摘要 新能源大基地通过直流输电外送时,因为风光汇集线路两侧均为电力电子电源,提供的短路电流幅值受限、相位受控且波形畸变,导致差动保护动作性能下降,甚至存在拒动的风险。针对上述问题,该文在分析不同控制策略下柔直换流站和新能源并网变流器故障特征差异的基础上,通过比较输电线路区内外故障时两侧电流的波形特征的差异,提出基于时域分布熵比较的保护新原理。在RTDS硬件在环实验平台中搭建了经柔直换流站送出的新能源大基地汇集系统测试平台,不同场景测试结果证明所提保护可以在故障后10 ms以内正确地判断各种故障类型,具有良好的耐过渡电阻和耐噪声的能力。
关键词:新能源 故障特征 时域分布熵 纵联保护
建设以沙漠、戈壁、荒漠地区为重点的新能源大基地是我国推进“碳达峰、碳中和”目标的重要举措。新能源大基地通过直流输电送出[1-2],在远离同步电源的场景下,通过建设构网型换流站,支撑新能源并网。基地中的新能源交流汇集系统线路两侧短路电流由类型不同的电力电子变流设备提供,故障电流均呈现受限、畸变特性且波形畸变的特征,导致保护装置感受到的基频幅值、相位特征随机变化[3-4],造成差动保护动作性能下降,甚至存在拒动的风险[5-6],难以保证系统安全运行,亟待纵联保护新原理的出现。
现有的纵联保护可根据所利用的特征量分为频域量保护和时域量保护。其中频域量保护主要分为基于基频分量改进的保护、基于转速频分量的保护、基于高频分量的保护。对于基于基频分量改进的保护,文献[7]针对新能源电源的弱反馈问题,提出了基于电流幅值比的改进策略,通过比值的方式放大故障特征,然而新能源电源故障电流成分复杂,工频量难以提取,且存在动作速度较慢的弊端。对基于转速频分量的保护,文献[8-9]分别利用故障后双馈型风机转速频电流分量和差动电流与差动电压的一阶导数形成适用于新能源电源送出线路的纵联保护新原理。但该类原理目前具有适用条件受限、计算精度受新能源电源转速频分量和高频谐波分量影响、不适用于逆变电源等弊端,难以推广。对于基于高频分量的保护,文献[10]提出了利用故障频域特性差异构建图像对比的保护新原理,然而当发生高阻故障的时候,保护动作性能下降,难以准确识别故障。
基于时域特征的纵联保护,主要分为基于模型识别的保护、基于行波的保护、基于波形特征比较的保护。对基于模型识别的保护,文献[11-13]提出了基于模型识别的纵联保护特性分析,考虑了线路电容的影响,根据电压电流在发生故障的时候是否符合电容模型来区分区内外故障,但是电容模型存在微分量,易放大高频噪声。对基于行波的保护,文献[14-15]面向新能源电源接入的行波保护利用测量行波在故障点与保护安装处之间的传播时间实现故障区域识别,其计算精度依赖波头识别和波速估计。对基于波形特征比较的保护,文献[16-19]提出了基于两侧故障电流波形差异的保护,具有良好的速动性和可靠性,但出现采样异常后,保护动作性能下降,存在拒动的风险。
现有的基于频域特征保护需要依赖极高的采样频率,并且易受噪声等因素的影响,而现有的基于时域特征的保护虽然不需要极高的采样频率,但是其动作性能在不同场景下存在不正确动作的风险。因此本文提出了基于时域分布熵的纵联保护新原理,利用两侧电流相频特征差异准确区别区内外故障,和现有研究的保护相比,具有较好的耐受异常扰动的能力,解决了差动保护在无同步电源场景下动作性能下降的问题。在RTDS硬件在环(Hardware in the Loop, HiL)实验平台长采用不同故障场景全面测试并对比保护性能,实验结果表明所提保护方法能够耐受150 Ω的过渡电阻和20 dB的噪声,并且可以在遇到异常值的时候确保保护不误动。
以藏东南至粤港澳大湾区柔直工程为例,图1给出了新能源大基地交流汇集系统输电线路示意图,本文关注220 kV线路。
   图1 新能源大基地交流汇集系统输电线路示意图
Fig.1 Schematic diagram of the exchange and collection route of the new energy base
220 kV汇集线路两侧分别连接新能源与柔直变流设备,下面分别从不同变流设备控制策略的角度分析两侧的故障特征。
1.1.1 柔直换流站故障特征
根据电力电子换流器的线路拓扑示意图,可以得到dq坐标系下的线路方程为
 (1)
  式中,ud、uq分别为电力电子换流器出口侧d、q轴电压;ugd、ugq为电动势;id、iq分别为d、q轴电流;w为工频角频率;L为等效电感;R为线路电阻;ω为工频角频率。
为了确保风电场正常运行,送端换流器需要给风电场提供稳定的电压和频率,因此采用电压-频率控制方式[20-21],dq坐标系下的控制方程为
 (2)
  式中,kp为电压-频率控制的比例调节系数;ki为电压-频率控制的积分调节系数;
、
分别为分别d轴、q轴电压ugd、ugq的指令值。
可以推导得到二阶微分方程为
 (3)
  最终通过坐标变换可以得到柔直换流站三相故障电流为
 (4)
