改进的三相并网逆变器双矢量无模型预测控制策略

芮 涛1 徐婉伦2 胡存刚2 冯壮壮2 陆格野3

(1. 安徽大学互联网学院 合肥 230601 2. 安徽大学电气工程与自动化学院 合肥 230601 3. 北京交通大学电气工程学院 北京 100091)

摘要 为解决传统双矢量模型预测控制(DV-MPC)中矢量作用时间计算和预测电流计算对并网逆变器系统参数依赖性强的问题,该文提出一种改进的三相并网逆变器双矢量无模型预测控制(DV-MFPC)策略。首先,分析参数失配对DV-MPC中矢量作用时间以及预测电流计算的影响;其次,提出DV-MFPC策略,所提策略建立并网逆变器数据模型,通过结合最小二乘法,并设计自适应遗忘因子,对不同电压矢量对应的数据模型进行更新;再次,结合双矢量合成方式以及数据模型,实现双矢量无模型电流预测计算,所提方法可以实时辨识并更新三相并网逆变器数据模型,消除了参数对DV-MPC的影响,提高了逆变器数据模型的辨识精度及噪声抑制能力,改善了并网电流性能;最后,通过仿真和实验验证了所提DV-MFPC策略的有效性。

关键词:三相并网逆变器 无模型预测控制 数据模型 最小二乘法 双矢量

0 引言

近年来,可再生能源得到快速发展。微电网可以有效整合日益增多的可再生能源,其不仅能够提高能源利用率,还能增强电力系统的灵活性和稳定性[1]。在微电网中,三相并网逆变器是实现可再生能源高效利用的重要保障,其并网电流性能直接影响微电网的整体运行[2-3]

模型预测控制(Model Predictive Control, MPC)由于其良好的动态性能和多目标控制能力,可以有效调节逆变器并网电流[4-6]。传统MPC利用逆变器离散模型预测其未来状态,根据控制系统设置有限控制集,并结合价值函数评估最优状态,该类方法称为有限控制集MPC(Finite-Control-Set MPC, FCS-MPC)[7]。然而,FCS-MPC由于缺乏调制,导致并网电流纹波较大[8]。此外,FCS-MPC对逆变器的参数变化十分敏感,一旦模型参数与实际参数不匹配,就会影响电流预测的准确性,造成并网电流畸变,甚至影响系统稳定性[9]

为了降低FCS-MPC的电流纹波,已有学者提出连续控制集MPC,通过在每个控制周期中应用多个电压矢量以改善电流纹波。文献[10-11]提出了双矢量MPC(Double Vector MPC, DV-MPC)。文献[12-13]提出了三矢量MPC。同时,针对电压矢量时间计算,研究人员分别提出了基于无差拍原理的计算方法[14-15]以及基于价值函数反比例的计算方法[16-17]。基于无差拍原理的时间计算方法虽然可以得到理论上最优的时间,然而计算结果可能大于控制周期时间或小于零,需进行合理的时间限幅。此外,上述多矢量MPC的矢量作用时间同样对三相逆变器的参数变化较为敏感,进而影响逆变器并网电流性能。

为了改善FCS-MPC电流纹波的同时,降低其对系统参数的敏感性,已有学者提出了基于参数辨识的鲁棒MPC[18-20],通过实时辨识并网逆变器系统参数,提高MPC的鲁棒性。文献[18]利用逆变器数学模型对其电感参数进行实时估计。文献[19]提出了基于滑模观测器的参数辨识方法,并考虑了电网相位对辨识准确性的影响。文献[20]提出了基于梯度下降优化的参数辨识方法。此外,已有学者提出了基于扰动观测器的鲁棒MPC[21-23],其利用观测器对并网逆变器的系统及参数扰动进行实时估计。文献[21]利用滑模观测器对逆变器参数扰动进行估计。文献[22]提出了基于扩张状态观测器的扰动估计方法。文献[23]提出了基于卡尔曼滤波观测器的扰动估计方法。然而,这类方法增加了系统实施的复杂性。

近年来,研究人员提出了无模型预测控制(Model-Free Predictive Control, MFPC)方法,该方法利用电流梯度替代传统的数学模型,并将其存储在查询表(Look-Up Table, LUT)中用于电流预测,进而消除了参数的影响[24]。然而,MFPC方法依赖于电流梯度的准确性,需要实时更新每个控制周期所有电流梯度值。为了改善电流纹波并更新电流梯度,文献[25]提出了基于自适应多采样的多矢量MFPC方法,该方法通过在每个控制周期设置多个采样点,更新多个应用矢量作用下的电流梯度,但剩余电流梯度不能完全更新。文献[26-27]建立了不同电压矢量的梯度关系,实现电流梯度实时更新,然而在多矢量作用下,梯度更新过程较为复杂,需要考虑不同矢量的坐标分量关系。

