摘要 漏电流是表征光伏发电与并网系统健康状况直观有效的特征量之一。漏电单元测量结果涵盖了交、直流侧各装备对地状态的老化情况,但尚不能完成独立诊断。该文构建了基于漏电流的系统级宽频共模阻抗模型,揭示了光伏阵列对地漏电状态、连接电缆和升压器对地绝缘老化状态对宽频共模阻抗特性的影响机理,映射了漏电流幅频特性与各装备对地等效电容的量化关系。根据工程应用中量测单元配置要求,提出了一种基于漏电流的系统共模阻抗模型与利用方法,实现了交、直流侧对地健康状态的解耦分析与独立诊断。在线测试结果表明,直流侧对地寄生电容计算误差小于4%,交流侧主设备对地绝缘等效电容计算误差小于2%。
关键词:光伏发电 漏电流 特征谐波 共模阻抗 状态诊断
“构建以新能源为主体的新型电力系统”是我国实现“双碳”目标的重要举措[1]。光伏发电是未来的主要能源形式[2],全球首批投建的光伏资产目前已步入寿命后期,故障频发和运维问题逐渐凸显。据统计,装置老化失效是光伏并网系统中最典型的故障类型[3],包括光伏组件漏电故障、逆变器短路击穿和交流侧主设备绝缘故障等[4]。
漏电流是表征光伏发电与并网系统健康状况直观、有效的指标之一[5]。在发电侧,光伏组件遮蔽区温度与反向漏电流幅值呈正相关,严重热斑现象时的漏电流可达安培级别[6]。在电网侧,并网逆变器快速开关动作造成的电应力和谐波损耗热应力共同作用[7],使得连接电缆、升压变压器等主设备绝缘性能劣化[8],对地主绝缘漏电流增大,最终形成接地短路故障。因此,系统内多个装备对地健康状态均反映在漏电流幅值变化上[9]。根据VDE 0126-14-2[10]、IEC 62109-1[11]和GB/T 37409[12]等光伏发电与并网系统安全标准,现行的漏电保护采用连续量和突变量阈值法,目标是切除严重对地漏电故障[13],但未考虑交、直流侧多装备状态老化耦合作用对漏电流幅值变化的影响,也未充分利用漏电流宽频幅频特性,难以实现高可靠性、全方位的光伏发电与并网系统多装备在线状态诊断目标。
构建系统级宽频共模模型是实现基于漏电流测量的交、直流侧装备对地漏电状态在线诊断的基础[14]。文献[15-16]构建了单相光伏并网逆变器共模等效模型,考虑了光伏组件和逆变器IGBT对地寄生电容、线路阻抗及对地电容,但不适用于中长距离线路建模,且未考虑变压器绕组联结方式及其对地主绝缘部件。针对三相光伏并网逆变器拓扑,如传统两电平型[17]、三相级联H4型[18]、中点钳位(Neutral Point Clamped, NPC)三电平型[19-20]、H7/H8直流旁路型[21],文献[17-21]构建的共模等效模型较为简单,均忽略了交流侧主设备对地绝缘等效电参数。文献[22]构建的三相光伏并网逆变器共模等效模型考虑了变压器对地绝缘电容,但未包括线路参数,对分析系统整体漏电流的流通路径和幅频特性有局限性。以上文献主要服务于抑制漏电流的逆变器拓扑和调制策略研究,构建的共模等效模型不具备实际应用普适性,尚不能完整描述光伏发电与并网系统整体的漏电流耦合路径,难以根据漏电流测量结果区分交、直流侧各装备对地健康状态。
本文在现有研究基础上,考虑中长距离线路电缆对地主绝缘、变压器绕组联结方法及其对地主绝缘对漏电路径的影响,构建计及交、直流侧多装备对地状态的系统级宽频共模等效电路;利用并网逆变器产生的固有特征谐波,推导光伏阵列、电缆和变压器对地等效电容与共模阻抗的数学关系;阐述共模阻抗谱及漏电流幅频特性在各装备对地状态老化情况下的变化规律;根据实际应用配置需求,提供一套基于漏电流的光伏发电与并网系统交、直流侧装备对地状态在线诊断策略。
图1为典型光伏发电与并网系统拓扑示意图。漏电测量单元安装在并网逆变器三相出口处,测量结果imea表征了整个系统对地回路电流等于并网逆变器三相输出电流ipinv总和,即
 (1)
  式中,p=a, b, c。
   
   图1 光伏发电与并网系统拓扑示意图
Fig.1 Diagram of PV power generation and grid-connected system topology
光伏并网逆变器上下桥臂的功率器件快速动作,导致各相输出电压upinv和电流ipinv含有丰富的谐波成分,其频谱特征是以开关频率fs的倍频值为中心形成若干边频带[23]。根据式(1),在网侧系统对称运行时,imea与ipinv两者谐波成分的差异在于imea仅存在共模频率
。不失一般性,
与fs、网侧系统工频f0的关系为
 (2)
  式中,α和β为正整数;上标cm表示共模分量。三相电压或电流相量在该频率下的共模分量幅值相等、相位相同。
1.2.1 发电侧光伏阵列
光伏组件性能由漏电通道导电能力决定。光伏组件漏电通道与阵列等效电路如图2所示,组件内部离子迁移,产生的微小电流经过晶体硅片、封装EVA(polyethylene vinylacetate)胶膜、背板、钢化玻璃后,到达铝合金边框并流入接地孔,形成了对地漏电流。换言之,微小漏电流在各介质与接地边框间形成漏电通道。所有漏电通道等效为寄生电容,互为并联关系。考虑电池板正负极后,令Cpv表示光伏阵列正/负极对地集中式等效电容。根据图1,直流侧两极对地漏电流ipv+和ipv-与交流侧漏电流测量结果imea关系为
 (3)
   
图2 光伏组件漏电通道与阵列等效电路
Fig.2 Leak channels of PV module and equipment circuit of PV array
