基于CLLLC变频扩展移相分段调制的宽增益车载充电机研究

王建渊 郭俊玲 闫 瑾 孙向东

(西安理工大学电气工程学院 西安 710049)

摘要 在新能源产业迅速扩张的宏观背景下,电动汽车充电技术不断提升,其动力电池电压范围日益拓宽,车载充电机(OBC)的优化设计已成为电动汽车产业发展中的重要环节。该文基于新型的OBC拓扑,针对后级双向CLLLC谐振变换器采用变频调制降压时效率低、采用单移相调制时回流功率大、电压增益窄的问题,提出一种基于变直流母线电压控制的变频与扩展移相分段混合调制策略,以实现OBC宽电压增益和高效率的控制目标。在增益M≥1时采用变频调制,并基于基波分析法推导CLLLC谐振变换器变频调制下的电压增益表达式,分析谐振参数的设计要点;在增益M<1时采用扩展移相调制,通过一次侧桥内移相和二次侧桥间移相拓宽OBC降压范围。最后,基于STM32H750VBT6控制器搭建了一台AC 220 V输入、AC 250~750 V/6.6 kW输出的车载充电机实验样机,据此验证所提控制策略的有效性。

关键词:车载充电机 双向CLLLC谐振变换器 变频调制 扩展移相调制

0 引言

在全球倡导环保与节能的背景下,电动汽车已成为汽车行业的重要研究方向[1]。车载充电机(On-Board Charger, OBC)作为电动汽车电能补给的重要环节,其电压增益、运行效率、功率密度是现阶段电动汽车产业发展亟须解决的关键问题[2-5]。现阶段,研究人员开发了许多双向OBC[6-7],能够在车辆和外部电源之间灵活地进行能量交换,其拓扑由具有功率因数校正(Power Factor Correction, PFC)的AC-DC变换器和控制充放电功率的DC-DC变换器组成。这类拓扑具有强电气隔离、网侧功率因数高、宽输出电压范围、高运行可靠性等优点。目前,OBC后级采用的双向隔离型CLLLC变换器,正反向工作谐振网络相同,能够实现双向宽增益和全功率范围的软开关,参数设计和控制策略也相对简单,已成为OBC后级DC-DC变换器的热门拓扑。

谐振网络设计是谐振变换器高效稳定运行的前提。文献[8-10]基于时域分析(Time Domain Analysis, TDA)法对CLLLC谐振变换器的模型进行简化,推导了参数设计的增益表达式和临界条件。文献[11]结合三段式充电策略,根据动力电池电压范围和充电特性对CLLLC谐振变换器参数进行建模和优化,实现了变换器高效率充放电。文献[12]提出了一种双向统一建模的设计方法,通过选择适宜的双向电路因子将正反向电路统一并建立连接,简化了参数设计的迭代部分,降低了双向开关频率的变化复杂度。

变频调制(Pulse Frequency Modulation, PFM)是谐振变换器中最基本的调制策略,能够自然实现零电压开通(Zero Voltage Switching, ZVS)和零电流关断(Zero Current Switching, ZCS)。为解决单一调制策略的局限性,有学者便提出将PFM与移相调制(Phase-Shift Modulation, PSM)结合的分段调制策略以拓宽变换器输出电压增益[13-14],通过增加移相角的自由度来扩大软开关的实现范围。文献[15]提出一种基于PFM与脉宽混合调制的方式,同时实现高低电压增益。文献[16-17]针对宽输入电压CLLLC变换器效率低的问题,采用同时调节开关频率和桥间移相角的方式拓宽变换器电压增益并提高效率,缩小开关频率的变化范围,实现全负载范围内软开关。文献[18]提出了CLLLC谐振变换器的状态变量模型和循环平均模型,并采用单移相(Single Phase Shift, SPS)调制和脉冲相位调制(Pulse Phase Modulation, PPM)两种调制策略,通过仿真验证了两种模型均能准确预测变换器在SPS调制和PPM下的工作模态,改善了变换器的工作质量。文献[19]针对CLLLC谐振变换器在轻载时效率低和电压调节范围窄的问题,提出了一种优化的扩展移相(Extended Phase Shift, EPS)调制策略,通过分析计算磁性元件损耗确定扩展移相调制的最佳移相组合,实现轻载工况下效率的最大化。文献[20]采用改进的三重移相调制(Triple-Phase-Shift Modulation, TPS)减小励磁电感的循环电流,进一步提高谐振变换器的效率。文献[21-22]提出采用同步整流、自适应频率控制策略,提高变换器的运行效率。针对谐振变换器电流回流[23-24]而提出的最小回流电流控制,提高变换器的效率,以及基于谐振变换器开关管故障而提出的容错控制策略[25]

常见的电动汽车动力电池电压在250~430 V之间,而近几年电动汽车多样化发展使得动力电池电压范围有所变化,中小型电动汽车动力电池电压呈现出250~750 V的宽范围,而宽电压范围的特点主要有以下几个方面:

(1)兼容性与灵活性:兼容不同电压范围的电池以及不同国家和地区的电网电压标准,增强了电动汽车的全球适应性。

(2)稳定性和可靠性:在电网电压波动以及在极端条件下,宽电压范围的充电机能够更稳定地工作,提供更高的安全保障。

(3)扩展性和未来兼容性:预留的电压扩展空间有助于在未来实现更高的充电功率和更快的充电速度。

典型的电动汽车动力电池电压见表1。应对如此宽的充电电压范围,需要OBC在设计时考虑峰值增益是否满足各类电动汽车动力电池电压,以灵活应对电动汽车的充电需求。

表1 典型电动汽车动力电池电压

Tab.1 Typical electric vehicle power battery voltage

电动汽车类型具体车型动力电池电压/V 普通乘用车特斯拉Model S350~450 小米SU7标准版400~486 大众ID.6X357~400 电动大客车电动巴士580~750 依维柯电动物流车300~600

综上所述,本文研究一种新型的双向两级式OBC拓扑。该拓扑的后级是提高整个OBC效率和增益的关键。为此,首先建立了后级双向CLLLC谐振变换器的谐振网络,并分析了其电压增益特性。然后,基于分段调制策略的工作原理,对电压增益特性和软开关特性进行了深入分析。基于此,提出了变直流母线电压控制策略与分段调制策略相结合的OBC宽增益实现方法,使得所设计的OBC实现250~750 V的宽电压增益。最后,搭建6.6 kW的OBC实验平台完成对理论分析的验证。

1 宽增益OBC拓扑结构及工作原理

宽增益OBC拓扑结构如图1所示。前级的AC-DC变换器由单相PWM整流器和Sepic-Zeta DC-DC变换器组成,后级DC-DC变换器为双向CLLLC谐振变换器。

width=233.45,height=95.85

图1 具备宽电压增益的双向隔离型OBC拓扑结构

Fig.1 Bidirectional isolated OBC topology with wide voltage gains

图1中,width=11,height=15为网侧输入电压;width=16,height=15为前级单相PWM整流器的输出电压,也是Sepic-Zeta DC-DC变换器的输入电压;width=17,height=15为OBC母线电压,既是前级AC-DC变换器的输出电压,也是后级CLLLC谐振变换器的输入电压;width=18,height=15width=19,height=15分别为后级CLLLC谐振变换器的谐振腔输入电压和输出电压;width=12,height=15为负载侧输出电压;width=12,height=15为输入滤波电感;width=12,height=15width=13,height=15为Sepic斩波电路中的储能元件;width=13,height=15width=13,height=15为Zeta斩波电路中的储能元件;width=13.95,height=15为Sepic-Zeta电路共用的储能元件;width=15,height=15width=15,height=15为谐振电感;width=15,height=15为励磁电感;width=16,height=15width=16,height=15为谐振电容;width=13.95,height=15为输出侧支撑电容;T为高频变压器。

