质子交换膜燃料电池基于老化特征的剩余使用寿命混合预测方法

徐 冰 张 敏 杨文涛 张领先

(北京四方继保自动化股份有限公司 北京 100085)

摘要 针对质子交换膜燃料电池(PEMFC)的剩余使用寿命(RUL)预测问题,提出一种基于老化特征的混合预测方法。PEMFC整个生命周期内的老化特征可以分解为整体老化特征、电压波动特征和电压恢复特征。针对整体老化特征,首先利用平方根无迹卡尔曼滤波(SRUKF)进行预测;针对恢复电压特征,使用二阶RQ-RLC等效电路模型拟合电化学阻抗谱数据,获得恢复电压和时间的间接联系;针对电压波动特征,使用Xception-长短期记忆(LSTM)神经网络进行训练和预测。最后将三种老化特征的预测结果相叠加并计算PEMFC的RUL预测结果。基于两组工况数据验证,结果表明,相比SRUKF和Xception-LSTM独立预测,混合预测方法的精度提高了约20%。

关键词:质子交换膜燃料电池 寿命预测 老化特征 混合预测 二阶RQ-RLC等效电路模型 Xception-长短期记忆

0 引言

在众多可再生能源中,质子交换膜燃料电池(Proton Exchange Membrane Fuel Cell, PEMFC)具有无污染、工作效率高、噪声低等优点,持续受到工业界和学术界的关注[1]。然而,由于其性能会发生暂时或者永久性退化,因此对其进行老化行为分析以及剩余使用寿命(Remaining Useful Life, RUL)预测尤为重要。

RUL预测从大方向上可以分为模型驱动、数据驱动和混合驱动三种[2]。模型驱动方法是对PEMFC运行过程中出现的非线性特征建模表征,其优点[3]是对数据进行滤波平滑重构,并使用粒子滤波和遗传算法实现RUL预测。Liu Hao等[4]提出了一种基于自适应无迹卡尔曼滤波算法的模型预测方法,解决了初始参数设置问题。Ou Mingyang等[5]基于PEMFC内部组件的老化过程建立了老化模型,同时引入恢复因子表征PEMFC启停的状态变化。

数据驱动方法一般过程为数据处理以及数据模型创建,不需要搭建复杂的物理模型,但难以直观反映老化过程。Li Songyang等[6]利用双向长短期记忆(Long Short Term Memory, LSTM)神经网络和门控循环单元神经网络提取数据特征,输入回声状态网络(Echo State Network, ESN)中经线性拟合实现预测。Jin Jiashu等[7]利用跳跃模式的特性对ESN进行改进,提高了预测的准确性和鲁棒性。He Kai等[8]将最小绝对收缩和选择算子与ESN相结合,评估输入参数对PEMFC预测的贡献程度。

混合预测方法利用PEMFC老化机理建模并结合数据驱动以提高预测精度。Ma Rui等[9]利用扩展卡尔曼滤波预测老化趋势并提取老化参数,结合LSTM预测的波动趋势实现RUL预测,但没有考虑恢复现象导致的电压突变。Liu Hao等[10]利用自适应神经模糊推理系统实现第一阶段预测,再结合自适应无迹卡尔曼滤波实现第二阶段的RUL预测,但长期预测结果缺乏波动细节。

基于以上研究,为了在提升RUL预测精度的同时兼顾波动细节,本文提出了一种基于老化特征的混合预测方法。首先分解老化数据为整体老化趋势、电压波动和电压恢复三大特征,并分别通过平方根无迹卡尔曼滤波(Square Root Unscented Kalman Filter, SRUKF)、深度可分离卷积网络Xception- LSTM和电化学阻抗谱(Electrochemical Impedance Spectroscopy, EIS)拟合二阶RQ-RLC模型实现长期预测,将三大特征预测值叠加并计算RUL预测值。最后基于两组工况数据进行验证,结果表明该方法能兼顾高RUL预测精度和波动细节。

1 PEMFC老化实验

1.1 老化实验介绍

本文采用法国FALAB实验室在2014年公开的PEMFC运行监测数据来验证本文所提的RUL混合预测方法,电堆由5个有效面积为100 cm2的电池单体构成[11]。根据工作条件将电堆数据分为FC1和FC2,其中FC1是在70 A恒定电流下进行老化测试,FC2是在70 A恒流上叠加高频振动电流进行老化测试,即FC1为静态工况,FC2为动态工况[12]

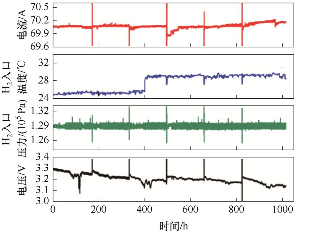
在老化实验过程中持续监测参数,如电压、电流、温度等,约每7天进行一次特性化实验,包括极化曲线和EIS测量。选取两种工况下电堆的部分监测参数,包括电压、电流、温度和压力,并绘制其随时间的变化曲线如图1和图2所示。

