消除EMI噪声影响的电机驱动系统噪声源阻抗提取方法

姬军鹏1 王瑞娜1 杨 惠1 路景杰1 骆 鹏2

(1. 西安理工大学电气工程学院 西安 710048 2. 苏州伟创电气科技股份有限公司 苏州 215124)

摘要 提取电机驱动系统的噪声源阻抗对设计其电磁干扰(EMI)滤波器及评估其工作状态至关重要。针对电机驱动系统EMI噪声对源阻抗提取存在影响的问题,该文提出一种可消除EMI噪声影响的源阻抗提取方法。基于对电机驱动系统EMI噪声源特性的分析,建立考虑EMI噪声源影响的源阻抗提取模型。基于所建立的模型,提出一种可以消除EMI噪声源影响的源阻抗提取方法,该方法在不需要获取电机驱动系统EMI噪声的情况下,通过两次测量即可提取电机驱动系统的噪声源阻抗。最后,以一台变频器驱动电机系统为测试对象,对该方法的有效性和适用性进行了验证。实验结果表明,所提出的电机驱动系统噪声源阻抗提取方法可以消除电机驱动系统EMI噪声对源阻抗提取的影响。

关键词:阻抗提取 噪声源阻抗 电感耦合法 电机驱动系统 电磁干扰

0 引言

电机驱动系统在轨道交通、电动汽车、航空航天、制冷与空调等多个领域广泛使用[1-2],其PWM逆变开关控制过程中产生的dv/dtdi/dt会形成电磁干扰(Electromagnetic Interference, EMI)[2-3]。随着半导体开关器件的进步,开关频率的提高使得EMI发射频谱的范围进一步拓宽,从而加剧了其对周围环境的影响。电机驱动器输出的EMI通过电机负载与驱动器之间的电气连接形成EMI电流的干扰回路。干扰不仅会引发电机驱动系统的共振,还会增加变频调速过程中的系统噪声,长时间运行会导致电机绝缘失效,加速电机故障的发生[4-6]。此外,电机驱动系统产生的共模(Common Mode, CM)电流流经线缆时,会形成辐射EMI,污染系统的电磁环境,影响电机驱动系统周围电子设备的正常运行[7]。为了抑制电机驱动系统的EMI,设计EMI滤波器是一项常用的技术,而提取电机驱动系统的噪声源阻抗是设计高插入损耗EMI滤波器的必要条件[8-10]。此外,由于噪声源阻抗可以反映电机驱动系统的运行状况,通过实时监测噪声源特性,可对电机驱动系统的故障进行诊断[11],并对运行状态进行实时监测[12]

电机驱动系统噪声源阻抗不仅受到元器件寄生参数、印制电路板(Printed Circuit Board, PCB)布线、电磁环境等诸多因素的影响,还受开关工作状态的影响,需要在系统带电运行状态下进行噪声源阻抗提取。目前,噪声源阻抗的提取方法主要有电压电流法[13]、电容耦合法[14]、插入损耗法[15-17]和电感耦合法[18-25]

电压电流法通过测量噪声源侧端口电压和端口电流获得系统运行状态下的噪声源阻抗[13]。电容耦合法利用电容器将注入的测试信号耦合至被提取的噪声源系统,并借助阻抗分析仪或矢量网络分析仪(Vector Network Analyzer, VNA)提取噪声源阻 抗[14]。插入损耗法通过测量在噪声源侧与线性阻抗

稳定网络之间插入的无源二端口网络上的信号衰减,推算噪声源阻抗[8, 15-17]。但是,电压电流法、电容耦合法和插入损耗法均属于与被提取噪声源系统有直接电气连接的提取方法,安全性和便捷性有待提高。

电感耦合法通过电感耦合实现非接触式测量,避免了与被提取系统直接电气接触,从而有效减少了因接触引起的潜在安全风险。电感耦合法通过注入电流探头将VNA提供的测试信号注入被测系统中,同时通过接收电流探头接收系统响应信号。VNA对接收到的信号进行处理和计算,得到散射参数,从而提取噪声源阻抗[18]。利用离散傅里叶变换方法分析电感耦合法提取的实时噪声源的阻抗,可监测电力电子系统的运行状况[19-20]

电感耦合法自身由于受到探头间高频耦合、探头与测量环境耦合等非理想因素的影响,导致噪声源阻抗提取精度有待提高。文献[21]考虑到两个电流探头之间的耦合效应,使用三端口阻抗网络描述两个电流探头与被测系统间的耦合关系,降低了测量误差。文献[22]提出了单探头电感耦合法,仅使用一个电流探头配合VNA或阻抗分析仪提取电路阻抗,避免了两个探头之间的耦合效应,且有效地降低了测量成本。文献[23-24]指出由于电感耦合强度随频率降低减弱,导致低频段提取精度不高,提出了一种增强低频耦合强度的方法,该方法提高了低频提取精度。由于VNA输出功率有限,在大功率电机驱动系统中,VNA接收到的信号容易受到系统噪声的影响,导致噪声源阻抗提取受到影响,文献[9, 20]通过外加放大器设备,提高注入至被测系统的信号水平,降低了噪声源对其源阻抗提取的影响。然而,在不增加外部设备前提下,消除噪声源对源阻抗提取影响的方法还需要进一步研究。此外,一般电机驱动系统的EMI较大,对电机驱动系统噪声源阻抗提取的影响较大。