针对上述问题,本文提出了一种改进的三相并网逆变器双矢量无模型预测控制策略。首先,分析了参数失配时DV-MPC的作用时间计算误差以及预测电流误差;然后,建立了三相并网逆变器数据模型,结合最小二乘法,并设计自适应遗忘因子,对不同矢量对应的数据模型进行实时更新,替代传统数学模型,保证数据模型更新的收敛速度、辨识精度;最后,结合双矢量合成方式以及并网逆变器数据模型,实现双矢量无模型预测电流计算,并通过价值函数评估选择最优双矢量。与传统方法相比,所提DV-MFPC的主要贡献如下:①与传统DV-MPC方法[10-11]相比,所提方法消除了模型参数失配对矢量作用时间的影响;②与传统DV-MFPC方法[25-26]相比,所提方法降低了数据实时更新的复杂性,提高了噪声抑制能力,拥有更好的稳态性能。

1 传统三相并网逆变器双矢量MPC策略及分析

1.1 三相并网逆变器的数学模型

图1为三相并网逆变器拓扑结构,其由直流电压udc、直流电容C、三相半桥、滤波电感L、滤波电阻R以及电网电压eg组成。在三相并网逆变器中,每相包含上下两个开关管Sju、Sjl,其中j=a, b, c,由开关信号Sj控制,其可以表示为

width=114,height=35 (1)

根据三相逆变器开关状态组合,可以得到8个基本电压矢量v0(0, 0, 0)、v1(1, 0, 0)、v2(1, 1, 0)、 v3(0, 1, 0)、v4(0, 1, 1)、v5(0, 0, 1)、v6(1, 0, 1)、 v7(1, 1, 1),如图1所示。

width=216.1,height=74.4

图1 三相并网逆变器的拓扑及电压矢量

Fig.1 Topology and voltage vectors of three-phase grid connected inverter

根据图1,可以得到并网逆变器在ab 静止坐标系下的数学模型并表示为

width=116,height=29 (2)

式中,viab 为逆变器的基本电压矢量,iwidth=9,height=9{0,…, 7};igab 为并网电流;egab 为电网电压。

1.2 传统双矢量MPC基本原理

为了降低并网电流纹波,DV-MPC已广泛应用于三相并网逆变器,传统DV-MPC框图如图2所示。传统双矢量MPC主要由双矢量合成、电流预测计算、价值函数评估三个部分组成[10]

width=213.7,height=113.05

图2 传统DV-MPC框图

Fig.2 Control block diagram of conventional DV-MPC

1)双矢量合成

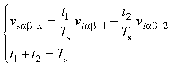
根据伏秒平衡原理,可以利用8个基本电压矢量viab_1viab_2合成12个双矢量组合vsab_x,即

width=120,height=47 (3)

式中,vsab_x为合成的双矢量,xwidth=9,height=9{1, 2,…, 12},12个双矢量由基本矢量(v0ab, v1ab), (v7ab, v2ab), (v0ab, v3ab), (v7ab, v4ab), (v0ab, v5ab), (v7ab, v6ab), (v1ab, v2ab), (v2ab, v3ab), (v3ab, v4ab), (v4ab, v5ab), (v5ab, v6ab), (v6ab, v1ab) 合成;viab_1viab_2为合成双矢量中第一个基本电压矢量和第二个基本电压矢量;t1t2分别为viab_1viab_2的作用时间;Ts为控制周期。

根据矢量作用时间与其价值函数成反比的原 理[17],可以得到t1t2分别表示为

width=67.95,height=60.95 (4)

其中

width=199,height=47(5)

式中,G1G2分别为合成双矢量中第一个基本电压矢量viab_1和第二个基本电压矢量viab_2对应的价值函数;igrefa igrefb 分别为ab 坐标系下的参考电流;iga_1igb_1分别为ab 坐标系下viab_1对应的预测电流;iga_2igb_2分别为ab 坐标系下viab_2对应的预测电流。

2)预测电流计算

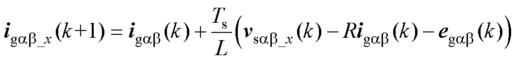
根据前向欧拉法,式(2)可以被离散为

width=218,height=27(6)

式中,igab_x(k+1)为双矢量vsab_x(k)对应的预测电流。

将式(3)合成的双矢量vsab_x代入式(6)可得

width=232,height=27(7)

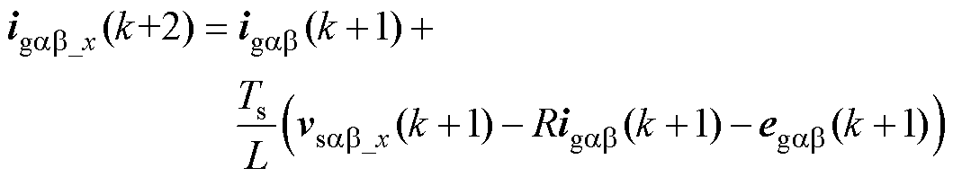
为了补偿一步控制延时,k+2时刻的预测电流可以表示为

width=231,height=42.95(8)