通过图1和图2中变化趋势以及对老化数据的相关性分析,电压与时间的负相关系数为-0.952 5,而其他维度的相关性不强,这说明仅电压数据会随着时间的变化而变化,可以用于表征燃料电池的性能衰退过程,因此本文选择电压数据作为老化特征。

1.2 老化特征分类

对PEMFC的电压数据开展特征分析,以FC1为例,其电压特征如图3所示。可以观察到,电压数据隔段时间就会出现明显的恢复现象,这是每周的特性化实验导致的。但是电堆电压整体上呈现下降趋势,这反映了电堆的不可逆老化。同时,电堆运行会受到实验条件和外部环境的影响,其输出电压会出现波动,反映了电堆的可逆老化[13]。因此,本文根据电压老化数据的整体老化、电压波动和电压恢复三种特征,开展PEMFC的RUL预测。

width=218.7,height=167.75

图1 FC1参数变化趋势

Fig.1 Parameters changing trend of FC1

width=218.7,height=163.7

图2 FC2参数变化趋势

Fig.2 Parameters changing trend of FC2

width=218.7,height=139.25

图3 FC1电压老化特征分析

Fig.3 Analysis of FC1 voltage aging characteristics

2 混合预测方法

本文提出一种基于老化特征的混合预测方法,将老化数据分解为老化趋势特征、波动特征和恢复特征。针对三种特征,分别使用SRUKF、Xception- LSTM和二阶RQ-RLC等效电路模型拟合EIS数据进行预测,最后叠加三种特征预测值得到最终的长期预测结果,并计算RUL预测值。

2.1 SRUKF算法

SRUKF改进了原有的状态估计和协方差矩阵计算方式,采用平方根分解的方法,实现了对协方差矩阵的精准估计[14]。相较于传统无迹卡尔曼滤波(Unscented Kalman Filter, UKF),SRUKF融入平方根信息理论,在执行无迹变换过程中,无需进行状态误差协方差矩阵计算与求逆操作,有效地规避了舍入误差干扰及正定性难题,显著优化了滤波性能。

在模拟PEMFC老化过程方面,暂不考虑电压波动与恢复带来的影响,本文引入对数线性经验模型,将PEMFC老化机制解构为对数成分与线性成分的复合形式,能够较为准确地表现PEMFC实际退化特征[15]。其状态方程和观测方程分别为

width=180.7,height=17 (1)

width=53,height=14.95 (2)

式中,xkk时刻的系统状态变量;tkk时刻老化持续时长;width=12.25,height=14.95width=14.25,height=14.95为模型参数,其数值通过训练数据集拟合确定;wkk时刻系统噪声;ykk时刻观测值;vkk时刻观测噪声。

2.2 Xception网络

Xception是Google提出的一种卷积神经网络模型,由Inception模型[16]发展而来,其核心理念在于结构分解与功能解耦。该模型借助多尺度卷积操作,实现对多层次、多维度信息的高效提取,其架构细节如图4所示。显而易见,Xception模型具有参数少、计算量小且精度高的突出优势[17]

width=198.35,height=119.55

图4 Xception深度可分离卷积运算结构

Fig.4 Xception depth separable convolution arithmetic structures

在Xception神经网络架构中,首层卷积运算采用1×1规格的卷积核提取图像特征,并经过批量归一化与ReLU激活函数的非线性变换后,生成具备不同特征表达的多层卷积特征图。随后,全局平均池化层聚合空间维度信息,将最终形成的特征图有效降维,转化为可供后续任务使用的特征向量。

2.3 LSTM网络

与传统循环神经网络(Recurrent Neural Network, RNN)相比,LSTM通过设计输入门、遗忘门和输出门这三种门控结构,构建精细化的信息处理机制。这些门控单元能够动态调节信息的流入、保留与输出,使网络具备选择性遗忘历史信息的能力,有效克服了传统RNN在处理长序列时易出现的梯度消失或梯度爆炸的问题[18]。此外,凭借门控机制的协同运作,LSTM能够高效处理包含多时间尺度特征的数据,在时序数据建模与分析中实现更精准的特征提取和模式识别。

PEMFC的RUL预测问题是一个时序预测问题,需要对连续的序列数据进行建模[19]。同时,PEMFC的老化数据存在较大的噪声和不确定性,LSTM网络可以自适应地学习数据的特征,对噪声和不确定性具有一定的容忍度。