基于以上问题,本文提出了一种可消除EMI噪声影响的电机驱动系统源阻抗的提取方法。首先,基于对电机驱动系统噪声源特性的分析,建立了考虑EMI噪声影响的源阻抗提取模型。然后,基于所建立的模型,提出了一种可以消除EMI噪声影响的源阻抗的提取方法,该方法在不需要获取电机驱动系统EMI噪声的情况下,可以提取电机驱动系统的噪声源阻抗。最后,在一台变频器(Variable Frequency Drive, VFD)驱动电机的系统中,对该方法的有效性和适用性进行了验证。

1 电机驱动系统噪声源阻抗提取方法

1.1 电机驱动系统噪声源特性分析

典型的电机驱动系统以驱动器通过连接线缆为电机供电形成整个系统,如图1所示。驱动逆变器与电机之间存在EMI干扰回路,EMI噪声由驱动器内部如IGBT、SiC功率开关器件在高频开关过程中产生。电驱系统的CM EMI干扰源和干扰电流路径如图1中红色曲线所示,CM干扰源内部有干扰源阻抗,EMI干扰路径由开关功率器件与散热器寄生电容、电机内部杂散电容及地线或者地平面形成。

width=225.35,height=65.9

图1 电机驱动系统及其CM EMI电流路径

Fig.1 Motor drive system and its CM EMI current path

1.2 电机驱动系统噪声源阻抗提取机理

基于电感耦合法实现电机驱动系统CM噪声源阻抗ZS提取的方法如图2a所示,由电流探头和VNA配合提取,电流探头钳在驱动器与电机之间的三相连接线缆上,注入测量信号并获取响应信号。在噪声源阻抗提取方法等效电路中,驱动器可以由戴维南等效为噪声电压源US串联噪声源阻抗ZS,连接线缆与电机阻抗由Zcable+Zmotor表示,如图2b所示。ZS为驱动器EMI干扰的内部阻抗,不仅受到元器件寄生参数、PCB布线、电磁环境等诸多因素的影响,还受开关工作状态的影响。

width=184.7,height=225.35

图2 电机驱动系统CM噪声源阻抗提取方法

Fig.2 Extraction method of CM noise source impedance in motor drive system

电感耦合法提取噪声源阻抗的原理如图3所示。图中,VNA通过端口1的注入探头将扫频信号电压Uinj注入电机驱动系统回路中。注入的信号在回路中传输,在VNA的端口1和端口2产生响应电压信号。VNA利用端口1接收的信号与Uinj计算可获得反射系数S11,利用端口2接收的信号与Uinj计算可获得传输系数S21,通过获取的散射参数可以得到电机驱动系统中的总阻抗ZS+Zcable+Zmotor

width=122.05,height=115.5

图3 电机驱动系统噪声源阻抗提取原理

Fig.3 Extraction of noise source impedance in motor drive system

通过图2a获取电机驱动系统总阻抗ZS+Zcable+ Zmotor后,提取电机驱动系统噪声源阻抗ZS,还需要获得电机与线缆阻抗Zcable+Zmotor,由于电机转速对电机的CM阻抗无显著影响,线缆和电机的阻抗Zcable+Zmotor可以采用电感耦合法离线提取[26],提取方法如图4所示,在驱动器侧将三条线缆短路设置。

width=132.3,height=69.2

图4 电机驱动系统CM噪声负载阻抗提取方法

Fig.4 Extraction method of CM noise load impedance in motor drive system

2 电机驱动系统噪声源阻抗提取建模及分析

2.1 电机驱动系统噪声源阻抗提取方法建模

采用双电流探头电感耦合法提取电机驱动系统噪声源阻抗的等效电路如图5所示,图中,ZP1ZP2分别为VNA端口1和端口2的端口阻抗,一般VNA的标准端口阻抗为50 WU1为端口1的响应电压与VNA注入信号Uinj的电压叠加,I1为端口1响应的电流与注入电流之和。U2I2分别为VNA端口2响应信号的电压和电流。U3I3分别为待提取阻抗回路端口3处感应的测试信号的电压和电流,VNA的端口1和端口2及被提取系统的端口形成三端口阻抗矩阵Z3_port

width=154.75,height=130.9

图5 噪声源阻抗提取方法等效电路

Fig.5 Equivalent circuit of extracting noise source impedance

双电流探头感应耦合法提取源阻抗过程中,两个高频电流探头之间存在耦合,线缆与注入探头间、线缆与接收探头间均存在耦合作用,这些耦合关系可通过三端口阻抗矩阵Z3_port模型描述为

width=165.95,height=50.95 (1)