由故障电流解析式(式(4))可以看出,故障电流主要为工频电流量、直流衰减分量和二倍频衰减分量的叠加。其中,稳态分量中A(t)和柔直换流器控制响应有关,暂态分量中A1和A2为常数。
1.1.2 风光机组变流设备故障特征
风光机组变流设备分为全功率变流器和双馈变流器[22],其中全功率变流器主要用于永磁型风机和光伏电源,双馈变流器以双馈型风机为主,本小节对不同类型变流设备的故障电流波形进行解析。
对于全功率变流器,根据风电并网换流器控制系统可以得到dq坐标系下的控制方程为
(5)
  式中,kip、kii分别为电流控制环的比例、积分调节系数;
、
分别为d、q轴电流指令值。
将线路方程式(1)与控制方程式(5)联立可以推导得到二阶微分方程为
 (6)
  最终可以得到风电并网换流器提供的故障电流表示形式[23]为
 (7)
由式(7)可以看出,故障电流主要为工频电流量、工频衰减分量的叠加。其中,稳态分量B和暂态分量的B1和B2为常数。同时由于锁相环(Phase Locked Loop, PLL)的响应时间,还会存在几百赫兹的非工频衰减分量[23]。
对于部分功率变流器,根据故障严重程度,双馈变流器会采取不同的控制策略。当发生严重故障时,Crowbar电阻投入,双馈风机输出的故障电流[24]为
 (8)
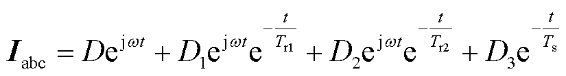
  式中,稳态分量C和暂态分量的C1和C2为常数;ωr为转速频角速度;Tr为转速频衰减常数;Ts为直流衰减常数。由解析式可以看出短路电流主要为工频电流量、转速频衰减分量、直流衰减分量的叠加。
当机端电压跌落程度较小时,采用RSC控制,双馈风机输出的故障电流[24]为
 (9)
  式中,稳态分量D和暂态分量的D1、D2和D3为常数;Tr1和Tr2为两个不同大小的工频衰减常数。由故障电流解析式可以看出故障电流主要为工频电流量、工频衰减分量、直流衰减分量的叠加。
考虑到新能源机组在故障阶段需要提供无功支撑,其输出指令值为
 (10)
  式中,K为无功补偿系数;Us为机端电压;IN为逆变器额定电流;Imax为逆变器最大通过允许电流。
柔直换流站在故障阶段为了确保柔直换流站电压相位固定,提供恒压恒频定d轴电压控制,其输出的q轴电压指令值为0。同时采用降低d轴电压指令值的方法来防止柔直换流站侧过电流。因此柔直换流站输出指令值为
 (11)
  式中,Uref为柔直换流站电压幅值指令值;kz为阻抗系数;Irms为柔直换流站短路电流有效值;Ilim为柔直换流站能够提供的电流最大值。
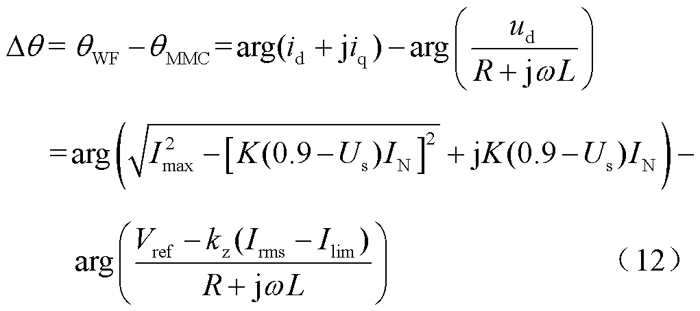
因此两侧电流相位差异为
  式中,θWF为新能源侧故障电流相角;θMMC为柔直换流站侧故障电流相角。
考虑到线路和变压器等效阻抗呈感性,柔直换流站侧电流相位将达到-80°~-70°,而新能源侧电流相位与电压跌落程度有关。由式(12)可知,随着电压跌落程度增大,q轴电流增大,d轴电流减小,新能源侧短路电流向q轴偏移,两侧电流相位差增大,如图2所示。图2中,IRES为新能源侧短路电流,IMMC为柔直换流站短路电流。在严重故障时新能源侧相位将达到40°~50°,因此两侧电流相位差将达到120°~130°[18]。
   图2 区内故障阶段电流相位差示意图
Fig.2 Schematic diagram of current phase angle difference during the fault stage within the area
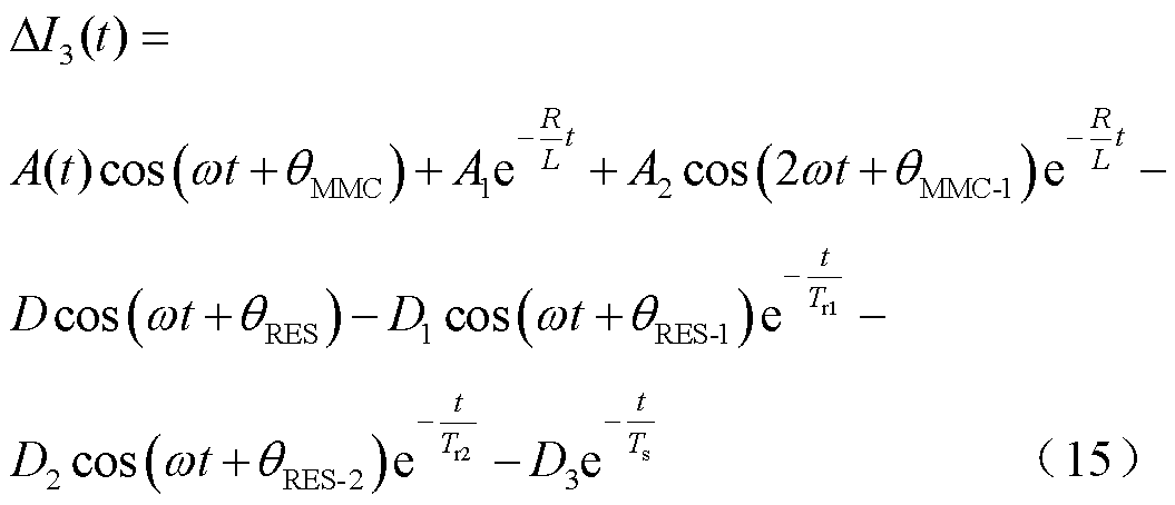
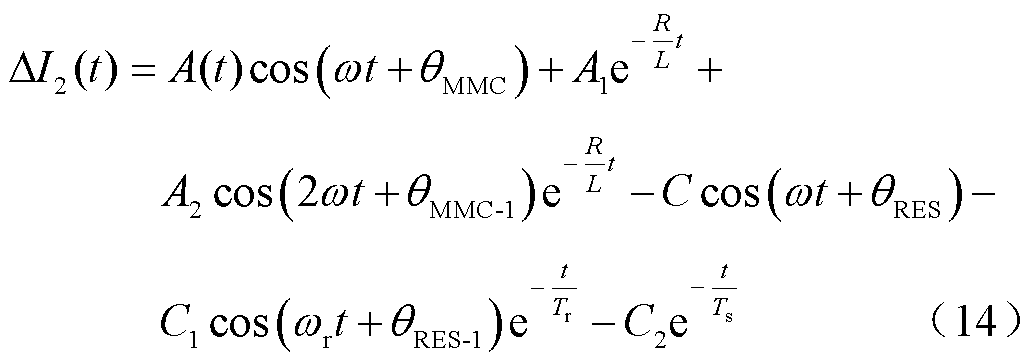
当在输电线路上发生区内故障时,柔直侧暂态电流特性由柔直换流站的故障特性决定,其表现形式如式(4)所示,新能源电源侧不同类型新能源故障特征如式(7)~式(9)所示。在第1节的故障特性分析的过程中对于不同变流设备的故障电流的电流频率成分进行分析,可知两侧暂态电流虽然均呈现非工频特性,但是所包含的非工频分量存在差异,其不同正弦信号的叠加将会影响其时域分布,因此构建时域分布熵,利用积分的形式来进一步对差异进行分析。
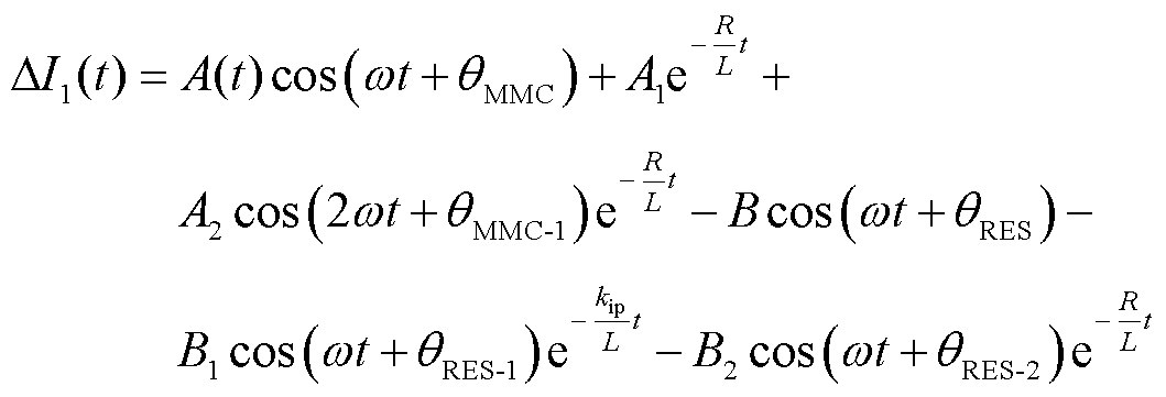
考虑到相频特性差异,发生区内故障时,可以根据式(4)、式(7)~式(9)和式(12)得到两侧电流在时域上的差动值为
 (13)
  
  
  式中,ΔIφ为三种新能源并网换流器的控制策略下与柔直换流站提供的电流的差值,φ取1, 2,3。
由式(13)~式(15)可知,此时两侧电流差值体现出非工频特性,且仅考虑稳态相位差qRES和qMMC的影响,其相位差最大将达到130°[18]。因此需构建不受非工频影响且对相位差变化差异较敏感的保护算法。
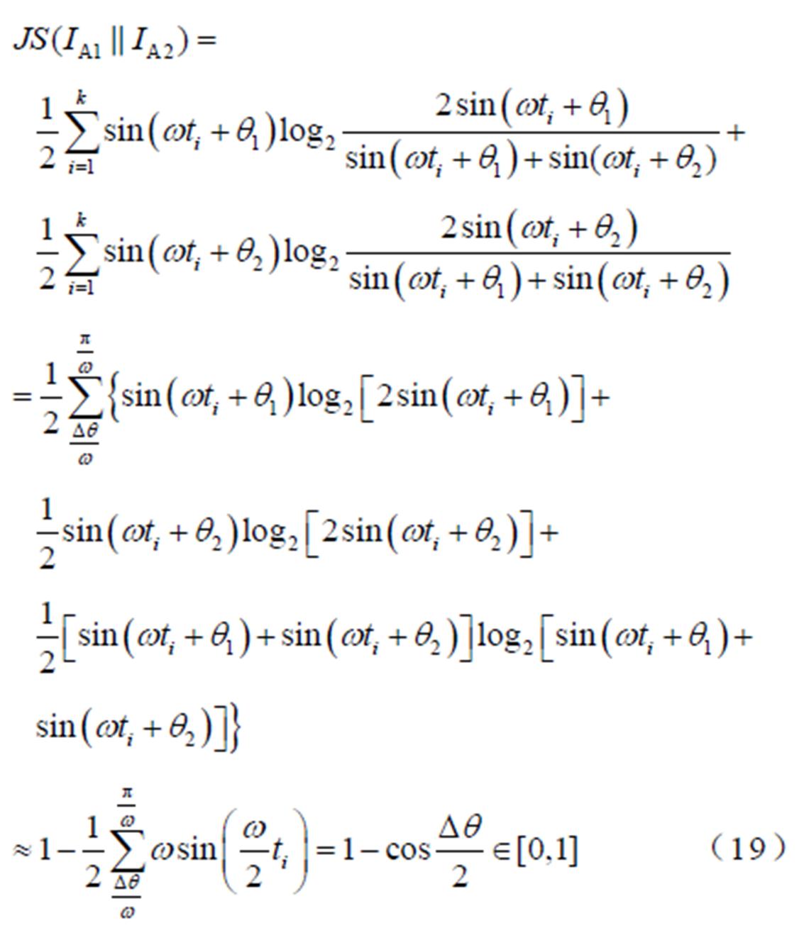
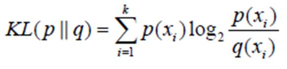
