摘要 该文以西北地区退役的复合绝缘子为研究对象,旨在探讨不同自然老化程度的复合绝缘子在变湿度条件下的发热特性。首先通过相关标准将复合绝缘子样品划分为三个等级,并通过理化特性方法评估其老化状态,然后开展变湿度红外检测试验,深入分析不同老化程度绝缘子红外温升行为及特征。试验结果显示:不同老化程度的绝缘子在红外图谱和温升方面有显著差异,轻度老化的绝缘子红外图谱颜色均一,且在高、低湿度下温升较低;中度老化的绝缘子表现出连续段状发热特征,温升受环境湿度影响显著;而重度老化的绝缘子呈现跨越多个护套的连续段状发热特征,在高、低湿度环境下温升均超过10 K。统计分析显示:不同老化等级绝缘子的温升分散程度与环境湿度存在一定的相关性,老化程度越严重、环境湿度越高,温升分散程度越大。此规律在一定程度上揭示了复合绝缘子老化程度与温升之间的相关性,为老化状态评估提供了可能。
关键词:复合绝缘子 红外检测 老化程度 环境湿度 红外温升
随着可再生能源“十四五”规划的深入实施,需要积极推动水、风、光、储一体化,确保西电东送清洁能源持续可靠传输[1]。在此背景下,复合绝缘子的需求逐渐增加,作为电力系统中至关重要的组件之一,它们的性能直接关系电力系统的安全稳定运行[2-3]。其中,伞套作为复合绝缘子的关键部分,承担着保护和绝缘的重要功能。然而,由于伞套及芯棒均由有机材料制成,其长期暴露在电晕放电、紫外线、潮气和污秽物等环境下会发生老化,表现为裂纹、粉化、憎水性降低等问题,进而影响绝缘子的电气性能,甚至引发事故[4-7]。
复合绝缘子的老化主要是材料在长期的电气、机械和环境应力作用下发生的物理和化学变化。这些变化包括基体材料的降解、填充物与基体界面粘结强度的下降,以及表面水解和氧化等过程[8-9]。针对复合绝缘子的老化状态,国内外研究人员主要采用离线检测方法(如外观检查、硬度测试、扫描电子显微镜(Scanning Electron Microscope, SEM)等)对复合绝缘子的老化状态进行研究[10-11]。虽然离线检测方法具有精细化、全面化的优势,但对于大规模、长期服役的复合绝缘子检测仍存在诸多不便。例如,摘取样品时需要结合停电计划或带电操作,影响了检测便捷性,并且检测后的绝缘子无法再次挂网使用,存在一定程度的浪费。此外,抽检方法缺乏对整条线路老化状态的统计意义。近年来,国内外研究人员还提出了基于热刺激电流(Thermally Stimulated Current, TSC)的检测法、傅里叶变换红外(Fourier Transform Infrared, FTIR)光谱分析法等新型状态检测方法[12-14]。尽管如此,这些方法大多集中于实验室条件下的人工老化测试,而针对自然老化状态下复合绝缘子的研究较为缺乏。此外,现有研究往往只关注单一特性指标,缺少对复合绝缘子硅橡胶老化程度和电气性能的综合评估。
由于复合绝缘子在老化过程中通常伴有异常发热[15],红外测温作为一种有效的在线检测方法,能够及时识别复合绝缘子的异常发热现象,降低事故发生风险[16-17]。已有研究表明,复合绝缘子伞套的老化程度与其发热特性之间存在显著关联,通过红外热成像技术可以有效地检测复合绝缘子的异常发热问题[18-19]。此外,环境因素(如湿度)也会对复合绝缘子的发热特性产生影响。例如,曾磊磊发现老化的绝缘子在吸湿后均存在劣化特征和异常发热现象[20];王黎明等对深圳地区五年间的部分复合绝缘子红外测温数据进行统计分析发现,复合绝缘子高压端与低压端温差测量值与环境湿度呈正相关,即随着相对湿度增加,复合绝缘子发热情况愈加严重[21];曾志伟等在实验室对500 kV核惠线上取下的8支异常发热复合绝缘子进行红外测温,结果显示,在高湿环境下,绝缘子的温升幅值明显高于干燥环境下,而将干燥绝缘子进行泡水处理后,温升幅值显著增加[22]。然而,目前国内外学者对于异常发热复合绝缘子多未根据自然老化程度进行分类分析,导致对不同老化程度的复合绝缘子的发热特性的理解尚不深入。
基于此,本文重点分析了不同自然老化程度的复合绝缘子在不同湿度条件下的发热特性,并通过实验室条件下的红外测温技术,探讨环境湿度与老化程度对复合绝缘子发热特性的共同作用。本文研究成果可为不同老化程度的复合绝缘子的红外检测提供依据与数据支持,也为揭示其老化机理和电气性能退化机制提供重要依据[23]。
本文选取来自西北地区某110 kV输电线路上的47支典型硅橡胶复合绝缘子作为研究对象,样品运行年限分布统计如图1所示。