2.4 二阶RQ-RLC模型拟合EIS数据

使用二阶RQ-RLC等效电路模型拟合EIS数据,从而获得特定模型参数,并建立与恢复电压的联系[20]。将FC1和FC2的EIS测量数据绘制成奈奎斯特图,分别如图5和图6所示,圆心表示电化学系统的内阻,圆弧表示电化学界面的阻抗,弧的半径表示界面的反应速率[21]

width=214.65,height=129.75

图5 FC1的EIS数据的奈奎斯特图

Fig.5 Nyquist plot of EIS data for FC1

width=214.65,height=131.75

图6 FC2的EIS数据的奈奎斯特图

Fig.6 Nyquist plot of EIS data for FC2

本文采用二阶RQ-RLC模型对质子交换膜燃料电池的电化学反应过程进行等效建模[22-23],模型结构如图7所示。在该模型中,与欧姆电阻Rm串联的电感Lm能够有效表征高频段下的电化学反应特性;恒相位元件(Constant Phase Element, CPE)的阻抗表达式为ZCPE=(jw)-a,其中,w为角频率,a为CPE的特征指数,其阻抗与频率的对应关系可通过奈奎斯特图直观地呈现。此外,模型中Rct为电极反应过程中的电荷转移电阻;Rmt为浓差极化效应产生的电阻;Lmt为浓差极化相关电感;Cdl为双层电容。

width=198.35,height=63.85

图7 二阶RQ-RLC模型

Fig.7 Second-order RQ-RLC model

基于EIS数据,对二阶RQ-RLC模型进行参数辨识,得到FC1和FC2工况下的辨识参数分别见表1和表2。由于电容和电感取决于电池的物理结构和材料参数,而CPE通常由反应界面的物理化学性质决定,即这些元件的值不会随着PEMFC的工况而变化。为了增强辨识的稳定性,先辨识这4个参数并取均值,再辨识其他的参数。表中,Rpol为零频率下的低频截距电阻,其计算公式为

width=63.85,height=17 (3)

表1 FC1工况下辨识的模型参数

Tab.1 Model parameters identified under FC1 conditions

时刻/hRmt/WRm/WRct/WRpol/W 00.003 020.004 910.008 100.013 01 480.002 870.004 810.008 250.013 06 1850.003 140.004 840.008 680.013 52 3480.003 200.004 860.008 730.013 59 5150.003 290.004 890.008 860.013 75 6580.003 500.005 000.008 920.013 92 8230.003 530.004 990.009 170.014 16 9910.003 310.005 010.008 840.013 85

表2 FC2工况下辨识的模型参数

Tab.2 Model parameters identified under FC2 conditions

时刻/hRmt/WRm/WRct/WRpol/W 00.002 250.004 430.009 320.013 75 350.002 430.004 460.009 680.014 14 1820.002 530.004 520.010 050.014 57 3430.002 620.004 530.010 150.014 68 5150.002 910.004 610.010 640.015 25 6660.002 960.004 670.009 810.014 48 8300.003 050.004 660.010 920.015 58 1 0160.003 450.004 650.011 700.016 35

将辨识出的参数输入等效电路模型中,得到FC1和FC2工况在4个时刻的等效电路响应与实测EIS数据的拟合效果,分别如图8和图9所示。图中,Z为二阶RQ-RLC等效电路模型的总阻抗。EIS在低频段的拟合误差显著偏大,其原因主要有:①在低频段,PEMFC阳极的钝化层可能对系统的阻抗响应产生影响;②低频段时PEMFC内部的水传输受到限制;③PEMFC中的氢气和氧气分布不均匀。

width=240.45,height=180.7

图8 FC1工况下EIS拟合结果

Fig.8 EIS fitting results under FC1 condition

width=244.55,height=184.1

图9 FC2工况下EIS拟合结果

Fig.9 EIS fitting results under FC2 condition

2.5 恢复电压预测

只有在每次进行特性化实验的时候,才会出现恢复电压,因此通过分析表1和表2中辨识电阻的变化规律,确定恢复电压Urec与电池内部的阻抗以及运行时间T之间的耦合关系。通常用零频率下的低频截距电阻Rpol来表征电池内部的阻抗,辨识的Rpol与特性化实验测试点的电压Urec对比见表3。

根据表3中的数据观察可知,Rpol与时间T呈现显著的线性关联特性,FC1工况下,RpolT之间的定量关系可由式(4)准确描述,UrecRpol之间的关系则通过式(5)予以表征。

width=126.35,height=19 (4)

width=107.3,height=17 (5)

表3 RpolUrec对照表

Tab.3 Comparison table between Rpol and Urec

FC1FC2 T/hUrec/VRpol/WT/hUrec/VRpol/W 03.3560.013 0103.3240.013 75 483.3590.013 06353.2930.014 13 1853.3050.013 521823.2520.014 56 3483.3000.013 663433.2490.014 68 5153.2820.013 765153.2330.015 25 6583.2620.013 936663.2070.014 47 8233.2410.014 168303.1780.015 57 9913.2510.013 851 0163.1610.016 34

同理,FC2工况下,Rpol与时间T的线性关系如式(6)所示,UrecRpol的线性关系如式(7)所示。

width=126.35,height=19 (6)

width=105.3,height=17 (7)

根据式(4)~式(7)给定的线性关系,分别在FC1和FC2工况下进行恢复电压和低频截距电阻的预测,结果见表4,并与表3中的实际值进行比较。可以看出,FC1电压和截距电阻的预测误差均小于FC2,这是因为FC2为动态工况,需要考虑更多的非线性因素,增加了预测难度。