由于频率、相位差异叠加造成的时域特征分布差异如图3所示。图3中,红色的采样点与蓝色的采样点分别表示柔直换流站和新能源提供的短路电流的采样点,相频差异造成的时域特征差异将导致时域采样差值具有非周期性。因此通过逐个采样差值定性叠加的方式,仿照信息熵的形式,利用指数函数对非线性差异的高敏感度构建积分算子:
   图3 时域特征分布差异示意图
Fig.3 Schematic diagram of temporal feature distribution differences
 (16)
  式中,KL为积分算子;xi为连续随机变量的取值;k为一个采样窗的采样点数;p(xi)和q(xi)为两个离散概率分布的概率密度函数。
基于积分算子构建时域分布熵为
 (17)
  由于时域分布熵具有对称性,其同时考虑p(xi)在q(xi)的差值积分以及q(xi)在p(xi)的差值积分。因此时域分布熵的取值在0~1之间,当两侧概率密度函数积分差值较小时,时域分布熵趋于0;当两侧概率密度函数积分差值较大时,时域分布熵趋于1。对应于线路保护的场景,当发生区内故障时,故障相时域分布熵的计算值向1趋近;当发生区外故障或者正常运行时,时域分布熵的计算值向0趋近。
利用时域分布熵对经过预处理之后的两侧电流采样值相频差异进行分析,此时时域分布熵的计算值分别为:
1)考虑频率特征差异。由式(13)~式(15)可知,当两侧电流为不同电力电子换流器提供的短路电流时,其频率存在差异。因此当两侧采样值分别为IA1=Asin(ω1ti),IA2=Asin(ω2ti)时,其中ω1、ω2和A为两侧电流的角频率和幅值,ω1≠ω2。考虑不同频三角函数满足正交性,其时域分布熵为
 (18)
  因此,面对不同频率采样值时,时域分布熵的取值将趋近于0.5。
2)考虑相位特征差异。针对两侧采样值相位差范围较大的情况,将两侧采样值分别取为IA1=Asin(ωti+q1),IA2=Asin(ωti+q2)时,其中相位差为∆q=q1-q2,其时域分布熵为
  对于积分内的三个函数叠加的形式,其在[∆q, π]的范围内可以近似等效为类正弦函数的形式。因此面对相位差逐渐增大的电流采样值时,时域分布熵的计算值将以类余弦函数的规律降低。
由于概率密度函数存在非负性和归一性,因此需要对两侧电流信号进行预处理,预处理操作步骤如下:
(1)进行非负性处理,对采样窗长为T的电流信号采样数据进行绝对值处理,当电流信号采样值x(i)≥0时,则x(i)=x(i), x(i+T)=0;当电流信号采样值x(i)<0时,则x(i)=0, x(i+T)=ïx(i)ï,即可以得到数据长度为2T的数组。
(2)为了消除0对于时域分布熵计算的影响,令数组加上辅助系数ε。
(3)对新构建的数组进行归一化处理。
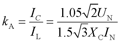
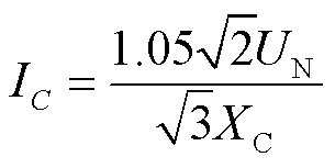
对于步骤(2)中提及的裕度系数的取值,需要避免因取值过大而影响保护的灵敏度,同时也需要防止因取值过小而导致区内故障时分布式电容电流影响保护动作性能。一般情况下,正常运行时的最大电压为额定电压的1.05倍,因此电容电流的最大幅值为
(20)
  式中,
为电容电流;
为额定电压;
为线路容抗。
考虑到电力电子换流器的耐流能力上限为额定电流的1.2~1.5倍[25],电容电流和线路电流幅值的比值为
(21)
  式中,
为电容电流和线路电流幅值比;IL为线路流入电流;IN为额定电流。
因此,考虑一定裕度,ε的取值为
 (22)
  式中,krel为裕度系数,为确保躲过电容电流可根据工程实际参数自适应调整。结合附录的线路相关参数,最终辅助系数ε取值为1/1000。
构造基于时域分布熵的纵联保护判据为
 (23)
  式中,σset为保护主判据的整定值;
、
分别为柔直换流站侧、新能源侧短路电流。
整定值的取值需要确定上限和下限,其整定值的上限应该确保在区内故障时保护不拒动,整定值的下限应该确保区外故障时保护不误动。
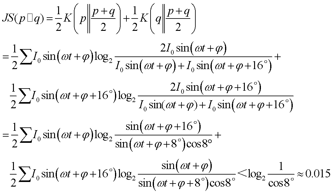
整定值下限需要计及电流互感器传变误差[26-27]以及由于光纤通信不同步[28-29]导致的误差,其中幅值误差能够达到10%,相位误差能够达到16°。考虑误差特性,正常运行情况下时域分布熵的计算值小于0.015,计算过程详见附录。因此整定值下限设置为0.015。
整定值上限需要考虑两侧电流相位差异的范围,并保留一定裕度。计算区内故障时时域分布熵的取值范围,由于在数据预处理过程中涉及归一化的过程,两侧时域特征的幅值差异在归一化过程中减小,因此时域分布熵受幅值差异影响较小。而对于区内故障时由于两侧电流相位受控导致的两侧电流相位差增大,当相位差达到最大时,时域分布熵计算值的取值方法与整定值下限的计算方式相同,经计算得到其计算值为0.197,因此整定值上限取为0.197,考虑整定值的上下限,并保留一定裕度,最终整定值设置为0.1。