式中,width=11.2,height=9.8为角频率;N为探头上导线的绕线匝数;L1L2L3分别为注入探头、接收探头和线缆的自感;M1M2M3分别为线缆绕探头匝数为1时,注入探头与线缆、接收探头与线缆、两个探头之间的互感系数。

在不考虑驱动器噪声US影响的情况下,图5所示的各端口间的电压与电流仅由VNA注入信号作用,其端口之间的电压和电流关系可以通过三端口阻抗矩阵描述为

width=156.15,height=77.15 (2)

其中,电压U1可以通过VNA提供的反射参数S11表示为

width=74.8,height=28.05 (3)

电压U2可以通过VNA提供的传输系数S21表示为

width=56.1,height=28.05 (4)

通过将式(3)和式(4)代入式(2)后求解式(2),可得在不考虑EMI噪声源电压影响时的噪声源阻抗ZS

width=153.8,height=57.05 (5)

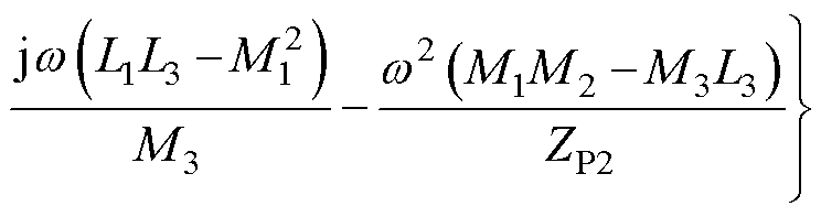
式中,a1a2a3为阻抗提取装置的环境参数,该参数可以通过校准技术获得[25],其数学模型可以由注入探头、接收探头和线缆的自感,注入探头与线缆、接收探头与线缆、两个探头之间的耦合电感表示,即

width=120.15,height=33.2 (6)
width=237.5,height=35.05
width=162.25,height=43 (7)
width=106.15,height=33.2 (8)

如式(6)所示,环境参数a1是表示电流探头自感和互感的环境参数,但是不表示探头绕线缆匝数。如式(8)所示,环境参数a3是表示耦合互感、线缆自感及线缆绕线匝数的环境参数,这些环境参数中的互感、自感与使用的测试设备特性和测试环境布局相关。

2.2 虑及噪声影响的噪声源阻抗提取方法建模

如式(5)所示,该噪声源阻抗模型未考虑到EMI噪声。然而,在实际的噪声源提取系统中,被提取的电机驱动系统的EMI噪声不容忽视,特别是在大功率电机驱动系统源阻抗提取条件下。因此,基于式(5)提取噪声源阻抗时,EMI噪声会引起提取误差。为了更准确地描述虑及EMI噪声的噪声源阻抗提取过程,本节考虑EMI噪声后对噪声源阻抗提取建模。

根据图5,在系统无噪声影响的情况下,各端口的电压与电流仅由VNA注入信号引起,在系统中存在EMI噪声且考虑EMI噪声US对噪声源阻抗提取的影响的情况下,各端口的电压与电流为VNA注入信号和噪声信号US共同作用的结果。因此,各端口之间的关系在考虑US后可描述为

width=171.1,height=83.2 (9)

式中,U3_n为测试信号和噪声源共同作用在端口3响应的电压;I1_n为端口1传输的测试信号电流和噪声源电流之和;U1_n为端口1响应的测试信号的电压,VNA注入的小信号的电压和噪声源响应到端口1的电压叠加,可以通过VNA提供的含噪声源激励的反射参数S11_n表示,有

width=91.15,height=28.05 (10)

U2_n为端口2响应的测试信号的电压和噪声源响应到端口2的电压叠加,可以通过VNA提供的含噪声源激励的传输参数S21_n表示,有

width=71.05,height=28.05 (11)

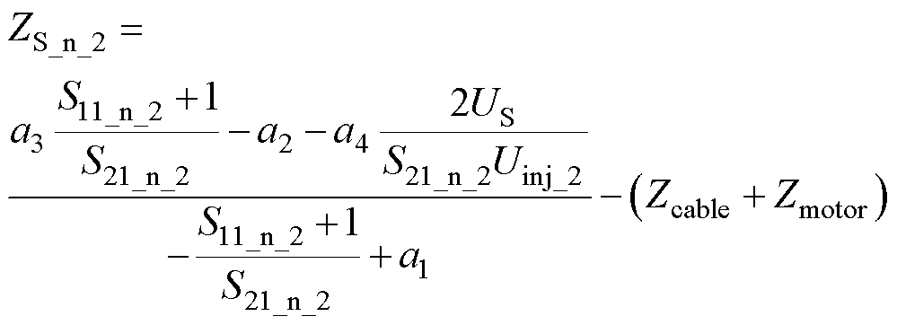
将式(10)和式(11)代入式(9)后求解得到考虑噪声的噪声源阻抗ZS_n

width=225.8,height=63.1(12)