式中,igab_x(k+2)为候补双矢量vsab_x(k)对应的预测电流。

3)价值函数评估

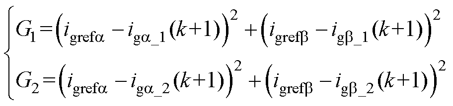
为了在12个双矢量vsab_x中选择最优矢量并应用在下一控制周期,本节定义价值函数为

width=204,height=22(9)

式中,Gs_x为双矢量vsab_x对应的价值函数;iga_xigb_x分别为ab 坐标系下vsab_x对应的预测电流。

1.3 传统双矢量MPC鲁棒性能分析

1.3.1 矢量合成分析

当DV-MPC中电感模型参数L0以及电阻模型参数R0与其实际参数LR不匹配时,会导致式(6)计算得到的igab_1igab_2存在预测误差,进而影响式(5)中G1G2的计算结果以及式(4)中作用时间t1t2的计算结果。因此,根据式(3)~式(6)可知,双矢量的作用时间t1t2LR决定。当DV-MPC中电感模型参数L0以及电阻模型参数R0与其实际参数LR不匹配时,会导致作用时间t1t2精度降低。图3显示了L0R0LR不匹配时的作用时间误差t1errt2err,其中,参考电流为10 A和15 A。根据图3可知,当L0R0LR的误差增加时,作用时间误差t1errt2err随之增加,将影响并网逆变器输出电流性能进而导致效率降低。

width=198.7,height=119.15

图3 参数失配时矢量作用时间误差

Fig.3 Duration error of vector under mismatched parameter

1.3.2 电流预测分析

当DV-MPC中电感模型参数L0以及电阻模型参数R0与其实际参数LR不匹配时,会导致式(8)计算得到的igab_x(k+2)存在预测误差。因此,根据式(8)可知,k+2时刻的预测电流igab_x(k+2)由LR决定。当DV-MPC中电感模型参数L0以及电阻模型参数R0与其实际参数LR不匹配时,会导致igab_x(k+2)的预测精度降低;进而增加三相预测电流误差igabcerr。图4显示了L0R0LR不匹配时的三相预测电流误差igabcerr。根据图4可知,当L0R0LR的误差增加时,三相预测电流误差igabcerr随之增加,其将影响并网逆变器输出电流性能进而导致效率降低。

width=198.5,height=131.65

图4 参数失配时电流预测误差

Fig.4 Current prediction error under mismatched parameter

2 所提改进的三相并网逆变器DV-MFPC策略

为了解决上述问题,本文提出了一种改进的DV- MFPC方法,主要由数据模型建立与自适应更新、双矢量合成、无模型电流预测计算和价值函数评估四部分组成,如图5所示。

width=218.75,height=120

图5 所提DV-MFPCC控制框图

Fig.5 Control block diagram of proposed DV-MFPCC.

在所提方法中,通过收集逆变器电压电流数据,建立并实时更新逆变器数据模型,从而保持对系统状态的准确预测,确保了控制策略的有效性。因此,数据模型不仅提高了控制系统的适应性和鲁棒性,还增强了其在实际复杂环境中的应用潜力。

2.1 所提逆变器数据模型建立

k-1时刻至k时刻应用矢量为双矢量vsab_x时,根据式(7)可以得到双矢量作用下的电流梯度∆igab(k)表示为

width=231,height=27(10)

其中

width=125,height=17 (11)

根据式(10)可以建立并网逆变器数据模型为

width=155,height=17 (12)

其中

width=118,height=17 (13)

式中,X(k)和Y(k)为并网逆变器数据模型参数,其包含系统已知项以及系统扰动。通过实时辨识数据模型参数X(k)和Y(k)可消除参数的影响。

2.2 所提逆变器数据模型自适应更新

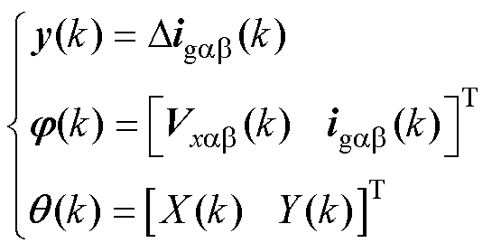
式(12)的矩阵形式可以表示为

width=76,height=17 (14)

其中

width=119,height=60.95 (15)