在正常运行中,光照、温度和水汽等环境因素造成光伏组件老化问题,导致漏电通道性能持续劣化,使得Cpv增大。文献[24]指出,在电池板工作10年不断发生老化过程中,imea出现明显的指数增大趋势。对于光伏发电容量Ppv>30 kW的系统,需保证imea/Ppv≤10 rms mA/kW [12]。
1.2.2 并网逆变器及滤波器
鉴于逆变器对地寄生电容远小于光伏阵列等效对地电容和交流侧主设备对地绝缘电容,本文分析忽略逆变器对地寄生电容。滤波器对地支路参数设计通常按照吸收无功功率(5%Ppv~10%Ppv)和有功功率(1‰Ppv~2‰Ppv)考虑,可以用等效串联电容Cf和电阻Rf表示。通常,Cf远大于并网逆变器自身对地寄生电容,Rf远大于网侧系统整体等效阻抗。结合图2发电侧对地等效电路,以NPC三电平并网逆变器为例,描述光伏发电与并网系统交、直流侧简化等效电路。光伏发电与并网系统简化电路与漏电流路径如图3所示。
   图3 光伏发电与并网系统简化电路与漏电流路径
Fig.3 Simplified circuit and leakage current path of PV power generation and grid-connected system
发电侧有
 (4)
  式中,uzO和uOf分别为直流母线上、下两个电容压降;uOg为直流母线电容中点对地电压。
结合式(3)得到
(5)
  式中,Δudc为正、负极直流母线电容压降之差,即Δudc=uzO-uOf。
并网侧有
 (6)
  式中,upinv-O为逆变器出口三相对直流母线中点电压;up1和ip1分别为并网点三相电压和电流;ipfg为三相滤波电容电流。
由图3可知,
等于网侧系统主设备总体对地漏电流。结合式(1)、式(4)和式(5),并网逆变器输入/输出侧电压、电流共模分量在s域上关系表示为
 (7)
  式中,s=j2πf cm,Zpv=1/(2sCpv),
/3,
需要说明的是,对于其他拓扑逆变器,如中点无钳位时,图3所示的漏电流通路中将不存在经功率管到直流母线中点O处的电流路径。由于漏电流对地回路未发生变化,上述逆变器及滤波器共模等效模型及分析方法并不受到拓扑影响。
1.2.3 网侧主设备
根据图1,并网点后端网侧系统包括电缆、变压器、就地负荷以及大电网。网侧主设备主要漏电通道是其对地绝缘部件。通常,对地绝缘部件等效为并联电导和电容;随着老化程度加深,等效阻抗逐渐减小。在kHz以上频段,对地绝缘阻抗由等效电容决定,故本文对绝缘漏电路径的分析忽略等效电导。
为降低光伏并网逆变器快速开关动作产生谐波对网侧的影响,变压器通常采用低压侧绕组三角形、高压侧绕组星形的联结方式。一方面,低压侧绕组进线处三相的相电压共模分量幅值相等、相位相同。由于共模磁通三相一致,几乎以漏磁形式存在,两侧绕组间磁耦合关系弱。升压变压器等效电路(低压侧d接)如图4所示,共模励磁阻抗远小于后端网侧系统等效阻抗,可近似于短路。换言之,共模电压不再通过变压器铁心传变至高压网侧,即网侧相电压中将不包含共模分量,网侧系统各类设备对地绝缘等效电容或其他对地寄生电容中无共模漏电流。因此,在光伏并网逆变器出口处测量的漏电流imea将不会包含变压器高压侧后端系统等效电容中流过的漏电流。另一方面,由于三相三角形联结绕组线电压共模分量等于零,三角形联结绕组内无共模电流。如图4所示,从低压侧看入,其共模等效电路可近似认为不包括绕组部分,做开路处理。基于以上两点,负荷和大电网对地等效电容和实时波动将对从变压器低压侧看入的共模等效阻抗无影响。
   图4 升压变压器等效电路(低压侧d接)
Fig.4 Equipment circuit of step-up transformer with delta-connected low-voltage windings
因此,变压器低压侧每相绕组上的运行电流ipT共模分量经对地绝缘电容CgT全部流入大地,其相电压upT和主绝缘漏电流之和
在s域上关系为
(8)
  式中,
。
在光伏并网逆变器和升压变压器之间,连接电缆的总体对地绝缘漏电流icable leak量级取决于其长度。根据Q/GDW 11147—2013《分布式电源接入配电网设计规范》要求[25]:对于容量大于400 kW的光伏发电单元,通常以中压并网(10 kV、35 kV),输电距离20~40 km;中小型光伏发电(容量≤400 kW)并网电压通常为380 V或220 V。考虑电能损耗,低压系统不适合长距离传输,故变压器前端电缆长度受限。
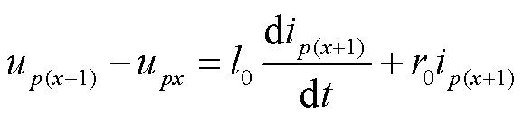
不失一般性,假设电缆长度为m km,以每km为单元,构建等效电路如图5所示。任一单元中每相等效电路参数记作l0、r0和Cg0,则整体等效电路具有m层结构。每层首、末段电压与电缆电流关系为
 (9)
  式中,x∈[1,m-1],ip(x+1)= ipx- ileakpx,ileakpx=Cg0dupx/dt。
   
   图5 m层电缆等效电路
Fig.5 Equipment circuit of cable with m ladder
在s域,记连接电缆等效共模参数为Z1=m(r0+ sl0)/3,Y1=3mCg0s,其首、末端电压和电流共模分量的关系为
(10)
  式中,
结合图4变压器等效电路,得到如图6所示的网侧系统共模等效电路,以及式(9)边界条件,有
 (11)
   
图6 网侧系统共模等效电路
Fig.6 CM circuit of grid-side system
结合式(10)和式(11),求解网侧系统始端三相电压和运行电流的共模分量代数关系。从电缆首端看入,网侧系统的共模等效阻抗Zcm ac为