式中,a4为环境参数,通过三端口阻抗矩阵中的参数描述为

width=101.9,height=33.2 (13)

由式(13)可知,环境参数a4受接收探头自感、接收探头和线缆间互感和探头间互感比值、注入探头与线缆间互感及匝数等参数影响,其中匝数N的影响尤为显著。

2.3 EMI噪声影响的噪声源阻抗提取分析

采用电感耦合法提取噪声源阻抗时,需要注入扫频信号电压Uinj,定义电机驱动系统噪声源电压US与注入信号电压Uinj的比值为噪声源提取系统的信噪比(Signal-to-Noise Ratio, SNR),有

width=50.95,height=30.85 (14)

在实际的噪声源阻抗提取过程中,式(5)忽略了噪声对EMI噪声源阻抗提取的影响。在实际提取时,VNA提供的散射参数中同时包含了噪声的影响,因此,根据式(5)提取的实际噪声源阻抗width=14.05,height=14.95

width=162.25,height=63.1 (15)

根据式(12)与式(15),分析电机驱动系统噪声对EMI噪声源阻抗提取的影响,未考虑噪声时的源阻抗与考虑噪声影响后的源阻抗之间的相对差异,如式(16)所示,通过误差百分比表示了电机驱动系统EMI噪声导致噪声源阻抗提取与实际噪声源阻抗值间的相对误差。

width=402.1,height=69.2 (16)

根据式(16),分析SNR的变化对源阻抗提取中噪声影响的作用,通过分析可以看出,随着SNR增大,根据式(15)提取的阻抗与实际阻抗之间的相对误差逐渐减小。因此,结合测量装置与信号放大器以增强注入信号,是提升信噪比的有效途径,从而有助于减小噪声对阻抗提取结果的干扰。

根据式(16)可以看出,环境参数a2a3a4会对噪声源阻抗提取有影响,同时,N的变化将直接影响测量装置的环境参数。结合式(7)、式(8)和式(13),分析N的变化对源阻抗提取中噪声影响的作用。通过分析可得,随着匝数的增加,依据式(15)提取的阻抗与实际阻抗之间的相对误差逐渐减小。因此,在不增加额外设备的情况下,通过增加线缆在探头上的匝数是一种有效降低噪声源对源阻抗提取影响的方法。通常,当线缆绕探头的匝数与探头内部匝数相等时,能够达到最佳效果[24]

3 消除EMI噪声影响的电机驱动系统噪声源阻抗提取方法

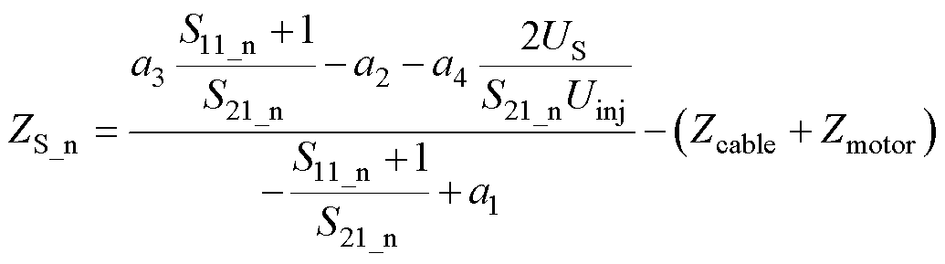
如式(12)所示,提取考虑噪声影响的噪声源阻抗ZS_n,需要先获取噪声源电压US。然而,获取US需要额外的实验设备,且获取过程较为复杂,部分电机驱动系统工作条件下,测试EMI噪声电压存在难度。本节提出在不获取EMI噪声源电压条件下提取电机驱动系统的噪声源阻抗的方法。该方法通过VNA分别注入两次不同电压信号Uinj_1Uinj_2激励获取两组对应散射参数,结合噪声源阻抗提取环境参数可获得电机驱动系统的源阻抗。

3.1 消除EMI噪声影响的噪声源阻抗提取方法建模

小信号Uinj_1激励下的噪声源阻抗表示为

width=216.95,height=79(17)

式中,S11_n_1S21_n_1为在Uinj_1激励下测量得到的被测系统的散射参数。

小信号Uinj_2激励下的噪声源阻抗表示为

width=217.85,height=79(18)

式中,S11_n_2S21_n_2为在Uinj_2激励下测量得到的被测系统的散射参数。

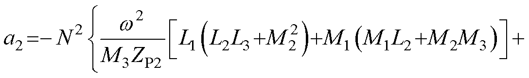
由于在两次不同小信号激励下,提取的是同一个电机驱动系统的EMI噪声源阻抗。因此,根据ZS_n_1=ZS_n_2,将未知参数a4US利用已知的参数表示为

width=228.15,height=36.95(19)

其中

width=88.85,height=63.1 (20)
width=134.2,height=30.85 (21)