表4 恢复电压和截距电阻预测

Tab.4 Recovery voltage and intercept resistance prediction

FC1FC2 T/hUrec_ pre/VRpol_ pre/WT/hUrec_ pre/VRpol_ pre/W 6583.2600.013 916663.2500.015 43 8233.2440.014 068303.1940.015 61 9913.2690.014 211 0163.1560.015 74

2.6 混合预测策略

混合预测方法整体框架如图10所示,该框架主要包括三个模块:电压老化趋势分析模块、电压波动分析模块和恢复电压分析模块。实现步骤如下:

(1)电压老化数据的采集与预处理。对采集到的PEMFC数据进行预处理,包括过程噪声处理、离群值处理以及时间戳重构。

(2)电压老化特征预测。使用PEMFC经验模型表征退化趋势,并使用SRUKF输出未来电压老化趋势Utrend

(3)电压波动特征预测。该模块使用电压波动特征数据集充分训练Xception-LSTM模型,并用于电压波动特征Ufluc的长期预测。

(4)EIS测试数据采集。每间隔一段时间收集长期耐久性实验中特征时间点对应的电堆EIS数据。

(5)恢复电压特征预测。基于EIS数据辨识二阶RQ-RLC模型参数,并进一步构建电阻参数与恢复电压Urec的关系。

width=426.55,height=220.1

图10 混合预测方法整体框架

Fig.10 A holistic framework for hybrid forecasting methods

(6)将三种特征预测结果叠加,得到老化电压特征值的长期预测结果Upre,叠加过程见式(8),并根据老化电压阈值计算RUL预测值。

width=107.3,height=17 (8)

3 短期预测结果

短期预测聚焦捕捉燃料电池在较短时间跨度内的性能动态演变过程[24],对燃料电池的状态进行实时监控和诊断,本文短期预测步长均为1 h。

3.1 短期预测评价指标

常见的短期预测性能评估指标[25]有方均根误差(Root Mean Square Error, RMSE)、平均绝对误差(Mean Average Error, MAE)和平均绝对百分比误差(Mean Absolute Percentage Error, MAPE)。

ERMSE通过计算预测值与实际观测值间偏差的平方均根,量化模型预测精度,其值越小表明拟合效果越优,公式为

width=108.7,height=36 (9)

式中,width=10.85,height=14.95为系统预测值;yi为真实测量值;n为数据点的数量。EMAE通过计算预测数据序列与基准均值间绝对偏差的算术平均值,量化预测结果的集中趋势偏离度,其数学表达式为

width=88.3,height=33.3 (10)

EMAPE通过归一化处理预测值与基准真值间的相对偏差,能够消除量纲影响并增强不同工况下的预测误差可比性,其计算模型可表示为

width=127.7,height=33.3 (11)

3.2 SRUKF短期预测结果

分别使用UKF和SRUKF进行PEMFC电压短期预测,二者的参数保持相同,并根据评价指标对预测效果进行对比分析。两种工况下UKF和SRUKF的预测误差见表5。

从预测方式的角度看,对于FC1工况,相较于UKF,SRUKF预测方式的ERMSE减小了0.002 5,EMAE减小了0.001 8,EMAPE减小了5.38个百分点;对于FC2工况,相较于UKF,SRUKF的ERMSE减小了0.002 6,EMAE减小了0.001 8,EMAPE减小了5.63个百分点。这充分说明了SRUKF具有更好的性能。

表5 UKF和SRUKF短期预测误差

Tab.5 UKF and SRUKF short-term prediction errors

工况预测方式ERMSE/VEMAE/VEMAPE(%) FC1UKF0.006 10.004 212.71 SRUKF0.003 60.002 47.33 FC2UKF0.007 10.004 614.43 SRUKF0.004 50.002 88.80

从工况的角度来看,相较于FC1工况,FC2工况的ERMSEEMAEEMAPE均更大,这是由于动态工况下实验条件复杂,PEMFC稳定性较差。

3.3 Xception-LSTM短期预测结果

为了验证Xception-LSTM网络准确预测波动特征的能力,分别基于FC1和FC2的电压数据特征预测未来短时间内电压波动的变化趋势。对于FC1和FC2,均按照6width=6.1,height=10.854的比例划分训练集和测试集,基于训练集数据,保持LSTM的参数相同,分别对Xception-LSTM和LSTM进行充分训练后,得到FC1和FC2的短期预测结果分别如图11和图12所示,短期预测误差见表6。