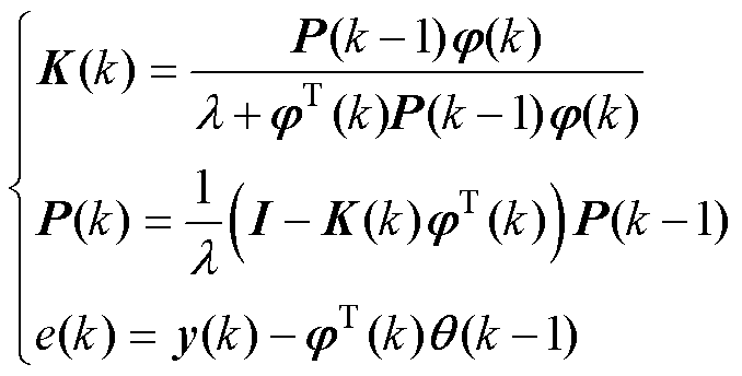
根据式(15),所提数据模型识别过程可表示为

width=108,height=17 (16)

其中

width=148,height=75 (17)

式中,K(k)和P(k)为辨识过程的中间变量;P(0)的初值可设置为106e(k)为辨识误差;l 为遗忘因子,一般设置为0.8~1。当遗忘因子l 较大时,其抗噪声能力较强、辨识精度较高;当遗忘因子l 较小时,其辨识收敛速度较快。在数据模型更新过程中,辨识误差e(k)可以显示数据模型的辨识精度。当辨识误差e(k)较大时,应降低遗忘因子l;当辨识误差e(k)较小时,应提高遗忘因子l。因此,本节提出了一种自适应遗忘因子为

width=142,height=37 (18)

式中,lmin为遗忘因子的最小值,lmin=0.8;g 为正系数;e0e(k)的误差边界值。当|e(k)|>e0时,l 保持在l0;当|e(k)|<e0时,l 趋近于1。

根据式(16)计算得到的数据模型X(k)和Y(k)以及1.1节中8个基本电压矢量,可以得到不同基本矢量对应的电流梯度为

width=184,height=17 (19)

其中

width=146,height=17 (20)

2.3 双矢量无模型预测电流控制

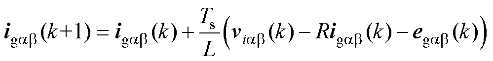
结合k时刻并网电流采样igab(k)以及式(19)计算得到的基本矢量电流梯度Digab_i(k+1),可以得到k+1时刻的并网电流igab_i(k+1)为

width=149,height=17 (21)

根据式(4)、式(5)和式(21)可以得到t1t2,结合不同基本矢量对应的电流梯度∆igab_i(k+1)可以得到双矢量作用下的电流梯度∆igab_x(k+1)为

width=204.95,height=30(22)

式中,∆igab_1(k+1)和∆igab_2(k+1)分别为合成双矢量中第一个基本电压矢量viab_1和第二个基本电压矢量viab_2对应的电流梯度。根据式(22),可以得到DV-MFPC作用下k+1时刻及k+2时刻电流预测为

width=172,height=35 (23)

图6为所提自适应数据更新及无模型预测,在执行MFPCC时,需要将12个电压矢量组合对应的电流梯度代入式(23),并将得到12个预测电流代入式(9)所示的价值函数进行评估,最终选择使价值函数最小的电压矢量作为最优电压矢量,并将其作用在下一个控制周期。

width=233.8,height=110.35

图6 所提自适应数据更新及无模型预测

Fig.6 The proposed adaptive data updating and model-free prediction

2.4 所提双矢量MFPC实施过程

图7为所提DV-MFPC方法的实施流程。首先,通过测量并网电流、电网电压获得Digab(k)、egab(k),将其代入式(16)并结合式(18)得到的自适应遗忘因子l 获得X(k)和Y(k),通过式(19)获得基本矢量电流梯度Digab_i(k+1)。然后,根据式(21)获得igab_i(k+1),结合式(4)、式(5)和式(21)得到t1t2,根据式(22)得到双矢量作用下的电流梯度Digab_x(k+1)。进而,根据式(23)得到所提DV-MFPC作用下的预测电流。最后,根据式(9)进行价值函数评估选择最优双矢量。

width=217.8,height=150.5

图7 所提DV-MFPC流程

Fig.7 The flow chart of proposed DV-MFPC

3 仿真、实验验证与分析

为了验证所提DV-MFPC方法的有效性,本节通过并网逆变器仿真及硬件实验平台,比较了传统DV-MPC[10]、传统DV-MFPC[26]和所提DV-MFPC的并网电流性能。其实验平台如图8所示,其中,控制器采用TMS320F28335。并网逆变器系统和控制参数见表1。

width=184.2,height=89.75

图8 逆变器硬件实验平台

Fig.8 Hardware experiment platform of inverter

3.1 数据模型更新仿真验证

图9比较了传统固定遗忘因子和所提自适应遗忘因子作用下,逆变器数据模型更新的收敛速度以及更新精度。如图9所示,当遗忘因子设置为0.8时,其收敛速度最快,但收敛后纹波较大;当遗忘因子设置为0.99时,收敛速度最慢,但降低了收敛后的纹波;当实施所提自适应遗忘因子时,不仅提高了收敛速度,并在收敛后保证了数据模型的辨识精度,验证了所提自适应遗忘因子的有效性。