图1 复合绝缘子运行年限分布统计
Fig.1 Statistical chart of operating life of composite insulators
本文综合了GB/T 22079—2019、DL/T 1000.3— 2015、Q/GDW 1173—2014和Q/CSG 10010—2004等一系列有关硅橡胶复合绝缘子的国家标准和企业标准,并结合相关文献资料,将复合绝缘子样品划分为轻度老化、中度老化和重度老化三个等级,具体划分依据见表1[24-27]。其中,轻度老化29支、中度老化17支、重度老化1支。为了全面反映不同老化等级复合绝缘子的理化特性,本文对所有样品均进行了理化特性测试,同时为了确保研究的重点突出和结构紧凑,展示了3支具有代表性的样品测试结果,充分体现了不同老化阶段的特性差异。3支典型样品分别命名为1号、2号和3号,其运行年限分别为7年、12年和17年。这3支典型样品的外观特征如图2所示。其中,1号样品护套表面状态良好,无开裂和破损,仅有少量污秽物附着;2号样品护套出现裂纹,且有较为严重的污秽沉积;3号样品护套明显开裂,甚至出现芯棒裸露等严重老化现象。在此基础上,对47支复合绝缘子进行红外检测,重点分析红外热成像图谱特征和发热幅值的变化情况,以研究不同自然老化程度绝缘子的发热特性。
表1 复合绝缘子老化等级划分方法
Tab.1 Classification of aging degree of composite insulators

老化程度特征 轻度老化护套表面状态良好,无明显裂纹或破损,仅有轻微污秽物沉积。通常运行年限较短,芯棒基本未受到外界环境的侵蚀。 中度老化护套表面存在明显裂纹,伴有较严重的污秽沉积,护套对芯棒的保护开始减弱。运行年限较长,已经出现部分老化迹象,但芯棒仍然未完全裸露。 重度老化护套严重开裂,芯棒部分裸露,老化现象极为明显。运行时间最长,护套对芯棒的保护已基本失效。

图2 典型复合绝缘子样品外观
Fig.2 Appearance of typical composite insulator samples
为了研究不同老化程度复合绝缘子在变湿度条件下的发热特性,本文首先采用理化特性测试分析三种老化状态划分的合理性,随后开展变湿度红外测温试验分析绝缘子的发热特性。
1.2.1 理化特性测试
为了验证样品老化状态划分的合理性,进行以下理化特性测试。
1)硬度测试:使用邵氏A型硬度计测量每个样品高、中、低压端护套表面和护套截面以及伞裙上下表面处的邵氏硬度,并计算平均值[28]。硬度值的变化可以帮助理解材料的力学性能退化情况。
2)扫描电子显微镜(SEM)观察:使用Flex SEM1000型扫描电子显微镜对绝缘子伞裙表面、芯棒截面和芯棒界面的微观形貌进行观察。微观形貌变化可以提供关于材料退化的详细信息。
3)傅里叶变换红外光谱(FTIR)分析:使用Nicolet iS5傅里叶变换红外光谱仪测量样品的吸收峰,扫描次数为20次,分辨率为2 cm-1,扫描范围为400~4 000 cm-1,主要关注主链Si—O—Si、Si—CH3以及Si—(CH3)2基团的峰值大小。通过分析这些基团的变化情况,可以为理解材料化学特性的变化提供依据。
各种测试的取样点如图3所示[29]。

图3 测试取样点
Fig.3 Experimental sampling test points
1.2.2 变湿度红外测温试验
为深入分析不同老化程度的复合绝缘子在不同湿度环境下的温升情况,提高红外测温方法的评估准确性,搭建了环境温湿度可调节的人工气候室试验平台模拟110 kV线路绝缘子运行状况。通过改变环境湿度以分析不同老化程度复合绝缘子串的红外温升行为及特性。
试验条件设置如下:对47支不同老化程度的复合绝缘子在环境温度为20℃,环境相对湿度分别为45%、55%、65%、75%和85%条件下,施加运行电压进行测试,同时采取同一厂家新制的复合绝缘子作为对照。加压时间为2 h,试验变压器参数为200 kV/200 kV·A,试品型号为FXBW4-110/120,分压器的分压比设定为1 000
1,保护电阻为10 kW。红外热像仪型号为FLIR T640,红外分辨率为640× 480,空间分辨率为0.68 mrad,试验时设置红外热像仪的发射率为0.95,测试距离为3 m。试验设备接线示意图如图4所示。

图4 试验设备接线示意图
Fig.4 Schematic diagram of experimental equipment wiring
2.1.1 硬度测试
硬度是硅橡胶复合绝缘子的基本特性,出厂硬度因炭黑和A1(OH)3填料比例的不同而存在差异。为了承担导线与杆塔之间的连接,通常要求复合绝缘子的邵氏硬度不小于50 HA[29]。长时间的户外运行会使复合绝缘子的伞裙和护套发生老化,老化通常导致伞裙的物理交联密度增加,从而使邵氏硬度增大。不同位置的伞裙和护套样品的邵氏硬度如图5所示。
硬度测试结果表明:随着运行年限增加,复合绝缘子整体的硬度逐渐增大,并且对于单支绝缘子而言,高、中、低压端的伞裙硬度基本一致,上下表面硬度差异在3%以内。三个样品的伞裙表面硬度均在74~80 HA之间。轻度老化的1号复合绝缘子护套表面硬度为75~77 HA,护套表面和截面的硬度差异为7.5%,中度老化的2号复合绝缘子护套硬度差异为7.3%~12.3%,而重度老化的3号复合绝缘子高压端护套硬度差异最大达到了15.4%。此外可以明显看出,复合绝缘子护套硬度差异最显著的位置均位于高压端,这表明高压端护套的老化程度最为严重。