 (12)
  图6是网侧系统通用共模等效电路,式(12)是其共模等效阻抗通用表达式,即对含任一长度电缆线路的网侧系统描述均适用。根据电缆长度m取值不同,对Zcm ac做出以下三种定性讨论。
1)当m→0,
→0,
。Zcm ac主要反映变压器对地绝缘老化情况(CgT增大)。
2)当m→∞,
→1,
,其中,
,
。Zcm ac主要反映电缆对地绝缘老化情况(Cg0增大),变压器对地绝缘老化将不再体现。
3)当m取任一正值,
取值与fcm有关。Zcm ac宽频频谱的幅值和谐振点变化将同时反映电缆和变压器对地绝缘老化情况。不难理解,在中低频段,Zcm ac呈容性特征,即在双对数坐标系下,Zcm ac与频率呈负线性相关,斜率近似等于连接电缆整体等效对地电容和变压器低压侧对地绝缘电容之和,即3mCg0+3CgT。在高频段,由于连接电缆等效感性元件作用,Zcm ac产生谐振。根据图6,频率越高,网侧系统首、末端共模电压
和
差异越大。因此,更高频段谐振点处Zcm ac对CgT变化反映更灵敏。
根据以上对发电单元、并网单元和网侧系统漏电路径的分析,图3展示了漏电流在整个系统中的流通路径,即其不仅在直流侧光伏板对地寄生电容中流通,还在网侧系统对地支路中流通,这体现了交、直流侧的耦合现象。结合式(7)和式(12),图7给出了光伏发电与并网系统的共模等效电路。需要说明的是,对于不同拓扑的系统,如多台并网逆变器接入公共直流母线后经连接电缆、升压变压器送向受端电网,需要先建立逆变器单元整体的等效电路模型,即在对每种设备单元构建等效电路模型后,串联形成图7所示的系统级共模等效电路。
   图7 光伏发电与并网系统共模等效电路及耦合路径
Fig.7 CM equivalent circuit and coupling path of PV power generation and grid-connected system
由此可见,整个系统共模阻抗由四部分决定,即光伏阵列对地等效电容、LCL滤波器等效电参数、网侧电缆等效电参数和变压器对地绝缘电容。任一电参数变化都会造成漏电测量单元结果imea的宽频频谱发生改变。换言之,imea不仅反映了发电侧光伏阵列的漏电情况,网侧系统的电缆、变压器等主设备对地绝缘老化也能够反映在漏电流测量结果中。因此,并网逆变器漏电流测量单元结果可作为评估系统整体对地漏电状态的指标,但难以直接对直流侧和交流侧装备对地状态老化情况进行独立诊断。
根据图7,整个光伏发电与并网系统共模等效阻抗Zcm sys可以表示为
 (13)
  式中,
。
对比式(12)和式(13),基于漏电流的共模等效阻抗Zcm ac和Zcm sys宽频特性有以下差别:
1)Zcm ac仅反映网侧系统对地绝缘老化;Zcm sys考虑了交直流侧耦合影响,故还包括发电侧光伏阵列对地漏电情况。
2)相较于Zcm ac,光伏阵列对地寄生电容Cpv将造成Zcm sys中低频段幅值增大,LCL滤波器等效电参数将造成中高频段谐振点向左移动。
3)发电单元和网侧系统不同主设备对地状态可以反映在两个共模等效阻抗频谱的不同频段。
参照图1,在Matlab/Simulink中构建光伏发电与并网系统仿真模型。光伏阵列额定功率和电压为250 kW/480 V,NPC三电平逆变器经三相电缆、变压器(d1/Yg,380 V/10 kV)连接就地负荷(250 kW/ 10 kV)与大电网。LCL滤波器对地支路每相吸收的有功功率和容性无功功率分别设置为10%Ppv和2‰Ppv。光伏阵列、电缆和变压器等其他电参数见表1。逆变器最大功率追踪和并网控制逻辑如图8所示,采用基于扰动观测的最大功率点跟踪(Maximum Power Point Tracking, MPPT)控制,电压限值为[380 V, 580 V],步长为0.01 V;采用电压q轴分量控制为0模式进行电网电压锁相,Kp_PLL=10,Ki_PLL=350;电压外环控制参数为Kp_VDCreg=1.5,Ki_VDCreg=100;电流内环控制参数为Kp_Ireg=0.3,Ki_Ireg=20。
表1 仿真模型电路参数
Tab.1 Electrical circuit parameters of simulation model
   参数数值参数数值 Cpv/nF100m10 f0/Hz50Cg0/nF0.5 fs/kHz5r0/mΩ0.05 Lf1/mH0.2l0/mH5 Lf2/mH0.5CgT/nF2
   图8 NPC三电平逆变器控制逻辑
Fig.8 Control logic of NPC three-level inverter
根据仿真模型测量结果,采集uinv_O、u1、imea、i1,并分析300 kHz内各电气量共模幅频特性(Ucm inv_O、Ucm 1、Icm mea、Icm 1),共模电气量特征谐波频谱如图9所示。
   图9 共模电气量特征谐波频谱
Fig.9 Spectrums of characteristic harmonics of CM electrical variables
由图9a可知,并网逆变器输出电压含有大量的共模分量,Ucm inv_O谐波分布规律满足式(2),在宽频范围内形成若干特征频段,幅值包络线随频率上升整体呈递减趋势。经过LCL滤波器后,共模电压幅值大幅降低,Ucm 1在fs处衰减约-60 dB。对应地,Icm mea和Icm 1表现出了相同的幅频特性。对照图7,Icm mea表征整个系统的对地电流,大部分流经LCL滤波器对地支路,而少部分Icm 1经网侧连接电缆和变压器低压侧对地绝缘电容流入大地。根据图9,Ucm 1、Icm mea和Icm 1包络线上各谐振频率之间存在关联性。当光伏阵列发电条件和并网逆变器开关调制策略确定后,Ucm inv_O幅频特性可认为保持不变。Ucm 1、Icm mea和Icm 1作为响应量,其谐振点由整个系统电参数决定。根据式(12)和式(13),可利用Zcm ac和Zcm sys分别诊断交流侧主设备总体对地绝缘状态和整个系统对地漏电状态。