本文以实现宽增益OBC为控制目标,对后级双向CLLLC谐振变换器展开研究。为了能够直观地分析后级CLLLC谐振变换器的工作特性,高频变压器电压比n设为1。

2 OBC后级CLLLC变频调制原理

2.1 CLLLC变频调制工作原理

OBC后级双向CLLLC谐振变换器拓扑结构如图2所示,其中width=11,height=15width=12,height=15分别为变换器的输入、输出电压;width=12,height=15width=13.95,height=15分别为变换器的输入、输出滤波电 容;width=11,height=15width=13,height=15为高频变压器一次侧H桥的4个SiC MOSFET开关管,width=12,height=15width=12,height=15为高频变压器二次侧H桥的4个SiC MOSFET开关管;width=21,height=15width=22,height=15分别为SiC MOSFET开关管width=11,height=15width=12,height=15的反并联二极管;width=17,height=15width=17,height=15分别为SiC MOSFET开关管width=11,height=15width=12,height=15的寄生电容;width=13.95,height=15为负载电阻;width=8,height=15width=10,height=15分别为变换器输入输出电流;width=11,height=15width=12,height=15分别为二次侧的谐振电流;width=12,height=15为励磁电感电流。

width=233.5,height=99.25

图2 双向CLLLC谐振变换器拓扑结构

Fig.2 Topology diagram of the bidirectional CLLLC resonant converter

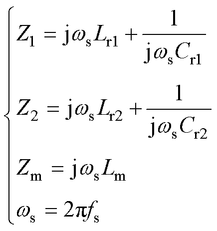
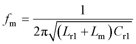
双向CLLLC谐振变换器工作过程中存在两个谐振频率,以正向工作为例,当能量经过高频变压器向输出侧传输时,二次侧谐振电感和谐振电容分别发生串联谐振,励磁电感不参与谐振,此时的谐振频率记作width=12,height=15;当能量不经过变压器向输出侧传输时,即变换器工作在死区时间内,此时励磁电感与一次侧谐振电感和谐振电容共同发生串联谐振,该情况下谐振频率记作width=15,height=15,两个谐振频率的计算式分别为

width=123,height=31.95 (1)
width=101,height=33 (2)

双向CLLLC谐振变换器最常用的调制方式为PFM,采用该调制方式时,变换器在不同的开关频率下表现出不同的工作状态,从而具有不同的输出电压增益。根据开关频率与两个谐振频率的大小关系,可将变换器工作状态划分为三种:欠谐振状态(width=55,height=15);准谐振状态(width=31,height=15);过谐振状态(width=31.95,height=15),由于过谐振状态会使得变换器效率下降,开关应力增大,因此需要避免工作在过谐振状态。以欠谐振为例分析CLLLC变换器的时序,如图3所示,其工作模式分析如图4所示。

width=159.6,height=133.8

图3 欠谐振状态工作波形

Fig.3 Under-resonance working waveforms

width=273.2,height=333.1

图4 双向CLLLC谐振变换器变频调制工作模态

Fig.4 Modal diagram of frequency modulation operation of bi-directional CLLLC resonant converter

工作模态1width=30,height=15:如图4a所示,width=9,height=15时刻,开关管width=11,height=15width=13,height=15仍然保持开通,一次侧谐振电流width=11,height=15与励磁电感电流width=12,height=15瞬时值相等,变压器二次侧谐振电流width=12,height=15降为零,二次侧开关管的反并联二极管width=22,height=15width=22,height=15自然实现ZCS。二次侧谐振电感width=15,height=15和谐振电容width=16,height=15不再参与谐振,变为width=15,height=15width=16,height=15width=15,height=15共同谐振,此时段width=11,height=15width=12,height=15近似认为相等,且增加的非常缓慢。width=10,height=15时刻,一次侧开关管width=11,height=15width=13,height=15关断,工作模态1 结束。

工作模态2width=31,height=15:如图4b所示,width=10,height=15时刻,一次侧开关管width=11,height=15width=13,height=15关断,变换器进入死区时间。width=11,height=15对寄生电容width=17,height=15width=17,height=15进行充电,漏源电压width=18,height=15width=18,height=15逐渐上升;同时width=11,height=15对寄生电容width=17,height=15width=17,height=15进行放电,漏源电压width=18,height=15width=18,height=15逐渐下降,谐振腔输入电压width=18,height=15也开始下降。width=10,height=15时刻,width=18,height=15width=18,height=15从0上升至width=13,height=15width=18,height=15width=18,height=15width=13,height=15下降至0,width=18,height=15width=13,height=15下降至width=19,height=15,工作模态2结束。

工作模态3width=31,height=15:如图4c所示,width=10,height=15时刻,寄生电容width=17,height=15width=17,height=15充放电结束。由于一次侧谐振腔电流width=11,height=15方向不会突变,且所有开关管处于关断状态,故width=11,height=15只能通过反并联二极管width=22,height=15width=22,height=15进行续流,且开关管width=13,height=15width=12,height=15的漏源电压变为0,为ZVS创造条件。二次侧谐振腔电流width=12,height=15通过反并联二极管width=22,height=15width=22,height=15进行续流,完成二次侧整流。width=10,height=15时刻,开关管width=13,height=15width=12,height=15实现ZVS,电路前半周期运行状态结束,后半周期工作模态与前半周期类似,此处不再详述。

2.2 CLLLC变频调制下电压增益特性

本文采用基波分析(First Harmonic Approximation, FHA)法对变换器的电压增益特性进行详细分析。由于双向CLLLC谐振变换器正反向工作原理相同,所以以正向工作为例进行分析,如图5所示为变换器的基波等效电路模型。

width=127.55,height=51

图5 基波等效电路模型

Fig.5 Fundamental equivalent circuit model

图5中,width=18,height=15width=18,height=15分别为谐振腔输入输出电压width=18,height=15width=19,height=15的基波分量,width=15,height=15width=16,height=15分别为二次侧谐振电感width=15,height=15和谐振电容width=16,height=15折算到一次侧的等效电感和等效电容,width=17,height=17为负载电阻折算到一次侧的等效电阻。将二次侧谐振参数和负载电阻折算到一次侧满足

width=60,height=87 (3)

又令

width=95,height=101 (4)

式中,width=12,height=15为开关频率;width=13,height=15为开关角频率。

由图5和式(4)可得CLLLC变换器基波等效电路的传递函数为

width=222,height=39(5)

为保证OBC参数设计的容差性,需保持正反向运行的电压增益特性相同,故本文中二次侧谐振参数对称,满足变压器折算关系,即

width=76,height=47 (6)