表1 逆变器系统和控制参数

Tab.1 System and control parameters of inverter

参 数数 值 直流侧电压udc/V300 电网相电压峰值e/V100 电网频率f/Hz50 滤波电感L/mH8 滤波电阻R/W0.5 采样及控制周期Ts/ms100

width=188.9,height=104.5

图9 数据模型更新比较

Fig.9 Comparison of data model updating

图10比较了噪声存在时,传统电流梯度更新方法和所提梯度更新方法的更新比较。如图10所示,与传统梯度更新方法相比,所提梯度更新方法利用最小二乘法及自适应遗忘因子,提高了数据模型更新时的噪声抑制能力,有效地降低了电流梯度纹波。

width=191.4,height=104.65

图10 噪声注入时数据模型更新比较

Fig.10 Comparison of data model updating under injected noise

3.2 稳态及动态性能实验比较

图11比较了传统DV-MPC、传统DV-MFPC和所提DV-MFPC的稳态电流性能、电流预测误差以及动态响应。其中,参考电流由10 A突变为15 A。

如图11a所示,当实施传统DV-MPC时,其输出电流THD在10 A及15 A时分别为3.94%和2.70%。如图11b所示,当实施传统DV-MFPC时,其输出电流THD在10 A及15 A时分别为4.08%和2.86%。如图11c所示,当实施所提DV-MFPC时,其输出电流THD在10 A及15 A时分别为3.87%和2.68%。与传统DV-MPC相比,所提方法在参数准确时可以实现与传统相近的电流性能;与传统DV- MFPC相比,所提方法电流性能THD更低。此外,三种方法具有相近的动态响应速度。

width=203.4,height=425.8

图11 参数准确时电流及预测误差比较

Fig.11 Comparison of current and prediction error under accurate parameters

3.3 鲁棒性能实验验证

图12比较了传统DV-MPC、传统DV-MFPC和所提DV-MFPC在电感参数失配时的电流性能以及预测误差。其中,参考电流为10 A,电感模型参数L0由其实际参数L的20%变为180%。

width=207.8,height=444.3

图12 参数失配时电流及预测误差比较

Fig.12 Comparison of current and prediction error under mismatched parameter

如图12a所示,当实施传统DV-MPC方法时,电流性能受电感参数变化的影响,其电流THD偏离3.94%并随着参数误差的增长而增加。如图12b所示,当实施传统DV-MFPC方法时,虽然消除了电感参数的影响,但输出电流性能受系统噪声影响,电流THD保持为4.08%。如图12c所示,当实施所提DV-MFPC方法时,其不仅消除了电感参数的影响,还抑制了噪声对数据模型更新的影响,电流THD进一步降低为3.87%,验证了所提方法具有良好的参数鲁棒性。

图13比较了参考电路为10 A时,传统DV- MPC、传统DV-MFPC和所提DV-MFPC的电流方均根误差(Root Mean Square Error, RMSE)。如图13所示,当实施传统DV-MPC时,其电流RMSE随着参数失配而增大。当电感模型参数L0分别为其实际参数L的0.2、0.5、0.8、1.0、1.2、1.5及1.8倍时,传统DV-MPC的电流RMSE分别为1.22、0.59、0.45、0.36、0.38、0.40及0.43 A。当实施传统DV-MFPC时,其电流RMSE虽不受参数变化影响,但受系统噪声影响,维持在0.38 A。当实施所提DV-MFPC时,其电流RMSE不受参数变化影响,并通过自适应遗忘因子进一步降低了噪声对数据模型辨识的影响,维持在0.34 A。

width=185.9,height=125.3

图13 参数失配时电流RMSE比较(igref=10 A)

Fig.13 Comparison of current RMSE under mismatched parameter(igref=10 A)

图14比较了参考电路为15 A时,传统DV- MPC、传统DV-MFPC和所提DV-MFPC在电感参数失配时的RMSE。如图14所示,当实施传统DV- MPC时,其电流RMSE随着参数失配而增大。当电感模型参数L0分别为其实际参数L的0.2、0.5、0.8、1.0、1.2、1.5及1.8倍时,传统DV-MPC的电流RMSE分别为1.61、0.73、0.54、0.45、0.49、0.53及0.56 A。当实施传统DV-MFPC时,其电流RMSE虽不受参数变化影响,但受系统噪声影响,维持在0.50 A。当实施所提DV-MFPC时,其电流RMSE不受参数变化影响,并通过自适应遗忘因子进一步降低了噪声对数据模型辨识的影响,维持在0.43 A。

width=186.35,height=125.5

图14 参数失配时电流RMSE比较(igref=15 A)