考虑到实际应用中测量单元的精度要求,选取奇数倍fs为共模阻抗的计算频率。根据式(12)和式(13),计算获得Zpv、Zcm ac和Zcm sys宽频共模阻抗谱如图10所示。
   图10 三组宽频共模阻抗幅频特性和相频特性曲线
Fig.10 Three groups of broadband CM impedance amplitude-frequency and phase-frequency curves
在100 kHz内,Zcm ac与频率呈负线性相关,由于电缆和变压器对地绝缘电容占主导作用,Zcm ac呈容性特征。Zcm ac第一个谐振点出现在185 kHz处,由于基于传输线模型的电缆参数在更高频段出现若干谐振点,故Cg0和CgT的变化会导致高频段处谐振点发生变化。此外,根据图9,Ucm 1和Icm 1在135 kHz处存在谐振点。Cg0和CgT一旦由于绝缘老化增大,将导致Zcm ac发生变化,在谐振频率下具有较高灵敏度。
在5 kHz和15 kHz处,Zcm sys≈Zpv。Zcm sys第一个谐振点出现在45 kHz处,由于LCL滤波器的电感作用,中频段Zcm sys呈感性特征,故中低频段Zcm sys受光伏阵列对地寄生电容影响较大。Zcm sys第二个谐振点出现在245 kHz处,考虑到Cfg≫Cpv、Cfg≫Cg0且Cfg≫CgT,故Zcm sys在更高频段将降低交、直流侧各装备对地漏电状态变化反应的灵敏度。
在仿真模型中,分别将Cpv、Cg0和CgT增大10%模拟光伏阵列、连接电缆和变压器低压侧的对地漏电状态变化。图11展示了四组装备对地状态下Zcm ac和Zcm sys的分段阻抗谱。根据图11a,全频段Zcm ac不受Cpv变化影响;线性段和谐振段受Cg0和CgT变化影响明显。根据图11b,中低频段Zcm sys受Cpv变化影响明显;高频段对各装备对地漏电状态变化无灵敏反应。因此,图11所示两个共模阻抗变化规律与前述定性分析结论一致。
   图11 多装备状态变化下的分段共模阻抗谱
Fig.11 Segmented CM impedance spectrums under different equipment conditions
基于以上对指定仿真模型共模阻抗Zcm ac和Zcm sys的定量分析,得到以下一般性结论:
1)Zcm ac全频段内不反映光伏阵列对地漏电状态变化情况;其线性段反映连接电缆和变压器的总体对地绝缘状态。
2)Zcm sys线性段对光伏阵列对地漏电状态灵敏度高;其中高频段(谐振段右侧)对反映系统各装备对地漏电状态变化的灵敏度不足。
3)根据式(12)和式(13),利用fs处Zcm ac和 Zcm sys幅值大小,可计算3mCg0+3CgT和Cpv变化值,即能够定量诊断网侧系统主设备总体对地绝缘状态和光伏阵列对地漏电状态。对电缆和变压器的独立监测需做进一步分析。
并网逆变器快速开关动作产生的高频谐波会被LCL滤波器有效滤除,即并网点三相电压和电流谐波分量的测量信噪比大幅降低。考虑到实际应用中电流测量单元的精度要求,在线获得宽频阻抗谱Zcm ac具有一定难度。
参考测量单元带宽与精度配置参数,选取Icm 1幅频特性上的有效频率,记作fc。根据图7,两个共模漏电流Icm mea和Icm 1在fc处比值H1为
 (14)
  式(14)表明,H1与直流侧光伏阵列对地漏电状态无关,能够直接体现网侧总体等效共模阻抗 Zcm ac的变化。当|ΔH1/H1|>ε时,判定网侧主设备对地绝缘状态发生明显老化,ε设定为0.03。
根据图9,Icm 1在300 kHz内有两个并联谐振频段,中心频率分别是45 kHz和135 kHz。为保证测量精度,选取开关频率和谐振频段上幅值最高的频率点,即fc1= 5 kHz,fc2= 43.8 kHz,fc3= 134.1 kHz,得到四组装备对地状态下H1计算结果,见表2。表2中,直流侧光伏阵列对地漏电状态对H1无影响;连接电缆或变压器对地绝缘老化使得H1发生明显变化;当Cg0或CgT增大相同程度时,H1能够更灵敏地反映连接电缆对地绝缘老化状态,与前述定性分析结论一致。
表2 仿真模型中H1计算结果
Tab.2 Calculation results of H1 in simulation model
   H1健康110%Cg0110%CgT110%Cpv fc11 3591 146 (√)1 268 (√)1 359 (×) fc21 5301 283 (√)1 419 (√)1 529 (×) fc39.24467.06 (√)42.64 (√)9.267 (×)
根据以上理论分析和仿真结果,明确了漏电流幅频特性及共模阻抗谱在不同装备对地状态老化情况下的变化规律。鉴于此,本文提出一种基于漏电流的光伏发电与并网系统共模阻抗模型和利用方法,实现交、直流侧装置对地健康状态的解耦分析与独立诊断。其核心是在并网逆变器控制下,直流母线电压保持相对稳定,共模电流Icm mea幅频特性由整个系统对地等效电参数决定;Icm mea和Icm 1在fc处比值H1与直流侧光伏阵列对地漏电状态无关,仅能够反映交流侧主设备对地绝缘状态变化。当硬件装置允许多路电压数据(upinv、up1和uOg)采集与处理时,可根据式(12)和式(13)计算得到宽频共模阻抗谱Zcm ac和Zcm sys,并对其线性段做进一步分析,定量计算交、直流侧装备对地状态等效电参数。综上所述,根据现场硬件配置,基于漏电流的光伏发电与并网系统交、直流侧对地状态在线诊断策略具体流程如图12所示。