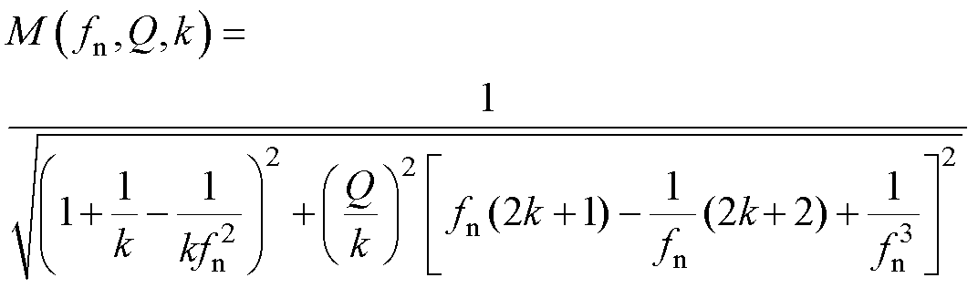
同时,定义k为电感系数,Q为品质因数,width=13,height=15为电路特征阻抗,width=13,height=15为归一化开关频率,则有

width=52,height=125 (7)

联立式(5)~式(7)可得CLLLC变换器电压增益M表达式为

width=234,height=69(8)

另外,根据变换器的基波等效电路,容易得出工作在谐振点时的二次侧谐振电流有效值,计算式分别为

width=138,height=42 (9)
width=165,height=42 (10)

通过式(9)和式(10)可以看出,励磁电感width=15,height=15的大小直接影响谐振电流大小,谐振电流越小,谐振腔的能耗越低,变换器的整体效率就越高,因此励磁电感width=15,height=15的设计与变换器损耗大小密切相关。

由式(8)可知,CLLLC变换器基波等效电路电压增益M与电感系数k、品质因数Q和归一化开关频率width=13,height=15均有关,当且仅当width=28,height=15时,电压增益M=1。而不同的电感系数k和品质因数Q对应不同的电压增益特性,因此,CLLLC变换器谐振参数设计的重点在于选择合适的kQ值以满足相应的设计指标。如图6所示为Q=0.3时,不同k值对应的电压增益特性曲线。

width=176.9,height=112.1

图6 Q=0.3时不同k值下变换器的电压增益特性曲线

Fig.6 Voltage gain characteristics of the converter with different k values when Q=0.3

结合式(7)、式(9)和式(10)综合分析可知,电感系数k越小,励磁电感width=15,height=15越小,二次侧谐振电流以及谐振回路的损耗均会增大,进而降低变换器的运行效率;而k越大,电压增益曲线越趋于平缓,特别在欠谐振区域,电感系数k太大会导致增益曲线不单调,使得变频调压的闭环控制受限。因此,k的取值需要综合考虑电压增益范围、增益曲线的单调性和变换器能耗大小,一般k取值在5~8之间。k=5时,不同Q值所对应的电压增益特性曲线如图7所示。

品质因数Q越小,在欠谐振区域对应的电压增益最大值越大,在过谐振区域电压增益曲线越平缓,只能通过增大开关频率来提升变换器降压能力;品质因数Q越大,在欠谐振区域的增益曲线越平缓,但较大的Q会导致曲线不单调,无法通过闭环控制实现调压,在过谐振区域Q越大,增益调节范围所需的开关频率变化范围越小。因此,对于Q的选取同样需要多方面考虑,以保证增益曲线的单调性和电压调节范围之间的平衡,一般Q取值在0.2~0.5之间。

width=183.6,height=112.1

图7 k=5时不同Q值下变换器的电压增益特性曲线

Fig.7 Voltage gain characteristics of the converter with different Q values when k=5

3 OBC后级CLLLC宽增益调制策略

3.1 CLLLC扩展移相调制工作原理

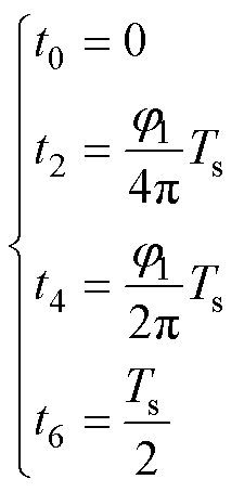
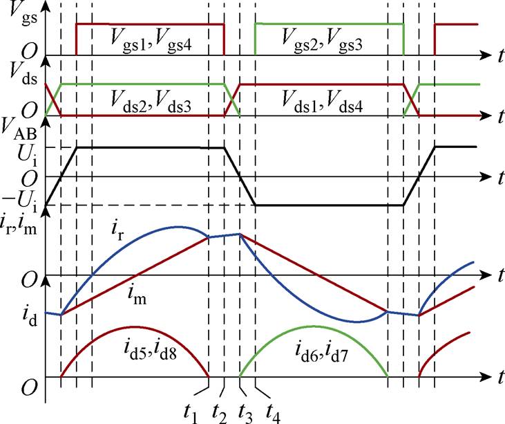
双向CLLLC谐振变换器采用PFM时存在降压运行时调压范围窄、运行效率低以及ZVS失效等问题,且在轻载运行时,如果仍然保持较高的开关频率,将导致开关损耗显著增加,进一步降低系统效率。因此本文采用EPS调制策略,对变换器进行分段调制,升压时采用PFM,降压时采用EPS调制,结合两种调制策略的优势,在保证宽电压增益的情况下提升变换器的效率。变换器采用EPS调制时始终工作在谐振频率width=12,height=15处,通过一次侧桥内和二次侧桥间的双移相来拓宽变换器的输出电压增益。记width=12,height=15为一次侧桥间移相角,width=13,height=15为二次侧桥间移相角,降压运行时,使width=38,height=15,保证谐振电流最小,变换器运行效率最高,且两个移相角大小关系固定,便于控制。图8所示为变换器降压运行时EPS调制下正向降压的工作波形。

双向CLLLC谐振变换器扩展移相调制工作模态如图9所示,t0t6时段为变换器EPS调制下正向降压的前半周期,前半周期与后半周期工作模态类似,这里以前半周期为例对变换器EPS调制下正向降压工作模态进行分析。

工作模态1width=30,height=15:如图9a所示,width=10,height=15时刻,开关管width=13,height=15关断,width=11,height=15width=13,height=15进入死区时间,width=12,height=15仍处于导通状态,谐振电流width=11,height=15经过开关管width=11,height=15的反并联二极管续流,并对width=11,height=15的寄生电容width=16,height=15放电,为开关管width=11,height=15的ZVS创造条件。谐振腔输入电压width=18,height=15为零,二次侧开关管width=12,height=15width=13,height=15导通,谐振腔输出电压width=19,height=15被钳位在width=20,height=15width=9,height=15时刻,开关管width=11,height=15的漏源电压降为零,实现ZVS,工作模态1结束。

width=146.65,height=158.4

图8 EPS调制下CLLLC谐振变换器正向降压工作波形

Fig.8 Forward buck waveform of CLLLC resonant converter under EPS modulation

width=262.95,height=491.35
width=268.45,height=102.6

图9 双向CLLLC谐振变换器扩展移相调制工作模态

Fig.9 The operating mode diagram of bidirectional CLLLC resonant converter with extended phase shift modulation

工作模态2width=30,height=15:如图9b所示,width=9,height=15时刻,开关管width=11,height=15零电压开通,同时width=12,height=15仍然处于导通状态,谐振腔输入电压width=18,height=15仍为零,谐振腔输出电压width=19,height=15仍为width=20,height=15,二次侧输出电压width=15,height=15能量向谐振腔传递,谐振电流width=12,height=15开始换向。width=10,height=15时刻,width=12,height=15由负变为正,工作模态2结束。