Fig.14 Comparison of current RMSE under mismatched parameter (igref=15 A)

3.4 实施复杂性实验验证

图15比较了传统DV-MPC、传统DV-MFPC和所提DV-MFPC的实施复杂性。实验中,在DSP中断程序所提方法实施的每一个步骤中加入一个GPIO输出,通过示波器观察GPIO每一段输出的持续时间得到所提方法和传统方法每个步骤的计算负担。

width=205.45,height=113.05

图15 计算负担比较

Fig.15 Comparison of computaional burden

如图15所示,当实施传统DV-MPC方法时,其计算负担为29.7 ms;当实施传统DV-MFPC方法时,其计算负担为33.5 ms;当实施所提DV-MFPC方法时,其计算负担为31 ms。以上三种方法在采样、锁相、矢量作用时间计算以及PWM发波的计算负担相同。与传统DV-MPC方法,所提DV-MFPC方法基于电流梯度进行双矢量电流预测,计算更为简单;与传统DV-MFPC方法,所提DV-MFPC方法在梯度更新时使用最小二乘法,避免建立不同矢量的电流梯度关系,降低了梯度更新的计算负担。

4 结论

本文针对三相并网逆变器提出一种改进的双矢量无模型预测控制。所提方法建立了并网逆变器数据模型,通过结合最小二乘法并设计自适应遗忘因子,实现每个基本矢量数据模型实时更新,消除参数对双矢量时间计算以及预测计算的影响,改善了并网电流鲁棒性。仿真和实验结果说明:

1)参数准确时,所提方法与传统DV-MPC方法拥有相近的稳态性能,其THD在参考电流为10 A时分别为3.87%、3.94%。

2)参数失配时,所提方法与传统DV-MPC方法相比不受参数影响,拥有更好的鲁棒性,在0.2、0.5、0.8、1.0、1.2、1.5及1.8倍参数误差以及参考电流为10 A时,所提DV-MFPC方法的RMSE比传统DV-MPC方法相比分别降低0.88、0.25、0.11、0.02、0.04、0.06及0.09 A。

3)与传统DV-MFPC方法相比,所提方法改善了实施复杂性,计算负担降低2.5 ms。同时抑制了噪声对MFPC的影响,拥有更好的电流性能和更低的电流误差。

参考文献

[1] 张基岳, 任洲洋, 姜云鹏, 等. 微电网定碳排运行域: 理论、构建与观测[J]. 电工技术学报, 2024, 39(8): 2342-2359.

Zhang Jiyue, Ren Zhouyang, Jiang Yunpeng, et al. Committed carbon emission operation region of microgrids: theory, construction and observation[J]. Transactions of China Electrotechnical Society, 2024, 39(8): 2342-2359.

[2] 汪凤翔, 杨奥, 于新红, 等. 基于自适应超螺旋滑模观测器的三相Vienna整流器无模型预测电流控制[J]. 电工技术学报, 2024, 39(6): 1859-1870.

Wang Fengxiang, Yang Ao, Yu Xinhong, et al. Model-free predictive current control of three-phase Vienna rectifier based on adaptive super-spiral sliding mode observer[J]. Transactions of China Electro- technical Society, 2024, 39(6): 1859-1870.

[3] 赵强松, 陈昊, 王启帆, 等. 微电网并网逆变器频率自适应前馈双模重复-比例控制[J]. 电工技术学报, 2024, 39(15): 4843-4855.

Zhao Qiangsong, Chen Hao, Wang Qifan, et al. Frequency adaptive feedforward dual-mode repetitive- proportional control of grid-connected inverter in microgrid[J]. Transactions of China Electrotechnical Society, 2024, 39(15): 4843-4855.

[4] Li Yu, Gao Jianbo, Zhang Zhenbin, et al. Model- based and model-free predictive active damping for LCL-type active-front-end rectifiers[J]. IEEE Transa- ctions on Industrial Electronics, 2024, 71(10): 11754- 11765.

[5] Yang Haitao, Li Min, Zhang Yongchang, et al. FCS-MPC for three-level NPC inverter-fed SPMSM drives without information of motor parameters and DC capacitor[J]. IEEE Transactions on Industrial Electronics, 2024, 71(4): 3504-3513.

[6] 尹政, 胡存刚, 芮涛, 等. LC滤波型电压源逆变器无模型预测电压控制策略[J]. 电工技术学报, 2023, 38(14): 3723-3732.

Yin Zheng, Hu Cungang, Rui Tao, et al. Model-free predictive voltage control strategy for LC-filtered voltage source inverter[J]. Transactions of China Electrotechnical Society, 2023, 38(14): 3723-3732.

[7] Wang Junxiao, Liu Yibin, Yang Jun, et al. Adaptive integral extended state observer-based improved multistep FCS-MPCC for PMSM[J]. IEEE Transa- ctions on Power Electronics, 2023, 38(9): 11260- 11276.