   图12 综合诊断策略流程
Fig.12 Flow chart of comprehensive diagnosis strategy
在实际应用中有三点影响因素需进一步讨论。
1)宽频阻抗谱Zcm sys和Zcm ac关注频段在几kHz~百kHz。系统环境噪声和电磁噪声频率通常在MHz级别,且可认为这些噪声不具备明显的周期性特征。数据采集滤波和数据频谱分析过程中该噪声影响能够被有效规避。
2)并网逆变器调制方式和死区时间会影响输出电压共模分量的宽频分布特征。考虑到Zcm sys和Zcm ac仅与系统内各装置等效电参数有关,与共模电压激励无关,Zcm sys和Zcm ac反映交、直流侧装置对地状态的变化规律不受并网逆变器控制因素影响。
3)需要注意LCL滤波器内元件状态变化对诊断结果的影响。参考式(13)及式(14),Lf1、Lf2和Cf一般不影响Zcm sys线性段幅频特性,不影响利用Zcm sys诊断的光伏阵列对地漏电状态结果。然而,LCL滤波器参数可能会影响非线性段Zcm sys幅频特性和H1在fc处的数值。可以利用一类参数辨识法对LCL滤波器参数进行准确估算[26],再对Zcm sys或H1进行修正,使检测结果具有可比性。
搭建的额定功率为20 kW的两电平逆变器并网在线测试平台如图13所示,直流母线电压额定值为700 V。测试平台内各元件对应所构建理论模型的各个单元,即直流电源、并网逆变器、电缆、变压器、电网,各元件等效电参数见表3。为了提供漏电流对地回路,各装置对地状态用高压瓷片电容模拟,通过改变其容值来模拟漏电状态变化,即容值增大,光伏阵列漏电现象加重。
   图13 在线测试平台
Fig.13 Online experimental setups
表3 实验平台元件参数
Tab.3 Element parameters in experiment setups
   参数数值参数数值 f0/Hz50Cf/μF25 fs/kHz5Rf/Ω200 Lf1/mH1.7Cg0/nF1.2 Lf2/mH1.7l0/mH2.5 Cpv/nF30CgT/nF3
光伏发电侧以直流源模拟,输出电压200 V。高压瓷片电容连接在两电平逆变器直流母线正/负极和大地之间,模拟直流侧对地寄生电容。经过LCL滤波器后,以一组高压瓷片电容和电感模拟电缆等效电参数,变压器三角形绕组对地绝缘以一组高压瓷片电容模拟,星形绕组连接电网模拟器(100 V)。差分探头Tektronix THDP0100用于测量upinv-O、up1和Δudc;高精度电流传感器Bergoz ACCT-S-055-MSH用于测量逆变器输出和并网点处三相电流之和imea及i1。示波器Tektronix DPO 2014B读取实时波形。控制器采样频率为20 kHz,示波器采样频率为500 kHz。
图14展示了各测点电气量时域波形和100 kHz内幅频特性。逆变器输出电压工频有效值为89.8 V,输出电流工频有效值为15.5 A,输出功率为4.2 kW。如图14a所示,逆变器直流母线上下两个电容压差Δudc近似为0;Ucm inv_O幅频特性满足式(1),以开关频率fs的倍频值为中心形成若干边频带,在fs处Ucm inv_O幅值为56.6 V;随频率增大,Ucm inv_O特征谐波幅值整体呈现先减小后增大趋势。如图14b所示,逆变器输出电流以50 Hz呈正弦波,三相之和imea峰值小于0.5 A,在fs处Icm mea幅值为82.6 mA。如图14c所示,并网点处电压up1包含一定谐波,在fs处Ucm 1幅值为7.54 V;三相电流之和i1峰值约为0.2 A,在fs处Icm 1幅值为3.02 mA;随频率增大,Icm 1特征谐波幅值整体呈现先增大后减小趋势。
   图14 示波器时域波形和幅频特性
Fig.14 Time-domain waveforms from oscilloscope and amplitude-frequency characteristics
选取Icm 1每个特征频段内幅值最大点,根据式(12)和式(13),计算各fc处Zpv、Zcm ac和Zcm sys,得到如图15所示的宽频共模阻抗谱。Zcm ac第一个谐振点出现在50.45 kHz处,在中低频段内,Zcm ac与频率呈负线性相关,呈容性特征;随后呈现感性特征。Zcm sys第一个谐振点出现在30.45 kHz处,在中低频段内, Zcm ac与频率呈负线性相关,呈容性特征;随后,受LCL滤波器对地支路电阻元件影响,Zcm sys幅值随频率变化缓和,在几百到几十欧姆范围内波动,并在70 kHz以上呈感性特征。对比图10,在线测试结果的宽频阻抗特性表现类似,其差异源于两点:①电缆以一层LC元件模拟,Zcm ac中高频段无明显变化的谐振段;②计及电感元件高频阻性特征,系统整体阻抗数值提升,影响谐振点阻抗幅值。
   图15 共模阻抗谱:健康状态
Fig.15 CM impedance spectrums under the healthy condition