从预测方式的角度来看,结合表6、图11和图12,两种工况下Xception-LSTM的预测误差更小,这说明加入Xception提取特征后能有效降低预测误差。在划分比例为5width=6.1,height=10.855时,相比于Transformer,Xception-LSTM的误差更小,充分地验证了该算法的短期波动特征预测能力。从工况的角度来看,FC2工况的预测误差小于FC1,这是由于FC1的电压老化趋势一直下降,没有太多的特征和规律供神经网络学习,而FC2的波动更为剧烈,其包含了更多的信息和特征,神经网络可以通过多层非线性变换提取这些特征。

width=224.15,height=114.8

图11 FC1的Xception-LSTM短期预测结果

Fig.11 Xception-LSTM short-term prediction plot for FC1

width=224.15,height=113.45

图12 FC2的Xception-LSTM短期预测结果

Fig.12 Xception-LSTM short-term prediction plot for FC2

表6 Xception-LSTM和LSTM的短期预测误差

Tab.6 Short-term errors of Xception-LSTM and LSTM

比例工况预测方式ERMSE/mVEMAE/mVEMAPE(%) 46FC1Xception-LSTM4.7993.3750.104 2 LSTM5.8243.6940.114 1 FC2Xception-LSTM4.7133.3190.102 5 LSTM5.6663.4260.107 4 55FC1Xception-LSTM4.7953.3390.103 3 LSTM5.3713.6310.112 3 Transformer27.800—0.709 FC2Xception-LSTM3.9962.2640.070 9 LSTM4.3872.6940.084 5 Transformer9.63—0.224 64FC1Xception-LSTM5.8444.3360.134 3 LSTM11.5729.5050.295 2 FC2Xception-LSTM4.6562.7250.085 6 LSTM5.3893.1410.099 0

4 长期预测结果

长期预测是指基于历史退化数据和实时监测信息,对电堆性能衰减趋势和剩余使用寿命进行系统性预估的技术方法[26],该预测方法能够为维护决策提供量化依据,本文长期预测步长均大于50 h。

4.1 长期预测评价标准

在分析PEMFC的RUL预测结果时,准确率TAcc更适用于评估RUL预测的优劣。将实际的RUL记为TRUL,real,将RUL预测值记为TRUL,preTAcc的计算公式为

width=160.3,height=38.7 (12)

针对本文中FC1的实际特性,确定将初始电压下降3.5%的时刻作为FC1寿命终结时刻,相对应的老化电压阈值是3.227 92 V,根据实验数据确定其实际寿命终结的时刻点为793 h;将初始电压下降5.5%的时刻作为FC2寿命终结时刻,相对应的老化电压阈值是3.128 32 V,根据实验数据确定其实际寿命终结的时刻点为949 h。

4.2 FC1工况下RUL预测结果

在FC1工况下,经参数优化分析确定系统滑动窗口宽度Th最优值为12 h。基于此时间尺度,本文选取四个典型预测起始时间点(Tc=550、600、650、700 h)开展长期性能预测实验,结果如图13所示。不同起始点的预测曲线与实际退化轨迹呈现良好一致性,不同的预测起点的实际剩余使用寿命TRUL,real与预测剩余使用寿命TRUL,pre对比以及预测准确率见表7。

width=206.5,height=495.15

图13 FC1长期预测结果

Fig.13 FC1 long-term prediction results

表7 FC1的RUL预测误差

Tab.7 RUL prediction error for FC1

Tc/hTRUL,real/hTRUL,pre/hTAcc(%) 55024324098.76 60019320096.50 65014314299.30 700938389.25

结合图13和表7的结果,FC1工况下,在预测起点为550、600及650 h时,本文对FC1工况的RUL预测准确率在95%以上,将预测起点设置为700 h时,TAcc为89.25%,明显低于其他预测起点下的准确率,这是由于已经临近FC1的寿命终结时刻,电池老化严重。

4.3 FC2工况下RUL预测结果

在FC2工况下,依据最优参数调试结果,将系统滑动窗口Th设定为25 h。基于此时间尺度,本文选取四个典型预测起始时间点(Tc=550、600、650、700 h)开展长期性能预测实验,结果如图14所示。针对不同预测起点,实际剩余使用寿命TRUL,real与预测剩余使用寿命TRUL,pre对比及预测准确率见表8。

width=206.5,height=484.3

图14 FC2长期预测结果

Fig.14 FC2 long-term prediction results

表8 FC2的RUL预测误差

Tab.8 RUL prediction error for FC2

Tc/hTRUL,real/hTRUL,pre/hTAcc(%) 55039939198.00 60034933295.13 65030931099.68 70024926992.57

结合图14和表8,在不同预测起点下,本文对FC2工况的预测准确率保持在90%以上,最高可达99.68%,最低为92.57%。虽然4组测试的预测结果在整体趋势上类似,但是电压波动细节区别很大,主要有两方面的原因:一方面是训练数据量的影响,另一方面是神经网络本身预测的随机性导致。

4.4 预测方式对比

为了比较混合预测方法的优点,分别将SRUKF长期预测、Xception-LSTM长期预测、混合预测三种方法进行对比,FC1工况和FC2工况的预测准确率分别见表9和表10。为确保实验的严谨性,保持SRUKF参数与混合预测方法中的模型驱动参数相同,同时均对Xception-LSTM和混合预测方法中的数据驱动进行超参数优化。