图5 伞群和护套硬度测试结果
Fig.5 Hardness test results of umbrella skirts and sheaths
2.1.2 扫描电子显微镜分析
户外运行过程中,硅橡胶复合绝缘子护套表面会受到各种因素的影响,表面的老化程度通常比内部更加严重。护套表面扫描电镜检测结果如图6所示。由图6可知,随着时间的推移,伞裙老化程度逐渐加深,在扫描电镜下可观察到表面呈颗粒状分布,存在明显的mm级别的裂纹,且裂纹的宽度和深度随老化程度的增加而扩展。
从图6可以发现,随着老化程度的加深,复合绝缘子高压端的护套表面形貌逐渐由光洁平整变得粗糙,并出现裂纹、孔洞、缝隙等劣化特征。护套表面颗粒物的聚集表明填料开始析出,导致微观表面出现大量的孔洞。此外,沟壑状裂纹的出现可能是硅橡胶严重劣化后无法包裹填料,导致填料逐渐脱落。结合护套表面形貌和硬度测试结果推测,在自然老化过程中,复合绝缘子护套的硅橡胶和填料发生劣化,导致其表面硬度增加并出现形态变化。

图6 护套表面扫描电镜检测结果
Fig.6 Scanning electron microscopy results of the sheath surface
2.1.3 傅里叶红外光谱分析
由于退运复合绝缘子运行时间较长,厂家的伞套配方可能有所调整,且不同厂家之间的配方也有所差异,可能会影响基团的测试结果。因此,本文未选取各厂家新制绝缘子进行比较,而是选取沿护套径向不同深度的硅橡胶进行对比分析。各样品测试区域统一选为高压端护套的表层、沿护套径向1 mm与2 mm,以及护套-芯棒交界处的硅橡胶,比较四个取样位置的硅橡胶主要基团含量,以反映不同老化程度的复合绝缘子的老化深度。
不同老化程度护套红外光谱如图7所示。从图7可以看出,不同老化程度下,复合绝缘子护套在各个测试区域的表现存在显著差异。

图7 不同老化程度护套红外光谱
Fig.7 Infrared spectra of sheaths with different aging degrees
1)轻度老化(见图7a):可观察到在复合绝缘子护套沿径向由表及里的四个测试区域中,基团吸收峰的差异较小。这表明轻度老化的护套可能仅发生了侧链裂解断裂问题,而硅橡胶主链尚未受到显著影响。
2)中度老化(见图7b):复合绝缘子护套表层的峰值明显低于其余区域,这表明硅橡胶主链和侧链均发生了裂解断裂问题。与轻度老化类似,除表层外,其余区域在各波段的峰值基本相似,表明中度老化主要发生在表层1 mm以内。
3)重度老化(见图7c):复合绝缘子护套在各测试区域的峰值与轻度老化和中度老化试样存在明显差异。特别是护套-芯棒交界处的各基团峰值远低于其余区域,显示出更严重的老化迹象。在三个峰值波段中,护套径向1 mm、2 mm处的峰值最高,而护套表层次之,护套-芯棒交界处最低。特别是在1 000~1 100 cm-1波段处,护套-芯棒交界处的峰值远低于其余检测区域。
2.2.1 理化特性讨论
不同老化程度的复合绝缘子在物理和化学特性方面表现出明显差异。轻度老化的复合绝缘子具有最佳的硬度,其护套表面微观形貌良好,老化主要集中在表层1 mm以内;而中度和重度老化绝缘子表面出现孔隙、裂纹等缺陷,老化深度增加,甚至影响护套与芯棒交界处的结构完整性。表面微观形貌和硬度变化与老化程度直接关联,这也验证了本文对复合绝缘子三种老化状态划分的合理性,并为后续变湿度红外测温试验的开展奠定了基础。
2.2.2 变湿度发热机理分析
如2.2.1节所述,随着老化程度的加深,复合绝缘子的物理和化学特性逐渐恶化,尤其是表面微观结构发生明显变化,出现孔隙、裂纹等缺陷,甚至出现芯棒裸露的现象。对不同老化程度复合绝缘子芯棒试样进行扫描电镜测试,结果如图8所示。测试结果表明:绝缘子芯棒老化由外侧逐渐向内部发展,轻度老化芯棒界面的环氧基体在玻璃纤维之间,玻璃纤维排列整齐平行;随着老化程度的加深,芯棒界面的环氧基体出现破损,玻璃纤维排列变得松散,甚至出现了玻璃纤维与环氧树脂基体之间的分离现象。
护套和芯棒的这些缺陷显著增强了绝缘子的吸湿性,尤其是在高湿度环境下,老化绝缘子更容易吸收水分,导致材料内部的水分极化损耗增加[20, 23, 30]。这种极化损耗是高湿度环境中复合绝缘子发热的主要来源。水分对复合绝缘子温升行为的影响机制如图9所示[13]。