在直流侧两个对地支路上分别再并联1.5、3和6 nF高压瓷片电容,以模拟5%~20%老化程度下的光伏阵列对地漏电状态变化情况,包括健康状态在内的四组宽频共模阻抗谱Zcm ac和Zcm sys。直流侧对地等效寄生电容变化如图16所示,Cpv增大对Zcm ac无影响,但Zcm sys线性段幅值明显减小。在更高频段,Zcm sys幅值反映Cpv变化的灵敏度降低。20%光伏阵列对地漏电老化情况造成Zcm sys幅值在50.45 kHz处变化 5 Ω。根据图12,采用Zcm sys线性段进行光伏阵列对地漏电老化状态的定量诊断。在三组老化情况下,Cpv的变化量计算结果分别为1.58、3.12、6.23 nF,与高压瓷片电容实际容值相比,误差小于4%。
   图16 共模阻抗谱:直流侧对地等效寄生电容变化
Fig.16 CM impedance spectrums under the change of equivalent parasitic capacitance on DC side
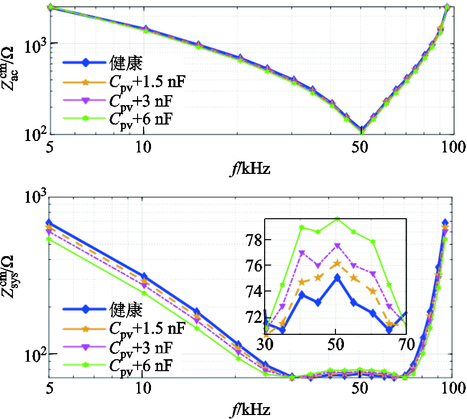
在交流侧对地支路上分别再并联三组高压瓷片电容,以模拟不同程度电缆和变压器对地绝缘老化情况(Cg0增大18.3%或CgT增大14.6%),包括健康状态在内的四组宽频共模阻抗谱Zcm ac和Zcm sys如图17所示。与理论分析和仿真案例一致,Cg0和CgT增大对Zcm sys线性段无影响,低阻抗谐振段产生明显变化,谐振点幅值变化几十欧姆。Zcm ac全频段幅频特性均能灵敏反映Cg0和CgT变化。在50.45 kHz谐振点处,Zcm ac幅值变化近百欧姆。根据图12,采用fs处Zcm ac幅值计算交流侧主设备总体对地绝缘等效电容。四组Cg0+CgT计算结果分别为4.244、4.429、4.633、5.033 nF,误差小于2%。
   图17 共模阻抗谱:交流侧对地等效绝缘电容变化
Fig.17 CM impedance spectrums under the change of equivalent insulating capacitance on AC side
根据图12中综合诊断策略,采用fs处Icm mea幅值变化定性判断交、直流侧对地状态老化情况。fs处 Icm mea幅值如图18所示,对于组1~组4,Cpv递增20%时,Icm mea幅值线性增大;对于组5~组7,Icm mea幅值不受Cg0和CgT变化影响。表4列举了三个fc下H1的计算结果,与理论分析和仿真案例一致,H1不受直流侧光伏阵列对地漏电状态影响,能够灵敏地反映交流侧主设备对地绝缘状态老化情况。Cg0增大18.3%导致H1|5fs降低7.4%;CgT增大14.6%导致H1|5fs降低14.0%。
   图18 fs处Icm mea幅值
Fig.18 Magnitudes of Icm mea at fs
表4 在线实验中H1计算结果
Tab.4 Calculation results of H1 in online experiments
   fc 健康直流侧Cpv增大交流侧Cg0或CgT增大 组1组2组3组4组5组6组7 5fs5.6005.6005.5735.5535.1854.8184.189 9fs1.0411.0341.03331.0250.9060.7970.624 13fs2.9222.9122.8942.8782.6772.4582.272 H1判定—几乎无影响随老化明显降低
针对光伏发电与并网系统漏电现象严重问题,本文阐述了利用光伏并网逆变器特征谐波共模分量的监测机理,构建了考虑交直流耦合的系统级共模等效电路模型,推导了光伏阵列、连接电缆和升压变压器对地等效电容与共模阻抗的数学关系,分析了各装备对地状态老化对共模阻抗谱和共模漏电流幅频特性的影响。本文核心创新工作是提出了一种基于漏电流的光伏发电与并网系统共模阻抗模型与利用方法,实现了交、直流侧装置对地健康状态的解耦分析与独立诊断。通过理论论证、仿真分析和实验验证,得到以下结论:
1)光伏并网逆变器产生的固有特征谐波共模电压不会传变到变压器高压侧;共模电流在对地支路中形成回路,不受网侧负荷波动影响。
2)构建的系统级宽频共模阻抗模型对不同容量的光伏发电与并网系统具有普适性。Zcm sys和Zcm ac在fs处幅值分别用于量化光伏阵列对地漏电状态以及交流侧主设备整体对地绝缘老化状态。在线实验显示,交、直流侧诊断误差分别在4%和2%以内。
3)直接利用漏电流幅频特性,提出的共模漏电流比值H1规避了直流侧对地漏电状态变化的影响,并随着交流侧主设备对地绝缘老化程度增加明显降低,通过在线实验得以验证。
4)独立诊断网侧系统多种主设备对地绝缘老化状态,并可根据Zcm sys谐振段变化做进一步分析。
参考文献
[1] 谢小荣, 马宁嘉, 刘威, 等. 新型电力系统中储能应用功能的综述与展望[J]. 中国电机工程学报, 2023, 43(1): 158-169.
Xie Xiaorong, Ma Ningjia, Liu Wei, et al. Functions of energy storage in renewable energy dominated power systems: review and prospect[J]. Proceedings of the CSEE, 2023, 43(1): 158-169.
[2] IEA World Energy Outlook 2023[EB/OL]. https:// www.iea.org/reports/world-energy-outlook-2023.