在FC1工况下,表9数据可观测到显著差异:当预测起始点Tc分别设定为550、600与650 h时,相较于其他两种对比方法,本文提出的混合预测方案在剩余使用寿命预测上的精确程度,分别提升约36个百分点、20个百分点与55个百分点。即便Tc为700 h,接近使用寿命终止阶段致使预测精度有所下滑,但该方法仍较未考虑恢复电压因素的预测方案,实现准确率提升约12个百分点,充分验证了混合预测方法的优越性。

表9 FC1工况下预测方式对比

Tab.9 Comparison of prediction methods under FC1

预测方式TAcc(%) 550 h600 h650 h700 h SRUKF62.5576.1728.67 Xception-LSTM62.1170.6244.0975.32 混合预测98.7096.1199.2387.50

表10 FC2工况下预测方式对比

Tab.10 Comparison of prediction methods under FC2

预测方式TAcc(%) 550 h600 h650 h700 h SRUKF73.6892.2675.2570.68 Xception-LSTM85.1291.5977.7472.10 混合预测97.8694.7499.6591.03

在FC2工况下,进一步观察表10数据,预测起点为550 h,运用混合预测方法开展RUL预测,较仅基于老化趋势的预测方案,准确率提升24.18个百分点;相较于仅考虑电压波动后的预测方法,准确率提高12.74个百分点。随着预测起点推移至600、650与700 h,该混合预测方法的预测准确率较对比方法,分别提升约3个百分点、22个百分点与20个百分点。这些结果充分表明,本文提出的混合预测方法在动态工况环境中,能够维持对质子交换膜燃料电池剩余使用寿命的高精准预测能力。

5 结论

本文提出了一种基于老化特征的混合预测方法,该方法将老化特征分解为整体老化特征、电压波动特征和电压恢复特征,并针对三种特征展开长期预测,最后叠加预测结果。基于FC1和FC2两组工况下的数据进行了验证,结果表明:

1)短期预测的结果表明,SRUKF相较于UKF的预测误差更小,且在加入Xception网络提取特征后,Xception-LSTM有更好的预测性能。

2)两种工况下,混合预测方法的RUL预测准确度均较高,对于FC1而言,大部分预测起点可以达到95%以上准确度;对于FC2而言,均可以达到90%以上准确度。

3)SRUKF、Xception-LSTM、混合预测三种方法的对比表明,相比于针对单一的老化特征预测,结合多个老化特征的RUL预测准确度更高。

参考文献

[1] 全睿, 程功, 周宇龙, 等. 基于EWOA优化CNN- BiGRU-AT模型的燃料电池衰退预测[J/OL]. 电工技术学报, 1-17[2025-05-09]. https://doi.org/10.19595/ j.cnki.1000-6753.tces.241835.

Quan Rui, Cheng Gong, Zhou Yulong, et al. Enhanced whale optimization algorithm-based CNN- BiGRU-AT model for aging prediction of fuel cell[J/OL]. Transactions of China Electrotechnical Society, 1-17[2025-05-09]. https://doi.org/10.19595/ j.cnki.1000-6753.tces.241835.

[2] 杨淇, 陈景文, 华志广, 等. 基于集成型极限学习机的氢燃料电池寿命预测[J]. 电工技术学报, 2025, 40(3): 964-974.

Yang Qi, Chen Jingwen, Hua Zhiguang, et al. Research on PEMFC lifetime prediction based on ensemble extreme learning machine[J]. Transactions of China Electrotechnical Society, 2025, 40(3): 964-974.

[3] 谢宏远, 刘逸, 候权, 等. 基于粒子滤波和遗传算法的氢燃料电池剩余使用寿命预测[J]. 东北电力大学学报, 2021, 41(1): 56-64.

Xie Hongyuan, Liu Yi, Hou Quan, et al. Prediction of the remaining useful life of PEMFC based on particle filter and genetic algorithm[J]. Journal of Northeast Electric Power University, 2021, 41(1): 56-64.

[4] Liu Hao, Chen Jian, Zhu Chuyan, et al. Prognostics of proton exchange membrane fuel cells using a model-based method[J]. IFAC-PapersOnLine, 2017, 50(1): 4757-4762.

[5] Ou Mingyang, Zhang Ruofan, Shao Zhifang, et al. A novel approach based on semi-empirical model for degradation prediction of fuel cells[J]. Journal of Power Sources, 2021, 488: 229435.

[6] Li Songyang, Luan Weiling, Wang Chang, et al. Degradation prediction of proton exchange membrane fuel cell based on Bi-LSTM-GRU and ESN fusion prognostic framework[J]. International Journal of Hydrogen Energy, 2022, 47(78): 33466-33478.

[7] Jin Jiashu, Chen Yuepeng, Xie Changjun, et al. Remaining useful life prediction of PEMFC based on cycle reservoir with jump model[J]. International Journal of Hydrogen Energy, 2021, 46(80): 40001- 40013.