工作模态3width=31,height=15:如图9c所示,width=10,height=15时刻,一次侧与模态2相同,二次侧width=12,height=15width=13,height=15关断,进入死区时间,width=12,height=15由负变为正,通过开关管width=12,height=15width=12,height=15上的二极管完成整流,并对width=12,height=15width=12,height=15的寄生电容width=17,height=15width=17,height=15进行放电,为开关管width=12,height=15width=12,height=15的ZVS创造条件。谐振腔输入电压width=35,height=15,谐振腔输出电压width=19,height=15width=20,height=15变为width=15,height=15width=10,height=15时刻,开关管width=12,height=15width=12,height=15实现ZVS,工作模态3结束。

工作模态4width=31,height=15:如图9d所示,width=10,height=15时刻,一次侧与模态2相同,二次侧开关管width=12,height=15width=12,height=15实现ZVS,width=12,height=15正向流动并将谐振腔能量向负载传递,谐振腔输入电压width=18,height=15仍为0,谐振腔输出电压width=19,height=15=width=15,height=15width=10,height=15时刻,一次侧开关管width=12,height=15关断,工作模态4结束。

工作模态5width=31,height=15:如图9e所示,width=10,height=15时刻,二次侧与模态4相同,开关管width=12,height=15关断,谐振电流width=11,height=15流向不会突变,仍然保持反向流动,此时width=11,height=15只能通过开关管width=13,height=15的反并联二极管width=22,height=15续流,并对开关管width=13,height=15的寄生电容width=17,height=15进行放电,为开关管width=13,height=15的ZVS创造条件,谐振腔输入电压width=18,height=15仍为0,谐振腔输出电压width=19,height=15width=15,height=15width=10,height=15时刻,开关管width=13,height=15实现ZVS,工作模态5结束。

工作模态6width=31,height=15:如图9f所示,width=10,height=15时刻,二次侧与模态4相同,一次侧开关管width=13,height=15完成ZVS,此时width=11,height=15方向改变,谐振腔输入电压width=18,height=15由零变为width=13,height=15,谐振腔输出电压width=19,height=15仍为width=15,height=15,能量由变压器一次侧向二次侧传递。电路前半周期运行状态结束,后半周期工作模态与前半周期类似,此处不再详述。

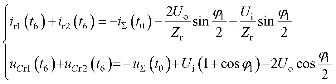
3.2 扩展移相调制ZVS分析

EPS调制可以实现很宽的电压范围,并且增益由移相角控制。但是移相角与负载会对软开关特性有着重要影响,因此在实现宽输出电压范围的同时需要兼顾全负载范围软开关,接下来对EPS调制的ZVS特性进行分析。软开关的实现过程如图10所示,本质上是谐振电流在死区时间内,对即将开通的MOSFET管的寄生电容放电,对即将关闭的MOSFET管的寄生电容充电。

width=88.65,height=97.5

图10 软开关实现过程

Fig.10 Implementation process of soft switching

width=10,height=15为死区时间,width=13,height=15为MOSFET管的寄生电容,要在死区时间内完成充放电,以开关管width=13,height=15为例,width=13,height=15在开通前,一次侧谐振电流width=11,height=15<0,在死区时间保持不变的情况下,width=13,height=15要在死区时间内完成放电,需要满足

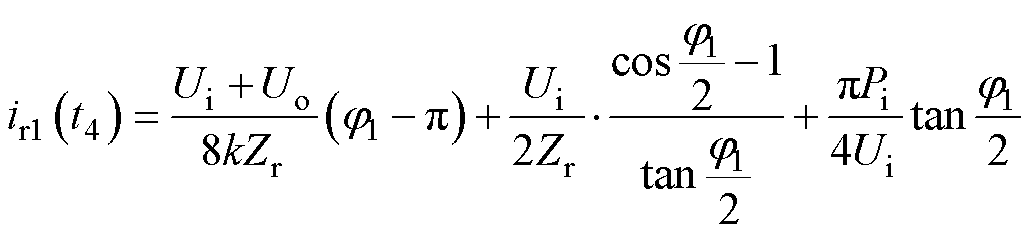
width=74,height=30 (11)

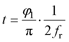
谐振变换器在EPS调制下的工作状态时间用移相角width=12,height=15表示为

width=49,height=99 (12)

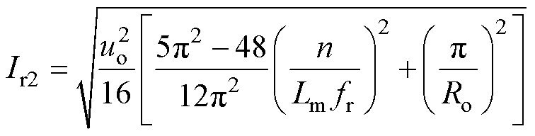
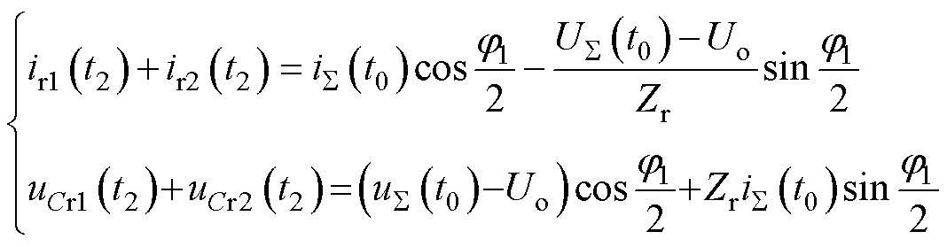
式中,width=11,height=15为开关周期,将谐振变换器在EPS调制的工作模态进行简化、建模,并代入式(12),得到width=10,height=15时刻的二次侧谐振电流、谐振电容电压之和的时域表达式分别为

width=233,height=60.95(13)

其中

width=96.95,height=17
width=114.95,height=17

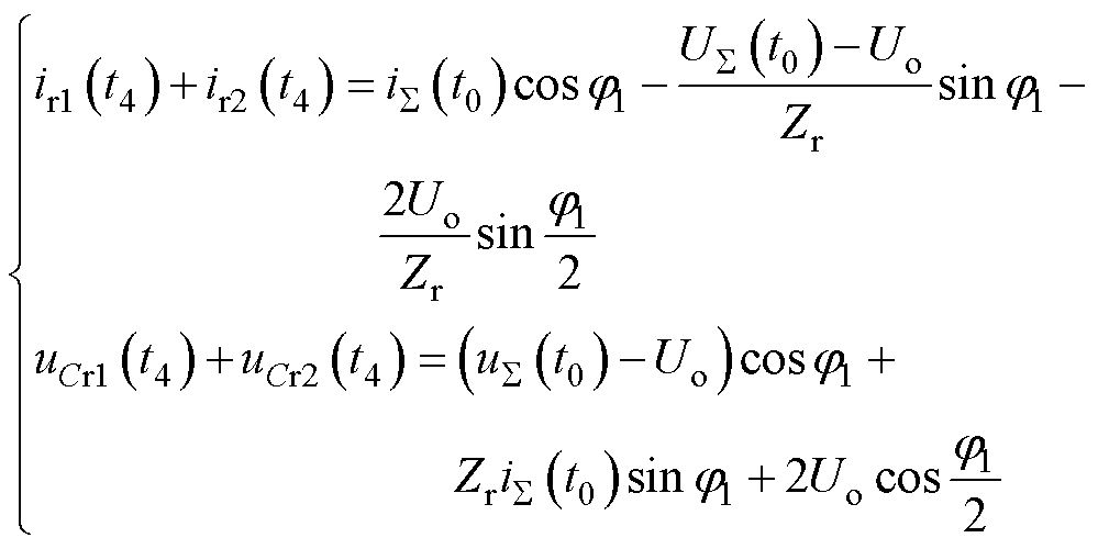
同理可得到width=10,height=15width=10,height=15时刻的二次侧谐振电流、谐振电容电压之和的时域表达式分别为

width=218,height=109(14)
width=235,height=59(15)