[3] Zhang Peng, Wang Yang, Xiao Weidong, et al. Reliability evaluation of grid-connected photovoltaic power systems[J]. IEEE Transactions on Sustainable Energy, 2012, 3(3): 379-389.
[4] 王小宇, 刘波, 孙凯, 等. 光伏阵列故障诊断技术综述[J].电工技术学报, 2024, 39(20): 6526-6543. Wang Xiaoyu, Liu Bo, Sun Kai, et al. A review of photovoltaic array fault diagnosis technology[J]. Transactions of China Electrotechnical Society, 2024, 39(20): 6526-6543.
[5] 康劲松, 张凤岗. 基于谐波提取的非隔离型并网光伏逆变器漏电流检测研究[J]. 中国电机工程学报, 2020, 40(7): 2113-2122, 2391.
Kang Jinsong, Zhang Fenggang. Research on leakage current detection of transformerless grid-connected photovoltaic inverter based on harmonic extraction[J]. Proceedings of the CSEE, 2020, 40(7): 2113-2122, 2391.
[6] 刘恒, 马铭遥, 张志祥, 等. 热斑晶硅光伏组件I-V曲线分析及特征模拟研究[J]. 太阳能学报, 2021, 42(4): 239-246.
Liu Heng, Ma Mingyao, Zhang Zhixiang, et al. Study on I-V curve analysis and characteristic simulation of silicon photovoltaic module with hot spot[J]. Acta Energiae Solaris Sinica, 2021, 42(4): 239-246.
[7] 王鹏, 赵政嘉, 刘雪山, 等. 电力电子设备中的电气绝缘问题[J]. 高电压技术, 2018, 44(7): 2309-2322.
Wang Peng, Zhao Zhengjia, Liu Xueshan, et al. Electrical insulation problems in power electronics devices[J]. High Voltage Engineering, 2018, 44(7): 2309-2322.
[8] Zhong Xin, Ekanayake C, Ma Hui, et al. Ageing analysis of solar farm inverter transformers[J]. IEEE Transactions on Power Delivery, 2021, 36(6): 3815-3824.
[9] 吴阳, 张品佳. 基于漏电流测量的配电网电缆高精度状态感知技术研究[J]. 中国电机工程学报, 2022, 42(8): 2929-2940.
Wu Yang, Zhang Pinjia. High-accuracy condition sensing for power cables in distribution grids based on leakage current measurement approach: an overview [J]. Proceedings of the CSEE, 2022, 42(8): 2929-2940.
[10] DKE. Safety of power converters for use in photovoltaic power systems part 2: particular requirements for inverters: VDE 0126-14-2:2012[S]. Germany: DKE, 2012.
[11] IEC. Safety of power converters for use in photovoltaic power systems-part 1: general requirements: IEC 62109-1: 2010[S]. Geneva: IEC, 2010.
[12] 国家市场监督管理总局, 国家标准化管理委员会. 光伏发电并网逆变器检测技术规范: GB/T 37409—2019[S]. 北京: 中国标准出版社, 2019.
[13] 钟彦平, 帅挽澜, 余笑侬, 等. 基于“国网芯”的含光伏配电网保护研究[J]. 电气技术, 2019, 20(8): 126-130.
Zhong Yanping, Shuai Wanlan, Yu Xiaonong, et al. Research on protection of distribution network containing photovoltaic based on “State Grid chip”[J]. Electrical Engineering, 2019, 20(8): 126-130.
[14] 肖华锋, 王晓标, 张兴, 等. 非隔离光伏并网逆变技术的现状与展望[J]. 中国电机工程学报, 2020, 40(4): 1038-1054, 1397.
Xiao Huafeng, Wang Xiaobiao, Zhang Xing, et al. State-of-the-art and future trend of transformerless photovoltaic grid-connected inverters[J]. Proceedings of the CSEE, 2020, 40(4): 1038-1054, 1397.
[15] 肖华锋, 谢少军, 陈文明, 等. 非隔离型光伏并网逆变器漏电流分析模型研究[J]. 中国电机工程学报, 2010, 30(18): 9-14.
Xiao Huafeng, Xie Shaojun, Chen Wenming, et al. Study on leakage current model for tansformerless photovoltaic grid-connected inverter[J]. Proceedings of the CSEE, 2010, 30(18): 9-14.
[16] Figueredo R S, Matakas L. Integrated common and differential mode filter with capacitor-voltage feedforward active damping for single-phase transformerless PV inverters[J]. IEEE Transactions on Power Electronics, 2020, 35(7): 7058-7072.
[17] 邬伟扬, 郭小强. 无变压器非隔离型光伏并网逆变器漏电流抑制技术[J]. 中国电机工程学报, 2012, 32(18): 1-8, 170.
Wu Weiyang, Guo Xiaoqiang. A review of novel leakage current suppression techniques for transfo-rmerless photovoltaic inverters[J]. Proceedings of the CSEE, 2012, 32(18): 1-8, 170.
[18] 郭小强, 周佳乐, 贾晓瑜, 等. 三相级联型光伏并网逆变器漏电流抑制研究[J]. 中国电机工程学报, 2019, 39(2): 594-603, 656.
Guo Xiaoqiang, Zhou Jiale, Jia Xiaoyu, et al. Leakage current reduction of three-phase cascaded PV grid-connected inverter[J]. Proceedings of the CSEE, 2019, 39(2): 594-603, 656.
[19] 张洪亮, 张子成, 陈杰, 等. 自适应三次谐波注入的回接型LCL光伏逆变器共模谐振电流抑制方法[J]. 电工技术学报, 2023, 38(1): 220-233.
Zhang Hongliang, Zhang Zicheng, Chen Jie, et al. Common-mode resonant current suppression for back-connected LCL photovoltaic inverter using adaptive third harmonic injection[J]. Transactions of China Electrotechnical Society, 2023, 38(1): 220-233.