[8] He Kai, Mao Lei, Yu Jianbo, et al. Long-term performance prediction of PEMFC based on LASSO- ESN[J]. IEEE Transactions on Instrumentation and Measurement, 2021, 70: 3511611.

[9] Ma Rui, Xie Renyou, Xu Liangcai, et al. A hybrid prognostic method for PEMFC with aging parameter prediction[J]. IEEE Transactions on Transportation Electrification, 2021, 7(4): 2318-2331.

[10] Liu Hao, Chen Jian, Hissel D, et al. Remaining useful life estimation for proton exchange membrane fuel cells using a hybrid method[J]. Applied Energy, 2019, 237: 910-919.

[11] FCLAB Research. IEEE PHM 2014 Data Challenge [DB/OL]. 2014. http://eng.fclab.fr/ieee-phm-2014-data-challenge/.

[12] 汪建锋, 王荣杰, 林安辉, 等. 质子交换膜燃料电池退化预测方法[J]. 电工技术学报, 2024, 39(11): 3367-3378.

Wang Jianfeng, Wang Rongjie, Lin Anhui, et al. Degradation prediction method of proton exchange membrane fuel cell[J]. Transactions of China Electro- technical Society, 2024, 39(11): 3367-3378.

[13] Jouin M, Gouriveau R, Hissel D, et al. Degradations analysis and aging modeling for health assessment and prognostics of PEMFC[J]. Reliability Engineering & System Safety, 2016, 148: 78-95.

[14] 符毅, 孔星炜, 董新民. 基于自适应SRUKF的无人机位姿预测方法[J]. 应用光学, 2019, 40(1): 21.

Fu Yi, Kong Xingwei, Dong Xinmin. Adaptive square-root unscented Kalman filter for position and pose prediction of UAV[J]. Journal of Applied Optics, 2019, 40(1): 21.

[15] Cheng Yujie, Zerhouni N, Lu Chen. A hybrid remaining useful life prognostic method for proton exchange membrane fuel cell[J]. International Journal of Hydrogen Energy, 2018, 43(27): 12314-12327.

[16] Szegedy C, Ioffe S, Vanhoucke V, et al. Inception-v4, inception-ResNet and the impact of residual connec- tions on learning[C]//Proceedings of the 31st AAAI conference on artificial intelligence, San Francisco, CA, USA, 2017: 4278-4284.

[17] Chollet F. Xception: deep learning with depthwise separable convolutions[C]//2017 IEEE Conference on Computer Vision and Pattern Recognition (CVPR), Honolulu, HI, USA, 2017: 1800-1807.

[18] Yu Yong, Si Xiaosheng, Hu Changhua, et al. A review of recurrent neural networks: LSTM cells and network architectures[J]. Neural Computation, 2019, 31(7): 1235-1270.

[19] Liu Jiawei, Li Qi, Chen Weirong, et al. Remaining useful life prediction of PEMFC based on long short- term memory recurrent neural networks[J]. International Journal of Hydrogen Energy, 2019, 44(11): 5470- 5480.

[20] Wang Yajie, Liu Hongmei, Lu Chen, et al. PEM fuel cell health state assessment using a geometrical approach and mahalanobis distance[C]//2016 12th World Congress on Intelligent Control and Automation (WCICA), Guilin, China, 2016: 1312-1316.

[21] 鲜亮, 肖建, 贾俊波. 质子交换膜燃料电池交流阻抗谱实验研究[J]. 中国电机工程学报, 2010, 30(35): 101-106.

Xian Liang, Xiao Jian, Jia Junbo. An experimental study on AC impedance spectroscopy of proton exchange membrane fuel cell[J]. Proceedings of the CSEE, 2010, 30(35): 101-106.

[22] 刘相万, 杨扬, 朱文超, 等. 基于二阶RQ-RLC模型的质子交换膜燃料电池水管理故障诊断[J]. 中国电机工程学报, 2022, 42(21): 7893-7905.

Liu Xiangwan, Yang Yang, Zhu Wenchao, et al. Second-order RQ-RLC model-based fault diagnosis for water management in proton exchange membrane fuel cells[J]. Proceedings of the CSEE, 2022, 42(21): 7893-7905.

[23] 周唯逸, 郑万俊, 卫东, 等. 基于内阻特性的PEMFC发电效率建模与分析[J/OL]. 电源学报, 1-11[2025-04-21]. http://kns.cnki.net/kcms/detail/12. 1420.TM.20250306.1623.015.html.

Zhou Weiyi, Zheng Wanjun. Wei Dong, et al. Modeling and analysis of PEMFC power generation efficiency basedon internal resistance characteristics [J/OL]. Journal of Power Supply, 1-11[2025-04-21]. http://kns.cnki.net/kcms/detail/12.1420.TM.20250306. 1623.015.html.