启动判据采用工程上应用最广的电流突变量启动判据,结合所提保护算法,保护流程为:
(1)当保护启动后,提取10 ms窗长的三相电流,在进行预处理之后利用式(13)计算三相时域分布熵。
(2)当存在某相时域分布熵满足保护判据式(23)时,保护动作,判定为区内故障。
(3)当三相时域分布熵均不满足保护判据式(23)时,保护复位,判定为区外故障。
为了检验所提保护的动作性能,搭建了硬件在环实验平台,如图4所示。以藏东南工程的相关参数为例,在RTDS中搭建了新能源大基地柔直系统模型,如图1所示。其中故障线路接入的新能源按照全功率逆变型电源、部分功率逆变型电源两种情况考虑。新能源大基地与柔直换流站之间的距离为40 km,故障位置选取为F1~F5五个故障点,其中F1、F5为区外故障,F2、F4、F3分别为两侧近端和线路中点的区内故障。电流信号采样频率为1 kHz,时间窗选择10 ms,其他模型参数见附表1。
   图4 硬件在环实验平台
Fig.4 HiL experimental platform
根据文献[5]所示,当相位差小于90°时,差动保护仍然能正确动作;当相位差大于90°时,制动量会大于差动量,保护出现拒动的可能性。以两相相间短路故障为例,图5给出了区内故障情况下两侧电流波形差异。
由图5可以看出,当发生BC两相相间故障的时候,两侧电流波形差异较大,两侧短路电路的相位差大于90°,存在拒动的风险,而所提保护由于不只依赖工频特征,而是由频率和相位的共同特性来决定,因此仍然能正确动作。通过图6可以看出所提保护在速动性和可靠性都强于传统差动保护。
   图5 区内两相相间故障电流波形
Fig.5 Waveforms of the interphase fault current between two phases in the region
   图6 保护性能对比
Fig.6 Comparison of protections
为了进一步对比所提保护和传统差动保护的动作性能,分别在区内外不同位置设置不同类型故障。表1给出了通过硬件在环实验得到的不同故障类型下所提出的基于时域分布熵的保护和传统差动保护的动作性能。表1中,加粗字体表示保护拒动。
表1 不同故障位置处保护性能
Tab.1 The performance of the proposed protection under different location
   故障位置故障类型时域分布熵传统差动保护 A相B相C相A相B相C相 F1区外AG0.0010.0010.0010.0070.0060.006 BC0.0010.0010.0010.0070.0070.006 BCG0.0020.0010.0010.0070.0070.006 ABC0.0010.0010.0010.0070.0070.006 F2区内AG0.5990.0010.0011.6470.0060.006 BC0.0010.4090.7910.0040.7542.453 BCG0.0010.5990.590.0081.7881.674 ABC0.5010.5710.6011.6391.7471.708 F3区内AG0.9130.0020.0012.9360.0040.005 BC0.0010.7510.9890.0040.5030.575 BCG0.0010.6610.9890.0151.5261.693 ABC0.7650.7630.8991.8261.4631.651
(续)
   故障位置故障类型时域分布熵传统差动保护 A相B相C相A相B相C相 F4区内AG0.9470.0020.0013.2220.0510.008 BC0.0010.7890.9790.0030.6440.617 BCG0.0010.6090.8720.0171.5921.551 ABC0.8570.8070.9863.6091.5771.549 F5区外AG0.0010.0010.0010.0040.0050.008 BC0.0010.0020.0010.0070.0010.001 BCG0.0010.0010.0010.0170.0010.001 ABC0.0010.0010.0010.0030.0010.001
由表1可知,在区外发生不同类型故障时三相时域分布熵均小于整定值,保护不动作;而在区内故障时,非故障相时域分布熵小于整定值、故障相时域分布熵大于整定值,保护可靠动作。
针对现有的波形纵联保护原理,主要分为相量距离型[19]、突变量检测型保护[16]、相量夹角型保护[18]三种类型。本文将从数据出现异常值、新能源零出力、高阻故障、噪声干扰四种场景下进行比较。
为了比较四种保护在出现异常值时是否会发生误动作,四种保护分别在图7所示的四种场景下,在不同类型异常值下保护性能见表2。
   图7 异常数据类型
Fig.7 Exception data type
由图7所示,对于基于相量距离型保护、奇异值差动量保护和所提保护新原理在正常情况、出现两个离群数据、出现两个采空数据和出现一个离群、一个采空数据四种情况下验证动作性能。