[20] 徐畅, 宫金武, 张国琴, 等. 中点钳位型三电平逆变器并联系统的零序环流抑制策略[J]. 电工技术学报, 2023, 38(增刊1): 124-135.
Xu Chang, Gong Jinwu, Zhang Guoqin, et al. Suppression strategy of zero-sequence circulating current in parallel system of neutral-point clamped three-level inverter[J]. Transactions of China Electrotechnical Society, 2023, 38(S1): 124-135.
[21] 郭小强, 贾晓瑜. 无变压器三相直流旁路光伏逆变器共模特性研究[J]. 中国电机工程学报, 2017, 37(11): 3270-3277, 3383.
Guo Xiaoqiang, Jia Xiaoyu. Common mode behavior analysis of transformerless three-phase DC-bypass PV inverters[J]. Proceedings of the CSEE, 2017, 37(11): 3270-3277, 3383.
[22] 余畅舟, 张兴, 刘芳, 等. 组串式LC型光伏逆变器并网谐波环流及其抑制策略分析[J]. 电力系统自动化, 2016, 40(13): 77-84.
Yu Changzhou, Zhang Xing, Liu Fang, et al. Harmonic circulating current analysis and reduction methods for LC-filter type string inverters in photovoltaic power systems[J]. Automation of Electric Power Systems, 2016, 40(13): 77-84.
[23] 陆格野, 张品佳. VSC系统换流变压器共模模型及主绝缘在线监测方法[J]. 中国电机工程学报, 2021, 41(11): 3885-3896.
Lu Geye, Zhang Pinjia. Common-mode model and method of online insulation monitoring for converter transformer in voltage sourced converter system[J]. Proceedings of the CSEE, 2021, 41(11): 3885-3896.
[24] Islam M A, Hasanuzzaman M, Rahim N A. Effect of different factors on the leakage current behavior of silicon photovoltaic modules at high voltage stress[J]. IEEE Journal of Photovoltaics, 2018, 8(5): 1259-1265.
[25] 国家电网有限公司. 分布式电源接入配电网设计规范: Q/GDW 11147—2013[S]. 北京: 国家电网有限公司, 2013.
[26] Long Bo, Yang Wandi, Hu Qinghua, et al. Moth–flame-optimization-based parameter estimation for FCS-MPC-controlled grid-connected converter with LCL filter[J]. IEEE Journal of Emerging and Selected Topics in Power Electronics, 2022, 10(4): 4102-4114.
Abstract Photovoltaic (PV) power generation is expected to be a major energy source in the future. However, the first batch of globally installed PV assets has now entered the late stage of their service life, with increasing frequency of faults and growing prominence of operation and maintenance issues. The leakage current is an effective indicator for the health condition of PV power generation and grid-connected system. It is challenging to realize online condition diagnosis of equipment on both AC and DC sides. The core innovation of this paper is the proposal of a common-mode (CM) impedance model of PV power generation and grid-connected systems and the leakage-current-based utilization method for decoupled analysis and independent diagnosis of the grounding conditions of equipment on AC and DC sides.
First, since the PV grid-connected inverter can generate characteristic harmonics in output voltage, the online diagnosis mechanism of equipment ground-wall (GW) condition is investigated using CM characteristic harmonic components. The leakage current path of equipment in PV system is analyzed. The leakage current not only flows in the parasitic capacitance of PV panel to the ground, but also flows in the GW branches of AC equipment, which reflects the coupling effect between AC and DC sides.
Second, the CM equivalent circuit of PV system is built. There are four parts, namely the equivalent capacitance of PV array to the ground, the equivalent electrical parameters of LCL filter, the GW insulating capacitances of cable and transformer. Once the electrical parameter is changed, the measuring result imea is affected. In other words, imea can reflect not only the leak state of PV array but also the GW ageing condition of AC equipment. The changes of frequency-amplitude curves can indicate the grounding conditions of equipment on both AC and DC sides. Besides, the ratio of Icm mea and 
, defined as relation H1, is proposed. H1 is clarified with effects by the change of Zcm ac but nothing to do with the leak state of PV array.
Third, the leakage-current-based diagnosis strategy is proposed to realize the decoupling and independent diagnosis of equipment conditions on AC and DC sides. The ratio H1 at fc has nothing to do with the leak state of PV array but can only reflect the change of GW insulating ageing condition on AC side. Two broadband CM impedance spectra (Zcm ac and Zcm sys) can be calculated and their linear segments can be used to calculate the total equivalent GW insulating capacitances of cable and transformer.
Fourth, the simulation and online experiments are conducted to validate the proposed method effectiveness. The conclusions are drawn. For one thing, Zcm sys and Zcm ac in linear segment can quantify the leak state of PV array and the GW insulating ageing condition of AC equipment, respectively. Online experiments show that the diagnosis error of each side is less than 4% and 2%, respectively. For another, H1 can avoid the effect of leak state of PV array but can significantly decrease with the GW insulating ageing condition of AC equipment. Hence, since the effect on the measured leakage current is decoupled, independent diagnosis of PV array and equipment on AC and DC sides is enabled based on the proposed method in this paper.
Keywords:Photovoltaic power generation, leakage current, characteristic harmonics, common-mode impedance, condition diagnosis
中图分类号:TM615
DOI: 10.19595/j.cnki.1000-6753.tces.241409
中央高校基本科研业务费专项资金(2024XKRC033)和国家自然科学基金(52207208, 52307063)资助项目。
收稿日期 2024-08-07
改稿日期 2025-01-09
陆格野 女,1993年生,副教授,硕士生导师,研究方向为新能源系统与装置状态监测与故障诊断。
E-mail:gylu@bjtu.edu.cn(通信作者)
郑大勇 男,1994年生,博士,副教授,研究方向为电气设备状态在线监测。
E-mail:10283@bjtu.edu.cn
(编辑 赫 蕾)