the failure mechanism and modes of the aerospace electromagnetic relay are further analyzed.

The following conclusions can be drawn. (1) The established 3D digital prototype model can dynamically simulate the dynamic characteristics and vibration resistance of aerospace electromagnetic relays under combined temperature-vibration conditions, with an error margin within 5% compared to experimental results. (2) Due to the influence of temperature and vibration on changes in material properties, aerospace electromagnetic relays exhibit different dynamic characteristics under varying temperature and vibration conditions. In a combined temperature-random vibration environment, the pull-in time of the aerospace electromagnetic relay is extended, and the number of contact bounces increases, severely affecting the reliability of the opening and closing process. (3) Aerospace electromagnetic relays are prone to resonance near their natural frequencies, with a more pronounced effect under random vibrations. In sinusoidal vibration frequency sweep tests, a counterintuitive phenomenon is observed where the failure frequency increases with high temperatures, possibly due to specific material properties or design factors. (4) Compared to single-stress testing methods, the evaluation approach that considers multi-dimensional thermal and vibrational stress closely reflects the relay's actual operating conditions, failure mechanisms, and modes.

keywords:Aerospace electromagnetic relay, dynamic characteristics, temperature-vibration interaction, random vibration, multiphysics coupling

中图分类号:TM581.3

DOI: 10.19595/j.cnki.1000-6753.tces.241517

国家自然科学基金资助项目(52277141)。

收稿日期 2024-08-29

改稿日期 2024-09-18

作者简介

杨文英 男,1982年生,教授,博士生导师,研究方向为电器多物理场耦合建模与虚拟样机设计技术、电器耐环境可靠性设计理论与技术。E-mail: yangwy@hit.edu.cn

潘宇航 男,1994年生,博士研究生,研究方向为电器多物理场耦合数值计算、有限元并行算法。E-mail: yhpan424@163.com(通信作者)

(编辑 崔文静)