[8] Rui Tao, Feng Zhuangzhuang, Hu Cungang, et al. Double-vector model-free predictive current control method for voltage source inverters with sampling noise suppression[J]. IEEE Transactions on Industrial Electronics, 2024, 71(6): 5797-5806.

[9] Yin Zheng, Deng Fujin, Ghanem A, et al. PLPR-based predictive control for LCL-filtered voltage source inverters[J]. IEEE Transactions on Power Electronics, 2024, 39(6): 7468-7480.

[10] 芮涛, 尹政, 汪凤翔, 等. 基于双矢量的并网逆变器无模型预测电流控制策略[J]. 电工技术学报, 2023, 38(14): 3759-3768.

Rui Tao, Yin Zheng, Wang Fengxiang, et al. Model- free predictive current control strategy of grid- connected inverter based on double-vector[J]. Transa- ctions of China Electrotechnical Society, 2023, 38(14): 3759-3768.

[11] Liu Tong, Chen Alian, Qin Changwei, et al. Double vector model predictive control to reduce common- mode voltage without weighting factors for three- level inverters[J]. IEEE Transactions on Industrial Electronics, 2020, 67(10): 8980-8990.

[12] Guo Leilei, Chen Mo, Li Yanyan, et al. Hybrid multi-vector modulated model predictive control strategy for voltage source inverters based on a new visualization analysis method[J]. IEEE Transactions on Transportation Electrification, 2023, 9(1): 8-21.

[13] Hu Cungang, Xu Wanlun, Yin Zheng, et al. A novel modulated model-free predictive control for LC- filtered grid-forming inverters with double-difference updating[J]. IEEE Transactions on Industrial Elec- tronics, 2024, 71(9): 10806-10817.

[14] Kwak S, Kim S E, Park J C. Predictive current control methods with reduced current errors and ripples for single-phase voltage source inverters[J]. IEEE Transactions on Industrial Informatics, 2015, 11(5): 1006-1016.

[15] Zhang Zhenbin, Fang Hui, Gao Feng, et al. Multiple- vector model predictive power control for grid-tied wind turbine system with enhanced steady-state control performance[J]. IEEE Transactions on Indu- strial Electronics, 2017, 64(8): 6287-6298.

[16] Jin Nan, Chen Mo, Guo Leilei, et al. Double-vector model-free predictive control method for voltage source inverter with visualization analysis[J]. IEEE Transactions on Industrial Electronics, 2022, 69(10): 10066-10078.

[17] Shi Xiaolong, Zhu Jianguo, Li Li, et al. Model- predictive-based duty cycle control with simplified calculation and mutual influence elimination for AC/DC converter[J]. IEEE Journal of Emerging and Selected Topics in Power Electronics, 2019, 7(1): 504-514.

[18] 艾纯玉, 帕孜来·马合木提, 刘硕. 基于改进的状态转移算法单相逆变器参数辨识[J]. 电力电子技术, 2022, 56(4): 16-18.

Ai Chunyu, Pazilai Mahemuti, Liu Shuo. Parameter identification of single-phase inverter based on improved state transition algorithm[J]. Power Elec- tronics, 2022, 56(4): 16-18.

[19] Guo Leilei, Xu Zhiye, Li Yanyan, et al. An inductance online identification-based model predi- ctive control method for grid-connected inverters with an improved phase-locked loop[J]. IEEE Transactions on Transportation Electrification, 2022, 8(2): 2695- 2709.

[20] Long Bo, Zhu Zilin, Yang Wandi, et al. Gradient descent optimization based parameter identification for FCS-MPC control of LCL-type grid connected converter[J]. IEEE Transactions on Industrial Elec- tronics, 2022, 69(3): 2631-2643.

[21] 曹文远, 韩民晓, 谢文强, 等. 基于扰动观测器的电压源型逆变器负载电流前馈控制及参数设计方法[J]. 电工技术学报, 2020, 35(4): 862-873.

Cao Wenyuan, Han Minxiao, Xie Wenqiang, et al. A disturbance-observer-based load current feedforward control and parameter design method for voltage- sourced inverter[J]. Transactions of China Electro- technical Society, 2020, 35(4): 862-873.

[22] Mousavi M S, Davari S A, Nekoukar V, et al. A robust torque and flux prediction model by a modified disturbance rejection method for finite-set model- predictive control of induction motor[J]. IEEE Transactions on Power Electronics, 2021, 36(8): 9322-9333.

[23] 汪凤翔, 柯哲涵, 柯栋梁, 等. 基于强跟踪扩展卡尔曼观测器的三电平逆变器永磁同步电机无模型预测电流控制[J]. 中国电机工程学报, 2023, 43(22): 8910-8921.