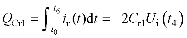
根据电容电荷平衡原理,width=13,height=15对二次侧谐振电容width=16,height=15充电的平均电流在半个周期内的积分即为二次侧谐振电容的放电电荷width=20,height=15,表示为

width=131,height=27 (16)

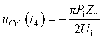
结合式(16),求得一次侧谐振电容在width=10,height=15时刻的电压值为

width=77,height=30 (17)

式中,width=11,height=15为一次侧输入电压width=13,height=15的平均功率,EPS工作在谐振频率处,其特征阻抗width=13,height=15

width=117,height=33 (18)

同理可得二次侧谐振电容在width=10,height=15时刻的电压为

width=80,height=30 (19)

式中,width=12,height=15为二次侧输出电压width=15,height=15的平均功率,根据式(17)和式(19)可得width=10,height=15时刻二次侧的电容电压之和为

width=121,height=33 (20)

谐振变换器在EPS调制下的增益特性为

width=49,height=27 (21)

若忽略变压器的传输损耗,可认为谐振网络两侧的功率相等,即width=11,height=15=width=12,height=15。且在width=10,height=15width=10,height=15时间段内,一次侧谐振电流很小,因此一次侧谐振电容上的电压近似不变,即width=78,height=17,同理有width=45,height=17 width=37,height=17,并结合式(13)、式(14)、式(16)可以得出width=10,height=15时刻二次侧谐振电流之和的表达式为

width=181,height=51 (22)

由于高频隔离变压器两端包含谐振元件,其电感width=15,height=15的电压width=19,height=15不会被两侧桥臂端口电压钳位,故width=19,height=15可近似表示为

width=72,height=27 (23)

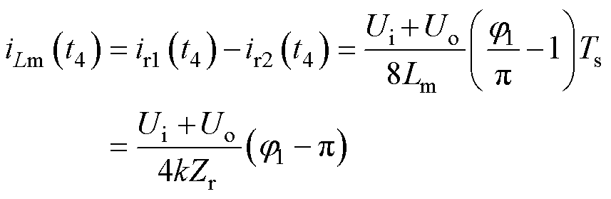
励磁电感电流width=16,height=15为二次侧谐振电流之差,根据电路在各个时刻的运行状态可以得到width=10,height=15时刻的励磁电流表达式为

width=186.95,height=60.95(24)

联立式(22)与式(24),计算出width=10,height=15时刻一次侧谐振电流width=11,height=15

width=225,height=51(25)

结合式(11),变换器的滞后桥臂软开关条件为

width=232,height=51(26)

3.3 CLLLC变频-扩展移相分段调制策略

通过分析PFM和EPS调制工作原理可知,变换器升压时工作在欠谐振状态,降压时则工作在过谐振状态,导致变换器输入输出电压范围很宽时,开关频率变化范围也很宽,不利于谐振元件的设计;且经过3.1节的分析可知,过谐振状态变换器能耗较大。因此,要尽可能避免使变换器工作在过谐振状态,便于设计体积更小的谐振腔,提高变换器的功率密度。

为了兼顾宽电压增益和高效率的控制目标,本文研究了一种PFM+EPS分段混合调制策略,其结合了PFM和EPS两种调制策略在不同工作状态下的优势,将PFM下过谐振部分替换为EPS调制的准谐振部分,避免变换器运行在过谐振状态。图11所示为后级双向CLLLC谐振变换器基于PFM+ EPS分段混合调制的控制框图。

width=198.1,height=144.1

图11 双向CLLLC谐振变换器基于PFM与EPS分段混合调制的控制框图

Fig.11 Control block diagram of bidirectional CLLLC resonant converter based on PFM and EPS segmented hybrid modulation

基于如图11所示的PFM+EPS分段混合调制的控制策略,当变换器增益M≥1时,采用PFM,将所需调节的开关频率width=12,height=15通过压控振荡器转换为对应频率的调制信号,进而得到一次侧开关管的驱动信号Vg1Vg4,占空比为50%不变,二次侧开关管均关断,由其反并联二极管完成不控整流。width=12,height=15计算式为

width=131,height=33 (27)

式中,width=19,height=17width=12,height=15的初始值,一般为了防止启动瞬间输出电容充电电流过大损坏电路,会采用降频软起方式启动变换器,width=19,height=17设定为(2~3)width=12,height=15width=22,height=17为PI调节器的比例系数;width=21,height=17为PI调节器的积分系数;width=28,height=17为升压时width=12,height=15width=21,height=15的误差。

当变换器增益M<1时,采用EPS调制,将移相角width=12,height=15转换为延时时间t,固定占空比的脉冲信号经过不同程度的延时分别得到一次侧和二次侧开关管的驱动信号,进而控制变换器一次侧和二次侧开关管的开通关断,其占空比均为50%,开关频率width=12,height=15始终等于谐振频率width=12,height=15。一次侧桥内移相角与二次侧桥间移相角满足width=38,height=15,保证变换器开关损耗最低。width=12,height=15的计算式为

width=130,height=33 (28)

式中,width=19,height=17width=12,height=15的初始值,计算式为

width=91,height=30 (29)

式中,width=21,height=17width=20,height=17分别为EPS调制下PI调节器比例和积分系数;width=27,height=17为降压时width=12,height=15width=21,height=15的误差。延时时间t表示为

width=49,height=30 (30)

4 OBC宽增益控制策略

车载充电机一般都将母线电压控制为恒定值,即后级CLLLC变换器的输入电压固定。但是设计宽电压增益的OBC时,固定的母线电压会使CLLLC变换器输入输出压差较大,导致开关频率width=12,height=15过多的偏离谐振频率width=12,height=15,带来过多的能耗使变换器运行效率降低。图12所示为传统恒定母线电压控制下CLLLC变换器正反向运行时的电压增益范围。可以看出,正反向运行的M最大范围为0.56~1.8,对应的PFM下M的最大范围为1~1.8,这将导致变换器开关频率变化范围过大降低其运行效率。

width=280,height=130.7

图12 恒定母线电压控制下双向CLLLC谐振变换器的电压增益范围

Fig.12 Voltage gain range of the bidirectional CLLLC resonant converter under constant bus voltage control

图13所示为恒定母线电压控制下k=5、Q=0.3时的电压增益特性曲线,其中黄色区域的宽度代表恒定母线电压控制时,PFM下开关频率的变化范围,可以看出k=5、Q=0.3时不能实现电压增益等于1.8的需求。

图14为变直流母线电压控制下CLLLC变换器正反向运行时的电压增益范围。与图10对比可知,虽然对应的PFM下M变化的最大范围减小为1~1.25,但是输出电压范围仍然为250~750 V。

width=187.5,height=111.25

图13 恒定母线电压控制下双向CLLLC谐振变换器的频率变化范围(k=5, Q=0.3)

Fig.13 Frequency variation range of bidirectional CLLLC resonant converter under constant bus voltage control (k=5, Q=0.3)

width=256,height=140.55

图14 变直流母线电压控制下双向CLLLC谐振变换器的电压增益范围

Fig.14 Voltage gain range of bidirectional CLLLC resonant converter under variable DC bus voltage control