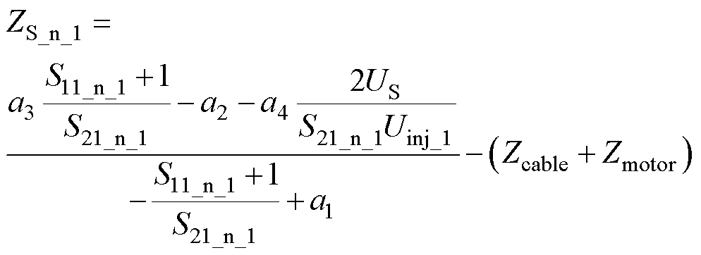
将式(19)代入式(17),得到无需获取电机驱动系统噪声源电压US便可消除EMI噪声源影响的源阻抗提取模型,表示为

width=372.15,height=69.65 (22)

式(22)可以通过两次测量的散射参数和测量环境参数,在不需要获取电机驱动系统噪声源电压条件下,提取电机驱动系统的噪声源阻抗,其环境参数可以通过测量过程的校准技术获取。

3.2 消除EMI噪声影响的系统噪声源阻抗提取方法设计

以电机驱动系统的CM噪声源阻抗为例,基于所提出虑及噪声源的源阻抗提取方法,给出了一种噪声源阻抗提取方法的流程如图6所示。该流程可以在不增加实验设备和不需要获取EMI噪声源电压的前提下,通过注入不同信号的两次测量,准确提取电机驱动系统的噪声源阻抗。首先,根据所使用的探头内部匝数,测量布局、探头和线缆的尺寸以及VNA端口可接收的功率等因素,确定导线绕探头的匝数。其次,通过校准技术获取环境参数后,测量装置的布局应保持不变。然后,提取线缆和电机的阻抗,即EMI干扰回路的负载阻抗。最后,进行两次不同注入功率的测量,获取补偿噪声影响所需的参数,并基于式(22)获取虑及噪声影响的电机驱动系统的噪声源阻抗。

width=177.2,height=233.75

图6 消除EMI噪声影响的噪声源阻抗提取方法流程

Fig.6 Procedure of extraction method of noise source impedance for eliminating EMI noise influence

4 实验

为了验证消除EMI噪声影响的源阻抗提取模型和方法的有效性,使用本文提出的噪声源阻抗提取方法提取由FVCB01.2-2K20型VFD、2.2 kW的YVFE2-100L-4A型感应电机及三相线缆组成的电机驱动系统的CM噪声源阻抗。电机驱动系统的输入电流Iin=7.6 A,交流输入电压Uin的范围为AC 380~480 V,输出电流Iout=5.5 A,交流输出电压Uout范围为0~480 V,输出频率f变化范围为0~400 Hz。

4.1 电机驱动系统EMI噪声电压测量

采用Tek DP04054示波器和Tek P5205高压差分探头测量驱动器的CM电压,该测量平台如图7所示。高压差分探头分别测量U、V和W三相对地的电压,经过计算得到电机驱动系统的CM电压,测量的CM噪声电压频谱如图8所示。被测VFD开关频率为8 kHz,在其倍频处出现尖峰噪声电压,最高达到124 dBmV,随着频率的增加,噪声电压逐渐降低。

width=155.7,height=141.65

图7 电机驱动系统CM EMI噪声电压测量平台

Fig 7 Measurement platform for CM EMI noise voltage in motor drive system

4.2 电机驱动系统CM噪声源阻抗提取

R&S EZ-17的探头作为注入探头和接收探头,配合R&S ZNL3 VNA形成测量系统。采用电感耦合法提取电机驱动系统CM噪声源阻抗,提取测试平台如图9所示,线缆绕电流探头的匝数为3。

width=201.05,height=129.05

图8 电机驱动系统CM EMI噪声电压频谱

Fig.8 CM EMI noise voltage spectrum of motor drive system

width=155.7,height=129.5

图9 电机驱动系统EMI噪声源阻抗提取平台

Fig.9 Extraction platform of EMI noise source impedance in motor drive system

从提高测量探头耦合性能角度,图9测试平台的线缆绕电流探头的匝数应选择与R&S EZ-17探头内部匝数相当的6匝,效果最好,但是由于3条电机系统的输出线缆饶探头3匝就充满了探头内径,所以,本测量方案中用了3匝。图10给出了匝数为1、2和3时,提取电机驱动系统在线运行的总阻抗ZS+Zcable+Zmotor,可以看出,随着匝数增大,不仅由电机驱动系统EMI噪声引起的测量影响会减小,由环境噪声引起的测量影响也会减小。

提取驱动器噪声源阻抗需要先获得电机及其连接线缆的阻抗,根据图4方法搭建CM噪声负载阻抗提取平台,电流探头钳在电机的三相连接线缆上,连接驱动器端的线缆短接,图11为测量的电机及其连接线缆的阻抗曲线。