Wang Fengxiang, Ke Zhehan, Ke Dongliang, et al. Model-free predictive current control of three-level inverter permanent magnet synchronous motor based on strong tracking extended Kalman observer[J]. Proceedings of the CSEE, 2023, 43(22): 8910-8921.

[24] Lin Chengkai, Liu Tianhua, Yu J T, et al. Model-free predictive current control for interior permanent- magnet synchronous motor drives based on current difference detection technique[J]. IEEE Transactions on Industrial Electronics, 2014, 61(2): 667-681.

[25] Reddy V R, Agustin C A, Lin Chengkai, et al. Modulated dual-voltage-vector model-free predictive current controller for synchronous reluctance motor drives with online duty cycle calculation[J]. IEEE Access, 2022, 10: 97856-97867.

[26] Hu Cungang, Yin Zheng, Rui Tao, et al. A novel double-voltage-vector model-free predictive current control method for two-level voltage source inver- ters[J]. IEEE Transactions on Industrial Electronics, 2023, 70(6): 5872-5884.

[27] Rui Tao, Yin Zheng, Hu Cungang, et al. Modulated model-free predictive current control for voltage source inverters with stagnation elimination and sampling disturbance suppression[J]. IEEE Transa- ctions on Power Electronics, 2023, 38(6): 6996-7008.

Improved Model-Free Predictive Control Strategy for Three-Phase Grid-Connected Inverter with Double-Vector

Rui Tao1 Xu Wanlun2 Hu Cungang2 Feng Zhuangzhuang2 Lu Geye3

(1. School of Internet Anhui University Hefei 230601 China 2. School of Electrical Engineering and Automation Anhui University Hefei 230601 China 3. School of Electrical Engineering Beijing Jiaotong University Beijing 100091 China)

Abstract In recent years, renewable energy has seen rapid development. Microgrids effectively integrate the increasing share of renewable energy, enhancing power systems’ energy efficiency, flexibility, and stability. In microgrids, three-phase grid-connected inverters play a crucial role in ensuring the efficient utilization of renewable energy, as their grid current performance directly impacts the overall operation of the microgrid. Model predictive control (MPC), known for its excellent dynamic performance and multi-objective control capabilities, can effectively regulate the grid current of inverters. However, finite-control-set MPC (FCS-MPC) suffers from significant grid current ripple due to the absence of modulation. Furthermore, FCS-MPC is highly sensitive to changes in inverter parameters. Any mismatch between the model and actual parameters can compromise the accuracy of current prediction, leading to grid current distortion and potentially affecting system stability. This paper proposes an improved double-vector model-free predictive control (DV-MFPC) strategy for three-phase grid-connected inverters.

Firstly, the effects of parameter mismatch on duration and prediction current calculation in DV-MPC are analyzed. Then, the DV-MFPC strategy is proposed, and the data model of the grid-connected inverter is established. By combining the least square method and designing the adaptive forgetting factor, the data model corresponding to different voltage vectors is updated to eliminate the influence of parameters. Then, according to the double-vector synthesis method and data model, the double-vector model-free current prediction calculation is realized. The proposed method can identify and update the data model of the three-phase grid-connected inverter in real time, eliminate the influence of parameters on DV-MPC, and enhance the identification accuracy and noise suppression ability of the inverter data model. Hence, the robustness of grid-connected current can be improved. Finally, the proposed DV-MFPC method is verified by simulation and experiment.

The following conclusions can be drawn. (1) When parameters are accurate, the proposed method and conventional DV-MPC show similar steady-state performance, with total harmonic distortion (THD) of 3.87% and 3.94% at a reference current of 10 A, respectively. (2) Under parameter mismatch, the proposed method is unaffected by parameter variations and exhibits better robustness than conventional DV-MPC. At parameter errors of 0.2, 0.5, 0.8, 1.0, 1.2, 1.5, and 1.8 x with a reference current of 10 A, the root mean square error (RMSE) reduction of the proposed DV-MFPC method compared to conventional DV-MPC is 0.88, 0.25, 0.11, 0.02, 0.04, 0.06, and 0.09 A, respectively. (3) The proposed method reduces implementation complexity and computational burden by 2.5 ms. It also suppresses the impact of noise on MFPC, yielding better current performance and lower current error.

keywords:Three-phase grid-connected inverter, model-free predictive control, data model, least square method, double-vector

中图分类号:TM464

DOI: 10.19595/j.cnki.1000-6753.tces.241180

国家自然科学基金资助项目(52207184, 52377164, 52207208)。

收稿日期 2024-07-04

改稿日期2024-07-15

作者简介

芮 涛 男,1990年生,副教授,研究方向为基于数据驱动的并网逆变器无参数预测控制技术。E-mail: 19057@ahu.edu.cn

胡存刚 男,1978年生,教授,研究方向为电力电子技术和新能源汽车电驱动等。E-mail: hcg@ahu.edu.cn(通信作者)

(编辑 陈 诚)