由表2可知,对于相量夹角型与相量距离型的两种保护算法,其相量并非两侧电流的相量,而是将1个时间窗的两侧采样信号看成两个高维相量,其维数与1个时间窗内的采样信号的数量相同。该类型保护算法为了计算高维相量的特征,其往往包含平方和、均方差等算子,该类型的算子对于异常值具有放大功能,因此导致这两类算法受异常值影响较大[30-31],对异常值的耐受能力也较差,因此两种保护出现误动作。
表2 不同异常值对保护动作性能的影响
Tab.2 The effect of different outliers on the performance of protective actions
   故障场景相量距离型突变量检测型相量夹角型时域分布熵 计算值动作性能计算值动作性能计算值动作性能计算值动作性能 10.013○0.02○-0.99○0.001○ 20.609×1.75×-0.87×0.057○ 30.327×1.12×-0.89×0.042○ 40.288×0.55×-0.98○0.037○
注:○代表保护正确动作;×代表保护出现误动或拒动。
对于突变量检测型的保护算法,其通过检测两侧电流采样信号的突变特性差异进行比较,由于异常值将导致其构造的电流矩阵存在多项异常的可能性,因此该类算法对异常值耐受能力更差,因此突变量检测型保护出现误动作。
而所提保护算法由于不依赖平方算子,同时其归一化处理过程降低了异常值对整体数据的影响权重,因此所提算法具有更加良好的耐受异常值的能力,所提保护算法在出现异常值的场景下并未出现误动作。
对于新能源零出力情况性能对比,将所提保护与现有保护在新能源弱出力情况下发生三相区内故障进行验证,其中故障发生在t=0的时刻,验证结果如图8所示。由图8可知,由于相量夹角型保护在新能源弱出力的情况下保护算法无法判断故障。而对于其他算法与所提保护,在新能源弱出力时分母不会接近0,因此不会出现0/0的问题,保护仍然能正确动作。
   
图8 新能源弱出力情况保护性能对比
Fig.8 Comparison chart of protection performance in the case of weak output of new energy
有保护在过渡电阻为150 Ω的单相区内故障场景下耐受过渡电阻能力进行验证,验证结果如图9所示。
   图9 耐受过渡电阻能力对比
Fig.9 Comparison of the ability to withstand transition resistance
由图9a、图9b可知,对于相量距离型和突变量检测型保护,由于两种类型的保护受电流幅值差异影响,当发生高阻故障时,两侧电流幅值差异较小,因此影响了保护的判定,导致保护出现拒动。
由图9c、图9d可知,对于相量夹角型保护和所提保护算法,两种保护由于不受电流幅值差异的影响,因此能正确判定故障,保护在过渡电阻为150 Ω的时候仍然能正确动作。
假设故障发生在t=0的时刻,对所提保护算法与现有保护算法在20 dB的噪声下发生区外故障时的耐受噪声能力进行实验对比,结果如图10所示。由图10可知,突变量检测型保护为电流突变量特征差异比较方法,受噪声影响较大,可能发生误动。而其余保护方法由于其算法本身具有积分特性,耐噪声能力强,因此其在噪声为20 dB的时候,仍然能不误动。
   图10 耐受噪声能力对比
Fig.10 Comparison chart of noise tolerance capacity
综上所述,将所提保护算法和现有保护进行全方面比较,结果见表3。
表3 不同保护性能比较
Tab.3 Comparison of different protection performance
   性能对比相量距离型 保护[19]突变量检测型保护[16]相量夹角型保护[18]所提保护 耐150 Ω过渡电阻××○○ 采样出现异常值×××○ 新能源弱出力○○×○ 耐20dB噪声○×○○
注:○代表保护正确动作;×代表保护出现误动或拒动。
由表3可知,现有保护无法在不同场景下确保保护均能正确动作,而所提保护算法在高阻故障、数据异常、新能源弱出力和高噪声情况下均能正确动作。
本文通过分析新能源电源与柔直换流站的电流时域特征差异,提出了提取时域分布熵比较的保护,并得到以下结论:
1)由于输电线路两侧电力电子换流器采取不同的控制策略,导致两侧提供的短路电流的相频特征存在差异。
2)所提保护能够准确识别区内外故障,能够耐受150 Ω的过渡电阻和20 dB的噪声,并且可以在遇到异常值的时候确保保护不误动,在新能源弱出力的时候确保保护正确动作。
然而所提保护为双端量保护,当通信失灵时,双端量保护失灵,因此后续研究需要考虑不依赖对侧信号的单端量保护为该场景配置后备保护。
附 录
取一个采样窗长的电流采样值,根据文中提到的预处理之后所得到的波形可以表示为
 (A1)
  式中,I0为所选取的采样电流幅值。幅值误差由于预处理阶段存在均值处理的步骤,因此所提时域分布熵不受幅值影响,主要考虑相位误差对于时域分布熵计算值的影响。考虑相位误差时,其波形可以表示为