图8 不同老化程度复合绝缘子芯棒SEM形貌
Fig.8 SEM morphology of composite insulator mandrels with different aging degrees
具体而言,发热功率P与材料的电气参数相 关,即
(1)式中,w 为角频率;C为绝缘子材料的电容;U为电压幅值;tand 为介质损耗角正切值。

图9 水分对复合绝缘子温升行为的影响机制
Fig.9 Mechanism of moisture effect on temperature rise behavior of composite insulators
已有研究表明老化绝缘子伞套表面材料的介电常数e 和tand 会随着环境湿度的增加而增加,导致发热功率显著提升[31-32]。老化不仅会导致吸湿性增加,还会使得绝缘子的力学性能和电气性能下降,尤其是高压端的局部电场强度会显著高于其他部位。这种不均匀的电场分布进一步加剧了高压端的极化损耗效应,导致该区域的温升更加显著。在重度老化的绝缘子中,表面裂纹和孔隙不仅增大了水分渗透的可能性,还加速了老化过程,形成恶性循环,导致严重的局部过热现象。
因此,结合理化特性分析可以看出,随着老化程度加深,复合绝缘子的结构完整性不断下降,吸湿性增强,极化损耗加剧,进而引起更明显的发热现象。基于此,下节将研究三种老化状态的绝缘子在不同湿度条件下的发热特性,以探究不同老化程度复合绝缘子的红外温升行为和发热特性。
本节对11支样品开展变湿度条件下的红外温升行为及特征分析,包含轻度老化样品5支(依次命名为轻-1~轻-5)、中度老化样品4支(依次命名为中-1~中-4)、重度老化样品1支(命名为重-1)以及新绝缘子1支(命名为新-1)。
不同老化程度复合绝缘子温升随湿度变化规律如图10所示。从图10可以看出,复合绝缘子温升值随环境湿度的增加逐渐增大,且不同老化程度的复合绝缘子温升范围表现出显著差异。

图10 不同老化程度复合绝缘子温升随湿度变化规律
Fig.10 Temperature rise variation rule of composite insulator with humidity for different aging degrees
轻度老化的复合绝缘子在环境相对湿度低于75%时无异常发热问题,在85%湿度环境下,绝缘子异常温升最高也仅有0.4 K,温差均小于1 K,符合标准DL/T 664—2016的要求[33];中度老化的复合绝缘子在55%相对湿度下,温升在0.5 K左右,在不同湿度环境下,温升在0.2~3.6 K之间;重度老化的复合绝缘子在高、低湿度下均表现出显著的温升,温升值超过10 K,甚至在85%环境湿度下达到了26.1 K;而新制的复合绝缘子在高、低湿度下均未出现异常发热问题,最高发热温度0.2 K出现在相对湿度为85%的条件下。
本节展示了11支典型样品在低环境湿度(相对湿度45%)和高环境湿度(相对湿度85%)的红外图谱并进行特征分析。
低环境湿度下不同程度老化复合绝缘子红外图谱如图11所示。从图11可以看出,在低环境湿度下,轻度老化复合绝缘子的红外热成像整体颜色一致,即无异常发热现象。而中度老化的复合绝缘子高压端护套表现出点状异常发热,且发热位置在高压端部金具与相邻第1片伞裙间的护套处。重度老化的复合绝缘子出现了最为严重的发热问题,在端部及非端部均出现异常发热,红外图谱表现出段状发热的现象,发热位置位于高压端护套和第5片伞裙间以及第11~14片伞裙间。新绝缘子并无发热现象。


图11 低环境湿度(45%)下不同程度老化复合绝缘子红外图谱
Fig.11 Infrared images of composite insulators aged to different degrees at low humidity (45%)
高环境湿度下不同程度老化复合绝缘子红外图谱如图12所示。从图12可以看出,在高环境湿度下,轻度老化的复合绝缘子仍无法从红外热成像图片中观察到明显的异常发热现象。中度老化的复合绝缘子发热区域发生改变,第1片和第2片伞裙间护套出现异常发热问题。重度老化的复合绝缘子在高环境湿度下的异常发热更为明显,发热区域主要包括高压端金具至第14片伞裙之间,以及低压端金具与相邻伞裙间的护套处。新绝缘子未出现异常发热现象。


图12 高环境湿度(85%)下不同程度老化复合绝缘子红外图谱
Fig.12 Infrared images of composite insulators aged to different degrees at high humidity (85%)
根据不同老化程度复合绝缘子的红外图谱特征可以得到:①对于轻度老化的复合绝缘子,其红外热成像图谱呈现颜色均一特征;②中度老化的复合绝缘子在红外热成像图谱中呈现连续段状发热特征,发热区域位于高压端部,主要分布在高压端金具与第2片伞裙之间的护套处;③重度老化的复合绝缘子在红外热成像图谱中呈现连续段状发热特征,发热区域跨越3个及以上的护套,且在非端部也会出现异常发热现象。
不同老化程度的复合绝缘子在红外图谱特征上显示出显著差异,通过观察红外热成像图谱中的异常发热情况、发热形式以及发热位置等特征,可以为绝缘子的老化程度评估提供参考。
在高、低环境湿度下,不同老化程度的复合绝缘子温升区间分布存在显著差异。不同湿度下复合绝缘子发热温升区间分布如图13所示。