图15为变直流母线电压控制下k=5、Q=0.3时的电压增益特性曲线,其中黄色区域的宽度代表变直流母线电压控制时,PFM下开关频率的变化范围。可以看出,在输出电压范围相同的情况下,变直流母线电压控制策略明显减小了变换器开关频率变化范围,仅在0.55~1.0的谐振频率范围内变化。

width=187.7,height=106.1

图15 变直流母线电压控制下双向CLLLC谐振变换器的频率变化范围(k=5, Q=0.3)

Fig.15 Frequency variation range of bidirectional CLLLC resonant converter under variable DC bus voltage control (k=5, Q=0.3)

根据上述对比分析,本文采用变直流母线电压控制策略,图16所示为变直流母线电压控制策略框,其中width=26,height=15为OBC母线电压给定值。以正向运行为例,当输出电压给定值为750 V时,OBC的直流母线电压控制在最大值600 V不变,此时电压增益为1.25;当输出电压给定值为250 V时,OBC的直流母线电压控制在最小值300 V不变,此时电压增益为0.833;当输出电压在300~600 V之间时,母线电压与输出电压相等,此部分电压增益为1。

width=233.6,height=41.8

图16 变直流母线电压控制策略框图(G2V模式)

Fig.16 Transformer DC bus voltage control strategy diagram (G2V mode)

5 实验验证

5.1 宽增益OBC样机搭建

为验证本文研究的控制策略的可行性和有效性,搭建了6.6 kW的OBC实验平台如图17所示,实验平台参数与上述选型设计和仿真参数保持一致。本文搭建的实验平台分为前级和后级两部分,前级AC-DC变换器实验平台主要包括网侧功率电感、开关管、散热器、驱动电路及驱动电源和直流母线电容。后级CLLLC谐振变换器实验平台主要包括基于STM32的控制板、HMI触摸屏、开关管、散热器、驱动电路及驱动电源、谐振电感、谐振电容、高频变压器和输出电容,前级的控制信号由控制板经过排线进行传输。实验平台主电路参数见 表2。

width=189,height=163.95

图17 宽增益OBC实验平台

Fig.17 Wide gain OBC experimental platform

表2 OBC变换器参数

Tab.2 OBC converter parameters

参 数数 值 输入侧功率电感L1/mH5 单相PWM整流器输出电容C1/mF3 300 Sepic-Zeta变换器电感L2/mH4 Sepic-Zeta变换器电感L3/mH4 Sepic-Zeta变换器电容C2/mF4 700 前级开关频率fs1/kHz100 后级最大开关频率fsmax/kHz250 OBC母线电容C3/mF2 460 二次侧谐振电感Lr1, Lr2/mH8 二次侧谐振电容Cr1, Cr2/nF147 励磁电感Lm/mH65 OBC输出滤波电容C4/mF410

5.2 基于变直流母线电压控制的OBC宽电压增益特性验证

本文设计的OBC输出电压范围为250~750 V,涵盖了目前中小型电动汽车所匹配的动力电池电压,仅需这一种OBC便可以满足各种型号的电动汽车使用,具有较强的适应性和灵活性,以下通过不同工况下的实验结果对所采用的控制策略对宽范围输出电压的影响进行分析。

5.2.1 G2V模式

(1)M =Mmax=1.25工况:G2V模式下,M=Mmax时OBC的主要输入输出波形如图18所示,此时OBC输出电压width=12,height=15给定值为750 V。从图18a可以看出,OBC网侧电压width=11,height=15与网侧电流width=9,height=15同相位,对应OBC母线电压width=17,height=15=width=30,height=15=600 V,输出电压width=12,height=15= 750 V,故PFM能够实现正向升压最大增益的目标,且母线电压width=17,height=15正好为其最大值600 V。此时后级采用PFM,工作在欠谐振区域,其谐振电流波形如图18b所示,与理论分析的欠谐振电流波形一致。由图18c可知,后级开关管能够实现ZVS,故OBC在输出电压最大增益点处能够高效运行。

width=202.7,height=119.25
width=269.4,height=236.45

图18 G2V模式下,M=Mmax时OBC的主要输入输出波形

Fig.18 OBC input and output waveforms in G2V mode when M=Mmax

(2)M=Mmin=0.83工况:G2V模式下,M=Mmin时OBC的主要输入输出波形如图19所示,此时OBC输出电压给定值为250 V。从图19a可以看出,OBC网侧电压width=11,height=15与网侧电流width=9,height=15同相位,对应OBC母线电压width=17,height=15=width=29,height=15=300 V,输出电压width=12,height=15=250 V,故EPS调制能够实现正向降压最小增益的目标,且母线电压正好为其最小值300 V。此时后级采用EPS调制,工作在准谐振点,其谐振电流波形如图19b所示,励磁电感电流为正弦波,与理论分析的准谐振电流波形一致。由图19c可知,后级二次侧开关管均实现了ZVS,保证了OBC在输出电压最小增益点处仍能高效运行。

width=198.8,height=241.85
width=281.75,height=127.25

图19 G2V模式下,M=Mmin时OBC的主要输入输出波形

Fig.19 OBC input and output waveforms in G2V mode when M=Mmin

5.2.2 V2G模式

(1)M=Mmax=1.2工况:V2G模式下,M=Mmax时OBC的主要输入输出波形如图20所示,此时OBC反向输入电压width=12,height=15=250 V。从图20a可以看出,OBC网侧电压width=11,height=15与网侧电流width=9,height=15相位正好相反,表示能量由负载侧向网侧流动。对应OBC反向输入电压width=12,height=15=250 V,母线电压width=17,height=15=width=29,height=15=300 V,故PFM能够实现反向升压最大增益的目标,且母线电压width=17,height=15正好为其最小值300 V。此时后级采用PFM,工作在欠谐振区域,其谐振电流波形如图20b所示,励磁电感电流为正弦波,与理论分析的准谐振电流波形一致。由图20c可知,反向运行时后级二次侧开关管均能实现ZVS,保证了OBC反向工作时的运行效率。

width=218.05,height=304.9

图20 V2G模式下,M=Mmax时OBC的主要输入输出波形

Fig.20 OBC input and output waveforms in V2G mode when M=Mmax

(2)M=Mmin=0.8工况:V2G模式下,M=Mmin时OBC的主要输入输出波形如图21所示,此时OBC反向输入电压width=12,height=15=750 V,OBC网侧电压width=11,height=15与网侧电流width=9,height=15相位正好相反,能量由负载侧向网侧流动。OBC反向输入电压width=12,height=15=750 V,母线电压width=17,height=15= width=29,height=15=600 V,故EPS调制能够实现反向降压最大增益的目标,母线电压为最大值600 V。此时后级工作在准谐振点,其谐振电流波形与理论分析的准谐振电流波形一致。由图21c可知,变压器二次侧开关管均实现了ZVS。

width=224.55,height=314.8

图21 V2G模式下,M=Mmin时OBC的主要输入输出波形

Fig.21 OBC input and output waveforms in V2G mode when M=Mmin

综合以上实验结果可知,本文设计的OBC实验平台以及采用的控制策略,能实现250~750 V的宽范围输出电压,且正反向运行均能实现全增益范围的软开关,达到了预期的控制目标。