不考虑电机驱动系统噪声源阻抗的影响,也不加任何提高测量精度的措施,使用式(5)提取电机驱动系统噪声源阻抗曲线如图12中的蓝色实线所示。考虑到EMI噪声对源阻抗的影响,采用本文提出的方法,两次实验分别注入0 dBm和-3 dBm的激励信号,得到的阻抗曲线如图12中的黑色点画线所示。采用在激励信号输出端口外加15 dB放大器的方法,注入0 dBm激励信号,得到的阻抗曲线如图12中的红色虚线所示。

width=201.05,height=126.7

图10 电机驱动系统在线总阻抗曲线

Fig.10 In-circuit total impedance curves in motor drive system

width=201.05,height=126.7

图11 测量的电机及其连接线缆的阻抗

Fig.11 Measured impedance curve of motor and its connected cable

对比图12的红色虚线和蓝色实线,可以看出,采用外加15 dB放大器的方法,减小了EMI噪声频点的噪声对测量阻抗的影响,如采用外加放大器方法后,在有EMI噪声的频点152 kHz,测量影响相对于未采用任何外加方法减小了662.4 W,在有EMI噪声的频点168 kHz,测量影响相对于未采用任何外加方法减小了687.9 W

width=200.55,height=140.75

图12 提取的电机驱动系统EMI噪声源阻抗

Fig.12 Extracted impedance of EMI noise source in motor drive system

通过图12中采用外加15 dB放大器的红色虚线,可以发现,该方法增强了注入信号强度,改善了信噪比,减小了EMI噪声引起的测量影响,但由于电机驱动系统的EMI噪声水平较高,EMI噪声对测量阻抗的影响不能被完全消除,尤其在电机驱动系统EMI噪声较大的低频段。

通过图12中采用本文提出方法提取的黑色点画线与采用外加15 dB放大器方法提取的红色虚线比对,可以发现,采用本文提出的方法,可以减小EMI噪声对电机驱动系统噪声源阻抗的测量影响,如在有EMI噪声的频点152 kHz,测量影响相对于外加放大器的方法减小了827.4 W,在有EMI噪声的频点168 kHz,测量影响相对于外加放大器的方法减小了901.9 W。本文提出的方法在已有放大器降低EMI噪声对阻抗提取影响的基础上,进一步减小了EMI噪声对阻抗提取的干扰。

5 结论

电机驱动系统的EMI噪声在源阻抗测量过程中会耦合至接收探头,从而对源阻抗的提取精度产生影响。本文分析了电机驱动系统基于电感耦合法的噪声源阻抗提取机理,提出了一种能够有效消除EMI噪声干扰的噪声源阻抗提取方法。该方法在不增加外部测量设备和无需获取EMI噪声源频谱的前提下,首先通过注入不同电压信号进行两次测量,获取相应的散射参数,然后基于本文提出的消除噪声源影响的源阻抗提取方法,获取被测系统噪声源阻抗。实验结果表明,所提出的方法可以消除电机驱动系统的EMI噪声对源阻抗测量的影响。利用该方法提取的电机驱动系统噪声源阻抗,有利于设计高插入损耗的EMI滤波器。此外,基于该方法可对电机驱动系统的运行状态进行监测。

参考文献

[1] 夏衍, 孙立鹏, 李军伟, 等. 基于三状态PWM的电动汽车电机驱动系统多模式调制策略研究[J]. 电工技术学报, 2024, 39(4): 1010-1021.

Xia Yan, Sun Lipeng, Li Junwei, et al. Research on multi-mode modulation strategy of motor drive system based on tri-state PWM in EV[J]. Transactions of China Electrotechnical Society, 2024, 39(4): 1010-1021.

[2] 赵丹, 申科, 刘卫国, 等. 基于级联多模块的永磁同步电机驱动系统传导EMI建模与预测[J]. 中国电机工程学报, 2022, 42(12): 4603-4612.

Zhao Dan, Shen Ke, Liu Weiguo, et al. Cascaded multi-module based conducted EMI modeling and prediction method for permanent magnet synchronous motor drive system[J]. Proceedings of the CSEE, 2022, 42(12): 4603-4612.

[3] 徐浩东, 罗嗣勇, 毕闯, 等. 基于SiC MOSFET同步Buck DC-DC变换器的宽频混合EMI滤波器设计[J]. 电工技术学报, 2024, 39(10): 3060-3069.

Xu Haodong, Luo Siyong, Bi Chuang, et al. Design of broadband hybrid EMI filter in synchronous Buck DC-DC converter with SiC MOSFETs[J]. Transa-ctions of China Electrotechnical Society, 2024, 39(10): 3060-3069.

[4] 迟连强, 张殿海, 赵俊清, 等. 旋转电机轴承电蚀损伤机理与缓解措施研究进展[J]. 电工技术学报, 2024, 39(20): 6409-6430.

Chi Lianqiang, Zhang Dianhai, Zhao Junqing, et al. Research progress on the mechanism and mitigation measure of electrical corrosion damage in rotating motor bearings[J]. Transactions of China Electro-technical Society, 2024, 39(20): 6409-6430.