图13 不同老化程度复合绝缘子温升区间分布
Fig.13 Frequency distribution of temperature rise ranges for composite insulators at different aging degrees
对于轻度老化的复合绝缘子,其温升均在0.5 K以内,其中温升在0~0.1 K之间的占比最多,达到了69.5%。这表明轻度老化的复合绝缘子基本不会出现异常发热问题。相比之下,中度老化的复合绝缘子的温升均在4 K以内,但数据点比较分散。温升在0.5 K以内的占比为33%,而温升在 (0.5, 3) K之间的占比最高,达到了60%。重度老化的复合绝缘子在高、低环境湿度下均表现出显著的温升,且温升均超过10 K。
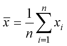
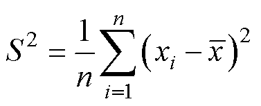
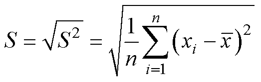
为了对不同老化程度复合绝缘子的温升行为与特征做出总结,本节通过对数据进行分析整理,找出相关规律性。由于新绝缘子温升行为不明显,因此不对其进行相关变化规律与特征分析。分散度是反映数据离散程度的重要指标,主要通过均值、方差、标准差来表示,计算式分别为
(2)
(3)
(4)
式中,
为样本均值;n为数据点数量;xi为第i个数据点;
为方差;S为标准差。
方差和标准差是测算离散趋势最重要、最常用的指标。方差是各变量值与其均值离差二次方的平均数。标准差为方差的算术平方根。标准差和方差的计算单位相同,但比方差清楚,因此很多时候使用标准差进行分析。
本文通过红外测温试验获取了不同老化程度和湿度环境下复合绝缘子的发热数据,为了评估不同老化程度下复合绝缘子温升与环境湿度之间的关系,对三组数据分别进行指数拟合,拟合曲线如图14a和图14b所示,具体拟合公式如式(5)~式(7)所示。轻度、中度、重度老化与湿度的拟合优度分别为0.96、0.98、0.99。可以看出,温升与环境相对湿度有较好的拟合关系。
(5)
(6)
(7)
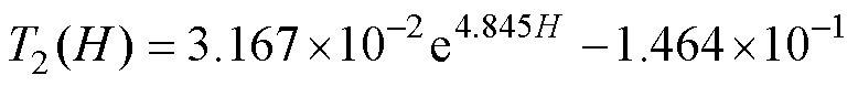
式中,H为环境相对湿度;T1、T2和T3分别为轻度、中度和重度老化温升。
为了探究复合绝缘子温升分散度与环境相对湿度的关系,对分散度进行曲线拟合。由于重度老化样本只有1支,无法对其分散度进行拟合,因此本文仅对轻度和中度老化样本进行分散度与环境相对湿度的拟合,得到的拟合结果如图14c所示。结果显示,随着环境湿度的增加,复合绝缘子的温升分散度呈现明显的增加趋势。轻度、中度温升分散度与湿度之间的关系可以用指数模型来描述,即