5.3 动态稳定性验证

为验证本文所提出的控制策略的动态稳定性,以正向运行为例,设计了OBC负载突变实验,观察负载突变时前级PWM整流输出电压跌落和上升以及后级谐振变换器的输出变化。前级PWM整流器输出电压给定值均为400 V。

(1)M=Mmin=0.8,采用EPS调制时OBC负载突增突减工况:OBC负载突变的动态输出波形如图22所示,OBC给定输出uo=250 V,运行40 s时,负载由半载突增为满载,可以看出负载突增瞬间,前级PWM整流输出有较小的跌落,而后级谐振变换器在EPS的控制策略下,输出电压width=12,height=15稳定,未出现振荡或跌落,系统的抗扰性相对更强。

width=197,height=229.8

图22 OBC负载突变的动态输出波形

Fig.22 Dynamic output waveforms of OBC load mutation

M=Mmax=1.25时,采用PFM时OBC负载突增突减工况:图23所示为OBC负载突增突减的输出波形,OBC给定输出width=12,height=15=750 V,可以看出在负载突变瞬间前级PWM整流器输出电压width=11,height=15有略微跌落或上升,但后级谐振变换器以及输出电压没有受到前级输出不稳定的影响,一直稳定在给定值,OBC整体的抗扰性较强。

5.4 OBC效率分析

图24为前级均采用快速动态响应控制,后级谐振变换器工作在降压模式下的OBC效率。图24a为G2V模式下,OBC输出电压width=12,height=15=250 V,母线电压width=17,height=15=300 V。图24b为V2G模式下,OBC反向输入电压width=12,height=15=750 V,母线电压电压width=17,height=15=300 V。从图24中曲线走势可知,轻载时EPS效率更高,重载时PFM效率更高。故后级采用EPS调制策略能有效提高降压轻载效率。

width=171.5,height=99.1

图23 OBC负载突增突减的动态输出波形

Fig.23 Dynamic output waveforms of sudden increase and decrease of OBC load

width=234.15,height=346.55

图24 OBC后级采用不同控制策略下运行效率

Fig.24 Running efficiency of the OBC backward stage with different control policies

6 结论

本文基于一种新型的两级式OBC拓扑结构,致力于后级双向CLLLC谐振变换器拓宽电压增益和提高效率。提出了一种基于变直流母线电压控制的变频与扩展移相分段混合调制策略,该方法采用的变频与扩展移相分段混合调制,在增益M<1时采用扩展移相调制,改善传统PFM降压运行时的开关频率变化范围宽,轻载运行效率低等问题,且相较于单独调制策略能有效拓宽输出电压增益。分析了变直流母线电压控制策略对比传统恒定母线电压控制对开关频率变化范围的影响,从减小开关频率变化范围的角度,提升了变换器的运行效率。最后基于SiC MOSFET搭建了一个6.6 kW的实验平台,验证了所提出的控制策略在250~750 V的宽输出电压范围。实验结果表明,该控制策略在宽范围调压、高效运行、系统稳定性和控制简化等方面具有显著优势,从而提高了OBC的适应性和灵活性。

参考文献

[1] Wouters H, Martinez W. Bidirectional onboard chargers for electric vehicles: state-of-the-art and future trends[J]. IEEE Transactions on Power Elec- tronics, 2024, 39(1): 693-716.

[2] 王晓姬, 王道涵, 王柄东, 等. 电动汽车驱动/充电一体化系统及其控制策略综述[J]. 电工技术学报, 2023, 38(22): 5940-5958.

Wang Xiaoji, Wang Daohan, Wang Bingdong, et al. A review of drive-charging integrated systems and control strategies for electric vehicles[J]. Transa- ctions of China Electrotechnical Society, 2023, 38(22): 5940-5958.

[3] Lipu M S H, Faisal M, Ansari S, et al. Review of electric vehicle converter configurations, control schemes and optimizations: challenges and sug- gestions[J]. Electronics, 2021, 10(4): 477.

[4] Safayatullah M, Elrais M T, Ghosh S, et al. A comprehensive review of power converter topologies and control methods for electric vehicle fast charging applications[J]. IEEE Access, 2022, 10: 40753- 40793.

[5] Ta L A D, Dao N D, Lee D C. High-efficiency hybrid LLC resonant converter for on-board chargers of plug-in electric vehicles[J]. IEEE Transactions on Power Electronics, 2020, 35(8): 8324-8334.

[6] Manickam V K, Dhayalini K. Hybrid optimized control of bidirectional off-board electric vehicle battery charger integrated with vehicle-to-grid[J]. Journal of Energy Storage, 2024, 86: 111008.

[7] 汪治, 於锋, 朱志豪. 低电压纹波单相电驱重构型车载充电机研究[J]. 电源学报, 2025, 23(1): 59-66.

Wang Zhi, Yu Feng, Zhu Zhihao. Single-phase electric drive reconstructed onboard charger with low voltage ripple[J]. Journal of Power Supply, 2025, 23(1): 59-66.

[8] 吴维鑫, 张钟艺, 肖晓森, 等. 基于时域分析的CLLC谐振变换器参数优化设计[J]. 电力系统保护与控制, 2023, 51(14): 139-151.

Wu Weixin, Zhang Zhongyi, Xiao Xiaosen, et al. Parameter optimization design of a CLLC resonant converter based on time domain analysis[J]. Power System Protection and Control, 2023, 51(14): 139- 151.

[9] Wang Yadong, Zhao Wencheng, Liu Bangyin, et al. Optimal design of resonant network for resonant converter[J]. IEEE Transactions on Industry Appli- cations, 2022, 58(6): 7469-7478.

[10] 王翌琛, 王丰, 卓放, 等. 基于过谐振调频扩展移相控制的CLLC谐振变换器电流优化策略[J]. 电力系统自动化, 2025, 49(3): 178-188.

Wang Yichen, Wang Feng, Zhuo Fang, et al. Current optimization strategy for CLLC resonant converter based on over-resonant frequency modulation and extended phase-shift control[J]. Power System Pro- tection and Control, 2025, 49(3): 178-188.

[11] Zhang Xiangjun, Tang Weiming, Liu Hao, et al. Design and modeling of CLLC converter for bidirectional on-board charger[J]. IEEE Transactions on Industry Applications, 2023, 59(5): 6095-6102.

[12] Li Xiaoqiang, Huang Jinwei, Ma Yongchao, et al. Unified modeling, analysis, and design of isolated bidirectional CLLC resonant DC-DC converters[J]. IEEE Journal of Emerging and Selected Topics in Power Electronics, 2022, 10(2): 2305-2318.

[13] 李小双, 田钦元, 王正仕. 双向CLLLC谐振变换器的混合控制策略[J]. 电力电子技术, 2022, 56(6): 111-114, 140.

Li Xiaoshuang, Tian Qinyuan, Wang Zhengshi. Hybrid control strategy of bidirectional CLLLC resonant converter[J]. Power Electronics, 2022, 56(6): 111-114, 140.

[14] Xue Bo, Wang Haoyu, Liang Junrui, et al. Phase-shift modulated interleaved LLC converter with ultrawide output voltage range[J]. IEEE Transactions on Power Electronics, 2021, 36(1): 493-503.

[15] Tang Xinxi, Xing Yan, Wu Hongfei, et al. An improved LLC resonant converter with reconfigurable hybrid voltage multiplier and PWM-plus-PFM hybrid control for wide output range applications[J]. IEEE Transactions on Power Electronics, 2020, 35(1): 185-197.