 (A2)
此时时域分布熵的计算值为
 (A3)
  式(A3)计算值经过化简之后发现小于0.015,因此可以将整定值下限设置为0.015。
附表1 仿真模型参数
App.Tab.1 The parameters of simulation model
   模型名称参数名称数值 新能源大基地单机额定容量/MW5 额定电压/ kV0.69 额定频率/Hz50 滤波电感/mH1.224 风机台数80 电流环Kp参数电流环Ki参数0.35200 柔直换流站桥臂电感/mH50 子模块电容/μF2 800 电压环Kp参数1 电压环Ki参数100 线路参数正/负序参数单位电阻/(Ω/km)0.076 单位电抗/(Ω/km)0.338 单位电容/(μF/km)0.086 零序参数单位电阻/(Ω/km)0.284 单位电抗/(Ω/km)0.824 单位电容/(μF/km)0.061
参考文献
[1] 迟永宁, 梁伟, 张占奎, 等. 大规模海上风电输电与并网关键技术研究综述[J]. 中国电机工程学报, 2016, 36(14): 3758-3771.
Chi Yongning, Liang Wei, Zhang Zhankui, et al. An overview on key technologies regarding power transmission and grid integration of large scale offshore wind power[J]. Proceedings of the CSEE, 2016, 36(14): 3758-3771.
[2] 董旭, 张峻榤, 王枫, 等. 风电经架空柔性直流输电线路并网的交直流故障穿越技术[J]. 电力系统自动化, 2016, 40(18): 48-55.
Dong Xu, Zhang Junjie, Wang Feng, et al. AC and DC fault ride-through technology for wind power integrationvia VSC-HVDC overhead lines[J]. Automation of Electric Power Systems, 2016, 40(18): 48-55.
[3] 郑涛, 章若竹, 吕文轩, 等. 基于故障主动控制的海上风电交流汇集线路时域距离保护[J]. 电工技术学报, 2025, 40(1): 122-138.
Zheng Tao, Zhang Ruozhu, Lü Wenxuan, et al. Time-domain distance protection of offshore AC transmission lines based on fault active control considering distributed capacitance’s impact[J]. Transactions of China Electrotechnical Society, 2025, 40(1): 122-138.
[4] 王倩, 黄晶晶, 朱大锐, 等. 适用于大规模风电场的MMC-HVDC控制策略研究[J]. 西安理工大学学报, 2016, 32(3): 302-308.
Wang Qian, Huang Jingjing, Zhu Darui, et al. Research on MMC-HVDC system control strategy for large-scale wind farms[J]. Journal of Xi’an University of Technology, 2016, 32(3): 302-308.
[5] 刘昊霖, 贾科, 毕天姝, 等.计及新能源耦合特性的柔直换流站短路电流解析[J/OL]. 电工技术学报, 1-9[2024-11-14].https://doi.org/10.19595/j.cnki.1000-6753.tces.241122.
Liu Haolin, Jia Ke, Bi Tianshu, et al. Analysis of Short Circuit Current in Flexible DC Converter Stations Taking into Account the Coupling Characteristics of New Energy [J/OL] Journal of Electrical Engineering Technology, 1-9[2022-11-14]. https://doi.org/10.19595/ j.cnki. 1000-6753.tces.241122.
[6] 李彦宾, 贾科, 毕天姝, 等. 电流差动保护在逆变型新能源场站送出线路中的适应性分析[J]. 电力系统自动化, 2017, 41(12): 100-105.