图14 不同老化程度复合绝缘子温升随环境湿度分布规律
Fig.14 Distribution pattern of temperature rise of composite insulators at different aging degrees with respect to environmental humidity
(8)
(9)
式中,S1、S2分别为轻度、中度温升分散度。可见,轻度、中度温升分散度与环境湿度的拟合优度分别达到了0.98和0.99,模型参数显示出较高的拟合优度。温升分散度随着湿度的增加急剧上升,这一现象可能与湿度增加导致的绝缘子表面泄漏电流增大以及局部放电活动增强有关。
通过红外测温技术对不同湿度条件下的老化绝缘子进行检测,能够揭示其温升特性及变化趋势。同时,基于变湿度条件的红外测温可以根据温升均值和分散度与湿度的关系曲线,辅助判断绝缘子的老化程度。此外,选择在特定的湿度条件下进行检测,可以显著增强温升差异的识别度,从而提升检测的准确性和效率。
本文选取西北地区不同老化程度的复合绝缘子作为研究对象,从红外温升行为及特性角度出发开展研究,得到了如下结论:
1)不同老化程度的绝缘子在红外图谱和温升方面有显著差异,轻度老化的绝缘子红外图谱颜色均一,且在高、低湿度下温升幅值均低于0.5 K;中度老化的绝缘子表现出连续段状发热特征,温升受环境湿度影响显著,低湿度环境下发热幅值在1 K以内,高湿度环境下发热幅值增加,但仍低于4 K;而重度老化的绝缘子呈现跨越多个护套的连续段状发热特征,在高、低湿度环境下温升均超过10 K。
2)通过对不同老化程度的复合绝缘子在不同湿度条件下的温升特性进行深入分析,可以揭示其老化状态的规律性。这种分析有助于优化检测方法,提升检测的准确性和效率。具体来说,观察复合绝缘子在不同湿度环境下的温升变化,能够在一定程度上发现其老化程度与温升之间的相关性,从而为复合绝缘子的老化状态评估提供可能。
参考文献
[1] 林荧, 刘育豪, 武康宁, 等. UV-A辐射对外绝缘用液态硅橡胶和高温硫化硅橡胶的影响及其机理[J]. 中国电机工程学报, 2021, 41(5): 1575-1588.
Lin Ying, Liu Yuhao, Wu Kangning, et al. Influence of UV-A radiation on liquid silicone rubber and high temperature vulcanized silicone rubber for outdoor insulation and its mechanism[J]. Proceedings of the CSEE, 2021, 41(5): 1575-1588.
[2] 秦锋, 王旭桐, 陈伟, 等. 强电磁脉冲下线路绝缘子闪络特性试验研究[J]. 电工技术学报, 2023, 38(13): 3640-3650.
Qin Feng, Wang Xutong, Chen Wei, et al. Experi- mental study on flashover characteristics of line insulator under strong electromagnetic pulse[J]. Transactions of China Electrotechnical Society, 2023, 38(13): 3640-3650.
[3] Gao Song, Liu Yunpeng, Li Le. A comparative study of abnormal heating composite insulators[J]. Polymers, 2023, 15(13): 2772.
[4] 孙瑞筱, 胡玉耀, 蒋兴良, 等. 不同污秽影响下劣化瓷绝缘子发热规律与红外特征分析[J]. 电工技术学报, 2025, 40(11): 3591-3603.
Sun Ruixiao, Hu Yuyao, Jiang Xingliang, et al. Analysis of temperature rise and infrared feature of faulty porcelain insulators under different contami- nation effects[J]. Transactions of China Electro- technical Society, 2025, 40(11): 3591-3603.
[5] 曹雯, 吴亚森, 薛豪, 等. 计及水珠动态行为的硅橡胶表面直流闪络模型[J]. 高电压技术, 2023, 49(5): 2101-2110.
Cao Wen, Wu Yasen, Xue Hao, et al. DC flashover model of silicone rubber surface considering dynamic behavior of water droplets[J]. High Voltage Engin- eering, 2023, 49(5): 2101-2110.
[6] Mu Lin, Wang Bo, Hao Jinpeng, et al. Study on material and mechanical characteristics of silicone rubber shed of field-aged 110kV composite insu- lators[J]. Scientific Reports, 2023, 13: 16889.
[7] 刘贺晨, 胡如法, 刘云鹏, 等. 220 kV退役复合绝缘子芯棒整体回收再利用可行性研究[J]. 电工技术学报, 2024, 39(11): 3433-3443.
Liu Hechen, Hu Rufa, Liu Yunpeng, et al. Feasibility of the overall recycling of 220 kV retired composite insulator core rods[J]. Transactions of China Elec- trotechnical Society, 2024, 39(11): 3433-3443.
[8] 张志劲, 梁田, 李晨, 等. 持续低温环境对复合绝缘子硅橡胶材料介电特性的影响[J]. 电网技术, 2021, 45(12): 4949-4956.
Zhang Zhijin, Liang Tian, Li Chen, et al. Influence of continuous low temperature environment on dielectric properties of silicone rubber of composite insulator[J]. Power System Technology, 2021, 45(12): 4949-4956.
[9] 汪政, 黄振, 彭向阳, 等. 复合绝缘子护套-芯棒界面异常老化特征及原因分析[J]. 绝缘材料, 2022, 55(3): 112-118.
Wang Zheng, Huang Zhen, Peng Xiangyang, et al. Abnormal aged characteristics and causes of sheath- core interface in composite insulators[J]. Insulating Materials, 2022, 55(3): 112-118.
[10] 陈林聪, 蔡夫鸿, 陈晓琳, 等. 湿热环境下复合绝缘子伞裙老化快速检测及评价技术研究[J]. 绝缘材料, 2023, 56(6): 88-93.
Chen Lincong, Cai Fuhong, Chen Xiaolin, et al. Study on fast detection and evaluation technology for composite insulator umbrella skirt ageing in humid and hot environment[J]. Insulating Materials, 2023, 56(6): 88-93.
[11] 曾磊磊, 张宇, 曾鑫, 等. 复合绝缘子硅橡胶伞裙老化状态评估方法综述[J]. 电瓷避雷器, 2022(2): 139-145, 152.
Zeng Leilei, Zhang Yu, Zeng Xin, et al. Aging state evaluation methods for silicone rubber sheds of composite insulators[J]. Insulators and Surge Arresters, 2022(2): 139-145, 152.
[12] 黎鹏, 黎子晋, 王申华, 等. 基于微波透射法的复合绝缘子硅橡胶老化状态检测方法[J]. 电工技术学报, 2023, 38(23): 6503-6513.
Li Peng, Li Zijin, Wang Shenhua, et al. Aging state detection method of composite insulator silicone rubber based on microwave transmission method[J]. Transactions of China Electrotechnical Society, 2023, 38(23): 6503-6513.
[13] 谢从珍, 李煜, 苟彬, 等. 湿热环境下含芯棒-护套界面缺陷复合绝缘子的界面老化机制研究[J]. 绝缘材料, 2024, 57(4): 72-81.