[16] 周国华, 王淇, 邓伦博. 宽增益高效率CLLLC变换器的变频双移相调制策略[J]. 电工技术学报, 2024, 39(8): 2511-2522.

Zhou Guohua, Wang Qi, Deng Lunbo. Frequency conversion and double phase shift modulation strategy for wide gain and high efficiency CLLLC converter[J]. Transactions of China Electrotechnical Society, 2024, 39(8): 2511-2522.

[17] 邓钦瑞, 何英杰, 雷超, 等. CLLLC谐振变换器变频移相混合控制方法[J]. 电力自动化设备, 2022, 42(2): 148-154.

Deng Qinrui, He Yingjie, Lei Chao, et al. PFM+PSM hybrid control of CLLLC resonant converter[J]. Electric Power Automation Equipment, 2022, 42(2): 148-154.

[18] Farias Martins L, Stone D, Foster M. Modelling of phase-shift modulated bidirectional CLLC resonant converter[J]. IET Power Electronics, 2020, 13(12): 2628-2637.

[19] Zhu Tianhua, Zhuo Fang, Zhao Fangzhou, et al. Optimization of extended phase-shift control for full-bridge CLLC resonant converter with improved light-load efficiency[J]. IEEE Transactions on Power Electronics, 2020, 35(10): 11129-11142.

[20] Meinagh F A A, Min J, Ordonez M, et al. Improved triple-phase-shift modulation for bidirectional CLLC converters[J]. IEEE Transactions on Power Elec- tronics, 2023, 38(6): 7348-7361.

[21] Chen Huan, Wang Leheng, Sun Kai, et al. A switching delay strategy for sensorless synchronous rectification in CLLC converters[J]. IEEE Transa- ctions on Power Electronics, 2024, 39(1): 280-293.

[22] 徐菁涛, 许国, 孙尧, 等. 耦合电感集成型谐振变换器及其自适应频率控制[J]. 电工技术学报, 2023, 38(4): 998-1009.

Xu Jingtao, Xu Guo, Sun Yao, et al. Coupled inductor integrated resonant converter with adaptive frequency control[J]. Transactions of China Electrotechnical Society, 2023, 38(4): 998-1009.

[23] 黄何伟, 曹太强, 潘光绪, 等. 考虑回流功率因素的全桥CLL谐振变换器参数优化设计[J]. 电工技术学报, 2023, 38(20): 5503-5514.

Huang Hewei, Cao Taiqiang, Pan Guangxu, et al. Parameter optimal design of full-bridge CLL resonant converter considering backflow power factor[J]. Transactions of China Electrotechnical Society, 2023, 38(20): 5503-5514.

[24] 高祎韩, 周子航, 张欣, 等. 双有源桥串联欠谐振变换器的最小回流电流控制[J]. 电工技术学报, 2024, 39(14): 4480-4494.

Gao Yihan, Zhou Zihang, Zhang Xin, et al. Minimum backflow current control of under-resonant-dual- bridge-series-resonant converter[J]. Transactions of China Electrotechnical Society, 2024, 39(14): 4480- 4494.

[25] 陈庆华, 吴克, 邱荣禄, 等. 一种具有高容错能力的改进型LLC拓扑及其控制策略[J]. 电源学报, 2024, 22(3): 165-171.

Chen Qinghua, Wu Ke, Qiu Ronglu, et al. Improved LLC topology with high fault tolerance capability and its control strategy[J]. Journal of Power Supply, 2024, 22(3): 165-171.

Research on Wide Gain Vehicle Charger Based on CLLLC Frequency Conversion Extended Phase Shift Segment Modulation

Wang Jianyuan Guo Junling Yan Jin Sun Xiangdong

(School of Electrical Engineering Xi’an University of technology Xi’an 710049 China)

Abstract In recent years, the market share of electric vehicles has been expanding. The development of on-board charger (OBC) provides an efficient, convenient and safe charging solution for electric vehicles. With the improvement of charging technology and the increase of vehicle battery capacity, the optimal design of OBC has become an important link in the electric vehicle industry chain. Aiming at the four major challenges of OBC technology: high power density, high efficiency, wide voltage gain, and multi-function, this paper focuses on the key issue of “wide voltage gain”, and explores how to achieve a wider voltage gain range to improve charging efficiency and flexibility.

Based on the comparison and analysis of the existing OBC topologies and its functional characteristics, this paper investigates a new bidirectional two-stage isolated topology, including a front-end bidirectional AC-DC converter and a back-end bidirectional DC-DC converter. The front stage is composed of a single-phase PWM rectifier and a Sepic-Zeta DC-DC converter, and the back stage is a bidirectional CLLLC resonant converter. The proposed topology can effectively adapt to the charging requirements under different battery voltage levels while ensuring bidirectional energy flow. The following section will focus on the analysis of the back-end bidirectional CLLLC resonant converter. As a critical component of the overall topology, the design of this converter is aimed at ensuring high-efficiency power conversion across a wide range of loads.

The bidirectional CLLLC converter can achieve high-efficiency power conversion over a wide range of loads. The voltage gain model of the CLLLC resonant converter, established using the fundamental harmonic approximation (FHA) method, can be utilized to analyze the characteristics or design parameters of the CLLLC resonant converter. Based on the gain characteristic curves, the impact of the DC bus voltage on the operating point is analyzed. Consequently, by adopting variable DC bus voltage control, the range of switching frequency variation can be significantly reduced while ensuring a wide range of output voltages. To address the issues of low efficiency in buck-type with pulse frequency modulation (PFM) and high return power and narrow gain in single phase shift (SPS) modulation in the bidirectional CLLLC resonant converter, a segmented hybrid modulation strategy combining “Frequency conversion+Extended Phase Shift” has been investigated. When M≥1, PFM is employed to control the output power efficiently, while extended phase shift (EPS) modulation is utilized when M<1. The conditions for achieving zero-voltage switching (ZVS) under EPS modulation are analyzed. Combined with the variable DC bus voltage control strategy, this approach significantly reduces the range of switching frequency variation, extends the output voltage range, and achieves the objectives of wide voltage gain and high-efficiency control.

Finally, the proposed topology and control strategy were simulated and verified in Matlab/Simulink software, and the software and hardware design of OBC were completed. Based on the STM32H750VBT6 controller, a 6.6 kW OBC experimental platform was built for experimental verification. From the experimental results, it is evident that the control strategy exhibits strong robustness against disturbances, achieving a wide output voltage range from 250 V to 750 V. Both forward and reverse operations enable soft switching across the entire gain range, meeting the anticipated control objectives. The segmented hybrid modulation strategy further enhances the overall efficiency of the system.

keywords:On-board charger, bidirectional CLLLC resonant converter, pulse frequency modulation, extended phase shift modulation

中图分类号:TM46

DOI: 10.19595/j.cnki.1000-6753.tces.241310

国家自然科学基金资助项目(51577155)。

收稿日期 2024-07-22

改稿日期2024-10-16

作者简介

王建渊 男,1973年生,副教授,硕士生导师,研究方向为能源互联变换器、同步电机控制等。E-mail: wangjianyuan2003@163.com

郭俊玲 女,1999年生,硕士研究生,研究方向为电力电子与电力传动。E-mail: 17378588556@163.com(通信作者)

(编辑 陈 诚)