[5] Park C, Lee H, Zapico M O, et al. Automated testing for early identification of PD in the stator insulation of low voltage VFD motors[J]. IEEE Transactions on Industry Applications, 2023, 59(4): 3910-3919.

[6] 马世金, 王鹏, 朱英伟, 等. 变频电机匝间绝缘故障放电信号电磁辐射特性研究[J]. 电工技术学报, 2023, 38(22): 5975-5986.

Ma Shijin, Wang Peng, Zhu Yingwei, et al. Elec-tromagnetic radiation characteristics of partial dis-charge in inverter-fed motor turn-turn insulation[J]. Transactions of China Electrotechnical Society, 2023, 38(22): 5975-5986.

[7] Zhang Boyi, Wang Shuo, Lai Yanwen, et al. Mode-ling and prediction of low-frequency radiated EMI for a SiC motor drive system[J]. IEEE Transactions on Industrial Electronics, 2024, 71(9): 10210-10220.

[8] 江师齐, 刘艺涛, 银杉, 等. 基于噪声源阻抗提取的单相逆变器电磁干扰滤波器的设计[J]. 电工技术学报, 2019, 34(17): 3552-3562.

Jiang Shiqi, Liu Yitao, Yin Shan, et al. Electro-magnetic interference filter design of single-phase inverter based on the noise source impedance extraction[J]. Transactions of China Electrotechnical Society, 2019, 34(17): 3552-3562.

[9] Fan Fei, See K Y, Liu Xiong, et al. Systematic common-mode filter design for inverter-driven motor system based on in-circuit impedance extraction[J]. IEEE Transactions on Electromagnetic Compatibility, 2020, 62(5): 1711-1722.

[10] Liu Yitao, Ye Xin, Peng Jianchun. EMI filter design for single-phase grid-connected inverter with noise source impedance consideration[J]. IET Power Elec-tronics, 2020, 13(17): 3963-3974.

[11] Zhao Zhenyu, Fan Fei, Wang Wensong, et al. Detection of stator interturn short-circuit faults in inverter-fed induction motors by online common-mode impedance monitoring[J]. IEEE Transactions on Instrumentation and Measurement, 2021, 70: 3513110.

[12] Zhao Zhenyu, Chua E K, Svimonishvili T, et al. Current collector health monitoring of LRT trains powered by three-phase AC power rail based on inductive coupling method[J]. IEEE Transactions on Industrial Electronics, 2024, 71(3): 3103-3112.

[13] Chen Henglin, Yan Yunfan, Zhao Huan. Extraction of common-mode impedance of an inverter-fed indu-ction motor[J]. IEEE Transactions on Electromagnetic Compatibility, 2016, 58(2): 599-606.

[14] Shang Xiaofan, Su Donglin, Xu Hui, et al. A noise source impedance extraction method for operating SMPS using modified LISN and simplified calibration procedure[J]. IEEE Transactions on Power Elec-tronics, 2017, 32(6): 4132-4139.

[15] 张佳佳, 张逸成, 韦莉, 等. 基于插入损耗的噪声源阻抗修正计算方法[J]. 电工技术学报, 2015, 30(4): 80-87.

Zhang Jiajia, Zhang Yicheng, Wei Li, et al. A revised calculation method for noise source impedance based on insertion loss[J]. Transactions of China Electro-technical Society, 2015, 30(4): 80-87.

[16] 彭金融, 毛行奎, 崔文玲, 等. 基于插入无源二端口网络的噪声源阻抗提取方法研究[J]. 电工技术学报, 2023, 38(2): 523-532.

Peng Jinrong, Mao Xingkui, Cui Wenling, et al. Research on noise soure impedance extraction method based on inserting passive two-port network[J]. Transactions of China Electrotechnical Society, 2023, 38(2): 523-532.

[17] 章子量, 张榕烜, 陈启, 等. 考虑插入损耗法敏感度的噪声源阻抗提取优化方法[J]. 电机与控制学报, 2025, 29(7): 63-74.

Zhang Ziliang, Zhang Rongxuan, Chen Qi, et al. Optimization method for noise source impedance extraction considering sensitivity of insertion loss method[J]. Electric Machines and Control, 2025, 29(7): 63-74.

[18] Zhou Mengxia, Zhao Yang, Yan Wei, et al. Investigation on conducted EMI noise source impe-dance extraction for electro magnetic compatibility based on SP-GA algorithm[J]. IET Power Electronics, 2019, 12(7): 1792-1799.

[19] Zhao Zhenyu, See K Y, Chua E K, et al. Time-variant in-circuit impedance monitoring based on the inductive coupling method[J]. IEEE Transactions on Instru-mentation and Measurement, 2019, 68(1): 169-176.