Li Yanbin, Jia Ke, Bi Tianshu, et al. Adaptability analysis of current differential protection of outgoing transmission line emanating from inverter-interfaced renewable energy power plants[J]. Automation of Electric Power Systems, 2017, 41(12): 100-105.
[7] 贾科, 杨哲, 朱正轩, 等. 基于电流幅值比的逆变型新能源场站送出线路T接纵联保护[J]. 电力自动化设备, 2019, 39(12): 82-88.
Jia Ke, Yang Zhe, Zhu Zhengxuan, et al. Pilot protection based on current amplitude ratio for teed line in inverter-interfaced renewable energy power plants[J]. Electric Power Automation Equipment, 2019, 39(12): 82-88.
[8] Chen Zilin, Lu Yuping. A novel pilot protection scheme for wind farm transmission line based on harmonic content ratio[C]//2020 12th IEEE PES Asia-Pacific Power and Energy Engineering Conference (APPEEC), Nanjing, China, 2020: 1-6.
[9] 段建东, 崔帅帅, 刘吴骥, 等. 基于电流频率差的有源配电网线路保护[J]. 中国电机工程学报, 2016, 36(11): 2927-2934.
Duan Jiandong, Cui Shuaishuai, Liu Wuji, et al. Line protection based on current frequency difference for active distribution network[J]. Proceedings of the CSEE, 2016, 36(11): 2927-2934.
[10] 郑黎明, 贾科, 毕天姝, 等. 基于结构相似度与平方误差的新能源场站送出线路纵联保护综合判据[J]. 电网技术, 2020, 44(5): 1788-1797.
Zheng Liming, Jia Ke, Bi Tianshu, et al. Comprehensive criteria of pilot protection based on structural similarity and square error for outgoing line from renewable power plants[J]. Power System Technology, 2020, 44(5): 1788-1797.
[11] 鲁月华, 樊艳芳, 罗瑞. 适用于交直流混联系统的时域全量故障模型判别纵联保护方案[J]. 电力系统保护与控制, 2020, 48(19): 81-88.
Lu Yuehua, Fan Yanfang, Luo Rui. Principle of active distribution network pilot protection based on time domain model identification[J]. Power System Protection and Control, 2020, 48(19): 81-88.
[12] 宋国兵, 王晨清, 唐吉斯, 等. 适用于风电接入系统的时域模型识别纵联保护新原理[J]. 电网技术, 2016, 40(11): 3580-3585.
Song Guobing, Wang Chenqing, Tengis, et al. Novel pilot protection based on time-domain model identification for wind power integration[J]. Power System Technology, 2016, 40(11): 3580-3585.
[13] 侯俊杰, 樊艳芳, 晁勤, 等. 基于时域全量故障模型相关性判别的集群风电送出线纵联保护[J]. 电力自动化设备, 2018, 38(7): 89-96.
Hou Junjie, Fan Yanfang, Chao Qin, et al. Cluster wind power outgoing line pilot protection scheme based on time-domain full-frequency fault model correlation identification[J]. Electric Power Automation Equipment, 2018, 38(7): 89-96.
[14] 李晔, 李斌, 刘晓明, 等. 基于反向行波幅值比的对称单极柔性直流系统行波方向保护[J]. 电工技术学报, 2023, 38(9): 2418-2434.
Li Ye, Li Bin, Liu Xiaoming, et al. The direction protection based on the amplitude ratio of the backward traveling wave for the symmetrical monopole flexible DC system[J]. Transactions of China Electrotechnical Society, 2023, 38(9): 2418-2434.
[15] 束洪春, 刘力滔, 唐玉涛, 等. 基于行波暂态能量的半波长输电线路高灵敏增强型纵联保护方案[J]. 电工技术学报, 2022, 37(24): 6372-6387.
Shu Hongchun, Liu Litao, Tang Yutao, et al. Highly sensitive enhanced pilot protection of half-wavelength transmission line based on directional traveling wave energy[J]. Transactions of China Electrotechnical Society, 2022, 37(24): 6372-6387.
[16] 郑黎明, 贾科, 侯来运, 等. 基于奇异值分解的海上风电接入柔直系统的交流线路保护[J]. 中国电机工程学报, 2020, 40(增刊1): 75-83.
Zheng Liming, Jia Ke, Hou Laiyun, et al. AC line protection of offshore wind power connected to flexible direct system based on singular value decomposition[J]. Proceedings of the CSEE, 2020, 40(S1): 75-83.
[17] 余越, 王聪博, 沙兆义, 等. 基于矩阵突变特征的风电经柔直送出交流线路保护[J]. 中国电机工程学报, 2023, 43(14): 5441-5450.
Yu Yue, Wang Congbo, Sha Zhaoyi, et al. AC transmission line protection for wind farms integrated with VSC-HVDC system based on matrix mutation characteristics[J]. Proceedings of the CSEE, 2023, 43(14): 5441-5450.
[18] 贾科, 郑黎明, 毕天姝, 等. 基于余弦相似度的风电场站送出线路纵联保护[J]. 中国电机工程学报, 2019, 39(21): 6263-6275.
Jia Ke, Zheng Liming, Bi Tianshu, et al. Pilot protection based on cosine similarity for transmission line connected to wind farms[J]. Proceedings of the CSEE, 2019, 39(21): 6263-6275.
[19] Yang Zhe, Liao Wenlong, Wang Hongyi, et al. Improved euclidean distance based pilot protection for lines with renewable energy sources[J]. IEEE Transactions on Industrial Informatics, 2022, 18(12): 8551-8562.
[20] 谭珺敉, 彭晓涛, 李旭涛, 等.基于协同控制优化风电-柔直并网惯性响应策略研究[J]. 电工技术学报, 2025, 40(5): 1355-1367.
Tan Junyi, Peng Xiaotao, Li Xutao, et al. Optimization of inertia response strategy based on synergetic control for wind power integrating to power grid via VSC-HVDC [J]. Transactions of China Electro-technical Society, 2025, 40(5): 1355-1367
[21] 胡小康, 王中权, 綦晓, 等. 考虑最低惯量需求的海上风电与海岛微网频率交互控制策略[J]. 南方电网技术, 2023, 17(5): 80-90.