Xie Congzhen, Li Yu, Gou Bin, et al. Study on interface ageing mechanisms of composite insulators with core-sheath interface defects under hygro- thermal environment[J]. Insulating Materials, 2024, 57(4): 72-81.
[14] 沈瑶, 刘兴杰, 梁英, 等. 基于硅橡胶分子链陷阱变化的复合绝缘子老化现象[J]. 电工技术学报, 2024, 39(17): 5545-5554.
Shen Yao, Liu Xingjie, Liang Ying, et al. Aging phenomenon of composite insulators based on chemical traps' change of silicone rubber molecular chain[J]. Transactions of China Electrotechnical Society, 2024, 39(17): 5545-5554.
[15] Chen Zhiyong, Qu Jin, Shen Hao, et al. Study on influencing factors and laws of infrared temperature measurement of silicone rubber composite insu- lator[C]//The Sixth International Conference on Energy Engineering and Environmental Protection, Sanya, China, 2022: 012002.
[16] Zhang Zhongyuan, Huang Qilin, Geng Jianghai, et al. Defect identification of composite insulator based on infrared image[J]. Polymers, 2022, 14(13): 2620.
[17] 刘辉, 张洋, 李子岳, 等. 复合绝缘子内部缺陷微波致热检测方法[J]. 高压电器, 2023, 59(3): 179- 188.
Liu Hui, Zhang Yang, Li Ziyue, et al. Internal defect detection method of composite insulator based on microwave heating[J]. High Voltage Apparatus, 2023, 59(3): 179-188.
[18] 李欣然, 黄齐林, 陈晓琳, 等. 基于不同发热特征的复合绝缘子老化原因分析[J]. 绝缘材料, 2023, 56(8): 100-107.
Li Xinran, Huang Qilin, Chen Xiaolin, et al. Ageing analysis of composite insulators based on different heating characteristics[J]. Insulating Materials, 2023, 56(8): 100-107.
[19] 王黎明, 张中浩, 成立, 等. 复合绝缘子护套受潮对端部异常温升的影响[J]. 电网技术, 2016, 40(2): 608-613.
Wang Liming, Zhang Zhonghao, Cheng Li, et al. Effect of damp sheath on abnormal temperature rise at end of composite insulator[J]. Power System Tech- nology, 2016, 40(2): 608-613.
[20] 曾磊磊. 复合绝缘子异常发热及湿热老化特性研究[D]. 广州: 华南理工大学, 2019.
Zeng Leilei. Study on abnormal heating and hygrothermal aging characteristics of composite insulators[D]. Guangzhou: South China University of Technology, 2019.
[21] 王黎明, 付铠玮, 梅红伟, 等. 环境湿度对复合绝缘子红外测温的影响[J]. 高电压技术, 2019, 45(6): 1955-1961.
Wang Liming, Fu Kaiwei, Mei Hongwei, et al. Influence of environmental humidity on infrared measurement temperature of composite insulators[J]. High Voltage Engineering, 2019, 45(6): 1955-1961.
[22] 曾志伟, 曾向君, 张福增, 等. 500 kV核惠线合成绝缘子异常发热原因分析[J]. 南方电网技术, 2018, 12(5): 51-55, 79.
Zeng Zhiwei, Zeng Xiangjun, Zhang Fuzeng, et al. Cause analysis of the abnormal heating defect in composite insulators operated in 500 kV nuclear power plant-Huizhou transmission line[J]. Southern Power System Technology, 2018, 12(5): 51-55, 79.
[23] 钟正. 高湿环境下复合绝缘子芯棒酥朽劣化机制及温升特性研究[D]. 北京: 华北电力大学, 2022.
Zhong Zheng. Research on decay-like deterioration mechanism and temperature rise characteristics of composite insulator rod under high humidity[D]. Beijing: North China Electric Power University, 2022.
[24] 中华人民共和国国家市场监督管理总局, 中国国家标准化管理委员会. 户内和户外用高压聚合物绝缘子 一般定义、试验方法和接收准则: GB/T 22079—2019[S]. 北京: 中国标准出版社, 2019.
[25] 国家能源局. 标称电压高于1000V架空线路用绝缘子使用导则 第3部分: 交流系统用棒形悬式复合绝缘子: DL/T 1000.3—2015[S]. 北京: 中国电力出版社, 2015.
[26] 国家电网公司. 架空输电线路状态评价导则: Q/GDW 1173—2014[S]. 北京: 国家电网有限公司, 2015.
[27] 中国南方电网有限责任公司. 输变电设备状态评价标准: Q/CSG 10010—2004[S]. 广州: 中国南方电网有限责任公司, 2004.
[28] 陶风波, 毕晓甜, 陈杰, 等. 沿海工业地区复合绝缘子老化寿命预测研究[J]. 电瓷避雷器, 2022(1): 182-188.
Tao Fengbo, Bi Xiaotian, Chen Jie, et al. Aging life-span prediction of composite insulators in coastal industry area[J]. Insulators and Surge Arresters, 2022(1): 182-188.
[29] 程洋, 吕栎, 夏令志, 等. HTV硅橡胶复合绝缘子伞裙的热老化特性分析[J]. 高压电器, 2024, 60(4): 49-55.
Cheng Yang, Lü Li, Xia Lingzhi, et al. Thermal aging characteristics analysis of HTV silicone rubber composite insulator shed[J]. High Voltage Apparatus, 2024, 60(4): 49-55.
[30] 胡琴, 陈旭烨, 闻君, 等. 强暴雨天气下复合悬式绝缘子交流闪络特性[J]. 电工技术学报, 2025, 40(9): 2970-2981.
Hu Qin, Chen Xuye, Wen Jun, et al. AC flashover characteristics of composite suspension insulators under heavy rainstorm[J]. Transactions of China Electrotechnical Society, 2025, 40(9): 2970-2981.
[31] Tu Youping, Gong Bo, Yuan Zhikang, et al. Moisture induced local heating of overhead line composite insulators[J]. IEEE Transactions on Dielectrics and Electrical Insulation, 2017, 24(1): 483-489.
[32] 曹雯, 李振涛, 申巍, 等. 输电线路中污秽复合绝缘子异常发热研究[J]. 西安工程大学学报, 2023, 37(6): 60-68.