[20] Weerasinghe A, Zhao Zhenyu, Sun Quqin, et al. A novel single-probe setup for multifrequency simu-ltaneous measurement of in-circuit impedance[J]. IEEE Transactions on Industrial Electronics, 2023, 70(9): 9538-9549.

[21] Zhao Zhenyu, Weerasinghe A, Wang Wensong, et al. Eliminating the effect of probe-to-probe coupling in inductive coupling method for in-circuit impedance measurement[J]. IEEE Transactions on Instru-mentation and Measurement, 2020, 70: 1000908.

[22] Weerasinghe A, Zhao Zhenyu, Narampanawe N B, et al. Single-probe inductively coupled in-circuit impe-dance measurement[J]. IEEE Transactions on Elec-tromagnetic Compatibility, 2022, 64(1): 2-10.

[23] Rhee J, Kim H, Chu K, et al. Methodology for extracting low-frequency input impedance of personal computer during operation using dual current probes method[J]. IEEE Transactions on Electromagnetic Compatibility, 2024, 66(2): 584-598.

[24] Wan Lu, Negri S, Spadacini G, et al. Enhanced impedance measurement to predict electromagnetic interference attenuation provided by EMI filters in systems with AC/DC converters[J]. Applied Sciences, 2022, 12(23): 12497.

[25] Zhao Zhenyu, Weerasinghe A, Sun Quqin, et al. Improved calibration technique for two-probe setup to enhance its in-circuit impedance measurement accuracy[J]. Measurement, 2021, 185: 110007.

[26] Toulabi M S, Wang Liwei, Bieber L, et al. A universal high-frequency induction machine model and characterization method for arbitrary stator winding connections[J]. IEEE Transactions on Energy Conversion, 2019, 34(3): 1164-1177.

Extraction Method of Noise Source Impedance of Motor Drive System with Eliminating EMI Noise Influence

Ji Junpeng1 Wang Ruina1 Yang Hui1 Lu Jingjie1 Luo Peng2

(1. School of Electrical Engineering Xi’an University of Technology Xi’an 710048 China 2. Suzhou VEICHI Electric Co. Ltd Suzhou 215124 China)

Abstract The extraction of noise source impedance in motor drive systems is essential for designing high-performance EMI filters with high insertion loss and evaluating the operational status of the systems. The high-frequency electromagnetic interference (EMI) noises generated by the fast on-off of the power switching component in the motor drive system significantly affect the accuracy of extracting the noise source impedance. Existing methods need additional measurement equipment, which increases the hardware costs and measurement complexity. Thus, this paper proposes an extraction method without additional hardware equipment.

Firstly, the noise source performances and EMI noise paths in the motor drive system are analyzed. The extraction mechanism of noise source impedance for a motor drive system by inductive coupling is studied. Then, a noise source impedance extraction model considering the influences of EMI noise generated by the motor drive system is built. At the same time, a relative error model of the noise source impedance extraction is constructed to evaluate the influence of EMI noise on impedance extraction accuracy. The impact of signal-to-noise ratio and the turns around the probe on the error percentage is studied. With the increase in signal-to-noise ratio and the turns around the probe, the relative error decreases, and the influence of EMI noise on source impedance extraction is reduced. An EMI noise source impedance extraction method is proposed for motor drive systems. The proposed method can extract the noise source impedance only through two measurements without obtaining the EMI noise spectrum in the motor drive system.

The experimental results show that the noise source impedance extracted by the proposed method can effectively eliminate the influence of EMI noise generated by the motor drive system without measuring the EMI noise. Still, it can get the noise source impedance by twice scattering-parameter measurements with injecting swept-frequency small signals under different power levels. Compared with the existing method, which increases the signal-to-noise ratio with an external amplifier, the proposed method is low-cost and straightforward without additional hardware.

Compared with the existing noise source impedance extraction method, the proposed method can eliminate the influence of EMI noise generated by motor drive systems. The proposed method does not introduce additional hardware and has strong practicality. In addition, the proposed method helps design high-performance EMI filters for monitoring the operating state of the motor drive system.

keywords:Impedance extraction, noise source impedance, inductive coupling method, motor drive system, electromagnetic interference

中图分类号:TM464

DOI: 10.19595/j.cnki.1000-6753.tces.242126

2022年度陕西省秦创原“科学家+工程师”队伍建设项目(2022KXJ-104)、2023年度陕西省教育厅科学研究计划服务地方专项政企联合项目(23JE031)、2024年西安市科技计划科学家+工程师队伍建设项目(24KGDW0051)和2023年碑林区应用技术研发储备工程项目(GX2341, GX2344, GX234)资助。

收稿日期 2024-11-27

改稿日期 2024-12-26

作者简介

姬军鹏 男,1979年生,博士,副教授,研究方向为电力电子系统的电磁兼容。E-mail: jijunpeng@xuat.edu.cn(通信作者)

王瑞娜 女,2001年生,硕士研究生,研究方向为电力电子电磁兼容技术。E-mail: 2231921105@stu.xaut.edu.cn

(编辑 崔文静)