Hu Xiaokang, Wang Zhongquan, Qi Xiao, et al. Interaction frequency regulation strategy between offshore wind farm and island microgrids considering minimum inertia requirement[J]. Southern Power System Technology, 2023, 17(5): 80-90.
[22] 裴金鑫, 姚骏, 黄森, 等. 电网短路故障下新能源并网变换器的暂态同步机制及其自适应稳定控制策略[J]. 中国电机工程学报, 2022, 42(16): 5922-5934, 6167.
Pei Jinxin, Yao Jun, Huang Sen, et al. Transient synchronization mechanism and adaptive stability control strategy for renewable energy grid-connected converter under grid faults[J]. Proceedings of the CSEE, 2022, 42(16): 5922-5934, 6167.
[23] 贾科, 刘浅, 杨彬, 等. 计及锁相环动态特性的逆变电源故障暂态电流解析[J]. 电网技术, 2021, 45(11): 4242-4251.
Jia Ke, Liu Qian, Yang Bin, et al. Transient fault current analysis of the inverter-interfaced renewable energy sources considering the dynamic characteristicsof the phase-locked loop[J]. Power System Technology, 2021, 45(11): 4242-4251.
[24] 刘天阳, 张玉红, 王蒙, 等. 考虑控制策略切换过程的双馈风力发电机组短路电流计算方法[J]. 中国电机工程学报, 2021, 41(10): 3330-3338, 3659.
Liu Tianyang, Zhang Yuhong, Wang Meng, et al. Short-circuit current calculation method of doubly fed induction generator considering control strategy switching[J]. Proceedings of the CSEE, 2021, 41(10): 3330-3338, 3659.
[25] Li Zilin, Hu Jiefeng, Chan K W. A new current limiting and overload protection scheme for distributed inverters in microgrids under grid faults[J]. IEEE Transactions on Industry Applications, 2021, 57(6): 6362-6374.
[26] 黄少锋. 电力系统继电保护[M]. 北京: 中国电力出版社, 2015.
[27] 张海啸, 王茜, 刘春明. 一种基于时钟差的双端数据同步方法[J]. 电力系统通信, 2011, 32(6): 44-47.
Zhang Haixiao, Wang Qian, Liu Chunming. Double-side date synchronization method based on clock difference[J]. Telecommunications for Electric Power System, 2011, 32(6): 44-47.
[28] 张保会, 尹项根, 索南加乐, 编电力系统继电保护[M]. 2版. 北京: 中国电力出版社, 2010.
[29] 聂铭, 李猛, 和敬涵, 等.基于状态估计的大规模新能源送出线路纵联保护[J]. 电网技术, 2024, 48(5): 2189-2198.
Nie Ming, Li Meng, He Jinghan, et al. Longitudinal protection of large-scale new energy transmission lines based on state estimation[J]. Power System Technology, 2024,48(5): 2189-2198.
[30] 霍文君, 王伟, 李文. AnomalyDetect: 一种基于欧式距离的在线异常检测算法[J]. 中国科学技术大学学报, 2019, 49(7): 555-563, 571.
Huo Wenjun, Wang Wei, Li Wen. AnomayDetect: an online distance-based anomaly detection algorithm[J]. Journal of University of Science and Technology of China, 2019, 49(7): 555-563, 571.
[31] 高熠飞, 王建平, 李林峰. 基于柯西分布的水文序列异常值检测方法[J]. 河海大学学报(自然科学版), 2020, 48(4): 307-313.
Gao Yifei, Wang Jianping, Li Linfeng. Outlier detection method of hydrological time series based on Cauchy distribution[J]. Journal of Hohai University (Natural Sciences), 2020, 48(4): 307-313.
Similarity Protection of New Energy Base Collection System Lines Based on Time-Domain Distribution Entropy
Abstract The new energy base plans to construct a grid type converter station to support the integration of new energy into the grid through direct current transmission, in scenarios far away from synchronous power sources. The short-circuit current on both sides of the new energy AC collection system power line in the base is provided by different types of power electronic converters, and the fault current exhibits limited, distorted characteristics and waveform distortion, resulting in random changes in the fundamental frequency amplitude and phase angle characteristics perceived by the protection device, causing deterioration of the differential protection action performance, and even the risk of refusal, making it difficult to ensure the safe operation of the system and urgently requiring new principles of longitudinal protection.
The existing longitudinal protection research can be divided into frequency domain protection and time domain protection based on the utilized feature quantities. Therefore, existing frequency-domain feature-based protection relies on extremely high sampling frequencies and is susceptible to factors such as noise, while existing time-domain feature-based protection does not require extremely high sampling frequencies, but there is a risk of incorrect action performance in different scenarios.
Therefore, this article proposes a new principle of longitudinal protection based on time-domain distribution entropy, which accurately distinguishes faults inside and outside the area by utilizing the difference in phase frequency characteristics of the currents on both sides. Compared with existing research on protection, it has better ability to withstand abnormal disturbances and solves the problem of decreased performance of differential protection in the absence of synchronous power supply. The protection performance was comprehensively tested and compared in different fault scenarios on the RTDS hardware in the loop experimental platform. The experimental results showed that the proposed protection can withstand a transition resistance of 150 Ω and 20 dB noise, and can ensure that the protection does not misoperate when encountering abnormal values.
Keywords:Renewable energy, fault characteristics, waveform energy entropy, pilot protection
中图分类号:TM615
DOI: 10.19595/j.cnki.1000-6753.tces.241135
国家电网有限公司科技项目“新能源电力系统协同控制保护系统及应用”(5100-202199530A-0-5-ZN,5211DS21N013)资助。
收稿日期 2024-06-28
改稿日期 2024-08-20
刘昊霖 男,1999年生,博士研究生,研究方向为新能源大基地并网系统保护与控制。
E-mail:871100549@qq.com
毕天姝 女,1973年生,教授,博士生导师,研究方向为电力系统保护与控制、广域同步相量测量技术及应用等。
E-mail:tsbi@ncepu.edu.cn(通信作者)
(编辑 郭丽军)