Cao Wen, Li Zhentao, Shen Wei, et al. Study on abnormal heating of polluted composite insulators in transmission lines[J]. Journal of Xi’an Polytechnic University, 2023, 37(6): 60-68.
[33] 国家能源局. 带电设备红外诊断应用规范: DL/T 664—2016[S]. 北京: 中国电力出版社, 2017.
Abstract In the process of long-term operation, composite insulators are subjected to electrical, mechanical and environmental stresses, leading to aging phenomenon, such as cracks, powdering, hydrophobicity reducing et al., which may affect electrical performance and cause safety accidents. As the aging process of composite insulator is accompanied by abnormal heating, the infrared detection, as an effective online detection method, can detect these abnormal heating phenomena timely. Previous studies have shown that there is a significant association between aging degree and heating characteristics, and environmental humidity can also affect fever conditions. However, most of the current studies did not perform a classification analysis of composite insulators with different degrees of natural aging. Therefore, this study focuses on analyzing the heating characteristics of composite insulators with different natural aging degrees under different humidity conditions, and exploring the joint effects of environmental humidity and aging degree on the heating characteristics.
In this study, with 47 retired composite insulators in Northwest China, classified into mild, moderate, and severe aging degrees based on relevant standards, and their aging status was evaluated by physicochemical characteristics. All samples were tested for physicochemical characteristics, but only the results of three representative samples were shown in this paper, in order to highlight the characteristic differences across aging stages. To analyze temperature rise in composite insulators under different humidity conditions and enhance the accuracy of infrared detection, an artificial climate chamber with adjustable temperature and humidity was established to simulate the operational conditions of 110 kV line insulators. The infrared temperature rise behavior of the composite insulator string was analyzed by varying environmental humidity.
The infrared detection results showed that mild aging insulators displayed uniform color, with a temperature rise lower than 0.5 K in both high and low humidity environments. The moderately aged insulators exhibited continuous segment heating, primarily at the end of the sheath between hardware components, with a temperature rise affected by humidity; the rise was within 1 K at low humidity and increased but remained below 4 K at high humidity. Severely aged insulators showed continuous segment heating across three or more sheaths and abnormal heating in non-end areas, with temperature rises exceeding 10 K in both humidity environments. Statistical analysis revealed that as environmental humidity increased, temperature rise dispersion in composite insulators significantly increased, with the relationship between mild and moderate temperature rise dispersion and humidity describable by an exponential model, demonstrating high goodness of fit.
The following conclusions can be drawn from the test results and data analysis: (1) Insulators with different aging degrees show significant differences in infrared image and temperature rise characteristics, and heat amplitude has a positive correlation between and environment humidity and aging degree. (2) Analysis of the temperature rise characteristics of composite insulators under different humidity conditions can reveal the regularity of their aging state, which can provide references for optimizing the detection method and improving the accurate and efficient detection, and provide the possibility for the aging state evaluation of insulators.
Keywords:Composite insulator, infrared detection, aging degree, environmental humidity, infrared temperature rise
中图分类号:TM216
DOI: 10.19595/j.cnki.1000-6753.tces.241615
陕西省重点研发项目(2024GX-YBXM-519)和国家自然科学基金(51707141)资助。
收稿日期 2024-09-12
改稿日期 2024-10-29
曹 雯 女,1983年生,博士,教授,硕士生导师,研究方向为绝缘老化与失效机理研究、电力设备状态检测与资产管理、变电设备局部放电检测等。
E-mail: caowen@xpu.edu.com(通信作者)
杨 特 男,2001年生,硕士研究生,研究方向为高电压与绝缘技术。
E-mail: 826309588@qq.com
(编辑 李 冰)