[24] 李浩, 李浩, 杨扬, 等. 基于改进鲸鱼算法优化GRU的PEMFC老化预测[J]. 中国电机工程学报2024, 44(20): 8166-8178.

Li Hao, Li Hao, Yang Yang, et al. PEMFC aging prediction based on improved whale optimization algorithm optimized GRU[J]. Proceedings of the CSEE, 2024, 44(20): 8166-8178.

[25] Wang Chu, Li Zhongliang, Outbib R, et al. A novel long short-term memory networks-based data-driven prognostic strategy for proton exchange membrane fuel cells[J]. International Journal of Hydrogen Energy, 2022, 47(18): 10395-10408.

[26] Pan Rui, Yang Duo, Wang Yujie, et al. Performance degradation prediction of proton exchange membrane fuel cell using a hybrid prognostic approach[J]. International Journal of Hydrogen Energy, 2020, 45(55): 30994-31008.

PEMFC Hybrid Prediction Method for Remaining Useful Life Based on Aging Characteristics

Xu Bing Zhang Min Yang Wentao Zhang Lingxian

(Beijing Sifang Automation Company Limited Beijing 100085 China)

Abstract For the life prediction issue of Proton Exchange Membrane Fuel Cells (PEMFC), a hybrid prediction method based on aging characteristics was proposed. The aging characteristics of PEMFC throughout its lifecycle could be decomposed into overall aging characteristics, voltage fluctuation characteristics, and voltage recovery characteristics. For the overall aging characteristics, the Square Root Unscented Kalman Filter (SRUKF) was utilized for prediction; for the voltage recovery characteristics, a second-order RQ-RLC equivalent circuit model was used to fit the electrochemical impedance spectroscopy data, obtaining an indirect relationship between recovery voltage and time; for the voltage fluctuation characteristics, the Xception-Long Short Term Memory (LSTM) network was employed for training and prediction. Finally, the prediction results of the three aging characteristics were superimposed to calculate the RUL prediction result for PEMFC. Based on the verification of two sets of operating condition data, the results show that compared to independent predictions by SRUKF and Xception-LSTM, the accuracy of the hybrid prediction method is improved by about 20%.

Certainly, here is the translation with the sequence numbers replaced by ordinal terms:

Firstly, the collection and preprocessing of voltage aging data. Preprocess the collected PEMFC data, which includes removing monitoring noise, outlier processing, and timestamp reconstruction; Secondly, voltage aging feature prediction. Utilize the PEMFC empirical model to represent the degradation trend and apply SRUKF to identify the hidden state of the voltage. The output of this module is the prediction of future voltage aging trends under the overall trend; Thirdly, voltage fluctuation feature prediction. This module is designed to analyze the periodic fluctuations of PEMFC voltage during long-term durability operation. The Xception-LSTM model is extensively trained with voltage fluctuation feature datasets for long-term prediction of these characteristics. Fourthly, EIS test data collection. Gather EIS experimental data of the stack at specific time points during long-term durability experiments at regular intervals. Fifthly, recovery voltage feature prediction. Based on EIS data, identify the parameters of the second-order RQ-RLC model and further establish the relationship between resistance parameters and recovery voltage. Lastly, overlay the results of the three feature predictions to obtain the long-term prediction of the aging voltage characteristic values, and calculate the RUL prediction value according to the aging voltage threshold.

This paper proposes a hybrid prediction method based on aging characteristics, which decomposes the aging characteristics into overall aging features, voltage fluctuation features, and voltage recovery features, and carries out long-term predictions for the three types of features, finally overlaying the prediction results. The method was validated using data from two sets of operating conditions, FC1 and FC2, and the results indicate: (1) The short-term prediction results show that SRUKF has a smaller prediction error compared to UKF, and after incorporating the Xception network for feature extraction, the Xception-LSTM model exhibits better prediction performance; (2) Under both operating conditions, the hybrid prediction method has a high RUL prediction accuracy. For FC1, most prediction starting points can achieve an accuracy of over 95%, while for FC2, the accuracy can reach over 90%; (3) A comparison among the SRUKF, Xception-LSTM, and hybrid prediction methods shows that, compared to predicting a single aging feature, the RUL prediction accuracy is higher when combining multiple aging features.

Keywords:Proton exchange membrane fuel cell, remaining useful life, aging characteristics, hybrid prediction, second-order RQ-RLC equivalent circuit model, Xception-long short term memory (LSTM)

中图分类号:TM911.42

DOI: 10.19595/j.cnki.1000-6753.tces.241401

国家重点研发计划资助项目(2021YFB2400700)。

收稿日期 2024-08-06

改稿日期 2024-12-23

作者简介

徐 冰 女,1997年生,硕士研究生,研究方向为质子交换膜燃料电池的寿命预测。

E-mail: 1078053805@qq.com

张 敏 女,1991年生,硕士研究生,研究方向为新能源发电与优化控制。

E-mail: zm_hust@qq.com(通信作者)

(编辑 郭丽军)